Ultimo aggiornamento :
18/03/2026
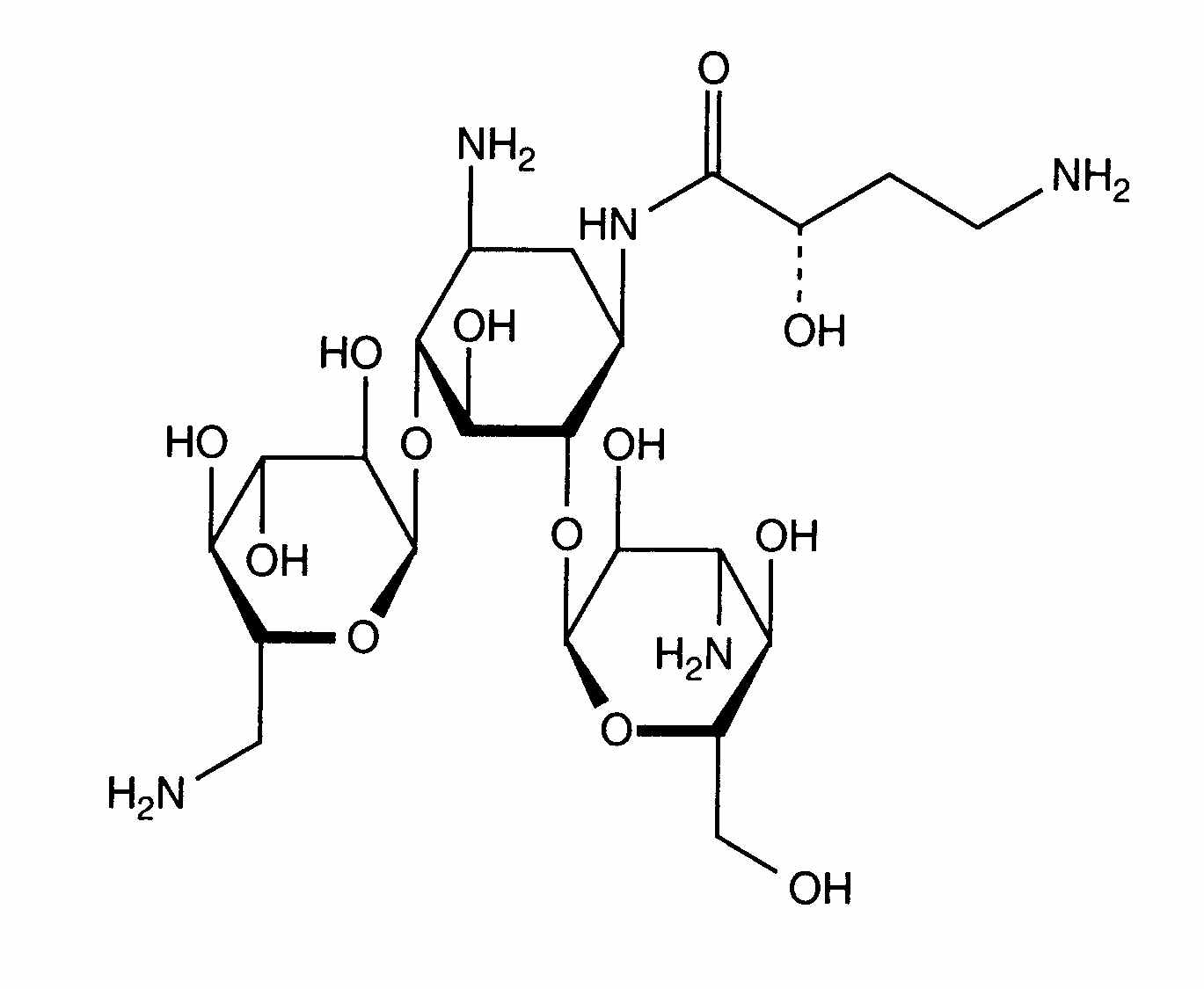
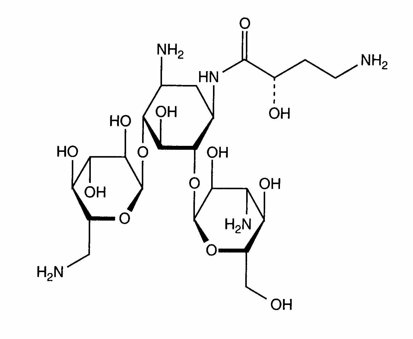
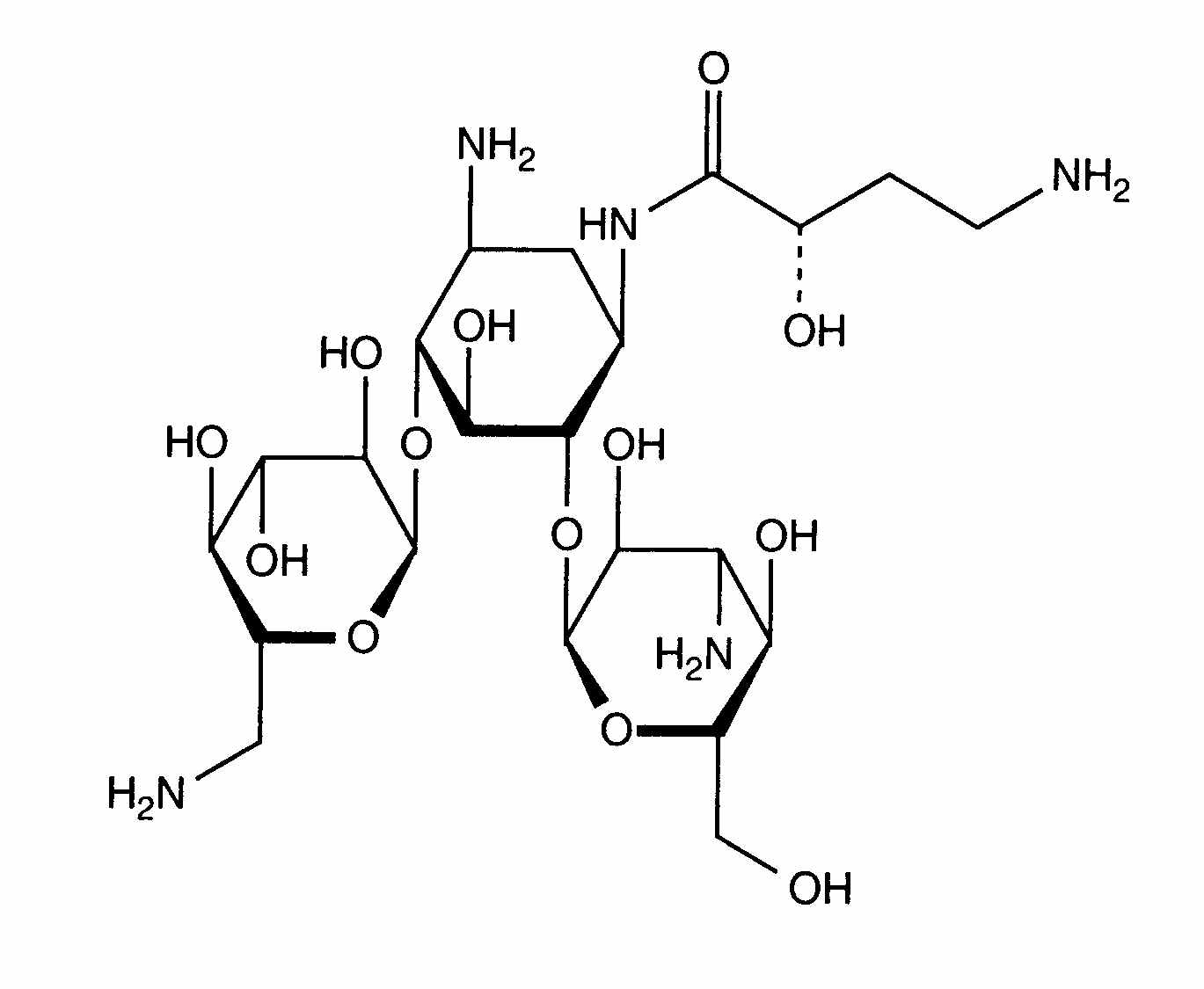
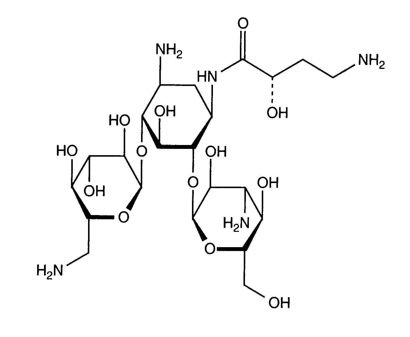
Antibiotico   Amikacin sulfate  
Iniezione
Stabilità in soluzione Stabilità in miscela Fattori che influenzano la stabilità Compatibilità metodo di iniezione Bibliografia pdf
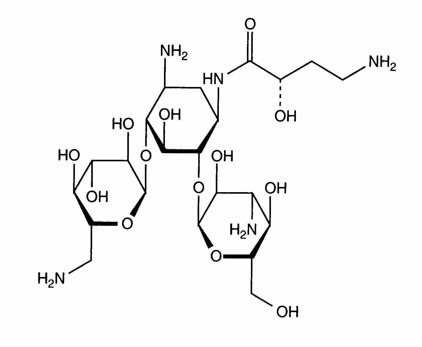
   Struttura chimica  

Nome commerciale   Nome commerciale     

Trade names are indicative and excipients composition can be different depending on the country and manufacturers

Adnet India
Agnicin Messico
Akamin Ecuador
Akim Ecuador
Amicacil Brasile
Amicilon Brasile
Amicin Malaysia
Amicip Venezuela
Amijeksin Turchia
Amikabiot Ecuador, Perù
Amikacin Arabia Saudita, Canada, Egitto, Germania, Gran Bretagna, Iran, Malaysia, nuova Zelanda, Stati Uniti d’America
Amikacina Argentina, Chile, Colombia, Ecuador, Italia, Messico, Perù, Spagna, Venezuela
Amikacine Belgio, Francia, Marocco, Paesi Bassi
Amikafur Messico
Amikagram Perù
Amikalem Messico
Amikamed Perù
Amikamek Perù
Amikan Italia
Amikavax Venezuela
Amikaver Turchia
Amikayect Messico
Amikem Perù
Amiketem Turchia
Amikin Arabia Saudita, Australia, Brasile, Colombia, Ecuador, Egitto, Gran Bretagna, Irlanda, Messico, Perù, Polonia, Stati Uniti d’America, Svizzera, Tunisia, Ungheria
Amiklin Francia, Turchia
Amikosit Romania, Tunisia, Turchia
Amikram Perù
Amukin Belgio, Lussemburgo, Paesi Bassi
Apalin Malaysia
Baxi K Chile, Messico
Behcacin India, Venezuela
Belka India
Biclin Austria, Finlandia, Germania, Messico, Portogallo, Spagna, Svezia
Biodacyna Polonia
Biokacin Messico
Briklin Grecia
Cadicin India
Chemacin Italia
Cikabit India
Cinamica India
Cinas India
Consumonit Grecia
Domak India
Doxocar Argentina
Elcin India
Elmik India
Emcin India
Emica India
Farcyclin Grecia
Flexelite Grecia
Greini Argentina
Ipacin Iran
Itukacin Perù
Kancin Grecia
Lanomycin Grecia
Lukadin Italia
Masmika India
Mediamik Italia
Micalpha Grecia
Micigen Messico
Migracin Italia
Mikacin Arabia Saudita
Nekacin Italia
Novamin Brasile
Orlobin Grecia
Remikin Grecia
Rovericlin Grecia
Uzix Grecia
Compatibilità   Iniezione   Compatibilità : Amikacin sulfate              
explication_incompatibilite_molecules
Molecola Solvente Bibliografia
Compatibile
Iniezione Amikacin sulfate 5 mg/ml
Iniezione Aciclovir sodium 5 mg/ml
Glucosio 5% 336
Precipitazioni dopo 1 ora Incompatibile
Iniezione Amikacin sulfate 5 mg/ml
Iniezione Allopurinol sodium 3 mg/ml
Cloruro di sodio 0,9% 307
Compatibile
Iniezione Amikacin sulfate 5 mg/ml
Iniezione Amifostine 10 mg/ml
Glucosio 5% 3
Compatibile
Iniezione Amikacin sulfate 5 mg/ml
Iniezione Amiodarone hydrochloride 4 mg/ml
Cloruro di sodio 0,9% 385
Compatibile
Iniezione Amikacin sulfate 5 mg/ml
Iniezione Amiodarone hydrochloride 4 mg/ml
Glucosio 5% 385
Instabilità chimica Incompatibile
Iniezione Amikacin sulfate
Iniezione Amoxicillin sodium
3527
Instabilità chimica Incompatibile
Iniezione Amikacin sulfate
Iniezione Amoxicillin sodium
3549
Compatibile
Iniezione Amikacin sulfate 250 mg/ml
Iniezione Amoxicillin sodium / clavulanic acid 100/10 mg/ml
3824
Instabilità chimica Incompatibile
Iniezione Amikacin sulfate
Iniezione Amoxicillin sodium / clavulanic acid
3549
Incompatibilità non specificata Incompatibile
Iniezione Amikacin sulfate
Iniezione Amoxicillin sodium / clavulanic acid
3545
Incompatibilità non specificata Incompatibile
Iniezione Amikacin sulfate
Iniezione Amphotericin B
3549
Precipitazioni immediate Incompatibile
Iniezione Amikacin sulfate 5 mg/ml
Iniezione Amphotericin B cholesteryl sulfate complex 0.83 mg/ml
Glucosio 5% 921
Instabilità chimica Incompatibile
Iniezione Amikacin sulfate
Iniezione Ampicillin sodium
3549
Instabilità chimica Incompatibile
Iniezione Amikacin sulfate
Iniezione Ampicillin sodium - sulbactam sodium
3549
Compatibile
Iniezione Amikacin sulfate 5 mg/ml
Iniezione Amsacrine 1 mg/ml
Glucosio 5% 253
Compatibile
Iniezione Amikacin sulfate 5 mg/ml
Iniezione Anidulafungin 0.5 mg/ml
Glucosio 5% 1982
Incompatibilità non specificata Incompatibile
Iniezione Amikacin sulfate
Iniezione Ascorbic acid
3549
Precipitazioni immediate Incompatibile
Iniezione Amikacin sulfate 100 mg/ml
Iniezione Azithromycine 2 mg/ml
Cloruro di sodio 0,9% 1800
Instabilità chimica Incompatibile
Iniezione Amikacin sulfate
Iniezione Aztreonam
3549
Compatibile
Iniezione Amikacin sulfate 5 mg/ml
Iniezione Aztreonam 40 mg/ml
Glucosio 5% 99
Compatibile
Iniezione Amikacin sulfate 5 mg/ml
Iniezione Bivalirudin 5 mg/ml
Glucosio 5% 1713
Compatibile
Iniezione Amikacin sulfate 250 mg/ml
Iniezione Caffeine 10 mg/ml
Nessuno 3964
Incompatibile
Iniezione Amikacin sulfate
Iniezione Calcium gluconate
4964
Incompatibilità non specificata Incompatibile
Iniezione Amikacin sulfate
Iniezione Calcium gluconate
3644
Compatibile
Iniezione Amikacin sulfate 5 mg/ml
Iniezione Caspofungin acetate 0,7 mg/ml
Cloruro di sodio 0,9% 2247
Instabilità chimica Incompatibile
Iniezione Amikacin sulfate
Iniezione Cefalotin sodium
3549
Instabilità chimica Incompatibile
Iniezione Amikacin sulfate
Iniezione Cefamandole nafate
3549
Incompatibilità non specificata Incompatibile
Iniezione Amikacin sulfate
Iniezione Cefamandole nafate
3546
Instabilità chimica Incompatibile
Iniezione Amikacin sulfate
Iniezione Cefazolin sodium
3549
Compatibile
Iniezione Amikacin sulfate 6 mg/ml
Iniezione Cefepime dihydrochloride 40 mg/ml
Cloruro di sodio 0,9% 3548
Compatibile
Iniezione Amikacin sulfate 6 mg/ml
Iniezione Cefepime dihydrochloride 40 mg/ml
Glucosio 5% 3548
Compatibile
Iniezione Amikacin sulfate 15 mg/ml
Iniezione Cefepime dihydrochloride 125 mg/ml
Acqua per preparato iniettabile 2141
Instabilità chimica Incompatibile
Iniezione Amikacin sulfate
Iniezione Cefepime dihydrochloride
3549
Compatibile
Iniezione Amikacin sulfate 5 mg/ml
Iniezione Cefiderocol sulfate tosylate 20 mg/mL
Glucosio 5% 4528
Instabilità chimica Incompatibile
Iniezione Amikacin sulfate
Iniezione Cefmenoxime
3549
Instabilità chimica Incompatibile
Iniezione Amikacin sulfate
Iniezione Cefmetazole sodium
3549
Instabilità chimica Incompatibile
Iniezione Amikacin sulfate
Iniezione Cefonicid sodium
3549
Instabilità chimica Incompatibile
Iniezione Amikacin sulfate
Iniezione Cefoperazone sodium
3549
Incompatibilità non specificata Incompatibile
Iniezione Amikacin sulfate
Iniezione Cefoperazone sodium
3544
Instabilità chimica Incompatibile
Iniezione Amikacin sulfate
Iniezione Ceforanide
3549
Instabilità chimica Incompatibile
Iniezione Amikacin sulfate
Iniezione Cefotaxime sodium
3549
Instabilità chimica Incompatibile
Iniezione Amikacin sulfate
Iniezione Cefoxitin sodium
3549
Incompatibilità non specificata Incompatibile
Iniezione Amikacin sulfate
Iniezione Cefpirome sulfate
3677
Compatibile
Iniezione Amikacin sulfate 5 mg/ml
Iniezione Cefpirome sulfate 50 mg/ml
Cloruro di sodio 0,45% 280
Compatibile
Iniezione Amikacin sulfate 5 mg/ml
Iniezione Cefpirome sulfate 50 mg/ml
Glucosio 5% 280
Compatibile
Iniezione Amikacin sulfate 5 mg/ml
Iniezione Cefpirome sulfate 50 mg/ml
Cloruro di sodio 0,9% 280
Compatibile
Iniezione Amikacin sulfate 5 mg/ml
Iniezione Cefpirome sulfate 50 mg/ml
Ringer lattato 280
Instabilità chimica Incompatibile
Iniezione Amikacin sulfate
Iniezione Cefpirome sulfate
3549
Compatibile
Iniezione Amikacin sulfate 5 mg/ml
Iniezione Ceftaroline fosamil 2,22 mg/ml
Ringer lattato 3249
Compatibile
Iniezione Amikacin sulfate 5 mg/ml
Iniezione Ceftaroline fosamil 2,22 mg/ml
Glucosio 5% 3249
Compatibile
Iniezione Amikacin sulfate 5 mg/ml
Iniezione Ceftaroline fosamil 2,22 mg/ml
Cloruro di sodio 0,9% 3249
Incompatibilità non specificata Incompatibile
Iniezione Amikacin sulfate
Iniezione Ceftazidime
3883
Incompatibilità non specificata Incompatibile
Iniezione Amikacin sulfate
Iniezione Ceftazidime
3543
Compatibile
Iniezione Amikacin sulfate 15 mg/ml
Iniezione Ceftazidime 83.3 mg/ml
1759
Instabilità chimica Incompatibile
Iniezione Amikacin sulfate
Iniezione Ceftazidime Avibactam
3549
Precipitazioni immediate Incompatibile
Iniezione Amikacin sulfate 5 mg/ml
Iniezione Ceftobiprole medocaril sodium 2 mg/ml
Cloruro di sodio 0,9% 2269
Incompatibilità non specificata Incompatibile
Iniezione Amikacin sulfate
Iniezione Ceftobiprole medocaril sodium
4650
Compatibile
Iniezione Amikacin sulfate
Glucosio 5% 5076
Instabilità chimica Incompatibile
Iniezione Amikacin sulfate
Iniezione Ceftaroline fosamil
3549
Instabilità chimica Incompatibile
Iniezione Amikacin sulfate
Iniezione Ceftazidime
3549
Compatibile
Iniezione Amikacin sulfate 15 mg/ml
Iniezione Ceftazidime 125 mg/ml
Acqua per preparato iniettabile 2141
Instabilità chimica Incompatibile
Iniezione Amikacin sulfate
Iniezione Ceftizoxime sodium
3549
Precipitazioni immediate Incompatibile
Iniezione Amikacin sulfate 5 mg/ml
Iniezione Ceftobiprole medocaril sodium 2 mg/ml
Glucosio 5% 2269
Instabilità chimica Incompatibile
Iniezione Amikacin sulfate
Iniezione Ceftobiprole medocaril sodium
3549
Precipitazioni immediate Incompatibile
Iniezione Amikacin sulfate 5 mg/ml
Iniezione Ceftobiprole medocaril sodium 2 mg/ml
Ringer lattato 2269
Compatibile
Iniezione Amikacin sulfate 5 mg/ml
Iniezione Ceftolozane / tazobactam 10/5 mg/ml
Glucosio 5% 3828
Compatibile
Iniezione Amikacin sulfate 5 mg/ml
Iniezione Ceftolozane / tazobactam 10/5 mg/ml
Cloruro di sodio 0,9% 3828
Instabilità chimica Incompatibile
Iniezione Amikacin sulfate
Iniezione Ceftolozane / tazobactam
3549
Incompatibilità non specificata Incompatibile
Iniezione Amikacin sulfate
Iniezione Ceftriaxone disodium
3523
Instabilità chimica Incompatibile
Iniezione Amikacin sulfate
Iniezione Ceftriaxone disodium
3549
Instabilità chimica Incompatibile
Iniezione Amikacin sulfate
Iniezione Cefuroxime sodium
3549
Incompatibilità non specificata Incompatibile
Iniezione Amikacin sulfate
Iniezione Cefuroxime sodium
3687
Instabilità chimica Incompatibile
Iniezione Amikacin sulfate
Iniezione Cefuzonam
3549
Incompatibilità non specificata Incompatibile
Iniezione Amikacin sulfate
Iniezione Chlorothiazide sodium
3549
Compatibile
Iniezione Amikacin sulfate 2.5 mg/ml
Iniezione Cimetidine hydrochloride 1.5 mg/ml
Glucosio 5% 1201
Instabilità chimica Incompatibile
Iniezione Amikacin sulfate 4 mg/ml
Iniezione Ciprofloxacin lactate 1.5 mg/ml
Cloruro di sodio 0,9% 434
Instabilità chimica Incompatibile
Iniezione Amikacin sulfate 4 mg/ml
Iniezione Ciprofloxacin lactate 1.5 mg/ml
Glucosio 5% 434
Compatibile
Iniezione Amikacin sulfate 5 mg/ml
Iniezione Cisatracurium besylate 0.1 >> 5 mg/ml
Glucosio 5% 299
Compatibile
Iniezione Amikacin sulfate 4 mg/ml
Iniezione Clindamycin phosphate 9 mg/ml
Cloruro di sodio 0,9% 565
Compatibile
Iniezione Amikacin sulfate 250 mg/ml
Nutrizione parenterale (privo di lipidi) 999
Compatibile
Iniezione Amikacin sulfate 5 mg/ml
Iniezione Ciprofloxacin lactate 2 mg/ml
Glucosio 5% 285
Instabilità chimica Incompatibile
Iniezione Amikacin sulfate
Iniezione Cisplatin
3578
Compatibile
Iniezione Amikacin sulfate 75 mg/ml
Iniezione Clindamycin phosphate 90 mg/ml
Cloruro di sodio 0,9% 639
Compatibile
Iniezione Amikacin sulfate
Iniezione Clindamycin phosphate
Cloruro di sodio 0,9% 3526
Incompatibilità subvisuale Incompatibile
Iniezione Amikacin sulfate 250 mg/ml
Iniezione Cloxacillin sodium 100 mg/ml
Acqua per preparato iniettabile 3012
Incompatibilità non specificata Incompatibile
Iniezione Amikacin sulfate
Iniezione Daunorubicin/cytarabine liposomale
4354
Compatibile
Iniezione Amikacin sulfate 5 mg/ml
Nutrizione parenterale (privo di lipidi) 316
Compatibile
Iniezione Amikacin sulfate 4 mg/ml
Iniezione Clindamycin phosphate 9 mg/ml
Glucosio 5% 565
Compatibile
Iniezione Amikacin sulfate
Iniezione Clindamycin phosphate
Glucosio 5% 3526
Instabilità chimica Incompatibile
Iniezione Amikacin sulfate
Iniezione Cloxacillin sodium
3549
Incompatibilità non specificata Incompatibile
Iniezione Amikacin sulfate
Iniezione Cyanocobalamine
3549
Torbidità immediata Incompatibile
Iniezione Amikacin sulfate
Iniezione Daunorubicin/cytarabine liposomale 0,4 mg/mL
Cloruro di sodio 0,9% 4654
Precipitazioni immediate Incompatibile
Iniezione Amikacin sulfate 5 mg/ml
Iniezione Defibrotide 8 mg/ml
Cloruro di sodio 0,9% 3728
Compatibile
Iniezione Amikacin sulfate 50 mg/ml
Iniezione Dexamethasone sodium phosphate 4 mg/ml
Cloruro di sodio 0,45% 132
Incompatibilità non specificata Incompatibile
Iniezione Amikacin sulfate
Iniezione Erythromycin lactobionate
3549
Compatibile
Iniezione Amikacin sulfate 5 mg/ml
Nutrizione parenterale (privo di lipidi) 301
Compatibile
Iniezione Amikacin sulfate 5 mg/ml
Iniezione Dexmedetomidine 4 µg/ml
Cloruro di sodio 0,9% 1712
Compatibile
Iniezione Amikacin sulfate 5 & 250 mg/ml
Iniezione Diltiazem hydrochloride 5 mg/ml
Cloruro di sodio 0,9% 198
Compatibile
Iniezione Amikacin sulfate 5 mg/ml
Iniezione Docetaxel 0.9 mg/ml
Glucosio 5% 1754
Compatibile
Iniezione Amikacin sulfate 5 mg/ml
Iniezione Doripenem 5 mg/ml
Cloruro di sodio 0,9% 2262
Compatibile
Iniezione Amikacin sulfate 5 mg/ml
Iniezione Doripenem 5 mg/ml
Glucosio 5% 2262
Instabilità chimica Incompatibile
Iniezione Amikacin sulfate
Iniezione Doripenem
3549
Compatibile
Iniezione Amikacin sulfate 2 mg/ml
Iniezione Enalaprilate 0.05 mg/ml
Cloruro di sodio 0,9% 1315
Instabilità chimica Incompatibile
Iniezione Amikacin sulfate
Iniezione Ertapenem
3549
Incompatibilità non specificata Incompatibile
Iniezione Amikacin sulfate
Iniezione Erythromycin lactobionate
3674
Compatibile
Iniezione Amikacin sulfate 5 mg/ml
Iniezione Esmolol hydrochloride 10 mg/ml
Glucosio 5% 384
Compatibile
Iniezione Amikacin sulfate 5 mg/ml
Iniezione Etoposide phosphate 5 mg/ml
Glucosio 5% 1410
Compatibile
Iniezione Amikacin sulfate 5 mg/ml
Iniezione Fenoldopam mesylate 80 µg/ml
Cloruro di sodio 0,9% 1803
Compatibile
Iniezione Amikacin sulfate 5 mg/ml
Iniezione Filgrastim 30 µg/ml
Glucosio 5% 244
Compatibile
Iniezione Amikacin sulfate 0.487 >> 0.667 mg/ml
Nutrizione parenterale (con lipidi) 1868
Compatibile
Iniezione Amikacin sulfate 250 mg/ml
Ringer lattato 4603
Instabilità dell'emulsione dopo 1 ora Incompatibile
Iniezione Amikacin sulfate 250 mg/ml
Nutrizione parenterale (con lipidi) 673
Compatibile
Iniezione Amikacin sulfate 5 mg/ml
Iniezione Filgrastim 40 µg/ml
Glucosio 5% 104
Instabilità immediata dell'emulsione Incompatibile
Iniezione Amikacin sulfate 50 mg/ml
Nutrizione parenterale (con lipidi) 132
Compatibile
Iniezione Amikacin sulfate 5 mg/ml
Nutrizione parenterale (con lipidi) 1415
Precipitazioni immediate Incompatibile
Iniezione Amikacin sulfate
Iniezione Flucloxacillin sodium
3522
Compatibile
Iniezione Amikacin sulfate 20 mg/ml
Iniezione Fluconazole 2 mg/ml
Cloruro di sodio 0,9% 496
Compatibile
Iniezione Amikacin sulfate 5 mg/ml
Iniezione Fluconazole 2 mg/ml
Nessuno 256
Compatibile
Iniezione Amikacin sulfate 5 mg/ml
Iniezione Fludarabine phosphate 1 mg/ml
Glucosio 5% 492
Compatibile
Iniezione Amikacin sulfate 20 mg/ml
Iniezione Foscarnet sodium 24 mg/ml
Nessuno 73
Compatibile
Iniezione Amikacin sulfate 5 mg/ml
Iniezione Fosfomycin 30 mg/ml
Cloruro di sodio 0,9% 4055
Compatibile
Iniezione Amikacin sulfate 5 mg/ml
Iniezione Fosfomycin 30 mg/ml
Glucosio 5% 4055
Precipitazioni immediate Incompatibile
Iniezione Amikacin sulfate 2 mg/ml
Iniezione Furosemide 0,16 mg/ml
Cloruro di sodio 0,9% 367
Precipitazioni immediate Incompatibile
Iniezione Amikacin sulfate 2 mg/ml
Iniezione Furosemide 0,16 mg/ml
Glucosio 5% 367
Compatibile
Iniezione Amikacin sulfate 5 mg/ml
Iniezione Gemcitabine hydrochloride 10 mg/ml
Cloruro di sodio 0,9% 1423
Compatibile
Iniezione Amikacin sulfate 5 mg/ml
Iniezione Granisetron hydrochloride 0.05 mg/ml
Glucosio 5% 182
Incompatibilità non specificata Incompatibile
Iniezione Amikacin sulfate
Iniezione Heparin sodium
3549
Incompatibilità non specificata Incompatibile
Iniezione Amikacin sulfate
Iniezione Heparin sodium
3540
Precipitazioni immediate Incompatibile
Iniezione Amikacin sulfate
Iniezione Heparin sodium
1022
Compatibile
Iniezione Amikacin sulfate 5 mg/ml
Iniezione Hetastarch 60 mg/ml
solvente specifico 1721
Precipitazioni immediate Incompatibile
Iniezione Amikacin sulfate 5 mg/ml
Iniezione Hetastarch 60 mg/ml
Cloruro di sodio 0,9% 472
Compatibile
Iniezione Amikacin sulfate 5 mg/ml
Iniezione Hydromorphone hydrochloride 0.2 mg/ml
Glucosio 5% 405
Torbidità immediata Incompatibile
Iniezione Amikacin sulfate 50 mg/ml
Iniezione Ibuprofen lysinate 10 mg/ml
Acqua per preparato iniettabile 4419
Torbidità immediata Incompatibile
Iniezione Amikacin sulfate 250 mg/ml
Iniezione Ibuprofen lysinate 10 mg/ml
Acqua per preparato iniettabile 4419
Compatibile
Iniezione Amikacin sulfate 5 mg/ml
Iniezione Idarubicin hydrochloride 1 mg/ml
Cloruro di sodio 0,9% 491
Instabilità chimica Incompatibile
Iniezione Amikacin sulfate
Iniezione Imipenem - cilastatin sodium
3549
Compatibile
Iniezione Amikacin sulfate 5 mg/ml
Iniezione Isavuconazonium sulfate 1.5 mg/ml
Glucosio 5% 3829
Compatibile
Iniezione Amikacin sulfate 5 mg/ml
Iniezione Isavuconazonium sulfate 1.5 mg/ml
Cloruro di sodio 0,9% 3829
Compatibile
Iniezione Amikacin sulfate 250 mg/ml
Iniezione Ketamine hydrochloride 50 mg/ml
2109
Compatibile
Iniezione Amikacin sulfate 5 mg/ml
Iniezione Labetalol hydrochloride 1 mg/ml
Glucosio 5% 386
Compatibile
Iniezione Amikacin sulfate 5 mg/ml
Iniezione Lansoprazole 0.55 mg/ml
Cloruro di sodio 0,9% 1625
Compatibile
Iniezione Amikacin sulfate 50 mg/ml
Iniezione Levofloxacine 5 mg/ml
Glucosio 5% 1072
Compatibile
Iniezione Amikacin sulfate 5 mg/ml
Iniezione Linezolid 2 mg/ml
Nessuno 1925
Compatibile
Iniezione Amikacin sulfate 5 mg/ml
Iniezione Lorazepam 0.33 mg/ml
Cloruro di sodio 0,9% 186
Compatibile
Iniezione Amikacin sulfate 5 mg/ml
Iniezione Magnesium sulfate 16.67 >> 100 mg/ml
Glucosio 5% 1047
Compatibile
Iniezione Amikacin sulfate 5 mg/ml
Iniezione Melphalan 0.1 mg/ml
Cloruro di sodio 0,9% 169
Compatibile
Iniezione Amikacin sulfate 250 mg/ml
Iniezione Meropenem 50 mg/ml
4389
Compatibile
Iniezione Amikacin sulfate 250 mg/ml
Iniezione Meropenem 50 mg/ml
Acqua per preparato iniettabile 4319
Instabilità chimica Incompatibile
Iniezione Amikacin sulfate
Iniezione Meropenem
3549
Compatibile
Iniezione Amikacin sulfate
Iniezione Metronidazole
3594
Compatibile
Iniezione Amikacin sulfate 5 mg/ml
Iniezione Metronidazole 5 mg/ml
Nessuno 1035
Compatibile
Iniezione Amikacin sulfate 5 mg/ml
Iniezione Midazolam hydrochloride 5 mg/ml
Nessuno 186
Compatibile
Iniezione Amikacin sulfate 5 mg/ml
Iniezione Morphine sulfate 1 mg/ml
Glucosio 5% 405
Compatibile
Iniezione Amikacin sulfate 250 mg/ml
Iniezione N-acetylcysteine 200 mg/ml
Nessuno 3766
Instabilità chimica Incompatibile
Iniezione Amikacin sulfate
Iniezione Nafcillin sodium
3549
Compatibile
Iniezione Amikacin sulfate 2,5 mg/ml
Iniezione Nalbuphine hydrochloride 0,05 >> 0,33 mg/ml
Cloruro di sodio 0,9% 4867
Compatibile
Iniezione Amikacin sulfate 250 mg/ml
Iniezione Naloxone hydrochloride 0.4 mg/ml
Nessuno 3408
Compatibile
Iniezione Amikacin sulfate 2 mg/ml
Iniezione Nicardipine hydrochloride 0.1 mg/ml
Glucosio 5% 1490
Compatibile
Iniezione Amikacin sulfate 2 mg/ml
Iniezione Nicardipine hydrochloride 0.1 mg/ml
Cloruro di sodio 0,9% 1490
Compatibile
Iniezione Amikacin sulfate 5 mg/ml
Iniezione Ondansetron hydrochloride 1 mg/ml
Cloruro di sodio 0,9% 334
Instabilità chimica Incompatibile
Iniezione Amikacin sulfate
Iniezione Oxacillin sodium
3549
Compatibile
Iniezione Amikacin sulfate 5 mg/ml
Iniezione Paclitaxel 1.2 mg/ml
Glucosio 5% 248
Precipitazioni immediate Incompatibile
Iniezione Amikacin sulfate
Iniezione Pantoprazole sodium
2090
Compatibile
Iniezione Amikacin sulfate 250 mg/ml
Iniezione Paracetamol 10 mg/ml
4742
Compatibile
Iniezione Amikacin sulfate 5 mg/ml
Iniezione Pemetrexed disodium 20 mg/ml
Cloruro di sodio 0,9% 1953
Instabilità chimica Incompatibile
Iniezione Amikacin sulfate
Iniezione Penicillin G potassium
3549
Instabilità chimica Incompatibile
Iniezione Amikacin sulfate
Iniezione Penicillin G sodium
3549
Compatibile
Iniezione Amikacin sulfate 50 mg/ml
Iniezione Pethidine hydrochloride 100 mg/ml
Cloruro di sodio 0,45% 132
Compatibile
Iniezione Amikacin sulfate 5 mg/ml
Iniezione Pethidine hydrochloride 10 mg/ml
Glucosio 5% 405
Incompatibilità non specificata Incompatibile
Iniezione Amikacin sulfate
Iniezione Phenytoin sodium
3549
Compatibile
Iniezione Amikacin sulfate 40 mg/ml
Iniezione Phloroglucinol 2,5 mg/ml
3791
Instabilità chimica Incompatibile
Iniezione Amikacin sulfate
Iniezione Piperacillin sodium
3549
Instabilità chimica Incompatibile
Iniezione Amikacin sulfate
Iniezione Piperacillin sodium / tazobactam
3549
Instabilità chimica Incompatibile
Iniezione Amikacin sulfate
Iniezione Piperacillin sodium / tazobactam
3586
Compatibile
Iniezione Amikacin sulfate
Iniezione Posaconazole
4380
Precipitazioni immediate Incompatibile
Iniezione Amikacin sulfate 5 mg/ml
Iniezione Propofol 10 mg/ml
Nessuno 300
Incompatibilità non specificata Incompatibile
Iniezione Amikacin sulfate
Iniezione Pyridoxine hydrochloride
3549
Compatibile
Iniezione Amikacin sulfate 5 mg/ml
Iniezione Remifentanil hydrochloride 25 & 250 µg/ml
Cloruro di sodio 0,9% 59
Precipitazioni immediate Incompatibile
Iniezione Amikacin sulfate 250 mg/ml
Iniezione Salbutamol sulfate 1 mg/ml
Nessuno 3216
Compatibile
Iniezione Amikacin sulfate 5 mg/ml
Iniezione Sargramostim 10 µg/ml
Cloruro di sodio 0,9% 335
Compatibile
Iniezione Amikacin sulfate 10 mg/ml
Iniezione Sulbactam/durlobactam 15/15 mg/ml
Cloruro di sodio 0,9% 4801
Compatibile
Iniezione Amikacin sulfate 5 mg/ml
Iniezione Tedizolid phosphate 0.8 mg/ml
Cloruro di sodio 0,9% 3827
Incompatibilità non specificata Incompatibile
Iniezione Amikacin sulfate
Iniezione Teicoplanine
3656
Compatibile
Iniezione Amikacin sulfate
Cloruro di sodio 0,9% 5076
Incompatibilità non specificata Incompatibile
Iniezione Amikacin sulfate 50 mg/ml
Iniezione Propofol
4524
Incompatibilità non specificata Incompatibile
Iniezione Amikacin sulfate
Iniezione Temocilline
2296
Compatibile
Iniezione Amikacin sulfate 15 mg/ml
Iniezione Temocilline 83.33 mg/ml
Acqua per preparato iniettabile 2231
Instabilità chimica Incompatibile
Iniezione Amikacin sulfate
Iniezione Temocilline
3549
Compatibile
Iniezione Amikacin sulfate 5 mg/ml
Iniezione Teniposide 0.1 mg/ml
Glucosio 5% 905
Incompatibilità non specificata Incompatibile
Iniezione Amikacin sulfate
Iniezione Thiamine hydrochloride
3549
Precipitazioni immediate Incompatibile
Iniezione Amikacin sulfate 250 mg/ml
Iniezione Thiopental sodium 25 mg/ml
Cloruro di sodio 0,9% 3767
Incompatibilità non specificata Incompatibile
Iniezione Amikacin sulfate
Iniezione Thiopental sodium
3549
Compatibile
Iniezione Amikacin sulfate 5 mg/ml
Iniezione Thiotepa 1 mg/ml
Glucosio 5% 249
Instabilità chimica Incompatibile
Iniezione Amikacin sulfate
Iniezione Ticarcillin / clavulanic acid
3587
Instabilità chimica Incompatibile
Iniezione Amikacin sulfate
Iniezione Ticarcillin / clavulanic acid
3549
Compatibile
Iniezione Amikacin sulfate
Iniezione Tigecycline
Cloruro di sodio 0,9% 3332
Compatibile
Iniezione Amikacin sulfate 15 mg/ml
Iniezione Vancomycin hydrochloride 10 mg/ml
Glucosio 5% 3385
Compatibile
Iniezione Amikacin sulfate 2 mg/ml
Iniezione Verapamil hydrochloride 0.08 mg/ml
Cloruro di sodio 0,9% 1057
Compatibile
Iniezione Amikacin sulfate 2 mg/ml
Iniezione Verapamil hydrochloride 0.08 mg/ml
Glucosio 5% 1057
Torbidità immediata Incompatibile
Iniezione Amikacin sulfate 5 mg/ml
Iniezione Vinorelbine tartrate 1 mg/ml
Cloruro di sodio 0,9% 84
Compatibile
Iniezione Amikacin sulfate 5 mg/ml
Iniezione Warfarin sodium 0.1 & 2 mg/ml
Glucosio 5% 552
Compatibile
Iniezione Amikacin sulfate 5 mg/ml
Iniezione Warfarin sodium 0.1 & 2 mg/ml
Cloruro di sodio 0,9% 552
Compatibile
Iniezione Amikacin sulfate 4 mg/ml
Iniezione Zidovudine 4 mg/ml
Glucosio 5% 337

  Mentions Légales