Poslední aktualizace :
18/03/2026
Antibiotikas   Amikacin sulfate  
Įpurškimas
Tirpalų stabilumas Mišinių stabilumas Stabilumą lemiantys veiksniai Suderinamumas Leidimo būdai Bibliografija pdf
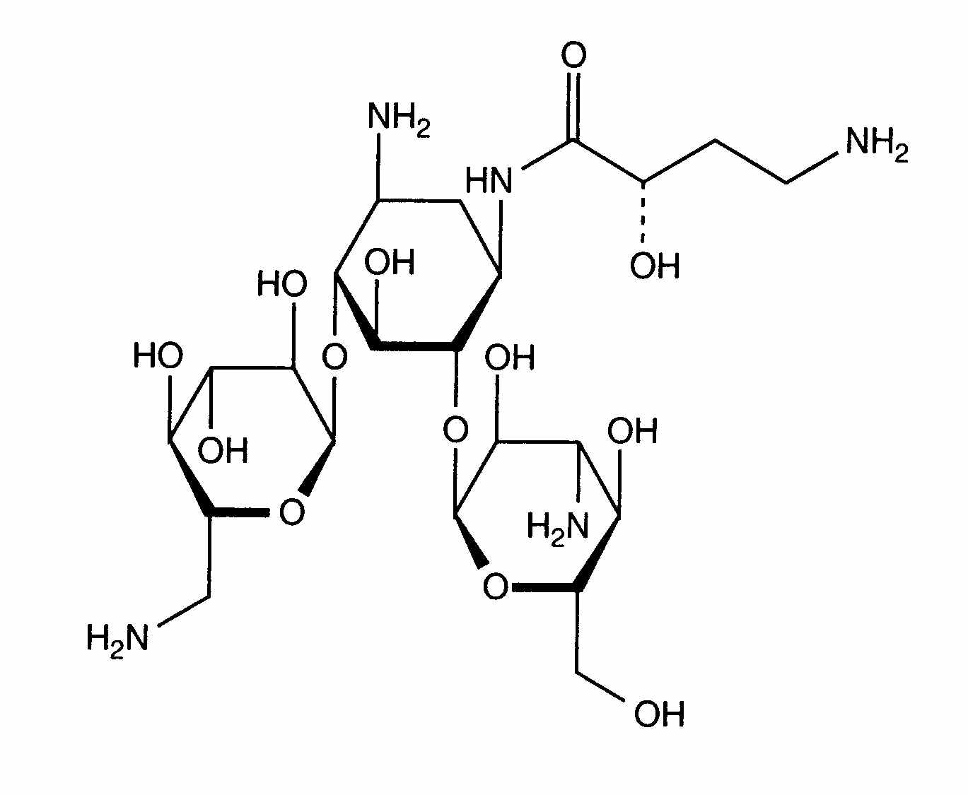
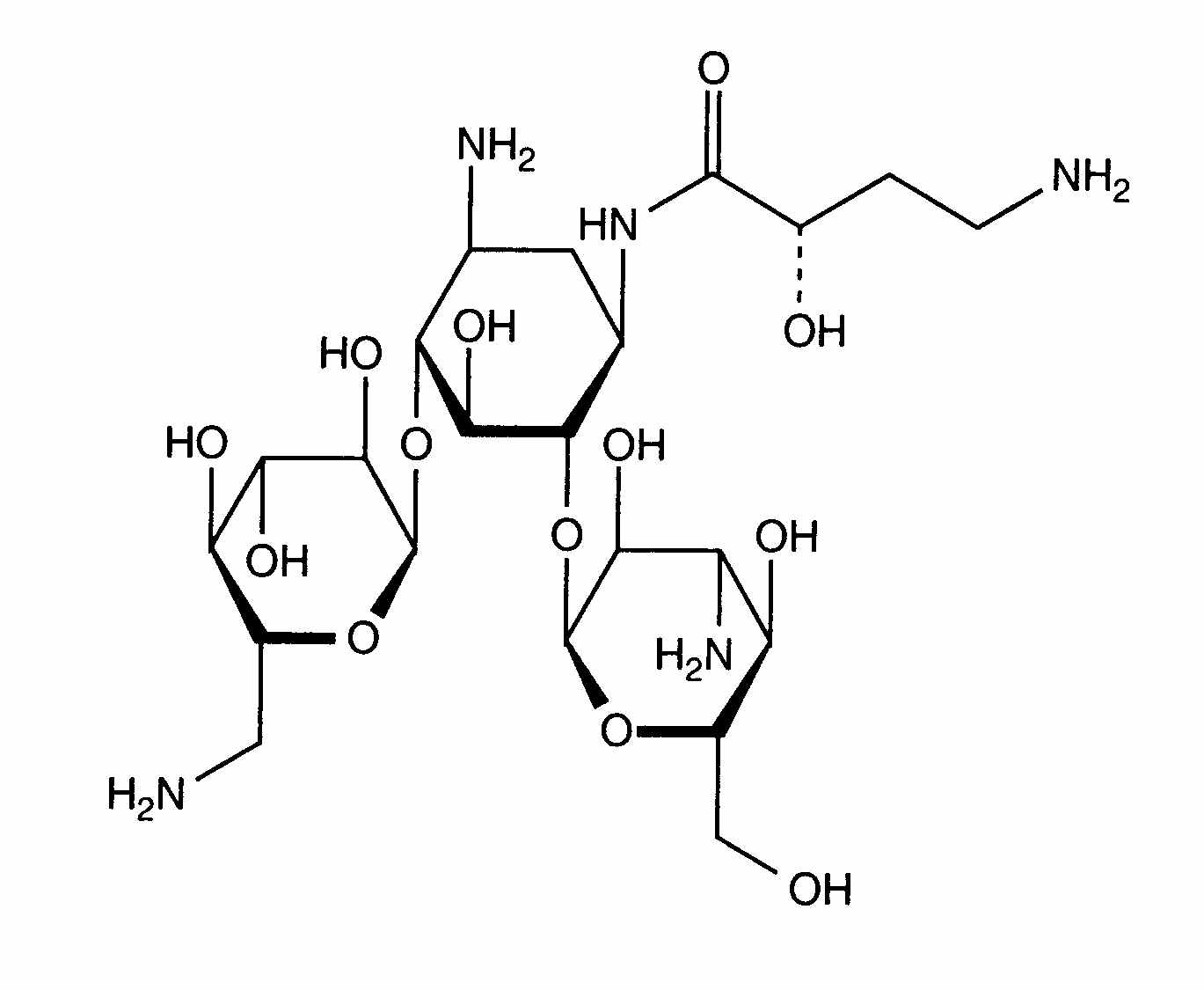
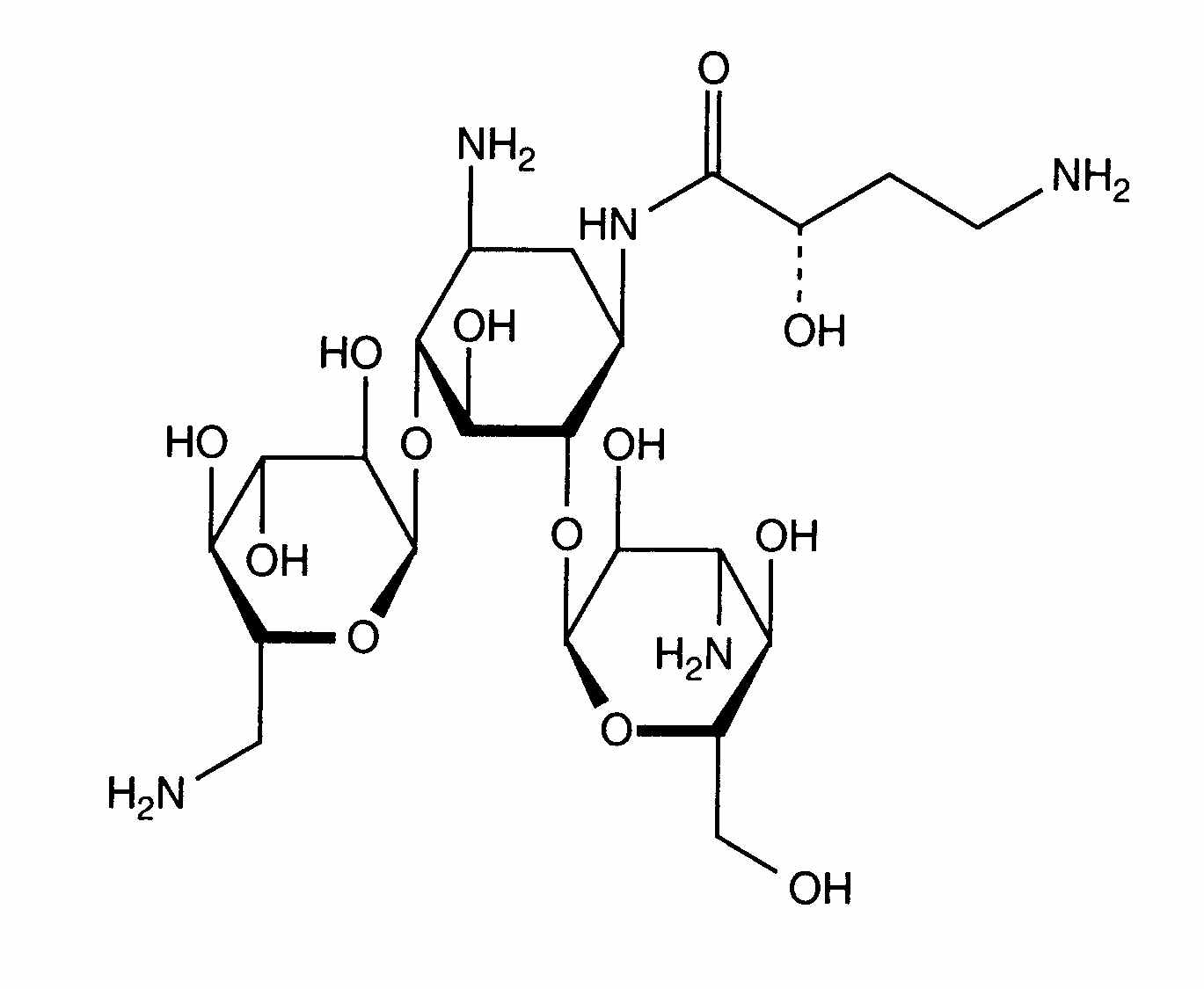
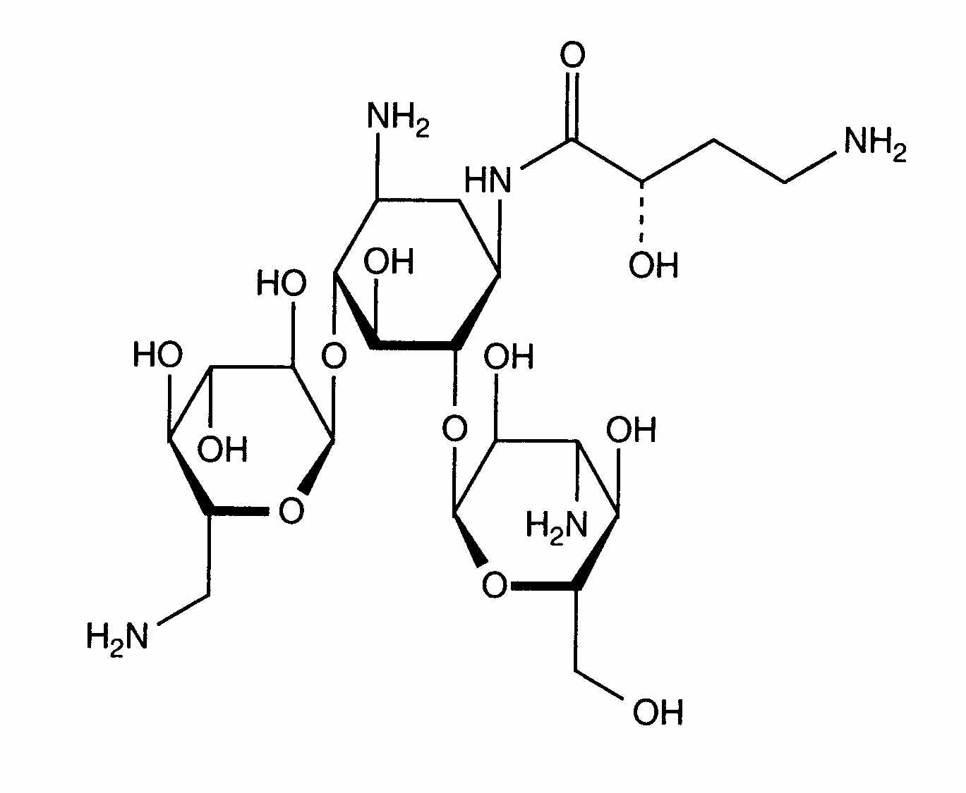
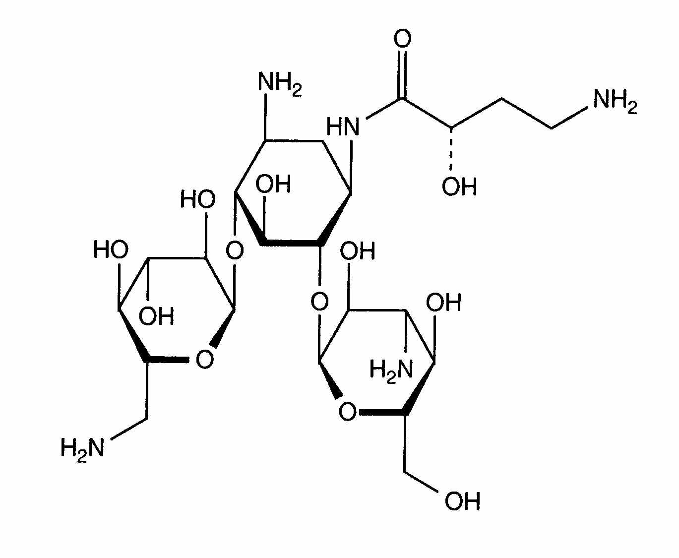
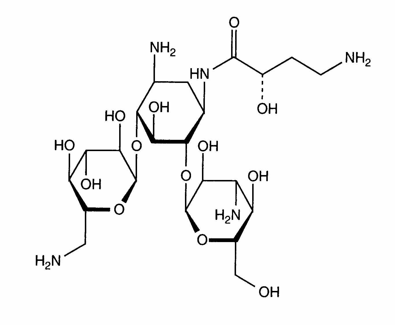
   Cheminė sandara  

Prekinis pavadinimas   Prekinis pavadinimas     

Trade names are indicative and excipients composition can be different depending on the country and manufacturers

Adnet Indija
Agnicin Meksikas
Akamin Ekvadoras
Akim Ekvadoras
Amicacil Brazilija
Amicilon Brazilija
Amicin Malaizija
Amicip Venesuela
Amijeksin Turkija
Amikabiot Ekvadoras, Peru
Amikacin Didžioji Britanija, Egiptas, Iranas, Jungtinės Amerikos Valstijos, Kanada, Malaizija, Naujojoje Zelandijoje, Saudo Arabija, Vokietija
Amikacina Argentina, Čilė, Ekvadoras, Ispanija, Italija, Kolumbija, Meksikas, Peru, Venesuela
Amikacine Belgija, Marokas, Olandija, Prancūzija
Amikafur Meksikas
Amikagram Peru
Amikalem Meksikas
Amikamed Peru
Amikamek Peru
Amikan Italija
Amikavax Venesuela
Amikaver Turkija
Amikayect Meksikas
Amikem Peru
Amiketem Turkija
Amikin Airija, Australija, Brazilija, Didžioji Britanija, Egiptas, Ekvadoras, Jungtinės Amerikos Valstijos, Kolumbija, Lenkija, Meksikas, Peru, Saudo Arabija, Šveicarija, Tunisas, Vengrija
Amiklin Prancūzija, Turkija
Amikosit Rumunija, Tunisas, Turkija
Amikram Peru
Amukin Belgija, Liuksemburgas, Olandija
Apalin Malaizija
Baxi K Čilė, Meksikas
Behcacin Indija, Venesuela
Belka Indija
Biclin Austrija, Ispanija, Meksikas, Portugalija, Suomija, Švedija, Vokietija
Biodacyna Lenkija
Biokacin Meksikas
Briklin Graikija
Cadicin Indija
Chemacin Italija
Cikabit Indija
Cinamica Indija
Cinas Indija
Consumonit Graikija
Domak Indija
Doxocar Argentina
Elcin Indija
Elmik Indija
Emcin Indija
Emica Indija
Farcyclin Graikija
Flexelite Graikija
Greini Argentina
Ipacin Iranas
Itukacin Peru
Kancin Graikija
Lanomycin Graikija
Lukadin Italija
Masmika Indija
Mediamik Italija
Micalpha Graikija
Micigen Meksikas
Migracin Italija
Mikacin Saudo Arabija
Nekacin Italija
Novamin Brazilija
Orlobin Graikija
Remikin Graikija
Rovericlin Graikija
Uzix Graikija
Suderinamumas   Įpurškimas   Suderinamumas : Amikacin sulfate              
explication_incompatibilite_molecules
Molekulė Tirpiklis Nuorodos
Suderinamas
Įpurškimas Amikacin sulfate 5 mg/ml
Įpurškimas Aciclovir sodium 5 mg/ml
Gliukozė 5% 336
Krituliai po 1 valandos Nesuderinamas
Įpurškimas Amikacin sulfate 5 mg/ml
Įpurškimas Allopurinol sodium 3 mg/ml
Natrio chloridas 0,9% 307
Suderinamas
Įpurškimas Amikacin sulfate 5 mg/ml
Įpurškimas Amifostine 10 mg/ml
Gliukozė 5% 3
Suderinamas
Įpurškimas Amikacin sulfate 5 mg/ml
Įpurškimas Amiodarone hydrochloride 4 mg/ml
Natrio chloridas 0,9% 385
Suderinamas
Įpurškimas Amikacin sulfate 5 mg/ml
Įpurškimas Amiodarone hydrochloride 4 mg/ml
Gliukozė 5% 385
Cheminis nestabilumas Nesuderinamas
Įpurškimas Amikacin sulfate
Įpurškimas Amoxicillin sodium
3527
Cheminis nestabilumas Nesuderinamas
Įpurškimas Amikacin sulfate
Įpurškimas Amoxicillin sodium
3549
Suderinamas
Įpurškimas Amikacin sulfate 250 mg/ml
Įpurškimas Amoxicillin sodium / clavulanic acid 100/10 mg/ml
3824
Cheminis nestabilumas Nesuderinamas
Įpurškimas Amikacin sulfate
Įpurškimas Amoxicillin sodium / clavulanic acid
3549
Nepatikslintas nesuderinamumas Nesuderinamas
Įpurškimas Amikacin sulfate
Įpurškimas Amoxicillin sodium / clavulanic acid
3545
Nepatikslintas nesuderinamumas Nesuderinamas
Įpurškimas Amikacin sulfate
Įpurškimas Amphotericin B
3549
Nedelsiant krituliai Nesuderinamas
Įpurškimas Amikacin sulfate 5 mg/ml
Įpurškimas Amphotericin B cholesteryl sulfate complex 0.83 mg/ml
Gliukozė 5% 921
Cheminis nestabilumas Nesuderinamas
Įpurškimas Amikacin sulfate
Įpurškimas Ampicillin sodium
3549
Cheminis nestabilumas Nesuderinamas
Įpurškimas Amikacin sulfate
Įpurškimas Ampicillin sodium - sulbactam sodium
3549
Suderinamas
Įpurškimas Amikacin sulfate 5 mg/ml
Įpurškimas Amsacrine 1 mg/ml
Gliukozė 5% 253
Suderinamas
Įpurškimas Amikacin sulfate 5 mg/ml
Įpurškimas Anidulafungin 0.5 mg/ml
Gliukozė 5% 1982
Nepatikslintas nesuderinamumas Nesuderinamas
Įpurškimas Amikacin sulfate
Įpurškimas Ascorbic acid
3549
Nedelsiant krituliai Nesuderinamas
Įpurškimas Amikacin sulfate 100 mg/ml
Įpurškimas Azithromycine 2 mg/ml
Natrio chloridas 0,9% 1800
Cheminis nestabilumas Nesuderinamas
Įpurškimas Amikacin sulfate
Įpurškimas Aztreonam
3549
Suderinamas
Įpurškimas Amikacin sulfate 5 mg/ml
Įpurškimas Aztreonam 40 mg/ml
Gliukozė 5% 99
Suderinamas
Įpurškimas Amikacin sulfate 5 mg/ml
Įpurškimas Bivalirudin 5 mg/ml
Gliukozė 5% 1713
Suderinamas
Įpurškimas Amikacin sulfate 250 mg/ml
Įpurškimas Caffeine 10 mg/ml
Nėra 3964
Nesuderinamas
Įpurškimas Amikacin sulfate
Įpurškimas Calcium gluconate
4964
Nepatikslintas nesuderinamumas Nesuderinamas
Įpurškimas Amikacin sulfate
Įpurškimas Calcium gluconate
3644
Suderinamas
Įpurškimas Amikacin sulfate 5 mg/ml
Įpurškimas Caspofungin acetate 0,7 mg/ml
Natrio chloridas 0,9% 2247
Cheminis nestabilumas Nesuderinamas
Įpurškimas Amikacin sulfate
Įpurškimas Cefalotin sodium
3549
Cheminis nestabilumas Nesuderinamas
Įpurškimas Amikacin sulfate
Įpurškimas Cefamandole nafate
3549
Nepatikslintas nesuderinamumas Nesuderinamas
Įpurškimas Amikacin sulfate
Įpurškimas Cefamandole nafate
3546
Cheminis nestabilumas Nesuderinamas
Įpurškimas Amikacin sulfate
Įpurškimas Cefazolin sodium
3549
Suderinamas
Įpurškimas Amikacin sulfate 6 mg/ml
Įpurškimas Cefepime dihydrochloride 40 mg/ml
Natrio chloridas 0,9% 3548
Suderinamas
Įpurškimas Amikacin sulfate 6 mg/ml
Įpurškimas Cefepime dihydrochloride 40 mg/ml
Gliukozė 5% 3548
Suderinamas
Įpurškimas Amikacin sulfate 15 mg/ml
Įpurškimas Cefepime dihydrochloride 125 mg/ml
Vanduo injekcijoms 2141
Cheminis nestabilumas Nesuderinamas
Įpurškimas Amikacin sulfate
Įpurškimas Cefepime dihydrochloride
3549
Suderinamas
Įpurškimas Amikacin sulfate 5 mg/ml
Įpurškimas Cefiderocol sulfate tosylate 20 mg/mL
Gliukozė 5% 4528
Cheminis nestabilumas Nesuderinamas
Įpurškimas Amikacin sulfate
Įpurškimas Cefmenoxime
3549
Cheminis nestabilumas Nesuderinamas
Įpurškimas Amikacin sulfate
Įpurškimas Cefmetazole sodium
3549
Cheminis nestabilumas Nesuderinamas
Įpurškimas Amikacin sulfate
Įpurškimas Cefonicid sodium
3549
Cheminis nestabilumas Nesuderinamas
Įpurškimas Amikacin sulfate
Įpurškimas Cefoperazone sodium
3549
Nepatikslintas nesuderinamumas Nesuderinamas
Įpurškimas Amikacin sulfate
Įpurškimas Cefoperazone sodium
3544
Cheminis nestabilumas Nesuderinamas
Įpurškimas Amikacin sulfate
Įpurškimas Ceforanide
3549
Cheminis nestabilumas Nesuderinamas
Įpurškimas Amikacin sulfate
Įpurškimas Cefotaxime sodium
3549
Cheminis nestabilumas Nesuderinamas
Įpurškimas Amikacin sulfate
Įpurškimas Cefoxitin sodium
3549
Nepatikslintas nesuderinamumas Nesuderinamas
Įpurškimas Amikacin sulfate
Įpurškimas Cefpirome sulfate
3677
Suderinamas
Įpurškimas Amikacin sulfate 5 mg/ml
Įpurškimas Cefpirome sulfate 50 mg/ml
Natrio chloridas 0,45% 280
Suderinamas
Įpurškimas Amikacin sulfate 5 mg/ml
Įpurškimas Cefpirome sulfate 50 mg/ml
Gliukozė 5% 280
Suderinamas
Įpurškimas Amikacin sulfate 5 mg/ml
Įpurškimas Cefpirome sulfate 50 mg/ml
Natrio chloridas 0,9% 280
Suderinamas
Įpurškimas Amikacin sulfate 5 mg/ml
Įpurškimas Cefpirome sulfate 50 mg/ml
Ringerio laktato tirpalas 280
Cheminis nestabilumas Nesuderinamas
Įpurškimas Amikacin sulfate
Įpurškimas Cefpirome sulfate
3549
Suderinamas
Įpurškimas Amikacin sulfate 5 mg/ml
Įpurškimas Ceftaroline fosamil 2,22 mg/ml
Ringerio laktato tirpalas 3249
Suderinamas
Įpurškimas Amikacin sulfate 5 mg/ml
Įpurškimas Ceftaroline fosamil 2,22 mg/ml
Gliukozė 5% 3249
Suderinamas
Įpurškimas Amikacin sulfate 5 mg/ml
Įpurškimas Ceftaroline fosamil 2,22 mg/ml
Natrio chloridas 0,9% 3249
Nepatikslintas nesuderinamumas Nesuderinamas
Įpurškimas Amikacin sulfate
Įpurškimas Ceftazidime
3883
Nepatikslintas nesuderinamumas Nesuderinamas
Įpurškimas Amikacin sulfate
Įpurškimas Ceftazidime
3543
Suderinamas
Įpurškimas Amikacin sulfate 15 mg/ml
Įpurškimas Ceftazidime 83.3 mg/ml
1759
Cheminis nestabilumas Nesuderinamas
Įpurškimas Amikacin sulfate
Įpurškimas Ceftazidime Avibactam
3549
Nedelsiant krituliai Nesuderinamas
Įpurškimas Amikacin sulfate 5 mg/ml
Įpurškimas Ceftobiprole medocaril sodium 2 mg/ml
Natrio chloridas 0,9% 2269
Nepatikslintas nesuderinamumas Nesuderinamas
Įpurškimas Amikacin sulfate
Įpurškimas Ceftobiprole medocaril sodium
4650
Suderinamas
Įpurškimas Amikacin sulfate
Gliukozė 5% 5076
Cheminis nestabilumas Nesuderinamas
Įpurškimas Amikacin sulfate
Įpurškimas Ceftaroline fosamil
3549
Cheminis nestabilumas Nesuderinamas
Įpurškimas Amikacin sulfate
Įpurškimas Ceftazidime
3549
Suderinamas
Įpurškimas Amikacin sulfate 15 mg/ml
Įpurškimas Ceftazidime 125 mg/ml
Vanduo injekcijoms 2141
Cheminis nestabilumas Nesuderinamas
Įpurškimas Amikacin sulfate
Įpurškimas Ceftizoxime sodium
3549
Nedelsiant krituliai Nesuderinamas
Įpurškimas Amikacin sulfate 5 mg/ml
Įpurškimas Ceftobiprole medocaril sodium 2 mg/ml
Gliukozė 5% 2269
Cheminis nestabilumas Nesuderinamas
Įpurškimas Amikacin sulfate
Įpurškimas Ceftobiprole medocaril sodium
3549
Nedelsiant krituliai Nesuderinamas
Įpurškimas Amikacin sulfate 5 mg/ml
Įpurškimas Ceftobiprole medocaril sodium 2 mg/ml
Ringerio laktato tirpalas 2269
Suderinamas
Įpurškimas Amikacin sulfate 5 mg/ml
Įpurškimas Ceftolozane / tazobactam 10/5 mg/ml
Gliukozė 5% 3828
Suderinamas
Įpurškimas Amikacin sulfate 5 mg/ml
Įpurškimas Ceftolozane / tazobactam 10/5 mg/ml
Natrio chloridas 0,9% 3828
Cheminis nestabilumas Nesuderinamas
Įpurškimas Amikacin sulfate
Įpurškimas Ceftolozane / tazobactam
3549
Nepatikslintas nesuderinamumas Nesuderinamas
Įpurškimas Amikacin sulfate
Įpurškimas Ceftriaxone disodium
3523
Cheminis nestabilumas Nesuderinamas
Įpurškimas Amikacin sulfate
Įpurškimas Ceftriaxone disodium
3549
Cheminis nestabilumas Nesuderinamas
Įpurškimas Amikacin sulfate
Įpurškimas Cefuroxime sodium
3549
Nepatikslintas nesuderinamumas Nesuderinamas
Įpurškimas Amikacin sulfate
Įpurškimas Cefuroxime sodium
3687
Cheminis nestabilumas Nesuderinamas
Įpurškimas Amikacin sulfate
Įpurškimas Cefuzonam
3549
Nepatikslintas nesuderinamumas Nesuderinamas
Įpurškimas Amikacin sulfate
Įpurškimas Chlorothiazide sodium
3549
Suderinamas
Įpurškimas Amikacin sulfate 2.5 mg/ml
Įpurškimas Cimetidine hydrochloride 1.5 mg/ml
Gliukozė 5% 1201
Cheminis nestabilumas Nesuderinamas
Įpurškimas Amikacin sulfate 4 mg/ml
Įpurškimas Ciprofloxacin lactate 1.5 mg/ml
Natrio chloridas 0,9% 434
Cheminis nestabilumas Nesuderinamas
Įpurškimas Amikacin sulfate 4 mg/ml
Įpurškimas Ciprofloxacin lactate 1.5 mg/ml
Gliukozė 5% 434
Suderinamas
Įpurškimas Amikacin sulfate 5 mg/ml
Įpurškimas Cisatracurium besylate 0.1 >> 5 mg/ml
Gliukozė 5% 299
Suderinamas
Įpurškimas Amikacin sulfate 4 mg/ml
Įpurškimas Clindamycin phosphate 9 mg/ml
Natrio chloridas 0,9% 565
Suderinamas
Įpurškimas Amikacin sulfate 250 mg/ml
Parenterinis maitinimas (lipidų nemokamai) 999
Suderinamas
Įpurškimas Amikacin sulfate 5 mg/ml
Įpurškimas Ciprofloxacin lactate 2 mg/ml
Gliukozė 5% 285
Cheminis nestabilumas Nesuderinamas
Įpurškimas Amikacin sulfate
Įpurškimas Cisplatin
3578
Suderinamas
Įpurškimas Amikacin sulfate 75 mg/ml
Įpurškimas Clindamycin phosphate 90 mg/ml
Natrio chloridas 0,9% 639
Suderinamas
Įpurškimas Amikacin sulfate
Įpurškimas Clindamycin phosphate
Natrio chloridas 0,9% 3526
Subvisualinis nesuderinamumas Nesuderinamas
Įpurškimas Amikacin sulfate 250 mg/ml
Įpurškimas Cloxacillin sodium 100 mg/ml
Vanduo injekcijoms 3012
Nepatikslintas nesuderinamumas Nesuderinamas
Įpurškimas Amikacin sulfate
Įpurškimas Daunorubicin/cytarabine liposomale
4354
Suderinamas
Įpurškimas Amikacin sulfate 5 mg/ml
Parenterinis maitinimas (lipidų nemokamai) 316
Suderinamas
Įpurškimas Amikacin sulfate 4 mg/ml
Įpurškimas Clindamycin phosphate 9 mg/ml
Gliukozė 5% 565
Suderinamas
Įpurškimas Amikacin sulfate
Įpurškimas Clindamycin phosphate
Gliukozė 5% 3526
Cheminis nestabilumas Nesuderinamas
Įpurškimas Amikacin sulfate
Įpurškimas Cloxacillin sodium
3549
Nepatikslintas nesuderinamumas Nesuderinamas
Įpurškimas Amikacin sulfate
Įpurškimas Cyanocobalamine
3549
Tiesioginis drumstumas Nesuderinamas
Įpurškimas Amikacin sulfate
Įpurškimas Daunorubicin/cytarabine liposomale 0,4 mg/mL
Natrio chloridas 0,9% 4654
Nedelsiant krituliai Nesuderinamas
Įpurškimas Amikacin sulfate 5 mg/ml
Įpurškimas Defibrotide 8 mg/ml
Natrio chloridas 0,9% 3728
Suderinamas
Įpurškimas Amikacin sulfate 50 mg/ml
Įpurškimas Dexamethasone sodium phosphate 4 mg/ml
Natrio chloridas 0,45% 132
Nepatikslintas nesuderinamumas Nesuderinamas
Įpurškimas Amikacin sulfate
Įpurškimas Erythromycin lactobionate
3549
Suderinamas
Įpurškimas Amikacin sulfate 5 mg/ml
Parenterinis maitinimas (lipidų nemokamai) 301
Suderinamas
Įpurškimas Amikacin sulfate 5 mg/ml
Įpurškimas Dexmedetomidine 4 µg/ml
Natrio chloridas 0,9% 1712
Suderinamas
Įpurškimas Amikacin sulfate 5 & 250 mg/ml
Įpurškimas Diltiazem hydrochloride 5 mg/ml
Natrio chloridas 0,9% 198
Suderinamas
Įpurškimas Amikacin sulfate 5 mg/ml
Įpurškimas Docetaxel 0.9 mg/ml
Gliukozė 5% 1754
Suderinamas
Įpurškimas Amikacin sulfate 5 mg/ml
Įpurškimas Doripenem 5 mg/ml
Natrio chloridas 0,9% 2262
Suderinamas
Įpurškimas Amikacin sulfate 5 mg/ml
Įpurškimas Doripenem 5 mg/ml
Gliukozė 5% 2262
Cheminis nestabilumas Nesuderinamas
Įpurškimas Amikacin sulfate
Įpurškimas Doripenem
3549
Suderinamas
Įpurškimas Amikacin sulfate 2 mg/ml
Įpurškimas Enalaprilate 0.05 mg/ml
Natrio chloridas 0,9% 1315
Cheminis nestabilumas Nesuderinamas
Įpurškimas Amikacin sulfate
Įpurškimas Ertapenem
3549
Nepatikslintas nesuderinamumas Nesuderinamas
Įpurškimas Amikacin sulfate
Įpurškimas Erythromycin lactobionate
3674
Suderinamas
Įpurškimas Amikacin sulfate 5 mg/ml
Įpurškimas Esmolol hydrochloride 10 mg/ml
Gliukozė 5% 384
Suderinamas
Įpurškimas Amikacin sulfate 5 mg/ml
Įpurškimas Etoposide phosphate 5 mg/ml
Gliukozė 5% 1410
Suderinamas
Įpurškimas Amikacin sulfate 5 mg/ml
Įpurškimas Fenoldopam mesylate 80 µg/ml
Natrio chloridas 0,9% 1803
Suderinamas
Įpurškimas Amikacin sulfate 5 mg/ml
Įpurškimas Filgrastim 30 µg/ml
Gliukozė 5% 244
Suderinamas
Įpurškimas Amikacin sulfate 0.487 >> 0.667 mg/ml
Parenteriniu būdu (su lipidų) 1868
Suderinamas
Įpurškimas Amikacin sulfate 250 mg/ml
Ringerio laktato tirpalas 4603
Emulsijos nestabilumas po 1 valandos Nesuderinamas
Įpurškimas Amikacin sulfate 250 mg/ml
Parenteriniu būdu (su lipidų) 673
Suderinamas
Įpurškimas Amikacin sulfate 5 mg/ml
Įpurškimas Filgrastim 40 µg/ml
Gliukozė 5% 104
Skubus emulsijos nestabilumas Nesuderinamas
Įpurškimas Amikacin sulfate 50 mg/ml
Parenteriniu būdu (su lipidų) 132
Suderinamas
Įpurškimas Amikacin sulfate 5 mg/ml
Parenteriniu būdu (su lipidų) 1415
Nedelsiant krituliai Nesuderinamas
Įpurškimas Amikacin sulfate
Įpurškimas Flucloxacillin sodium
3522
Suderinamas
Įpurškimas Amikacin sulfate 20 mg/ml
Įpurškimas Fluconazole 2 mg/ml
Natrio chloridas 0,9% 496
Suderinamas
Įpurškimas Amikacin sulfate 5 mg/ml
Įpurškimas Fluconazole 2 mg/ml
Nėra 256
Suderinamas
Įpurškimas Amikacin sulfate 5 mg/ml
Įpurškimas Fludarabine phosphate 1 mg/ml
Gliukozė 5% 492
Suderinamas
Įpurškimas Amikacin sulfate 20 mg/ml
Įpurškimas Foscarnet sodium 24 mg/ml
Nėra 73
Suderinamas
Įpurškimas Amikacin sulfate 5 mg/ml
Įpurškimas Fosfomycin 30 mg/ml
Natrio chloridas 0,9% 4055
Suderinamas
Įpurškimas Amikacin sulfate 5 mg/ml
Įpurškimas Fosfomycin 30 mg/ml
Gliukozė 5% 4055
Nedelsiant krituliai Nesuderinamas
Įpurškimas Amikacin sulfate 2 mg/ml
Įpurškimas Furosemide 0,16 mg/ml
Natrio chloridas 0,9% 367
Nedelsiant krituliai Nesuderinamas
Įpurškimas Amikacin sulfate 2 mg/ml
Įpurškimas Furosemide 0,16 mg/ml
Gliukozė 5% 367
Suderinamas
Įpurškimas Amikacin sulfate 5 mg/ml
Įpurškimas Gemcitabine hydrochloride 10 mg/ml
Natrio chloridas 0,9% 1423
Suderinamas
Įpurškimas Amikacin sulfate 5 mg/ml
Įpurškimas Granisetron hydrochloride 0.05 mg/ml
Gliukozė 5% 182
Nepatikslintas nesuderinamumas Nesuderinamas
Įpurškimas Amikacin sulfate
Įpurškimas Heparin sodium
3549
Nepatikslintas nesuderinamumas Nesuderinamas
Įpurškimas Amikacin sulfate
Įpurškimas Heparin sodium
3540
Nedelsiant krituliai Nesuderinamas
Įpurškimas Amikacin sulfate
Įpurškimas Heparin sodium
1022
Suderinamas
Įpurškimas Amikacin sulfate 5 mg/ml
Įpurškimas Hetastarch 60 mg/ml
specifinis tirpiklis 1721
Nedelsiant krituliai Nesuderinamas
Įpurškimas Amikacin sulfate 5 mg/ml
Įpurškimas Hetastarch 60 mg/ml
Natrio chloridas 0,9% 472
Suderinamas
Įpurškimas Amikacin sulfate 5 mg/ml
Įpurškimas Hydromorphone hydrochloride 0.2 mg/ml
Gliukozė 5% 405
Tiesioginis drumstumas Nesuderinamas
Įpurškimas Amikacin sulfate 50 mg/ml
Įpurškimas Ibuprofen lysinate 10 mg/ml
Vanduo injekcijoms 4419
Tiesioginis drumstumas Nesuderinamas
Įpurškimas Amikacin sulfate 250 mg/ml
Įpurškimas Ibuprofen lysinate 10 mg/ml
Vanduo injekcijoms 4419
Suderinamas
Įpurškimas Amikacin sulfate 5 mg/ml
Įpurškimas Idarubicin hydrochloride 1 mg/ml
Natrio chloridas 0,9% 491
Cheminis nestabilumas Nesuderinamas
Įpurškimas Amikacin sulfate
Įpurškimas Imipenem - cilastatin sodium
3549
Suderinamas
Įpurškimas Amikacin sulfate 5 mg/ml
Įpurškimas Isavuconazonium sulfate 1.5 mg/ml
Gliukozė 5% 3829
Suderinamas
Įpurškimas Amikacin sulfate 5 mg/ml
Įpurškimas Isavuconazonium sulfate 1.5 mg/ml
Natrio chloridas 0,9% 3829
Suderinamas
Įpurškimas Amikacin sulfate 250 mg/ml
Įpurškimas Ketamine hydrochloride 50 mg/ml
2109
Suderinamas
Įpurškimas Amikacin sulfate 5 mg/ml
Įpurškimas Labetalol hydrochloride 1 mg/ml
Gliukozė 5% 386
Suderinamas
Įpurškimas Amikacin sulfate 5 mg/ml
Įpurškimas Lansoprazole 0.55 mg/ml
Natrio chloridas 0,9% 1625
Suderinamas
Įpurškimas Amikacin sulfate 50 mg/ml
Įpurškimas Levofloxacine 5 mg/ml
Gliukozė 5% 1072
Suderinamas
Įpurškimas Amikacin sulfate 5 mg/ml
Įpurškimas Linezolid 2 mg/ml
Nėra 1925
Suderinamas
Įpurškimas Amikacin sulfate 5 mg/ml
Įpurškimas Lorazepam 0.33 mg/ml
Natrio chloridas 0,9% 186
Suderinamas
Įpurškimas Amikacin sulfate 5 mg/ml
Įpurškimas Magnesium sulfate 16.67 >> 100 mg/ml
Gliukozė 5% 1047
Suderinamas
Įpurškimas Amikacin sulfate 5 mg/ml
Įpurškimas Melphalan 0.1 mg/ml
Natrio chloridas 0,9% 169
Suderinamas
Įpurškimas Amikacin sulfate 250 mg/ml
Įpurškimas Meropenem 50 mg/ml
4389
Suderinamas
Įpurškimas Amikacin sulfate 250 mg/ml
Įpurškimas Meropenem 50 mg/ml
Vanduo injekcijoms 4319
Cheminis nestabilumas Nesuderinamas
Įpurškimas Amikacin sulfate
Įpurškimas Meropenem
3549
Suderinamas
Įpurškimas Amikacin sulfate
Įpurškimas Metronidazole
3594
Suderinamas
Įpurškimas Amikacin sulfate 5 mg/ml
Įpurškimas Metronidazole 5 mg/ml
Nėra 1035
Suderinamas
Įpurškimas Amikacin sulfate 5 mg/ml
Įpurškimas Midazolam hydrochloride 5 mg/ml
Nėra 186
Suderinamas
Įpurškimas Amikacin sulfate 5 mg/ml
Įpurškimas Morphine sulfate 1 mg/ml
Gliukozė 5% 405
Suderinamas
Įpurškimas Amikacin sulfate 250 mg/ml
Įpurškimas N-acetylcysteine 200 mg/ml
Nėra 3766
Cheminis nestabilumas Nesuderinamas
Įpurškimas Amikacin sulfate
Įpurškimas Nafcillin sodium
3549
Suderinamas
Įpurškimas Amikacin sulfate 2,5 mg/ml
Įpurškimas Nalbuphine hydrochloride 0,05 >> 0,33 mg/ml
Natrio chloridas 0,9% 4867
Suderinamas
Įpurškimas Amikacin sulfate 250 mg/ml
Įpurškimas Naloxone hydrochloride 0.4 mg/ml
Nėra 3408
Suderinamas
Įpurškimas Amikacin sulfate 2 mg/ml
Įpurškimas Nicardipine hydrochloride 0.1 mg/ml
Gliukozė 5% 1490
Suderinamas
Įpurškimas Amikacin sulfate 2 mg/ml
Įpurškimas Nicardipine hydrochloride 0.1 mg/ml
Natrio chloridas 0,9% 1490
Suderinamas
Įpurškimas Amikacin sulfate 5 mg/ml
Įpurškimas Ondansetron hydrochloride 1 mg/ml
Natrio chloridas 0,9% 334
Cheminis nestabilumas Nesuderinamas
Įpurškimas Amikacin sulfate
Įpurškimas Oxacillin sodium
3549
Suderinamas
Įpurškimas Amikacin sulfate 5 mg/ml
Įpurškimas Paclitaxel 1.2 mg/ml
Gliukozė 5% 248
Nedelsiant krituliai Nesuderinamas
Įpurškimas Amikacin sulfate
Įpurškimas Pantoprazole sodium
2090
Suderinamas
Įpurškimas Amikacin sulfate 250 mg/ml
Įpurškimas Paracetamol 10 mg/ml
4742
Suderinamas
Įpurškimas Amikacin sulfate 5 mg/ml
Įpurškimas Pemetrexed disodium 20 mg/ml
Natrio chloridas 0,9% 1953
Cheminis nestabilumas Nesuderinamas
Įpurškimas Amikacin sulfate
Įpurškimas Penicillin G potassium
3549
Cheminis nestabilumas Nesuderinamas
Įpurškimas Amikacin sulfate
Įpurškimas Penicillin G sodium
3549
Suderinamas
Įpurškimas Amikacin sulfate 50 mg/ml
Įpurškimas Pethidine hydrochloride 100 mg/ml
Natrio chloridas 0,45% 132
Suderinamas
Įpurškimas Amikacin sulfate 5 mg/ml
Įpurškimas Pethidine hydrochloride 10 mg/ml
Gliukozė 5% 405
Nepatikslintas nesuderinamumas Nesuderinamas
Įpurškimas Amikacin sulfate
Įpurškimas Phenytoin sodium
3549
Suderinamas
Įpurškimas Amikacin sulfate 40 mg/ml
Įpurškimas Phloroglucinol 2,5 mg/ml
3791
Cheminis nestabilumas Nesuderinamas
Įpurškimas Amikacin sulfate
Įpurškimas Piperacillin sodium
3549
Cheminis nestabilumas Nesuderinamas
Įpurškimas Amikacin sulfate
Įpurškimas Piperacillin sodium / tazobactam
3549
Cheminis nestabilumas Nesuderinamas
Įpurškimas Amikacin sulfate
Įpurškimas Piperacillin sodium / tazobactam
3586
Suderinamas
Įpurškimas Amikacin sulfate
Įpurškimas Posaconazole
4380
Nedelsiant krituliai Nesuderinamas
Įpurškimas Amikacin sulfate 5 mg/ml
Įpurškimas Propofol 10 mg/ml
Nėra 300
Nepatikslintas nesuderinamumas Nesuderinamas
Įpurškimas Amikacin sulfate
Įpurškimas Pyridoxine hydrochloride
3549
Suderinamas
Įpurškimas Amikacin sulfate 5 mg/ml
Įpurškimas Remifentanil hydrochloride 25 & 250 µg/ml
Natrio chloridas 0,9% 59
Nedelsiant krituliai Nesuderinamas
Įpurškimas Amikacin sulfate 250 mg/ml
Įpurškimas Salbutamol sulfate 1 mg/ml
Nėra 3216
Suderinamas
Įpurškimas Amikacin sulfate 5 mg/ml
Įpurškimas Sargramostim 10 µg/ml
Natrio chloridas 0,9% 335
Suderinamas
Įpurškimas Amikacin sulfate 10 mg/ml
Įpurškimas Sulbactam/durlobactam 15/15 mg/ml
Natrio chloridas 0,9% 4801
Suderinamas
Įpurškimas Amikacin sulfate 5 mg/ml
Įpurškimas Tedizolid phosphate 0.8 mg/ml
Natrio chloridas 0,9% 3827
Nepatikslintas nesuderinamumas Nesuderinamas
Įpurškimas Amikacin sulfate
Įpurškimas Teicoplanine
3656
Suderinamas
Įpurškimas Amikacin sulfate
Natrio chloridas 0,9% 5076
Nepatikslintas nesuderinamumas Nesuderinamas
Įpurškimas Amikacin sulfate 50 mg/ml
Įpurškimas Propofol
4524
Nepatikslintas nesuderinamumas Nesuderinamas
Įpurškimas Amikacin sulfate
Įpurškimas Temocilline
2296
Suderinamas
Įpurškimas Amikacin sulfate 15 mg/ml
Įpurškimas Temocilline 83.33 mg/ml
Vanduo injekcijoms 2231
Cheminis nestabilumas Nesuderinamas
Įpurškimas Amikacin sulfate
Įpurškimas Temocilline
3549
Suderinamas
Įpurškimas Amikacin sulfate 5 mg/ml
Įpurškimas Teniposide 0.1 mg/ml
Gliukozė 5% 905
Nepatikslintas nesuderinamumas Nesuderinamas
Įpurškimas Amikacin sulfate
Įpurškimas Thiamine hydrochloride
3549
Nedelsiant krituliai Nesuderinamas
Įpurškimas Amikacin sulfate 250 mg/ml
Įpurškimas Thiopental sodium 25 mg/ml
Natrio chloridas 0,9% 3767
Nepatikslintas nesuderinamumas Nesuderinamas
Įpurškimas Amikacin sulfate
Įpurškimas Thiopental sodium
3549
Suderinamas
Įpurškimas Amikacin sulfate 5 mg/ml
Įpurškimas Thiotepa 1 mg/ml
Gliukozė 5% 249
Cheminis nestabilumas Nesuderinamas
Įpurškimas Amikacin sulfate
Įpurškimas Ticarcillin / clavulanic acid
3587
Cheminis nestabilumas Nesuderinamas
Įpurškimas Amikacin sulfate
Įpurškimas Ticarcillin / clavulanic acid
3549
Suderinamas
Įpurškimas Amikacin sulfate
Įpurškimas Tigecycline
Natrio chloridas 0,9% 3332
Suderinamas
Įpurškimas Amikacin sulfate 15 mg/ml
Įpurškimas Vancomycin hydrochloride 10 mg/ml
Gliukozė 5% 3385
Suderinamas
Įpurškimas Amikacin sulfate 2 mg/ml
Įpurškimas Verapamil hydrochloride 0.08 mg/ml
Natrio chloridas 0,9% 1057
Suderinamas
Įpurškimas Amikacin sulfate 2 mg/ml
Įpurškimas Verapamil hydrochloride 0.08 mg/ml
Gliukozė 5% 1057
Tiesioginis drumstumas Nesuderinamas
Įpurškimas Amikacin sulfate 5 mg/ml
Įpurškimas Vinorelbine tartrate 1 mg/ml
Natrio chloridas 0,9% 84
Suderinamas
Įpurškimas Amikacin sulfate 5 mg/ml
Įpurškimas Warfarin sodium 0.1 & 2 mg/ml
Gliukozė 5% 552
Suderinamas
Įpurškimas Amikacin sulfate 5 mg/ml
Įpurškimas Warfarin sodium 0.1 & 2 mg/ml
Natrio chloridas 0,9% 552
Suderinamas
Įpurškimas Amikacin sulfate 4 mg/ml
Įpurškimas Zidovudine 4 mg/ml
Gliukozė 5% 337

  Mentions Légales