Senaste uppdateringen :
18/03/2026
Antibiotikum   Amikacin sulfate  
injektion
Lösningars stabilitet Stabilitet i blandningar Faktorer som påverkar stabiliteten Kompatibilitet Administreringssätt Hänvisningar pdf
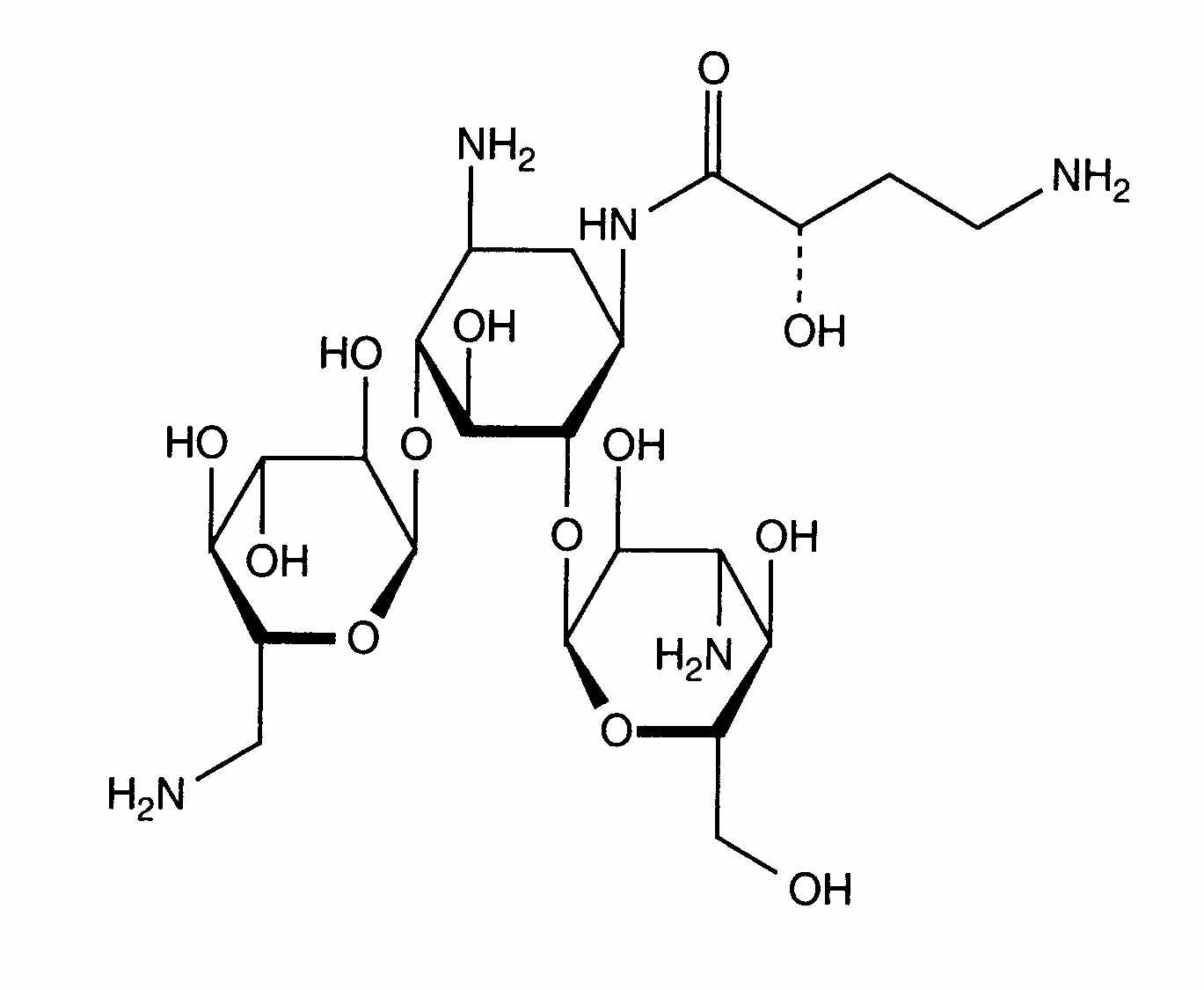
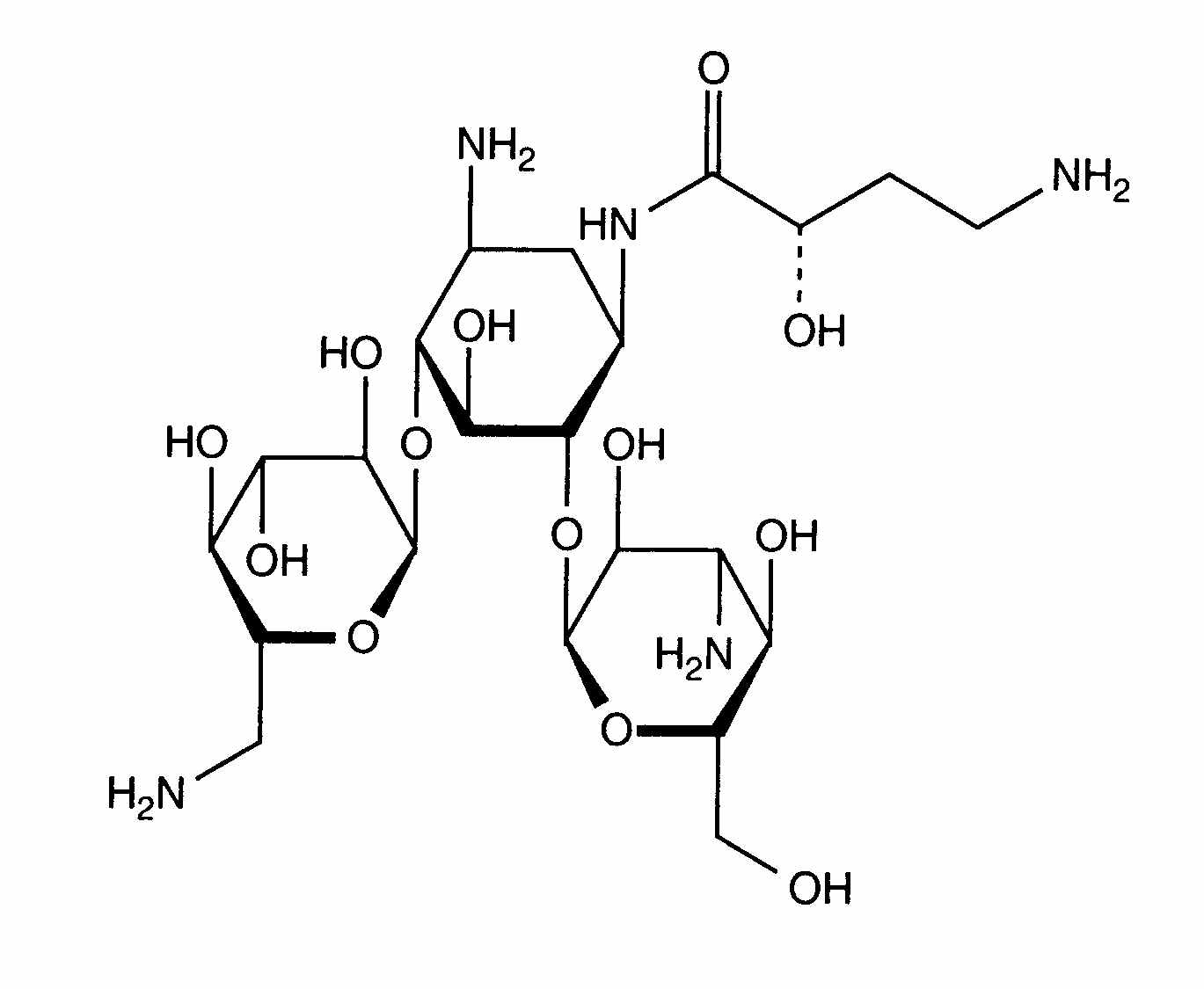
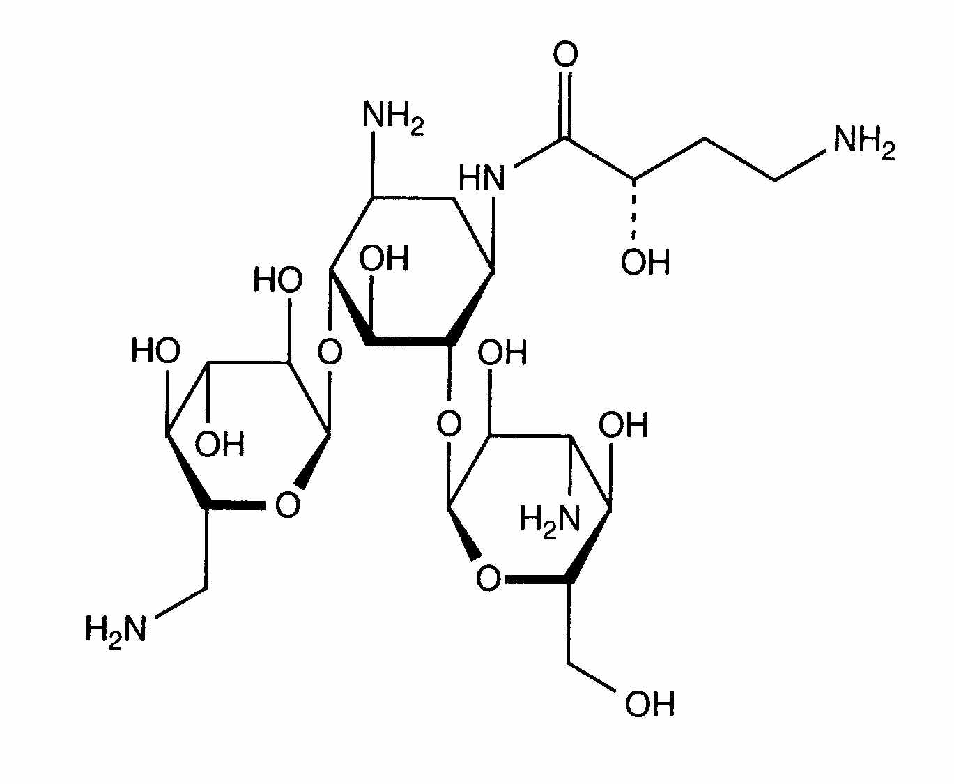
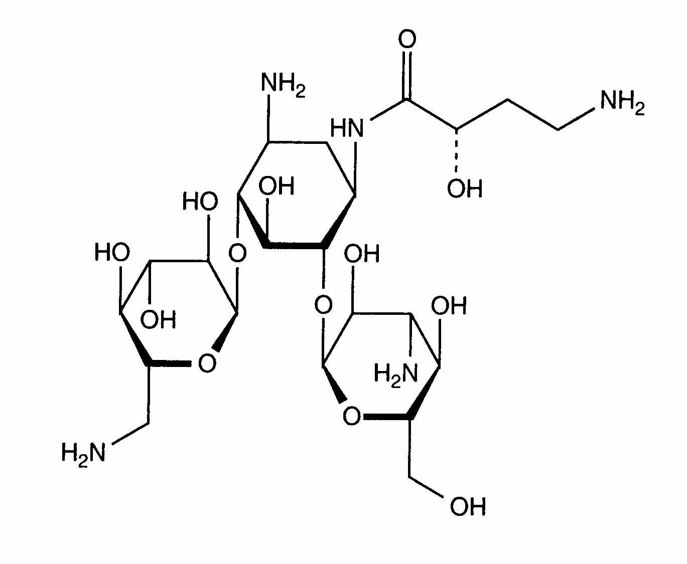
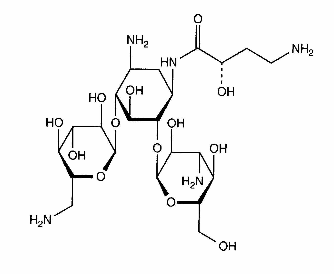
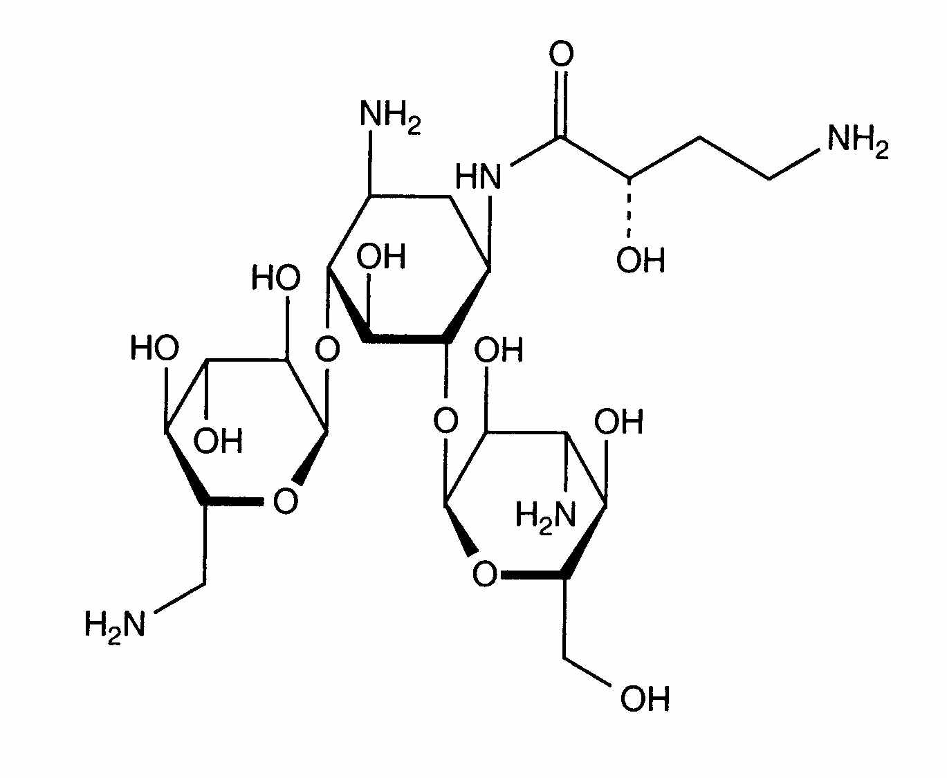
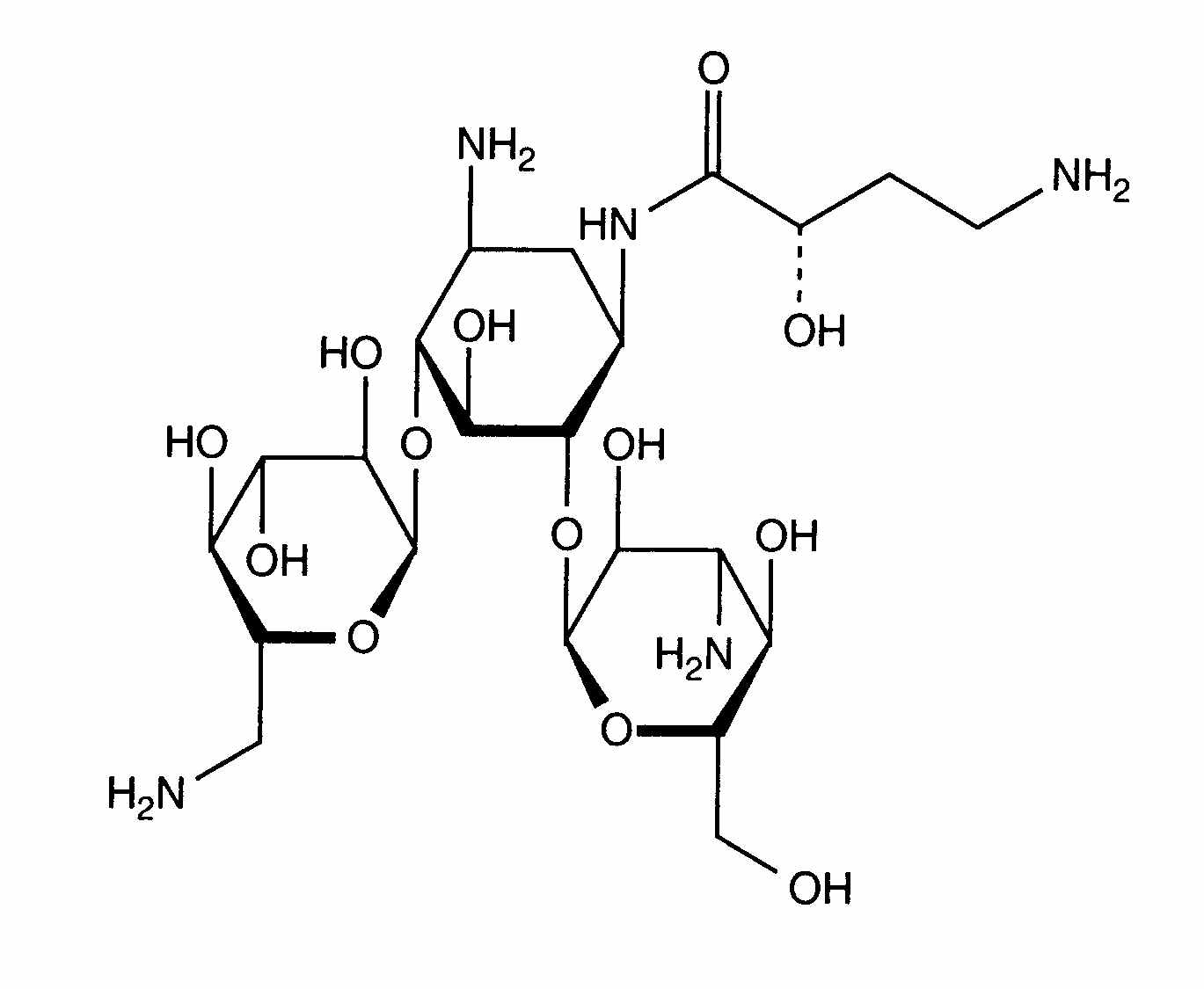
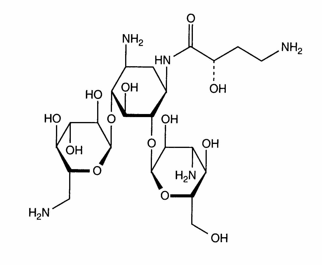
   Molekylstruktur  

Varunamn   Varunamn     

Angivna handelsnamn på läkemedel är enbart vägledande då formulering inklusive hjälpämnen kan variera mellan länder och tillverkare

Adnet Indien
Agnicin Mexiko
Akamin Ecuador
Akim Ecuador
Amicacil Brasilien
Amicilon Brasilien
Amicin Malaysia
Amicip Venezuela
Amijeksin Turkiet
Amikabiot Ecuador, Peru
Amikacin Egypten, Förenta Staterna, Iran, Kanada, Malaysia, nya Zeeland, Saudi-Arabien, Storbritannien, Tyskland
Amikacina Argentina, Chile, Colombia, Ecuador, Italien, Mexiko, Peru, Spanien, Venezuela
Amikacine Belgien, Frankrike, Marocko, Nederländerna
Amikafur Mexiko
Amikagram Peru
Amikalem Mexiko
Amikamed Peru
Amikamek Peru
Amikan Italien
Amikavax Venezuela
Amikaver Turkiet
Amikayect Mexiko
Amikem Peru
Amiketem Turkiet
Amikin Australien, Brasilien, Colombia, Ecuador, Egypten, Förenta Staterna, Irland, Mexiko, Peru, Polen, Saudi-Arabien, Schweiz, Storbritannien, Tunisien, Ungern
Amiklin Frankrike, Turkiet
Amikosit Rumänien, Tunisien, Turkiet
Amikram Peru
Amukin Belgien, Luxemburg, Nederländerna
Apalin Malaysia
Baxi K Chile, Mexiko
Behcacin Indien, Venezuela
Belka Indien
Biclin Finland, Mexiko, Österrike, Portugal, Spanien, Sverige, Tyskland
Biodacyna Polen
Biokacin Mexiko
Briklin Grekland
Cadicin Indien
Chemacin Italien
Cikabit Indien
Cinamica Indien
Cinas Indien
Consumonit Grekland
Domak Indien
Doxocar Argentina
Elcin Indien
Elmik Indien
Emcin Indien
Emica Indien
Farcyclin Grekland
Flexelite Grekland
Greini Argentina
Ipacin Iran
Itukacin Peru
Kancin Grekland
Lanomycin Grekland
Lukadin Italien
Masmika Indien
Mediamik Italien
Micalpha Grekland
Micigen Mexiko
Migracin Italien
Mikacin Saudi-Arabien
Nekacin Italien
Novamin Brasilien
Orlobin Grekland
Remikin Grekland
Rovericlin Grekland
Uzix Grekland
Kompatibilitet   injektion   Kompatibilitet : Amikacin sulfate              
Den här skärmen visar kompatibiliteten eller inkompatibiliteten med, i detta fall, typen av inkompatibilitet (utfällning, färgförändring, modifiering av en emulsion, etc.). De kompatibiliteter som visas här är oftast endast fysiska, varvid den kemiska stabiliteten för varje molekyl sällan utvärderas. Utvärderingen av dessa blandningar studerades för att överväga möjligheten för Y-platsadministrering till patienten. Dessa data kan inte användas för att göra blandningar i förväg i påsar eller sprutor. Denna typ av information finns på skärmen "Stabilitet i blandning".
Substans Lösningsmedel Hänvisningar
Kompatibel
injektion Amikacin sulfate 5 mg/ml
injektion Aciclovir sodium 5 mg/ml
Glukos 5 % 336
Utfällning efter 1 timme Oförenlig
injektion Amikacin sulfate 5 mg/ml
injektion Allopurinol sodium 3 mg/ml
Natriumklorid 0,9 % 307
Kompatibel
injektion Amikacin sulfate 5 mg/ml
injektion Amifostine 10 mg/ml
Glukos 5 % 3
Kompatibel
injektion Amikacin sulfate 5 mg/ml
injektion Amiodarone hydrochloride 4 mg/ml
Natriumklorid 0,9 % 385
Kompatibel
injektion Amikacin sulfate 5 mg/ml
injektion Amiodarone hydrochloride 4 mg/ml
Glukos 5 % 385
Kemisk instabilitet Oförenlig
injektion Amikacin sulfate
injektion Amoxicillin sodium
3527
Kemisk instabilitet Oförenlig
injektion Amikacin sulfate
injektion Amoxicillin sodium
3549
Kompatibel
injektion Amikacin sulfate 250 mg/ml
injektion Amoxicillin sodium / clavulanic acid 100/10 mg/ml
3824
Kemisk instabilitet Oförenlig
injektion Amikacin sulfate
injektion Amoxicillin sodium / clavulanic acid
3549
Ospecificerad inkompatibilitet Oförenlig
injektion Amikacin sulfate
injektion Amoxicillin sodium / clavulanic acid
3545
Ospecificerad inkompatibilitet Oförenlig
injektion Amikacin sulfate
injektion Amphotericin B
3549
Omedelbar nederbörd Oförenlig
injektion Amikacin sulfate 5 mg/ml
injektion Amphotericin B cholesteryl sulfate complex 0.83 mg/ml
Glukos 5 % 921
Kemisk instabilitet Oförenlig
injektion Amikacin sulfate
injektion Ampicillin sodium
3549
Kemisk instabilitet Oförenlig
injektion Amikacin sulfate
injektion Ampicillin sodium - sulbactam sodium
3549
Kompatibel
injektion Amikacin sulfate 5 mg/ml
injektion Amsacrine 1 mg/ml
Glukos 5 % 253
Kompatibel
injektion Amikacin sulfate 5 mg/ml
injektion Anidulafungin 0.5 mg/ml
Glukos 5 % 1982
Ospecificerad inkompatibilitet Oförenlig
injektion Amikacin sulfate
injektion Ascorbic acid
3549
Omedelbar nederbörd Oförenlig
injektion Amikacin sulfate 100 mg/ml
injektion Azithromycine 2 mg/ml
Natriumklorid 0,9 % 1800
Kemisk instabilitet Oförenlig
injektion Amikacin sulfate
injektion Aztreonam
3549
Kompatibel
injektion Amikacin sulfate 5 mg/ml
injektion Aztreonam 40 mg/ml
Glukos 5 % 99
Kompatibel
injektion Amikacin sulfate 5 mg/ml
injektion Bivalirudin 5 mg/ml
Glukos 5 % 1713
Kompatibel
injektion Amikacin sulfate 250 mg/ml
injektion Caffeine 10 mg/ml
Ingen 3964
Oförenlig
injektion Amikacin sulfate
injektion Calcium gluconate
4964
Ospecificerad inkompatibilitet Oförenlig
injektion Amikacin sulfate
injektion Calcium gluconate
3644
Kompatibel
injektion Amikacin sulfate 5 mg/ml
injektion Caspofungin acetate 0,7 mg/ml
Natriumklorid 0,9 % 2247
Kemisk instabilitet Oförenlig
injektion Amikacin sulfate
injektion Cefalotin sodium
3549
Kemisk instabilitet Oförenlig
injektion Amikacin sulfate
injektion Cefamandole nafate
3549
Ospecificerad inkompatibilitet Oförenlig
injektion Amikacin sulfate
injektion Cefamandole nafate
3546
Kemisk instabilitet Oförenlig
injektion Amikacin sulfate
injektion Cefazolin sodium
3549
Kompatibel
injektion Amikacin sulfate 6 mg/ml
injektion Cefepime dihydrochloride 40 mg/ml
Natriumklorid 0,9 % 3548
Kompatibel
injektion Amikacin sulfate 6 mg/ml
injektion Cefepime dihydrochloride 40 mg/ml
Glukos 5 % 3548
Kompatibel
injektion Amikacin sulfate 15 mg/ml
injektion Cefepime dihydrochloride 125 mg/ml
Vatten för injektion 2141
Kemisk instabilitet Oförenlig
injektion Amikacin sulfate
injektion Cefepime dihydrochloride
3549
Kompatibel
injektion Amikacin sulfate 5 mg/ml
injektion Cefiderocol sulfate tosylate 20 mg/mL
Glukos 5 % 4528
Kemisk instabilitet Oförenlig
injektion Amikacin sulfate
injektion Cefmenoxime
3549
Kemisk instabilitet Oförenlig
injektion Amikacin sulfate
injektion Cefmetazole sodium
3549
Kemisk instabilitet Oförenlig
injektion Amikacin sulfate
injektion Cefonicid sodium
3549
Kemisk instabilitet Oförenlig
injektion Amikacin sulfate
injektion Cefoperazone sodium
3549
Ospecificerad inkompatibilitet Oförenlig
injektion Amikacin sulfate
injektion Cefoperazone sodium
3544
Kemisk instabilitet Oförenlig
injektion Amikacin sulfate
injektion Ceforanide
3549
Kemisk instabilitet Oförenlig
injektion Amikacin sulfate
injektion Cefotaxime sodium
3549
Kemisk instabilitet Oförenlig
injektion Amikacin sulfate
injektion Cefoxitin sodium
3549
Ospecificerad inkompatibilitet Oförenlig
injektion Amikacin sulfate
injektion Cefpirome sulfate
3677
Kompatibel
injektion Amikacin sulfate 5 mg/ml
injektion Cefpirome sulfate 50 mg/ml
Natriumklorid 0,45 % 280
Kompatibel
injektion Amikacin sulfate 5 mg/ml
injektion Cefpirome sulfate 50 mg/ml
Glukos 5 % 280
Kompatibel
injektion Amikacin sulfate 5 mg/ml
injektion Cefpirome sulfate 50 mg/ml
Natriumklorid 0,9 % 280
Kompatibel
injektion Amikacin sulfate 5 mg/ml
injektion Cefpirome sulfate 50 mg/ml
Ringer-laktatlösning 280
Kemisk instabilitet Oförenlig
injektion Amikacin sulfate
injektion Cefpirome sulfate
3549
Kompatibel
injektion Amikacin sulfate 5 mg/ml
injektion Ceftaroline fosamil 2,22 mg/ml
Ringer-laktatlösning 3249
Kompatibel
injektion Amikacin sulfate 5 mg/ml
injektion Ceftaroline fosamil 2,22 mg/ml
Glukos 5 % 3249
Kompatibel
injektion Amikacin sulfate 5 mg/ml
injektion Ceftaroline fosamil 2,22 mg/ml
Natriumklorid 0,9 % 3249
Ospecificerad inkompatibilitet Oförenlig
injektion Amikacin sulfate
injektion Ceftazidime
3883
Ospecificerad inkompatibilitet Oförenlig
injektion Amikacin sulfate
injektion Ceftazidime
3543
Kompatibel
injektion Amikacin sulfate 15 mg/ml
injektion Ceftazidime 83.3 mg/ml
1759
Kemisk instabilitet Oförenlig
injektion Amikacin sulfate
injektion Ceftazidime Avibactam
3549
Omedelbar nederbörd Oförenlig
injektion Amikacin sulfate 5 mg/ml
injektion Ceftobiprole medocaril sodium 2 mg/ml
Natriumklorid 0,9 % 2269
Ospecificerad inkompatibilitet Oförenlig
injektion Amikacin sulfate
injektion Ceftobiprole medocaril sodium
4650
Kompatibel
injektion Amikacin sulfate
Glukos 5 % 5076
Kemisk instabilitet Oförenlig
injektion Amikacin sulfate
injektion Ceftaroline fosamil
3549
Kemisk instabilitet Oförenlig
injektion Amikacin sulfate
injektion Ceftazidime
3549
Kompatibel
injektion Amikacin sulfate 15 mg/ml
injektion Ceftazidime 125 mg/ml
Vatten för injektion 2141
Kemisk instabilitet Oförenlig
injektion Amikacin sulfate
injektion Ceftizoxime sodium
3549
Omedelbar nederbörd Oförenlig
injektion Amikacin sulfate 5 mg/ml
injektion Ceftobiprole medocaril sodium 2 mg/ml
Glukos 5 % 2269
Kemisk instabilitet Oförenlig
injektion Amikacin sulfate
injektion Ceftobiprole medocaril sodium
3549
Omedelbar nederbörd Oförenlig
injektion Amikacin sulfate 5 mg/ml
injektion Ceftobiprole medocaril sodium 2 mg/ml
Ringer-laktatlösning 2269
Kompatibel
injektion Amikacin sulfate 5 mg/ml
injektion Ceftolozane / tazobactam 10/5 mg/ml
Glukos 5 % 3828
Kompatibel
injektion Amikacin sulfate 5 mg/ml
injektion Ceftolozane / tazobactam 10/5 mg/ml
Natriumklorid 0,9 % 3828
Kemisk instabilitet Oförenlig
injektion Amikacin sulfate
injektion Ceftolozane / tazobactam
3549
Ospecificerad inkompatibilitet Oförenlig
injektion Amikacin sulfate
injektion Ceftriaxone disodium
3523
Kemisk instabilitet Oförenlig
injektion Amikacin sulfate
injektion Ceftriaxone disodium
3549
Kemisk instabilitet Oförenlig
injektion Amikacin sulfate
injektion Cefuroxime sodium
3549
Ospecificerad inkompatibilitet Oförenlig
injektion Amikacin sulfate
injektion Cefuroxime sodium
3687
Kemisk instabilitet Oförenlig
injektion Amikacin sulfate
injektion Cefuzonam
3549
Ospecificerad inkompatibilitet Oförenlig
injektion Amikacin sulfate
injektion Chlorothiazide sodium
3549
Kompatibel
injektion Amikacin sulfate 2.5 mg/ml
injektion Cimetidine hydrochloride 1.5 mg/ml
Glukos 5 % 1201
Kemisk instabilitet Oförenlig
injektion Amikacin sulfate 4 mg/ml
injektion Ciprofloxacin lactate 1.5 mg/ml
Natriumklorid 0,9 % 434
Kemisk instabilitet Oförenlig
injektion Amikacin sulfate 4 mg/ml
injektion Ciprofloxacin lactate 1.5 mg/ml
Glukos 5 % 434
Kompatibel
injektion Amikacin sulfate 5 mg/ml
injektion Cisatracurium besylate 0.1 >> 5 mg/ml
Glukos 5 % 299
Kompatibel
injektion Amikacin sulfate 4 mg/ml
injektion Clindamycin phosphate 9 mg/ml
Natriumklorid 0,9 % 565
Kompatibel
injektion Amikacin sulfate 250 mg/ml
Parenteral nutrition (binär blandning) 999
Kompatibel
injektion Amikacin sulfate 5 mg/ml
injektion Ciprofloxacin lactate 2 mg/ml
Glukos 5 % 285
Kemisk instabilitet Oförenlig
injektion Amikacin sulfate
injektion Cisplatin
3578
Kompatibel
injektion Amikacin sulfate 75 mg/ml
injektion Clindamycin phosphate 90 mg/ml
Natriumklorid 0,9 % 639
Kompatibel
injektion Amikacin sulfate
injektion Clindamycin phosphate
Natriumklorid 0,9 % 3526
Subvisuell inkompatibilitet Oförenlig
injektion Amikacin sulfate 250 mg/ml
injektion Cloxacillin sodium 100 mg/ml
Vatten för injektion 3012
Ospecificerad inkompatibilitet Oförenlig
injektion Amikacin sulfate
injektion Daunorubicin/cytarabine liposomale
4354
Kompatibel
injektion Amikacin sulfate 5 mg/ml
Parenteral nutrition (binär blandning) 316
Kompatibel
injektion Amikacin sulfate 4 mg/ml
injektion Clindamycin phosphate 9 mg/ml
Glukos 5 % 565
Kompatibel
injektion Amikacin sulfate
injektion Clindamycin phosphate
Glukos 5 % 3526
Kemisk instabilitet Oförenlig
injektion Amikacin sulfate
injektion Cloxacillin sodium
3549
Ospecificerad inkompatibilitet Oförenlig
injektion Amikacin sulfate
injektion Cyanocobalamine
3549
Omedelbar grumlighet Oförenlig
injektion Amikacin sulfate
injektion Daunorubicin/cytarabine liposomale 0,4 mg/mL
Natriumklorid 0,9 % 4654
Omedelbar nederbörd Oförenlig
injektion Amikacin sulfate 5 mg/ml
injektion Defibrotide 8 mg/ml
Natriumklorid 0,9 % 3728
Kompatibel
injektion Amikacin sulfate 50 mg/ml
injektion Dexamethasone sodium phosphate 4 mg/ml
Natriumklorid 0,45 % 132
Ospecificerad inkompatibilitet Oförenlig
injektion Amikacin sulfate
injektion Erythromycin lactobionate
3549
Kompatibel
injektion Amikacin sulfate 5 mg/ml
Parenteral nutrition (binär blandning) 301
Kompatibel
injektion Amikacin sulfate 5 mg/ml
injektion Dexmedetomidine 4 µg/ml
Natriumklorid 0,9 % 1712
Kompatibel
injektion Amikacin sulfate 5 & 250 mg/ml
injektion Diltiazem hydrochloride 5 mg/ml
Natriumklorid 0,9 % 198
Kompatibel
injektion Amikacin sulfate 5 mg/ml
injektion Docetaxel 0.9 mg/ml
Glukos 5 % 1754
Kompatibel
injektion Amikacin sulfate 5 mg/ml
injektion Doripenem 5 mg/ml
Natriumklorid 0,9 % 2262
Kompatibel
injektion Amikacin sulfate 5 mg/ml
injektion Doripenem 5 mg/ml
Glukos 5 % 2262
Kemisk instabilitet Oförenlig
injektion Amikacin sulfate
injektion Doripenem
3549
Kompatibel
injektion Amikacin sulfate 2 mg/ml
injektion Enalaprilate 0.05 mg/ml
Natriumklorid 0,9 % 1315
Kemisk instabilitet Oförenlig
injektion Amikacin sulfate
injektion Ertapenem
3549
Ospecificerad inkompatibilitet Oförenlig
injektion Amikacin sulfate
injektion Erythromycin lactobionate
3674
Kompatibel
injektion Amikacin sulfate 5 mg/ml
injektion Esmolol hydrochloride 10 mg/ml
Glukos 5 % 384
Kompatibel
injektion Amikacin sulfate 5 mg/ml
injektion Etoposide phosphate 5 mg/ml
Glukos 5 % 1410
Kompatibel
injektion Amikacin sulfate 5 mg/ml
injektion Fenoldopam mesylate 80 µg/ml
Natriumklorid 0,9 % 1803
Kompatibel
injektion Amikacin sulfate 5 mg/ml
injektion Filgrastim 30 µg/ml
Glukos 5 % 244
Kompatibel
injektion Amikacin sulfate 0.487 >> 0.667 mg/ml
Parenteral nutrition (med lipider) 1868
Kompatibel
injektion Amikacin sulfate 250 mg/ml
Ringer-laktatlösning 4603
Emulsionens instabilitet efter 1 timme Oförenlig
injektion Amikacin sulfate 250 mg/ml
Parenteral nutrition (med lipider) 673
Kompatibel
injektion Amikacin sulfate 5 mg/ml
injektion Filgrastim 40 µg/ml
Glukos 5 % 104
Omedelbar instabilitet hos emulsionen Oförenlig
injektion Amikacin sulfate 50 mg/ml
Parenteral nutrition (med lipider) 132
Kompatibel
injektion Amikacin sulfate 5 mg/ml
Parenteral nutrition (med lipider) 1415
Omedelbar nederbörd Oförenlig
injektion Amikacin sulfate
injektion Flucloxacillin sodium
3522
Kompatibel
injektion Amikacin sulfate 20 mg/ml
injektion Fluconazole 2 mg/ml
Natriumklorid 0,9 % 496
Kompatibel
injektion Amikacin sulfate 5 mg/ml
injektion Fluconazole 2 mg/ml
Ingen 256
Kompatibel
injektion Amikacin sulfate 5 mg/ml
injektion Fludarabine phosphate 1 mg/ml
Glukos 5 % 492
Kompatibel
injektion Amikacin sulfate 20 mg/ml
injektion Foscarnet sodium 24 mg/ml
Ingen 73
Kompatibel
injektion Amikacin sulfate 5 mg/ml
injektion Fosfomycin 30 mg/ml
Natriumklorid 0,9 % 4055
Kompatibel
injektion Amikacin sulfate 5 mg/ml
injektion Fosfomycin 30 mg/ml
Glukos 5 % 4055
Omedelbar nederbörd Oförenlig
injektion Amikacin sulfate 2 mg/ml
injektion Furosemide 0,16 mg/ml
Natriumklorid 0,9 % 367
Omedelbar nederbörd Oförenlig
injektion Amikacin sulfate 2 mg/ml
injektion Furosemide 0,16 mg/ml
Glukos 5 % 367
Kompatibel
injektion Amikacin sulfate 5 mg/ml
injektion Gemcitabine hydrochloride 10 mg/ml
Natriumklorid 0,9 % 1423
Kompatibel
injektion Amikacin sulfate 5 mg/ml
injektion Granisetron hydrochloride 0.05 mg/ml
Glukos 5 % 182
Ospecificerad inkompatibilitet Oförenlig
injektion Amikacin sulfate
injektion Heparin sodium
3549
Ospecificerad inkompatibilitet Oförenlig
injektion Amikacin sulfate
injektion Heparin sodium
3540
Omedelbar nederbörd Oförenlig
injektion Amikacin sulfate
injektion Heparin sodium
1022
Kompatibel
injektion Amikacin sulfate 5 mg/ml
injektion Hetastarch 60 mg/ml
specifikt lösningsmedel 1721
Omedelbar nederbörd Oförenlig
injektion Amikacin sulfate 5 mg/ml
injektion Hetastarch 60 mg/ml
Natriumklorid 0,9 % 472
Kompatibel
injektion Amikacin sulfate 5 mg/ml
injektion Hydromorphone hydrochloride 0.2 mg/ml
Glukos 5 % 405
Omedelbar grumlighet Oförenlig
injektion Amikacin sulfate 50 mg/ml
injektion Ibuprofen lysinate 10 mg/ml
Vatten för injektion 4419
Omedelbar grumlighet Oförenlig
injektion Amikacin sulfate 250 mg/ml
injektion Ibuprofen lysinate 10 mg/ml
Vatten för injektion 4419
Kompatibel
injektion Amikacin sulfate 5 mg/ml
injektion Idarubicin hydrochloride 1 mg/ml
Natriumklorid 0,9 % 491
Kemisk instabilitet Oförenlig
injektion Amikacin sulfate
injektion Imipenem - cilastatin sodium
3549
Kompatibel
injektion Amikacin sulfate 5 mg/ml
injektion Isavuconazonium sulfate 1.5 mg/ml
Glukos 5 % 3829
Kompatibel
injektion Amikacin sulfate 5 mg/ml
injektion Isavuconazonium sulfate 1.5 mg/ml
Natriumklorid 0,9 % 3829
Kompatibel
injektion Amikacin sulfate 250 mg/ml
injektion Ketamine hydrochloride 50 mg/ml
2109
Kompatibel
injektion Amikacin sulfate 5 mg/ml
injektion Labetalol hydrochloride 1 mg/ml
Glukos 5 % 386
Kompatibel
injektion Amikacin sulfate 5 mg/ml
injektion Lansoprazole 0.55 mg/ml
Natriumklorid 0,9 % 1625
Kompatibel
injektion Amikacin sulfate 50 mg/ml
injektion Levofloxacine 5 mg/ml
Glukos 5 % 1072
Kompatibel
injektion Amikacin sulfate 5 mg/ml
injektion Linezolid 2 mg/ml
Ingen 1925
Kompatibel
injektion Amikacin sulfate 5 mg/ml
injektion Lorazepam 0.33 mg/ml
Natriumklorid 0,9 % 186
Kompatibel
injektion Amikacin sulfate 5 mg/ml
injektion Magnesium sulfate 16.67 >> 100 mg/ml
Glukos 5 % 1047
Kompatibel
injektion Amikacin sulfate 5 mg/ml
injektion Melphalan 0.1 mg/ml
Natriumklorid 0,9 % 169
Kompatibel
injektion Amikacin sulfate 250 mg/ml
injektion Meropenem 50 mg/ml
4389
Kompatibel
injektion Amikacin sulfate 250 mg/ml
injektion Meropenem 50 mg/ml
Vatten för injektion 4319
Kemisk instabilitet Oförenlig
injektion Amikacin sulfate
injektion Meropenem
3549
Kompatibel
injektion Amikacin sulfate
injektion Metronidazole
3594
Kompatibel
injektion Amikacin sulfate 5 mg/ml
injektion Metronidazole 5 mg/ml
Ingen 1035
Kompatibel
injektion Amikacin sulfate 5 mg/ml
injektion Midazolam hydrochloride 5 mg/ml
Ingen 186
Kompatibel
injektion Amikacin sulfate 5 mg/ml
injektion Morphine sulfate 1 mg/ml
Glukos 5 % 405
Kompatibel
injektion Amikacin sulfate 250 mg/ml
injektion N-acetylcysteine 200 mg/ml
Ingen 3766
Kemisk instabilitet Oförenlig
injektion Amikacin sulfate
injektion Nafcillin sodium
3549
Kompatibel
injektion Amikacin sulfate 2,5 mg/ml
injektion Nalbuphine hydrochloride 0,05 >> 0,33 mg/ml
Natriumklorid 0,9 % 4867
Kompatibel
injektion Amikacin sulfate 250 mg/ml
injektion Naloxone hydrochloride 0.4 mg/ml
Ingen 3408
Kompatibel
injektion Amikacin sulfate 2 mg/ml
injektion Nicardipine hydrochloride 0.1 mg/ml
Glukos 5 % 1490
Kompatibel
injektion Amikacin sulfate 2 mg/ml
injektion Nicardipine hydrochloride 0.1 mg/ml
Natriumklorid 0,9 % 1490
Kompatibel
injektion Amikacin sulfate 5 mg/ml
injektion Ondansetron hydrochloride 1 mg/ml
Natriumklorid 0,9 % 334
Kemisk instabilitet Oförenlig
injektion Amikacin sulfate
injektion Oxacillin sodium
3549
Kompatibel
injektion Amikacin sulfate 5 mg/ml
injektion Paclitaxel 1.2 mg/ml
Glukos 5 % 248
Omedelbar nederbörd Oförenlig
injektion Amikacin sulfate
injektion Pantoprazole sodium
2090
Kompatibel
injektion Amikacin sulfate 250 mg/ml
injektion Paracetamol 10 mg/ml
4742
Kompatibel
injektion Amikacin sulfate 5 mg/ml
injektion Pemetrexed disodium 20 mg/ml
Natriumklorid 0,9 % 1953
Kemisk instabilitet Oförenlig
injektion Amikacin sulfate
injektion Penicillin G potassium
3549
Kemisk instabilitet Oförenlig
injektion Amikacin sulfate
injektion Penicillin G sodium
3549
Kompatibel
injektion Amikacin sulfate 50 mg/ml
injektion Pethidine hydrochloride 100 mg/ml
Natriumklorid 0,45 % 132
Kompatibel
injektion Amikacin sulfate 5 mg/ml
injektion Pethidine hydrochloride 10 mg/ml
Glukos 5 % 405
Ospecificerad inkompatibilitet Oförenlig
injektion Amikacin sulfate
injektion Phenytoin sodium
3549
Kompatibel
injektion Amikacin sulfate 40 mg/ml
injektion Phloroglucinol 2,5 mg/ml
3791
Kemisk instabilitet Oförenlig
injektion Amikacin sulfate
injektion Piperacillin sodium
3549
Kemisk instabilitet Oförenlig
injektion Amikacin sulfate
injektion Piperacillin sodium / tazobactam
3549
Kemisk instabilitet Oförenlig
injektion Amikacin sulfate
injektion Piperacillin sodium / tazobactam
3586
Kompatibel
injektion Amikacin sulfate
injektion Posaconazole
4380
Omedelbar nederbörd Oförenlig
injektion Amikacin sulfate 5 mg/ml
injektion Propofol 10 mg/ml
Ingen 300
Ospecificerad inkompatibilitet Oförenlig
injektion Amikacin sulfate
injektion Pyridoxine hydrochloride
3549
Kompatibel
injektion Amikacin sulfate 5 mg/ml
injektion Remifentanil hydrochloride 25 & 250 µg/ml
Natriumklorid 0,9 % 59
Omedelbar nederbörd Oförenlig
injektion Amikacin sulfate 250 mg/ml
injektion Salbutamol sulfate 1 mg/ml
Ingen 3216
Kompatibel
injektion Amikacin sulfate 5 mg/ml
injektion Sargramostim 10 µg/ml
Natriumklorid 0,9 % 335
Kompatibel
injektion Amikacin sulfate 10 mg/ml
injektion Sulbactam/durlobactam 15/15 mg/ml
Natriumklorid 0,9 % 4801
Kompatibel
injektion Amikacin sulfate 5 mg/ml
injektion Tedizolid phosphate 0.8 mg/ml
Natriumklorid 0,9 % 3827
Ospecificerad inkompatibilitet Oförenlig
injektion Amikacin sulfate
injektion Teicoplanine
3656
Kompatibel
injektion Amikacin sulfate
Natriumklorid 0,9 % 5076
Ospecificerad inkompatibilitet Oförenlig
injektion Amikacin sulfate 50 mg/ml
injektion Propofol
4524
Ospecificerad inkompatibilitet Oförenlig
injektion Amikacin sulfate
injektion Temocilline
2296
Kompatibel
injektion Amikacin sulfate 15 mg/ml
injektion Temocilline 83.33 mg/ml
Vatten för injektion 2231
Kemisk instabilitet Oförenlig
injektion Amikacin sulfate
injektion Temocilline
3549
Kompatibel
injektion Amikacin sulfate 5 mg/ml
injektion Teniposide 0.1 mg/ml
Glukos 5 % 905
Ospecificerad inkompatibilitet Oförenlig
injektion Amikacin sulfate
injektion Thiamine hydrochloride
3549
Omedelbar nederbörd Oförenlig
injektion Amikacin sulfate 250 mg/ml
injektion Thiopental sodium 25 mg/ml
Natriumklorid 0,9 % 3767
Ospecificerad inkompatibilitet Oförenlig
injektion Amikacin sulfate
injektion Thiopental sodium
3549
Kompatibel
injektion Amikacin sulfate 5 mg/ml
injektion Thiotepa 1 mg/ml
Glukos 5 % 249
Kemisk instabilitet Oförenlig
injektion Amikacin sulfate
injektion Ticarcillin / clavulanic acid
3587
Kemisk instabilitet Oförenlig
injektion Amikacin sulfate
injektion Ticarcillin / clavulanic acid
3549
Kompatibel
injektion Amikacin sulfate
injektion Tigecycline
Natriumklorid 0,9 % 3332
Kompatibel
injektion Amikacin sulfate 15 mg/ml
injektion Vancomycin hydrochloride 10 mg/ml
Glukos 5 % 3385
Kompatibel
injektion Amikacin sulfate 2 mg/ml
injektion Verapamil hydrochloride 0.08 mg/ml
Natriumklorid 0,9 % 1057
Kompatibel
injektion Amikacin sulfate 2 mg/ml
injektion Verapamil hydrochloride 0.08 mg/ml
Glukos 5 % 1057
Omedelbar grumlighet Oförenlig
injektion Amikacin sulfate 5 mg/ml
injektion Vinorelbine tartrate 1 mg/ml
Natriumklorid 0,9 % 84
Kompatibel
injektion Amikacin sulfate 5 mg/ml
injektion Warfarin sodium 0.1 & 2 mg/ml
Glukos 5 % 552
Kompatibel
injektion Amikacin sulfate 5 mg/ml
injektion Warfarin sodium 0.1 & 2 mg/ml
Natriumklorid 0,9 % 552
Kompatibel
injektion Amikacin sulfate 4 mg/ml
injektion Zidovudine 4 mg/ml
Glukos 5 % 337

  Mentions Légales