Pēdējā atjaunošana :
18/03/2026
Antibiotika   Amikacin sulfate  
Injekcija
Šķīduma stabilitāte Maisījuma stabilitāte Stabilitāti ietekmējoši faktori Saderība Levadīšanas veids Literatūras saraksts pdf
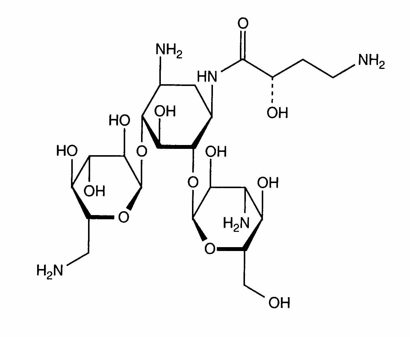
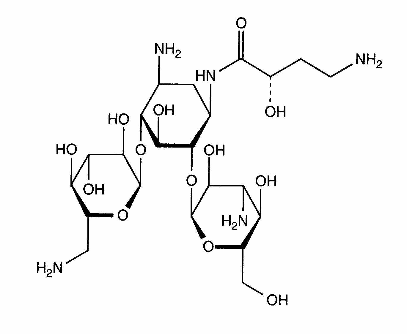
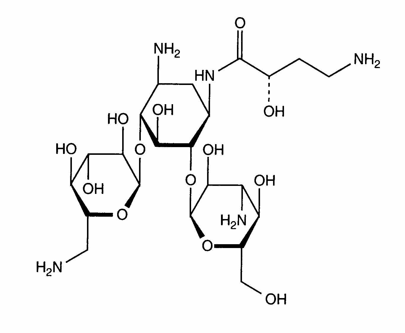
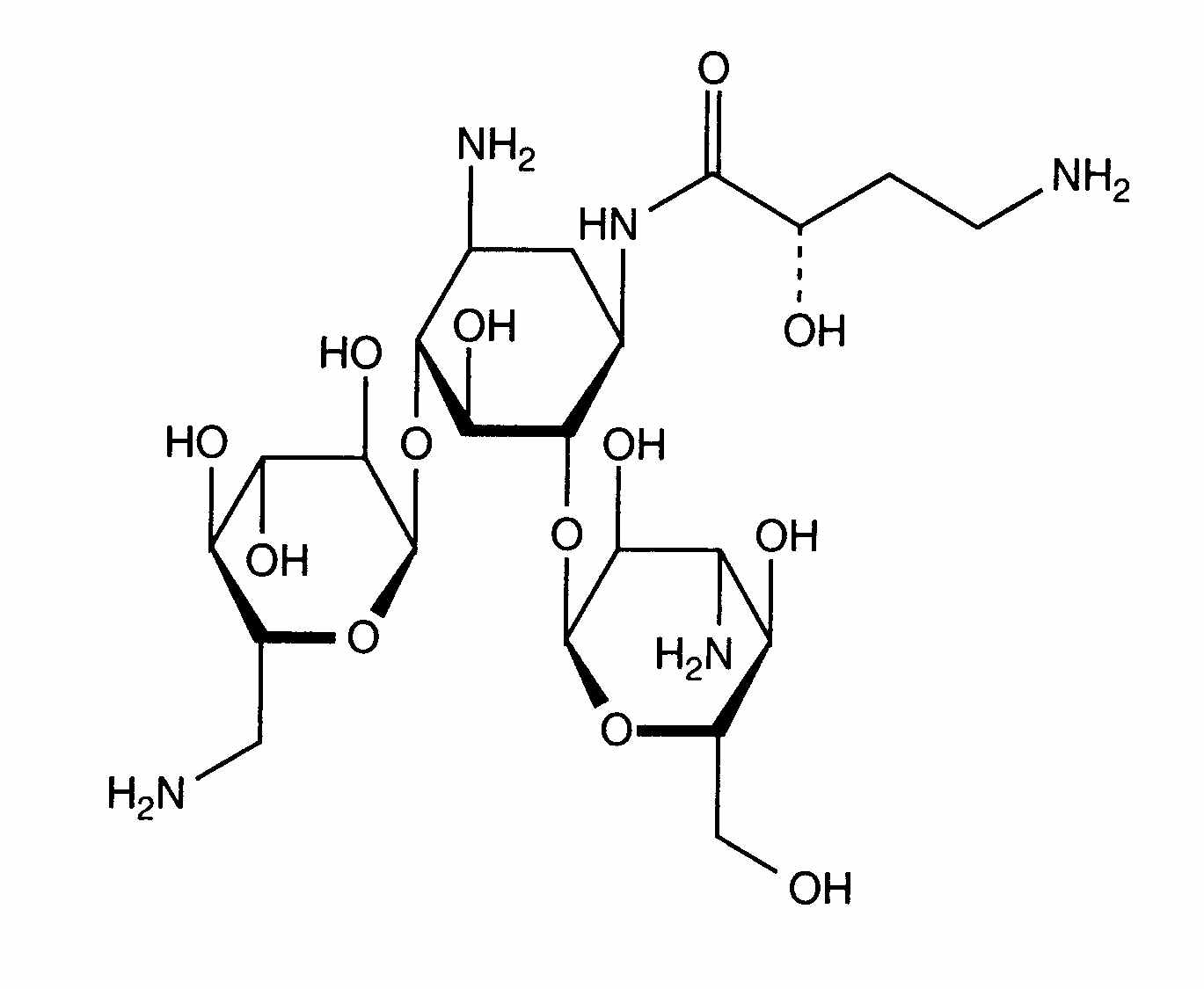
   Ķīmiskā uzbūve   

Oriģinālais nosaukums   Oriģinālais nosaukums     

Tirdzniecības nosaukumi ir apzīmējoši un palīgvielas var atšķirties dažādām valstīm un laboratorijām

Adnet Indija
Agnicin Meksika
Akamin Ekvadora
Akim Ekvadora
Amicacil Brazīlija
Amicilon Brazīlija
Amicin Malaizija
Amicip Venecuēla
Amijeksin Turcija
Amikabiot Ekvadora, Peru
Amikacin Amerikas Savienotās Valstis, Ēģipte, Irāna, Jaunzēlande, Kanāda, Lielbritānija, Malaizija, Saūda Arābija, Vācija
Amikacina Argentīna, Čīle, Ekvadora, Itālija, Kolumbija, Meksika, Peru, Spānija, Venecuēla
Amikacine Beļģija, Francija, Holande, Maroka
Amikafur Meksika
Amikagram Peru
Amikalem Meksika
Amikamed Peru
Amikamek Peru
Amikan Itālija
Amikavax Venecuēla
Amikaver Turcija
Amikayect Meksika
Amikem Peru
Amiketem Turcija
Amikin Amerikas Savienotās Valstis, Austrālija, Brazīlija, Ēģipte, Ekvadora, Īrija, Kolumbija, Lielbritānija, Meksika, Peru, Polija, Saūda Arābija, Šveice, Tunisija, Ungārija
Amiklin Francija, Turcija
Amikosit Rumānija, Tunisija, Turcija
Amikram Peru
Amukin Beļģija, Holande, Luksemburga
Apalin Malaizija
Baxi K Čīle, Meksika
Behcacin Indija, Venecuēla
Belka Indija
Biclin Austrija, Meksika, Portugāle, Somija, Spānija, Vācija, Zviedrija
Biodacyna Polija
Biokacin Meksika
Briklin Grieķija
Cadicin Indija
Chemacin Itālija
Cikabit Indija
Cinamica Indija
Cinas Indija
Consumonit Grieķija
Domak Indija
Doxocar Argentīna
Elcin Indija
Elmik Indija
Emcin Indija
Emica Indija
Farcyclin Grieķija
Flexelite Grieķija
Greini Argentīna
Ipacin Irāna
Itukacin Peru
Kancin Grieķija
Lanomycin Grieķija
Lukadin Itālija
Masmika Indija
Mediamik Itālija
Micalpha Grieķija
Micigen Meksika
Migracin Itālija
Mikacin Saūda Arābija
Nekacin Itālija
Novamin Brazīlija
Orlobin Grieķija
Remikin Grieķija
Rovericlin Grieķija
Uzix Grieķija
Saderība   Injekcija   Saderība : Amikacin sulfate              
Šī tabula parāda zāļu saderību vai nesaderību, pēc iespējas arī nesaderības tipu (precipitācija, krāsas maiņa, emulsijas sadalīšanās utt). Parādītas šeit saderības ir pārsvarā tikai fizikālās, pēc iespējas tiek parādīta ķīmiskā stabilitāte katrai molekulai. Šo maisījumu analīze tikai veikta, lai izprastu iespējamību ievadīt zāles Y-savienojuma vietā sistēmā pacientam. Šie dati nevar tikt izmantoti, lai pagatavot zāļu maisījumus vēlākai lietošanai maisos vai šļircēs. Šī informācija ir pieejama sadaļā "Maisījuma stabilitāte".
Savienojums Šķīdinātājs Literatūras saraksts
Savietojams
Injekcija Amikacin sulfate 5 mg/ml
Injekcija Aciclovir sodium 5 mg/ml
5% glikoze 336
Nokrišņi pēc 1 stundas Nesavienojams
Injekcija Amikacin sulfate 5 mg/ml
Injekcija Allopurinol sodium 3 mg/ml
Nātrija hlorīds 0.9% 307
Savietojams
Injekcija Amikacin sulfate 5 mg/ml
Injekcija Amifostine 10 mg/ml
5% glikoze 3
Savietojams
Injekcija Amikacin sulfate 5 mg/ml
Injekcija Amiodarone hydrochloride 4 mg/ml
Nātrija hlorīds 0.9% 385
Savietojams
Injekcija Amikacin sulfate 5 mg/ml
Injekcija Amiodarone hydrochloride 4 mg/ml
5% glikoze 385
Ķīmiskā nestabilitāte Nesavienojams
Injekcija Amikacin sulfate
Injekcija Amoxicillin sodium
3527
Ķīmiskā nestabilitāte Nesavienojams
Injekcija Amikacin sulfate
Injekcija Amoxicillin sodium
3549
Savietojams
Injekcija Amikacin sulfate 250 mg/ml
Injekcija Amoxicillin sodium / clavulanic acid 100/10 mg/ml
3824
Ķīmiskā nestabilitāte Nesavienojams
Injekcija Amikacin sulfate
Injekcija Amoxicillin sodium / clavulanic acid
3549
Neprecizēta nesaderība Nesavienojams
Injekcija Amikacin sulfate
Injekcija Amoxicillin sodium / clavulanic acid
3545
Neprecizēta nesaderība Nesavienojams
Injekcija Amikacin sulfate
Injekcija Amphotericin B
3549
Tūlītēji nokrišņi Nesavienojams
Injekcija Amikacin sulfate 5 mg/ml
Injekcija Amphotericin B cholesteryl sulfate complex 0.83 mg/ml
5% glikoze 921
Ķīmiskā nestabilitāte Nesavienojams
Injekcija Amikacin sulfate
Injekcija Ampicillin sodium
3549
Ķīmiskā nestabilitāte Nesavienojams
Injekcija Amikacin sulfate
Injekcija Ampicillin sodium - sulbactam sodium
3549
Savietojams
Injekcija Amikacin sulfate 5 mg/ml
Injekcija Amsacrine 1 mg/ml
5% glikoze 253
Savietojams
Injekcija Amikacin sulfate 5 mg/ml
Injekcija Anidulafungin 0.5 mg/ml
5% glikoze 1982
Neprecizēta nesaderība Nesavienojams
Injekcija Amikacin sulfate
Injekcija Ascorbic acid
3549
Tūlītēji nokrišņi Nesavienojams
Injekcija Amikacin sulfate 100 mg/ml
Injekcija Azithromycine 2 mg/ml
Nātrija hlorīds 0.9% 1800
Ķīmiskā nestabilitāte Nesavienojams
Injekcija Amikacin sulfate
Injekcija Aztreonam
3549
Savietojams
Injekcija Amikacin sulfate 5 mg/ml
Injekcija Aztreonam 40 mg/ml
5% glikoze 99
Savietojams
Injekcija Amikacin sulfate 5 mg/ml
Injekcija Bivalirudin 5 mg/ml
5% glikoze 1713
Savietojams
Injekcija Amikacin sulfate 250 mg/ml
Injekcija Caffeine 10 mg/ml
Nekāds 3964
Nesavienojams
Injekcija Amikacin sulfate
Injekcija Calcium gluconate
4964
Neprecizēta nesaderība Nesavienojams
Injekcija Amikacin sulfate
Injekcija Calcium gluconate
3644
Savietojams
Injekcija Amikacin sulfate 5 mg/ml
Injekcija Caspofungin acetate 0,7 mg/ml
Nātrija hlorīds 0.9% 2247
Ķīmiskā nestabilitāte Nesavienojams
Injekcija Amikacin sulfate
Injekcija Cefalotin sodium
3549
Ķīmiskā nestabilitāte Nesavienojams
Injekcija Amikacin sulfate
Injekcija Cefamandole nafate
3549
Neprecizēta nesaderība Nesavienojams
Injekcija Amikacin sulfate
Injekcija Cefamandole nafate
3546
Ķīmiskā nestabilitāte Nesavienojams
Injekcija Amikacin sulfate
Injekcija Cefazolin sodium
3549
Savietojams
Injekcija Amikacin sulfate 6 mg/ml
Injekcija Cefepime dihydrochloride 40 mg/ml
Nātrija hlorīds 0.9% 3548
Savietojams
Injekcija Amikacin sulfate 6 mg/ml
Injekcija Cefepime dihydrochloride 40 mg/ml
5% glikoze 3548
Savietojams
Injekcija Amikacin sulfate 15 mg/ml
Injekcija Cefepime dihydrochloride 125 mg/ml
Ūdens injekcijām 2141
Ķīmiskā nestabilitāte Nesavienojams
Injekcija Amikacin sulfate
Injekcija Cefepime dihydrochloride
3549
Savietojams
Injekcija Amikacin sulfate 5 mg/ml
Injekcija Cefiderocol sulfate tosylate 20 mg/mL
5% glikoze 4528
Ķīmiskā nestabilitāte Nesavienojams
Injekcija Amikacin sulfate
Injekcija Cefmenoxime
3549
Ķīmiskā nestabilitāte Nesavienojams
Injekcija Amikacin sulfate
Injekcija Cefmetazole sodium
3549
Ķīmiskā nestabilitāte Nesavienojams
Injekcija Amikacin sulfate
Injekcija Cefonicid sodium
3549
Ķīmiskā nestabilitāte Nesavienojams
Injekcija Amikacin sulfate
Injekcija Cefoperazone sodium
3549
Neprecizēta nesaderība Nesavienojams
Injekcija Amikacin sulfate
Injekcija Cefoperazone sodium
3544
Ķīmiskā nestabilitāte Nesavienojams
Injekcija Amikacin sulfate
Injekcija Ceforanide
3549
Ķīmiskā nestabilitāte Nesavienojams
Injekcija Amikacin sulfate
Injekcija Cefotaxime sodium
3549
Ķīmiskā nestabilitāte Nesavienojams
Injekcija Amikacin sulfate
Injekcija Cefoxitin sodium
3549
Neprecizēta nesaderība Nesavienojams
Injekcija Amikacin sulfate
Injekcija Cefpirome sulfate
3677
Savietojams
Injekcija Amikacin sulfate 5 mg/ml
Injekcija Cefpirome sulfate 50 mg/ml
Nātrija hlorīds 0.45% 280
Savietojams
Injekcija Amikacin sulfate 5 mg/ml
Injekcija Cefpirome sulfate 50 mg/ml
5% glikoze 280
Savietojams
Injekcija Amikacin sulfate 5 mg/ml
Injekcija Cefpirome sulfate 50 mg/ml
Nātrija hlorīds 0.9% 280
Savietojams
Injekcija Amikacin sulfate 5 mg/ml
Injekcija Cefpirome sulfate 50 mg/ml
Ringera laktāta šķīdums 280
Ķīmiskā nestabilitāte Nesavienojams
Injekcija Amikacin sulfate
Injekcija Cefpirome sulfate
3549
Savietojams
Injekcija Amikacin sulfate 5 mg/ml
Injekcija Ceftaroline fosamil 2,22 mg/ml
Ringera laktāta šķīdums 3249
Savietojams
Injekcija Amikacin sulfate 5 mg/ml
Injekcija Ceftaroline fosamil 2,22 mg/ml
5% glikoze 3249
Savietojams
Injekcija Amikacin sulfate 5 mg/ml
Injekcija Ceftaroline fosamil 2,22 mg/ml
Nātrija hlorīds 0.9% 3249
Neprecizēta nesaderība Nesavienojams
Injekcija Amikacin sulfate
Injekcija Ceftazidime
3883
Neprecizēta nesaderība Nesavienojams
Injekcija Amikacin sulfate
Injekcija Ceftazidime
3543
Savietojams
Injekcija Amikacin sulfate 15 mg/ml
Injekcija Ceftazidime 83.3 mg/ml
1759
Ķīmiskā nestabilitāte Nesavienojams
Injekcija Amikacin sulfate
Injekcija Ceftazidime Avibactam
3549
Tūlītēji nokrišņi Nesavienojams
Injekcija Amikacin sulfate 5 mg/ml
Injekcija Ceftobiprole medocaril sodium 2 mg/ml
Nātrija hlorīds 0.9% 2269
Neprecizēta nesaderība Nesavienojams
Injekcija Amikacin sulfate
Injekcija Ceftobiprole medocaril sodium
4650
Savietojams
Injekcija Amikacin sulfate
5% glikoze 5076
Ķīmiskā nestabilitāte Nesavienojams
Injekcija Amikacin sulfate
Injekcija Ceftaroline fosamil
3549
Ķīmiskā nestabilitāte Nesavienojams
Injekcija Amikacin sulfate
Injekcija Ceftazidime
3549
Savietojams
Injekcija Amikacin sulfate 15 mg/ml
Injekcija Ceftazidime 125 mg/ml
Ūdens injekcijām 2141
Ķīmiskā nestabilitāte Nesavienojams
Injekcija Amikacin sulfate
Injekcija Ceftizoxime sodium
3549
Tūlītēji nokrišņi Nesavienojams
Injekcija Amikacin sulfate 5 mg/ml
Injekcija Ceftobiprole medocaril sodium 2 mg/ml
5% glikoze 2269
Ķīmiskā nestabilitāte Nesavienojams
Injekcija Amikacin sulfate
Injekcija Ceftobiprole medocaril sodium
3549
Tūlītēji nokrišņi Nesavienojams
Injekcija Amikacin sulfate 5 mg/ml
Injekcija Ceftobiprole medocaril sodium 2 mg/ml
Ringera laktāta šķīdums 2269
Savietojams
Injekcija Amikacin sulfate 5 mg/ml
Injekcija Ceftolozane / tazobactam 10/5 mg/ml
5% glikoze 3828
Savietojams
Injekcija Amikacin sulfate 5 mg/ml
Injekcija Ceftolozane / tazobactam 10/5 mg/ml
Nātrija hlorīds 0.9% 3828
Ķīmiskā nestabilitāte Nesavienojams
Injekcija Amikacin sulfate
Injekcija Ceftolozane / tazobactam
3549
Neprecizēta nesaderība Nesavienojams
Injekcija Amikacin sulfate
Injekcija Ceftriaxone disodium
3523
Ķīmiskā nestabilitāte Nesavienojams
Injekcija Amikacin sulfate
Injekcija Ceftriaxone disodium
3549
Ķīmiskā nestabilitāte Nesavienojams
Injekcija Amikacin sulfate
Injekcija Cefuroxime sodium
3549
Neprecizēta nesaderība Nesavienojams
Injekcija Amikacin sulfate
Injekcija Cefuroxime sodium
3687
Ķīmiskā nestabilitāte Nesavienojams
Injekcija Amikacin sulfate
Injekcija Cefuzonam
3549
Neprecizēta nesaderība Nesavienojams
Injekcija Amikacin sulfate
Injekcija Chlorothiazide sodium
3549
Savietojams
Injekcija Amikacin sulfate 2.5 mg/ml
Injekcija Cimetidine hydrochloride 1.5 mg/ml
5% glikoze 1201
Ķīmiskā nestabilitāte Nesavienojams
Injekcija Amikacin sulfate 4 mg/ml
Injekcija Ciprofloxacin lactate 1.5 mg/ml
Nātrija hlorīds 0.9% 434
Ķīmiskā nestabilitāte Nesavienojams
Injekcija Amikacin sulfate 4 mg/ml
Injekcija Ciprofloxacin lactate 1.5 mg/ml
5% glikoze 434
Savietojams
Injekcija Amikacin sulfate 5 mg/ml
Injekcija Cisatracurium besylate 0.1 >> 5 mg/ml
5% glikoze 299
Savietojams
Injekcija Amikacin sulfate 4 mg/ml
Injekcija Clindamycin phosphate 9 mg/ml
Nātrija hlorīds 0.9% 565
Savietojams
Injekcija Amikacin sulfate 250 mg/ml
Parenterāla barošana (lipīdu-free) 999
Savietojams
Injekcija Amikacin sulfate 5 mg/ml
Injekcija Ciprofloxacin lactate 2 mg/ml
5% glikoze 285
Ķīmiskā nestabilitāte Nesavienojams
Injekcija Amikacin sulfate
Injekcija Cisplatin
3578
Savietojams
Injekcija Amikacin sulfate 75 mg/ml
Injekcija Clindamycin phosphate 90 mg/ml
Nātrija hlorīds 0.9% 639
Savietojams
Injekcija Amikacin sulfate
Injekcija Clindamycin phosphate
Nātrija hlorīds 0.9% 3526
Subvisuāla nesaderība Nesavienojams
Injekcija Amikacin sulfate 250 mg/ml
Injekcija Cloxacillin sodium 100 mg/ml
Ūdens injekcijām 3012
Neprecizēta nesaderība Nesavienojams
Injekcija Amikacin sulfate
Injekcija Daunorubicin/cytarabine liposomale
4354
Savietojams
Injekcija Amikacin sulfate 5 mg/ml
Parenterāla barošana (lipīdu-free) 316
Savietojams
Injekcija Amikacin sulfate 4 mg/ml
Injekcija Clindamycin phosphate 9 mg/ml
5% glikoze 565
Savietojams
Injekcija Amikacin sulfate
Injekcija Clindamycin phosphate
5% glikoze 3526
Ķīmiskā nestabilitāte Nesavienojams
Injekcija Amikacin sulfate
Injekcija Cloxacillin sodium
3549
Neprecizēta nesaderība Nesavienojams
Injekcija Amikacin sulfate
Injekcija Cyanocobalamine
3549
Tūlītēja duļķainība Nesavienojams
Injekcija Amikacin sulfate
Injekcija Daunorubicin/cytarabine liposomale 0,4 mg/mL
Nātrija hlorīds 0.9% 4654
Tūlītēji nokrišņi Nesavienojams
Injekcija Amikacin sulfate 5 mg/ml
Injekcija Defibrotide 8 mg/ml
Nātrija hlorīds 0.9% 3728
Savietojams
Injekcija Amikacin sulfate 50 mg/ml
Injekcija Dexamethasone sodium phosphate 4 mg/ml
Nātrija hlorīds 0.45% 132
Neprecizēta nesaderība Nesavienojams
Injekcija Amikacin sulfate
Injekcija Erythromycin lactobionate
3549
Savietojams
Injekcija Amikacin sulfate 5 mg/ml
Parenterāla barošana (lipīdu-free) 301
Savietojams
Injekcija Amikacin sulfate 5 mg/ml
Injekcija Dexmedetomidine 4 µg/ml
Nātrija hlorīds 0.9% 1712
Savietojams
Injekcija Amikacin sulfate 5 & 250 mg/ml
Injekcija Diltiazem hydrochloride 5 mg/ml
Nātrija hlorīds 0.9% 198
Savietojams
Injekcija Amikacin sulfate 5 mg/ml
Injekcija Docetaxel 0.9 mg/ml
5% glikoze 1754
Savietojams
Injekcija Amikacin sulfate 5 mg/ml
Injekcija Doripenem 5 mg/ml
Nātrija hlorīds 0.9% 2262
Savietojams
Injekcija Amikacin sulfate 5 mg/ml
Injekcija Doripenem 5 mg/ml
5% glikoze 2262
Ķīmiskā nestabilitāte Nesavienojams
Injekcija Amikacin sulfate
Injekcija Doripenem
3549
Savietojams
Injekcija Amikacin sulfate 2 mg/ml
Injekcija Enalaprilate 0.05 mg/ml
Nātrija hlorīds 0.9% 1315
Ķīmiskā nestabilitāte Nesavienojams
Injekcija Amikacin sulfate
Injekcija Ertapenem
3549
Neprecizēta nesaderība Nesavienojams
Injekcija Amikacin sulfate
Injekcija Erythromycin lactobionate
3674
Savietojams
Injekcija Amikacin sulfate 5 mg/ml
Injekcija Esmolol hydrochloride 10 mg/ml
5% glikoze 384
Savietojams
Injekcija Amikacin sulfate 5 mg/ml
Injekcija Etoposide phosphate 5 mg/ml
5% glikoze 1410
Savietojams
Injekcija Amikacin sulfate 5 mg/ml
Injekcija Fenoldopam mesylate 80 µg/ml
Nātrija hlorīds 0.9% 1803
Savietojams
Injekcija Amikacin sulfate 5 mg/ml
Injekcija Filgrastim 30 µg/ml
5% glikoze 244
Savietojams
Injekcija Amikacin sulfate 0.487 >> 0.667 mg/ml
Parenterāla barošana (ar lipīdiem) 1868
Savietojams
Injekcija Amikacin sulfate 250 mg/ml
Ringera laktāta šķīdums 4603
Emulsijas nestabilitāte pēc 1 stundas Nesavienojams
Injekcija Amikacin sulfate 250 mg/ml
Parenterāla barošana (ar lipīdiem) 673
Savietojams
Injekcija Amikacin sulfate 5 mg/ml
Injekcija Filgrastim 40 µg/ml
5% glikoze 104
Tūlītēja emulsijas nestabilitāte Nesavienojams
Injekcija Amikacin sulfate 50 mg/ml
Parenterāla barošana (ar lipīdiem) 132
Savietojams
Injekcija Amikacin sulfate 5 mg/ml
Parenterāla barošana (ar lipīdiem) 1415
Tūlītēji nokrišņi Nesavienojams
Injekcija Amikacin sulfate
Injekcija Flucloxacillin sodium
3522
Savietojams
Injekcija Amikacin sulfate 20 mg/ml
Injekcija Fluconazole 2 mg/ml
Nātrija hlorīds 0.9% 496
Savietojams
Injekcija Amikacin sulfate 5 mg/ml
Injekcija Fluconazole 2 mg/ml
Nekāds 256
Savietojams
Injekcija Amikacin sulfate 5 mg/ml
Injekcija Fludarabine phosphate 1 mg/ml
5% glikoze 492
Savietojams
Injekcija Amikacin sulfate 20 mg/ml
Injekcija Foscarnet sodium 24 mg/ml
Nekāds 73
Savietojams
Injekcija Amikacin sulfate 5 mg/ml
Injekcija Fosfomycin 30 mg/ml
Nātrija hlorīds 0.9% 4055
Savietojams
Injekcija Amikacin sulfate 5 mg/ml
Injekcija Fosfomycin 30 mg/ml
5% glikoze 4055
Tūlītēji nokrišņi Nesavienojams
Injekcija Amikacin sulfate 2 mg/ml
Injekcija Furosemide 0,16 mg/ml
Nātrija hlorīds 0.9% 367
Tūlītēji nokrišņi Nesavienojams
Injekcija Amikacin sulfate 2 mg/ml
Injekcija Furosemide 0,16 mg/ml
5% glikoze 367
Savietojams
Injekcija Amikacin sulfate 5 mg/ml
Injekcija Gemcitabine hydrochloride 10 mg/ml
Nātrija hlorīds 0.9% 1423
Savietojams
Injekcija Amikacin sulfate 5 mg/ml
Injekcija Granisetron hydrochloride 0.05 mg/ml
5% glikoze 182
Neprecizēta nesaderība Nesavienojams
Injekcija Amikacin sulfate
Injekcija Heparin sodium
3549
Neprecizēta nesaderība Nesavienojams
Injekcija Amikacin sulfate
Injekcija Heparin sodium
3540
Tūlītēji nokrišņi Nesavienojams
Injekcija Amikacin sulfate
Injekcija Heparin sodium
1022
Savietojams
Injekcija Amikacin sulfate 5 mg/ml
Injekcija Hetastarch 60 mg/ml
īpašu šķīdinātāju 1721
Tūlītēji nokrišņi Nesavienojams
Injekcija Amikacin sulfate 5 mg/ml
Injekcija Hetastarch 60 mg/ml
Nātrija hlorīds 0.9% 472
Savietojams
Injekcija Amikacin sulfate 5 mg/ml
Injekcija Hydromorphone hydrochloride 0.2 mg/ml
5% glikoze 405
Tūlītēja duļķainība Nesavienojams
Injekcija Amikacin sulfate 50 mg/ml
Injekcija Ibuprofen lysinate 10 mg/ml
Ūdens injekcijām 4419
Tūlītēja duļķainība Nesavienojams
Injekcija Amikacin sulfate 250 mg/ml
Injekcija Ibuprofen lysinate 10 mg/ml
Ūdens injekcijām 4419
Savietojams
Injekcija Amikacin sulfate 5 mg/ml
Injekcija Idarubicin hydrochloride 1 mg/ml
Nātrija hlorīds 0.9% 491
Ķīmiskā nestabilitāte Nesavienojams
Injekcija Amikacin sulfate
Injekcija Imipenem - cilastatin sodium
3549
Savietojams
Injekcija Amikacin sulfate 5 mg/ml
Injekcija Isavuconazonium sulfate 1.5 mg/ml
5% glikoze 3829
Savietojams
Injekcija Amikacin sulfate 5 mg/ml
Injekcija Isavuconazonium sulfate 1.5 mg/ml
Nātrija hlorīds 0.9% 3829
Savietojams
Injekcija Amikacin sulfate 250 mg/ml
Injekcija Ketamine hydrochloride 50 mg/ml
2109
Savietojams
Injekcija Amikacin sulfate 5 mg/ml
Injekcija Labetalol hydrochloride 1 mg/ml
5% glikoze 386
Savietojams
Injekcija Amikacin sulfate 5 mg/ml
Injekcija Lansoprazole 0.55 mg/ml
Nātrija hlorīds 0.9% 1625
Savietojams
Injekcija Amikacin sulfate 50 mg/ml
Injekcija Levofloxacine 5 mg/ml
5% glikoze 1072
Savietojams
Injekcija Amikacin sulfate 5 mg/ml
Injekcija Linezolid 2 mg/ml
Nekāds 1925
Savietojams
Injekcija Amikacin sulfate 5 mg/ml
Injekcija Lorazepam 0.33 mg/ml
Nātrija hlorīds 0.9% 186
Savietojams
Injekcija Amikacin sulfate 5 mg/ml
Injekcija Magnesium sulfate 16.67 >> 100 mg/ml
5% glikoze 1047
Savietojams
Injekcija Amikacin sulfate 5 mg/ml
Injekcija Melphalan 0.1 mg/ml
Nātrija hlorīds 0.9% 169
Savietojams
Injekcija Amikacin sulfate 250 mg/ml
Injekcija Meropenem 50 mg/ml
4389
Savietojams
Injekcija Amikacin sulfate 250 mg/ml
Injekcija Meropenem 50 mg/ml
Ūdens injekcijām 4319
Ķīmiskā nestabilitāte Nesavienojams
Injekcija Amikacin sulfate
Injekcija Meropenem
3549
Savietojams
Injekcija Amikacin sulfate
Injekcija Metronidazole
3594
Savietojams
Injekcija Amikacin sulfate 5 mg/ml
Injekcija Metronidazole 5 mg/ml
Nekāds 1035
Savietojams
Injekcija Amikacin sulfate 5 mg/ml
Injekcija Midazolam hydrochloride 5 mg/ml
Nekāds 186
Savietojams
Injekcija Amikacin sulfate 5 mg/ml
Injekcija Morphine sulfate 1 mg/ml
5% glikoze 405
Savietojams
Injekcija Amikacin sulfate 250 mg/ml
Injekcija N-acetylcysteine 200 mg/ml
Nekāds 3766
Ķīmiskā nestabilitāte Nesavienojams
Injekcija Amikacin sulfate
Injekcija Nafcillin sodium
3549
Savietojams
Injekcija Amikacin sulfate 2,5 mg/ml
Injekcija Nalbuphine hydrochloride 0,05 >> 0,33 mg/ml
Nātrija hlorīds 0.9% 4867
Savietojams
Injekcija Amikacin sulfate 250 mg/ml
Injekcija Naloxone hydrochloride 0.4 mg/ml
Nekāds 3408
Savietojams
Injekcija Amikacin sulfate 2 mg/ml
Injekcija Nicardipine hydrochloride 0.1 mg/ml
5% glikoze 1490
Savietojams
Injekcija Amikacin sulfate 2 mg/ml
Injekcija Nicardipine hydrochloride 0.1 mg/ml
Nātrija hlorīds 0.9% 1490
Savietojams
Injekcija Amikacin sulfate 5 mg/ml
Injekcija Ondansetron hydrochloride 1 mg/ml
Nātrija hlorīds 0.9% 334
Ķīmiskā nestabilitāte Nesavienojams
Injekcija Amikacin sulfate
Injekcija Oxacillin sodium
3549
Savietojams
Injekcija Amikacin sulfate 5 mg/ml
Injekcija Paclitaxel 1.2 mg/ml
5% glikoze 248
Tūlītēji nokrišņi Nesavienojams
Injekcija Amikacin sulfate
Injekcija Pantoprazole sodium
2090
Savietojams
Injekcija Amikacin sulfate 250 mg/ml
Injekcija Paracetamol 10 mg/ml
4742
Savietojams
Injekcija Amikacin sulfate 5 mg/ml
Injekcija Pemetrexed disodium 20 mg/ml
Nātrija hlorīds 0.9% 1953
Ķīmiskā nestabilitāte Nesavienojams
Injekcija Amikacin sulfate
Injekcija Penicillin G potassium
3549
Ķīmiskā nestabilitāte Nesavienojams
Injekcija Amikacin sulfate
Injekcija Penicillin G sodium
3549
Savietojams
Injekcija Amikacin sulfate 50 mg/ml
Injekcija Pethidine hydrochloride 100 mg/ml
Nātrija hlorīds 0.45% 132
Savietojams
Injekcija Amikacin sulfate 5 mg/ml
Injekcija Pethidine hydrochloride 10 mg/ml
5% glikoze 405
Neprecizēta nesaderība Nesavienojams
Injekcija Amikacin sulfate
Injekcija Phenytoin sodium
3549
Savietojams
Injekcija Amikacin sulfate 40 mg/ml
Injekcija Phloroglucinol 2,5 mg/ml
3791
Ķīmiskā nestabilitāte Nesavienojams
Injekcija Amikacin sulfate
Injekcija Piperacillin sodium
3549
Ķīmiskā nestabilitāte Nesavienojams
Injekcija Amikacin sulfate
Injekcija Piperacillin sodium / tazobactam
3549
Ķīmiskā nestabilitāte Nesavienojams
Injekcija Amikacin sulfate
Injekcija Piperacillin sodium / tazobactam
3586
Savietojams
Injekcija Amikacin sulfate
Injekcija Posaconazole
4380
Tūlītēji nokrišņi Nesavienojams
Injekcija Amikacin sulfate 5 mg/ml
Injekcija Propofol 10 mg/ml
Nekāds 300
Neprecizēta nesaderība Nesavienojams
Injekcija Amikacin sulfate
Injekcija Pyridoxine hydrochloride
3549
Savietojams
Injekcija Amikacin sulfate 5 mg/ml
Injekcija Remifentanil hydrochloride 25 & 250 µg/ml
Nātrija hlorīds 0.9% 59
Tūlītēji nokrišņi Nesavienojams
Injekcija Amikacin sulfate 250 mg/ml
Injekcija Salbutamol sulfate 1 mg/ml
Nekāds 3216
Savietojams
Injekcija Amikacin sulfate 5 mg/ml
Injekcija Sargramostim 10 µg/ml
Nātrija hlorīds 0.9% 335
Savietojams
Injekcija Amikacin sulfate 10 mg/ml
Injekcija Sulbactam/durlobactam 15/15 mg/ml
Nātrija hlorīds 0.9% 4801
Savietojams
Injekcija Amikacin sulfate 5 mg/ml
Injekcija Tedizolid phosphate 0.8 mg/ml
Nātrija hlorīds 0.9% 3827
Neprecizēta nesaderība Nesavienojams
Injekcija Amikacin sulfate
Injekcija Teicoplanine
3656
Savietojams
Injekcija Amikacin sulfate
Nātrija hlorīds 0.9% 5076
Neprecizēta nesaderība Nesavienojams
Injekcija Amikacin sulfate 50 mg/ml
Injekcija Propofol
4524
Neprecizēta nesaderība Nesavienojams
Injekcija Amikacin sulfate
Injekcija Temocilline
2296
Savietojams
Injekcija Amikacin sulfate 15 mg/ml
Injekcija Temocilline 83.33 mg/ml
Ūdens injekcijām 2231
Ķīmiskā nestabilitāte Nesavienojams
Injekcija Amikacin sulfate
Injekcija Temocilline
3549
Savietojams
Injekcija Amikacin sulfate 5 mg/ml
Injekcija Teniposide 0.1 mg/ml
5% glikoze 905
Neprecizēta nesaderība Nesavienojams
Injekcija Amikacin sulfate
Injekcija Thiamine hydrochloride
3549
Tūlītēji nokrišņi Nesavienojams
Injekcija Amikacin sulfate 250 mg/ml
Injekcija Thiopental sodium 25 mg/ml
Nātrija hlorīds 0.9% 3767
Neprecizēta nesaderība Nesavienojams
Injekcija Amikacin sulfate
Injekcija Thiopental sodium
3549
Savietojams
Injekcija Amikacin sulfate 5 mg/ml
Injekcija Thiotepa 1 mg/ml
5% glikoze 249
Ķīmiskā nestabilitāte Nesavienojams
Injekcija Amikacin sulfate
Injekcija Ticarcillin / clavulanic acid
3587
Ķīmiskā nestabilitāte Nesavienojams
Injekcija Amikacin sulfate
Injekcija Ticarcillin / clavulanic acid
3549
Savietojams
Injekcija Amikacin sulfate
Injekcija Tigecycline
Nātrija hlorīds 0.9% 3332
Savietojams
Injekcija Amikacin sulfate 15 mg/ml
Injekcija Vancomycin hydrochloride 10 mg/ml
5% glikoze 3385
Savietojams
Injekcija Amikacin sulfate 2 mg/ml
Injekcija Verapamil hydrochloride 0.08 mg/ml
Nātrija hlorīds 0.9% 1057
Savietojams
Injekcija Amikacin sulfate 2 mg/ml
Injekcija Verapamil hydrochloride 0.08 mg/ml
5% glikoze 1057
Tūlītēja duļķainība Nesavienojams
Injekcija Amikacin sulfate 5 mg/ml
Injekcija Vinorelbine tartrate 1 mg/ml
Nātrija hlorīds 0.9% 84
Savietojams
Injekcija Amikacin sulfate 5 mg/ml
Injekcija Warfarin sodium 0.1 & 2 mg/ml
5% glikoze 552
Savietojams
Injekcija Amikacin sulfate 5 mg/ml
Injekcija Warfarin sodium 0.1 & 2 mg/ml
Nātrija hlorīds 0.9% 552
Savietojams
Injekcija Amikacin sulfate 4 mg/ml
Injekcija Zidovudine 4 mg/ml
5% glikoze 337

  Mentions Légales