Seneste opdatering :
17/12/2025
Antibiotisk   Amikacin sulfate  
Injektion
Stabilitet i (vandige) opløsninger Stabilitet i blandinger Faktorer der påvirker stabiliteten Kompatibilitet Administrationsvej Bibliografi pdf
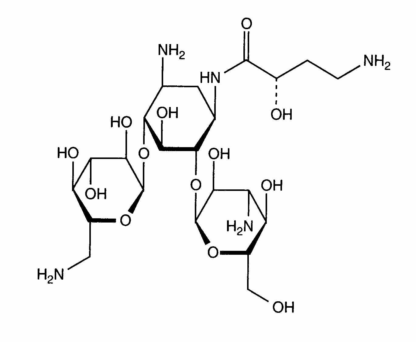
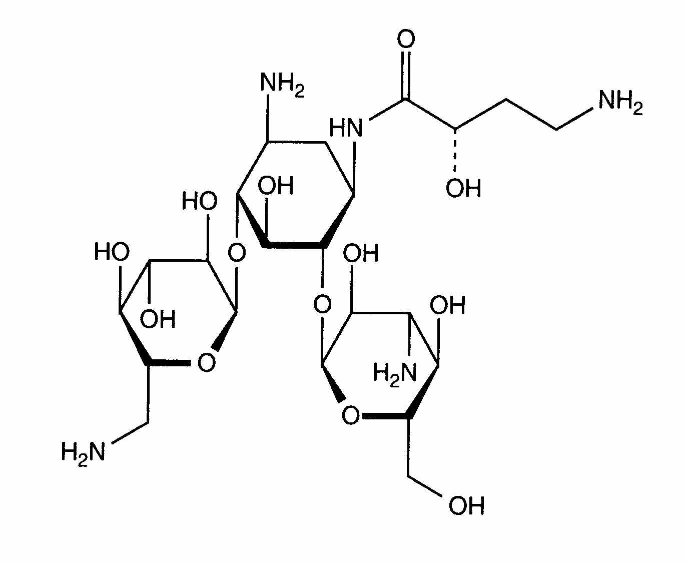
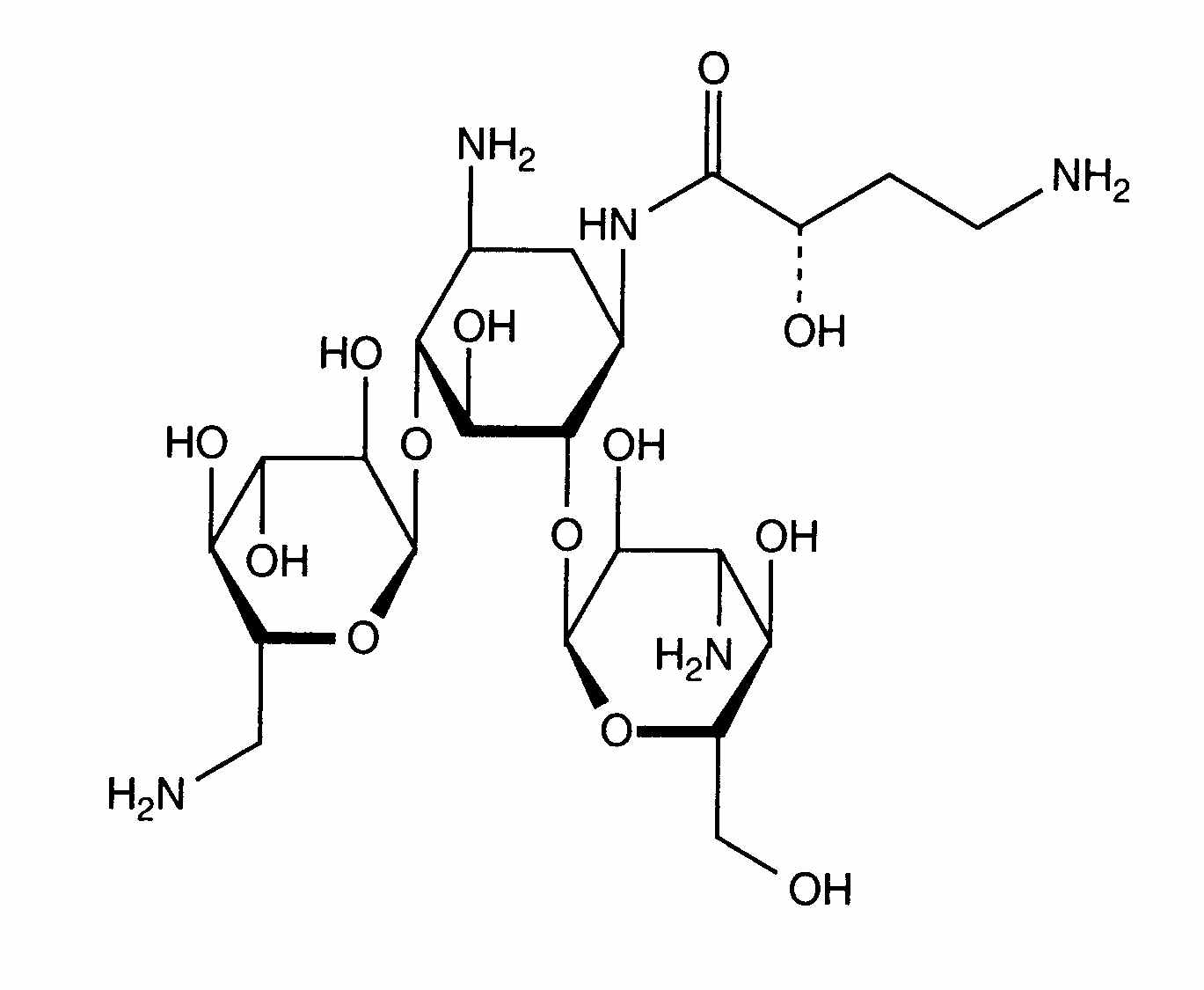
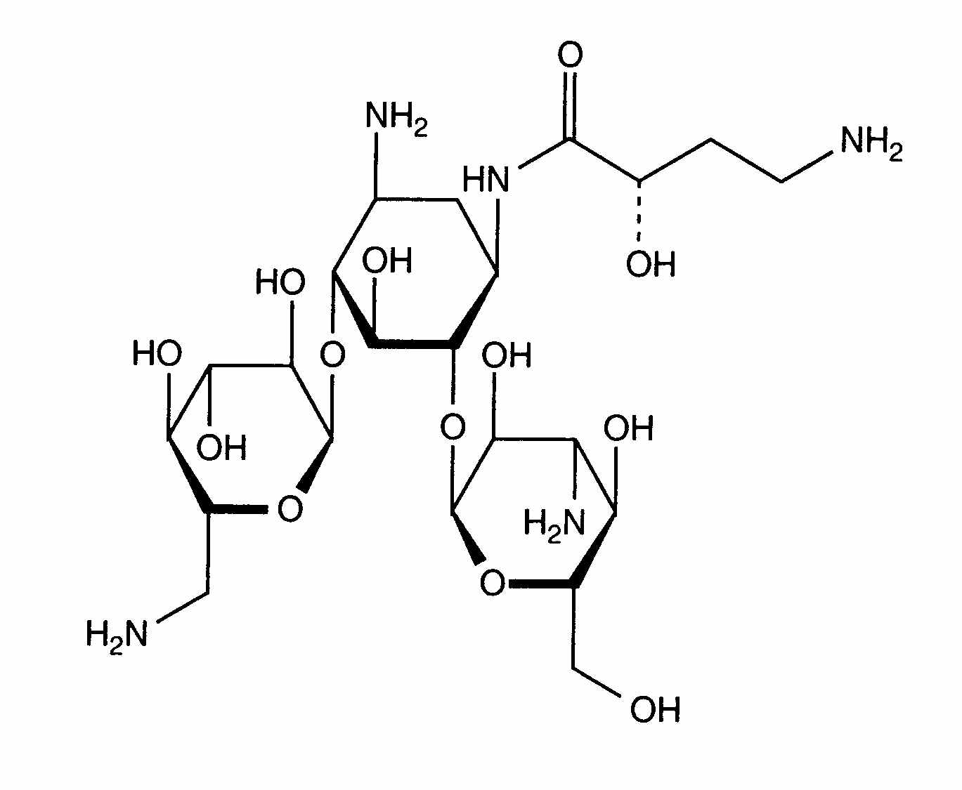
   Kemisk struktur  

Handelsnavn   Handelsnavn     

Handel navne er vejledende og hjælpestoffer sammensætning kan være forskellig afhængigt af landet og laboratorier

Adnet Indien
Agnicin Mexico
Akamin Ecuador
Akim Ecuador
Amicacil Brasilien
Amicilon Brasilien
Amicin Malaysia
Amicip Venezuela
Amijeksin Tyrkiet
Amikabiot Ecuador, Marokko
Amikacin Canada, Iran, Malaysia, New Zealand, Saudi-Arabien, Storbritanien, Tyskland, USA, Ægypten
Amikacina Argentina, Chile, Colombia, Ecuador, Italien, Marokko, Mexico, Spanien, Venezuela
Amikacine Belgien, Frankrig, Holland, Marokko
Amikafur Mexico
Amikagram Marokko
Amikalem Mexico
Amikamed Marokko
Amikamek Marokko
Amikan Italien
Amikavax Venezuela
Amikaver Tyrkiet
Amikayect Mexico
Amikem Marokko
Amiketem Tyrkiet
Amikin Australien, Brasilien, Colombia, Ecuador, Irland, Marokko, Mexico, Polen, Saudi-Arabien, Schweiz, Storbritanien, Tunesien, Ungarn, USA, Ægypten
Amiklin Frankrig, Tyrkiet
Amikosit Rumænien, Tunesien, Tyrkiet
Amikram Marokko
Amukin Belgien, Holland, Luxemborg
Apalin Malaysia
Baxi K Chile, Mexico
Behcacin Indien, Venezuela
Belka Indien
Biclin Finland, Mexico, Portugal, Spanien, Sverige, Tyskland, Østrig
Biodacyna Polen
Biokacin Mexico
Briklin Grækenland
Cadicin Indien
Chemacin Italien
Cikabit Indien
Cinamica Indien
Cinas Indien
Consumonit Grækenland
Domak Indien
Doxocar Argentina
Elcin Indien
Elmik Indien
Emcin Indien
Emica Indien
Farcyclin Grækenland
Flexelite Grækenland
Greini Argentina
Ipacin Iran
Itukacin Marokko
Kancin Grækenland
Lanomycin Grækenland
Lukadin Italien
Masmika Indien
Mediamik Italien
Micalpha Grækenland
Micigen Mexico
Migracin Italien
Mikacin Saudi-Arabien
Nekacin Italien
Novamin Brasilien
Orlobin Grækenland
Remikin Grækenland
Rovericlin Grækenland
Uzix Grækenland
Kompatibilitet   Injektion   Kompatibilitet : Amikacin sulfate              
Denne skærm viser kompatibilitet eller uforenelighed med, i dette tilfælde typen af inkompatibilitet (udfældning, farveændring, ændring af en emulsion osv.). Kompatibiliteterne vist her er for det meste kun fysiske, idet den kemiske stabilitet af hvert molekyle sjældent vurderes. Evalueringen af disse blandinger blev undersøgt for at overveje muligheden for Y-sted-administration til patienten. Disse data kan ikke bruges til at fremstille blandinger på forhånd i poser eller sprøjter. Denne type information findes på skærmen "Stabilitet i blanding".
Molekyle Opløsningsmiddel Bibliografi
Kompatibel
Injektion Amikacin sulfate 5 mg/ml
Injektion Aciclovir sodium 5 mg/ml
5 % Glukose 336
Nedbør efter 1 time Uforenelig
Injektion Amikacin sulfate 5 mg/ml
Injektion Allopurinol sodium 3 mg/ml
0,9 % Natriumklorid 307
Kompatibel
Injektion Amikacin sulfate 5 mg/ml
Injektion Amifostine 10 mg/ml
5 % Glukose 3
Kompatibel
Injektion Amikacin sulfate 5 mg/ml
Injektion Amiodarone hydrochloride 4 mg/ml
0,9 % Natriumklorid 385
Kompatibel
Injektion Amikacin sulfate 5 mg/ml
Injektion Amiodarone hydrochloride 4 mg/ml
5 % Glukose 385
Kemisk ustabilitet Uforenelig
Injektion Amikacin sulfate
Injektion Amoxicillin sodium
3527
Kemisk ustabilitet Uforenelig
Injektion Amikacin sulfate
Injektion Amoxicillin sodium
3549
Kompatibel
Injektion Amikacin sulfate 250 mg/ml
Injektion Amoxicillin sodium / clavulanic acid 100/10 mg/ml
3824
Kemisk ustabilitet Uforenelig
Injektion Amikacin sulfate
Injektion Amoxicillin sodium / clavulanic acid
3549
Uspecificeret inkompatibilitet Uforenelig
Injektion Amikacin sulfate
Injektion Amoxicillin sodium / clavulanic acid
3545
Uspecificeret inkompatibilitet Uforenelig
Injektion Amikacin sulfate
Injektion Amphotericin B
3549
Umiddelbar nedbør Uforenelig
Injektion Amikacin sulfate 5 mg/ml
Injektion Amphotericin B cholesteryl sulfate complex 0.83 mg/ml
5 % Glukose 921
Kemisk ustabilitet Uforenelig
Injektion Amikacin sulfate
Injektion Ampicillin sodium
3549
Kemisk ustabilitet Uforenelig
Injektion Amikacin sulfate
Injektion Ampicillin sodium - sulbactam sodium
3549
Kompatibel
Injektion Amikacin sulfate 5 mg/ml
Injektion Amsacrine 1 mg/ml
5 % Glukose 253
Kompatibel
Injektion Amikacin sulfate 5 mg/ml
Injektion Anidulafungin 0.5 mg/ml
5 % Glukose 1982
Uspecificeret inkompatibilitet Uforenelig
Injektion Amikacin sulfate
Injektion Ascorbic acid
3549
Umiddelbar nedbør Uforenelig
Injektion Amikacin sulfate 100 mg/ml
Injektion Azithromycine 2 mg/ml
0,9 % Natriumklorid 1800
Kemisk ustabilitet Uforenelig
Injektion Amikacin sulfate
Injektion Aztreonam
3549
Kompatibel
Injektion Amikacin sulfate 5 mg/ml
Injektion Aztreonam 40 mg/ml
5 % Glukose 99
Kompatibel
Injektion Amikacin sulfate 5 mg/ml
Injektion Bivalirudin 5 mg/ml
5 % Glukose 1713
Kompatibel
Injektion Amikacin sulfate 250 mg/ml
Injektion Caffeine 10 mg/ml
Ingen 3964
Uforenelig
Injektion Amikacin sulfate
Injektion Calcium gluconate
4964
Uspecificeret inkompatibilitet Uforenelig
Injektion Amikacin sulfate
Injektion Calcium gluconate
3644
Kompatibel
Injektion Amikacin sulfate 5 mg/ml
Injektion Caspofungin acetate 0,7 mg/ml
0,9 % Natriumklorid 2247
Kemisk ustabilitet Uforenelig
Injektion Amikacin sulfate
Injektion Cefalotin sodium
3549
Kemisk ustabilitet Uforenelig
Injektion Amikacin sulfate
Injektion Cefamandole nafate
3549
Uspecificeret inkompatibilitet Uforenelig
Injektion Amikacin sulfate
Injektion Cefamandole nafate
3546
Kemisk ustabilitet Uforenelig
Injektion Amikacin sulfate
Injektion Cefazolin sodium
3549
Kompatibel
Injektion Amikacin sulfate 6 mg/ml
Injektion Cefepime dihydrochloride 40 mg/ml
0,9 % Natriumklorid 3548
Kompatibel
Injektion Amikacin sulfate 6 mg/ml
Injektion Cefepime dihydrochloride 40 mg/ml
5 % Glukose 3548
Kompatibel
Injektion Amikacin sulfate 15 mg/ml
Injektion Cefepime dihydrochloride 125 mg/ml
Vand til injektion 2141
Kemisk ustabilitet Uforenelig
Injektion Amikacin sulfate
Injektion Cefepime dihydrochloride
3549
Kompatibel
Injektion Amikacin sulfate 5 mg/ml
Injektion Cefiderocol sulfate tosylate 20 mg/mL
5 % Glukose 4528
Kemisk ustabilitet Uforenelig
Injektion Amikacin sulfate
Injektion Cefmenoxime
3549
Kemisk ustabilitet Uforenelig
Injektion Amikacin sulfate
Injektion Cefmetazole sodium
3549
Kemisk ustabilitet Uforenelig
Injektion Amikacin sulfate
Injektion Cefonicid sodium
3549
Kemisk ustabilitet Uforenelig
Injektion Amikacin sulfate
Injektion Cefoperazone sodium
3549
Uspecificeret inkompatibilitet Uforenelig
Injektion Amikacin sulfate
Injektion Cefoperazone sodium
3544
Kemisk ustabilitet Uforenelig
Injektion Amikacin sulfate
Injektion Ceforanide
3549
Kemisk ustabilitet Uforenelig
Injektion Amikacin sulfate
Injektion Cefotaxime sodium
3549
Kemisk ustabilitet Uforenelig
Injektion Amikacin sulfate
Injektion Cefoxitin sodium
3549
Uspecificeret inkompatibilitet Uforenelig
Injektion Amikacin sulfate
Injektion Cefpirome sulfate
3677
Kompatibel
Injektion Amikacin sulfate 5 mg/ml
Injektion Cefpirome sulfate 50 mg/ml
0,45 % Natriumklorid 280
Kompatibel
Injektion Amikacin sulfate 5 mg/ml
Injektion Cefpirome sulfate 50 mg/ml
5 % Glukose 280
Kompatibel
Injektion Amikacin sulfate 5 mg/ml
Injektion Cefpirome sulfate 50 mg/ml
0,9 % Natriumklorid 280
Kompatibel
Injektion Amikacin sulfate 5 mg/ml
Injektion Cefpirome sulfate 50 mg/ml
Ringer laktat 280
Kemisk ustabilitet Uforenelig
Injektion Amikacin sulfate
Injektion Cefpirome sulfate
3549
Kompatibel
Injektion Amikacin sulfate 5 mg/ml
Injektion Ceftaroline fosamil 2,22 mg/ml
Ringer laktat 3249
Kompatibel
Injektion Amikacin sulfate 5 mg/ml
Injektion Ceftaroline fosamil 2,22 mg/ml
5 % Glukose 3249
Kompatibel
Injektion Amikacin sulfate 5 mg/ml
Injektion Ceftaroline fosamil 2,22 mg/ml
0,9 % Natriumklorid 3249
Uspecificeret inkompatibilitet Uforenelig
Injektion Amikacin sulfate
Injektion Ceftazidime
3883
Uspecificeret inkompatibilitet Uforenelig
Injektion Amikacin sulfate
Injektion Ceftazidime
3543
Kompatibel
Injektion Amikacin sulfate 15 mg/ml
Injektion Ceftazidime 83.3 mg/ml
1759
Kemisk ustabilitet Uforenelig
Injektion Amikacin sulfate
Injektion Ceftazidime Avibactam
3549
Umiddelbar nedbør Uforenelig
Injektion Amikacin sulfate 5 mg/ml
Injektion Ceftobiprole medocaril sodium 2 mg/ml
0,9 % Natriumklorid 2269
Uspecificeret inkompatibilitet Uforenelig
Injektion Amikacin sulfate
Injektion Ceftobiprole medocaril sodium
4650
Kompatibel
Injektion Amikacin sulfate
5 % Glukose 5076
Kemisk ustabilitet Uforenelig
Injektion Amikacin sulfate
Injektion Ceftaroline fosamil
3549
Kemisk ustabilitet Uforenelig
Injektion Amikacin sulfate
Injektion Ceftazidime
3549
Kompatibel
Injektion Amikacin sulfate 15 mg/ml
Injektion Ceftazidime 125 mg/ml
Vand til injektion 2141
Kemisk ustabilitet Uforenelig
Injektion Amikacin sulfate
Injektion Ceftizoxime sodium
3549
Umiddelbar nedbør Uforenelig
Injektion Amikacin sulfate 5 mg/ml
Injektion Ceftobiprole medocaril sodium 2 mg/ml
5 % Glukose 2269
Kemisk ustabilitet Uforenelig
Injektion Amikacin sulfate
Injektion Ceftobiprole medocaril sodium
3549
Umiddelbar nedbør Uforenelig
Injektion Amikacin sulfate 5 mg/ml
Injektion Ceftobiprole medocaril sodium 2 mg/ml
Ringer laktat 2269
Kompatibel
Injektion Amikacin sulfate 5 mg/ml
Injektion Ceftolozane / tazobactam 10/5 mg/ml
5 % Glukose 3828
Kompatibel
Injektion Amikacin sulfate 5 mg/ml
Injektion Ceftolozane / tazobactam 10/5 mg/ml
0,9 % Natriumklorid 3828
Kemisk ustabilitet Uforenelig
Injektion Amikacin sulfate
Injektion Ceftolozane / tazobactam
3549
Uspecificeret inkompatibilitet Uforenelig
Injektion Amikacin sulfate
Injektion Ceftriaxone disodium
3523
Kemisk ustabilitet Uforenelig
Injektion Amikacin sulfate
Injektion Ceftriaxone disodium
3549
Kemisk ustabilitet Uforenelig
Injektion Amikacin sulfate
Injektion Cefuroxime sodium
3549
Uspecificeret inkompatibilitet Uforenelig
Injektion Amikacin sulfate
Injektion Cefuroxime sodium
3687
Kemisk ustabilitet Uforenelig
Injektion Amikacin sulfate
Injektion Cefuzonam
3549
Uspecificeret inkompatibilitet Uforenelig
Injektion Amikacin sulfate
Injektion Chlorothiazide sodium
3549
Kompatibel
Injektion Amikacin sulfate 2.5 mg/ml
Injektion Cimetidine hydrochloride 1.5 mg/ml
5 % Glukose 1201
Kemisk ustabilitet Uforenelig
Injektion Amikacin sulfate 4 mg/ml
Injektion Ciprofloxacin lactate 1.5 mg/ml
0,9 % Natriumklorid 434
Kemisk ustabilitet Uforenelig
Injektion Amikacin sulfate 4 mg/ml
Injektion Ciprofloxacin lactate 1.5 mg/ml
5 % Glukose 434
Kompatibel
Injektion Amikacin sulfate 5 mg/ml
Injektion Cisatracurium besylate 0.1 >> 5 mg/ml
5 % Glukose 299
Kompatibel
Injektion Amikacin sulfate 4 mg/ml
Injektion Clindamycin phosphate 9 mg/ml
0,9 % Natriumklorid 565
Kompatibel
Injektion Amikacin sulfate 250 mg/ml
Parenteral ernæring (lipid-fri) 999
Kompatibel
Injektion Amikacin sulfate 5 mg/ml
Injektion Ciprofloxacin lactate 2 mg/ml
5 % Glukose 285
Kemisk ustabilitet Uforenelig
Injektion Amikacin sulfate
Injektion Cisplatin
3578
Kompatibel
Injektion Amikacin sulfate 75 mg/ml
Injektion Clindamycin phosphate 90 mg/ml
0,9 % Natriumklorid 639
Kompatibel
Injektion Amikacin sulfate
Injektion Clindamycin phosphate
0,9 % Natriumklorid 3526
Subvisuel uforenelighed Uforenelig
Injektion Amikacin sulfate 250 mg/ml
Injektion Cloxacillin sodium 100 mg/ml
Vand til injektion 3012
Uspecificeret inkompatibilitet Uforenelig
Injektion Amikacin sulfate
Injektion Daunorubicin/cytarabine liposomale
4354
Kompatibel
Injektion Amikacin sulfate 5 mg/ml
Parenteral ernæring (lipid-fri) 316
Kompatibel
Injektion Amikacin sulfate 4 mg/ml
Injektion Clindamycin phosphate 9 mg/ml
5 % Glukose 565
Kompatibel
Injektion Amikacin sulfate
Injektion Clindamycin phosphate
5 % Glukose 3526
Kemisk ustabilitet Uforenelig
Injektion Amikacin sulfate
Injektion Cloxacillin sodium
3549
Uspecificeret inkompatibilitet Uforenelig
Injektion Amikacin sulfate
Injektion Cyanocobalamine
3549
Umiddelbar turbiditet Uforenelig
Injektion Amikacin sulfate
Injektion Daunorubicin/cytarabine liposomale 0,4 mg/mL
0,9 % Natriumklorid 4654
Umiddelbar nedbør Uforenelig
Injektion Amikacin sulfate 5 mg/ml
Injektion Defibrotide 8 mg/ml
0,9 % Natriumklorid 3728
Kompatibel
Injektion Amikacin sulfate 50 mg/ml
Injektion Dexamethasone sodium phosphate 4 mg/ml
0,45 % Natriumklorid 132
Uspecificeret inkompatibilitet Uforenelig
Injektion Amikacin sulfate
Injektion Erythromycin lactobionate
3549
Kompatibel
Injektion Amikacin sulfate 5 mg/ml
Parenteral ernæring (lipid-fri) 301
Kompatibel
Injektion Amikacin sulfate 5 mg/ml
Injektion Dexmedetomidine 4 µg/ml
0,9 % Natriumklorid 1712
Kompatibel
Injektion Amikacin sulfate 5 & 250 mg/ml
Injektion Diltiazem hydrochloride 5 mg/ml
0,9 % Natriumklorid 198
Kompatibel
Injektion Amikacin sulfate 5 mg/ml
Injektion Docetaxel 0.9 mg/ml
5 % Glukose 1754
Kompatibel
Injektion Amikacin sulfate 5 mg/ml
Injektion Doripenem 5 mg/ml
0,9 % Natriumklorid 2262
Kompatibel
Injektion Amikacin sulfate 5 mg/ml
Injektion Doripenem 5 mg/ml
5 % Glukose 2262
Kemisk ustabilitet Uforenelig
Injektion Amikacin sulfate
Injektion Doripenem
3549
Kompatibel
Injektion Amikacin sulfate 2 mg/ml
Injektion Enalaprilate 0.05 mg/ml
0,9 % Natriumklorid 1315
Kemisk ustabilitet Uforenelig
Injektion Amikacin sulfate
Injektion Ertapenem
3549
Uspecificeret inkompatibilitet Uforenelig
Injektion Amikacin sulfate
Injektion Erythromycin lactobionate
3674
Kompatibel
Injektion Amikacin sulfate 5 mg/ml
Injektion Esmolol hydrochloride 10 mg/ml
5 % Glukose 384
Kompatibel
Injektion Amikacin sulfate 5 mg/ml
Injektion Etoposide phosphate 5 mg/ml
5 % Glukose 1410
Kompatibel
Injektion Amikacin sulfate 5 mg/ml
Injektion Fenoldopam mesylate 80 µg/ml
0,9 % Natriumklorid 1803
Kompatibel
Injektion Amikacin sulfate 5 mg/ml
Injektion Filgrastim 30 µg/ml
5 % Glukose 244
Kompatibel
Injektion Amikacin sulfate 0.487 >> 0.667 mg/ml
Parenteral ernæring (lipider) 1868
Kompatibel
Injektion Amikacin sulfate 250 mg/ml
Ringer laktat 4603
Ustabilitet af emulsionen efter 1 time Uforenelig
Injektion Amikacin sulfate 250 mg/ml
Parenteral ernæring (lipider) 673
Kompatibel
Injektion Amikacin sulfate 5 mg/ml
Injektion Filgrastim 40 µg/ml
5 % Glukose 104
Umiddelbar ustabilitet af emulsionen Uforenelig
Injektion Amikacin sulfate 50 mg/ml
Parenteral ernæring (lipider) 132
Kompatibel
Injektion Amikacin sulfate 5 mg/ml
Parenteral ernæring (lipider) 1415
Umiddelbar nedbør Uforenelig
Injektion Amikacin sulfate
Injektion Flucloxacillin sodium
3522
Kompatibel
Injektion Amikacin sulfate 20 mg/ml
Injektion Fluconazole 2 mg/ml
0,9 % Natriumklorid 496
Kompatibel
Injektion Amikacin sulfate 5 mg/ml
Injektion Fluconazole 2 mg/ml
Ingen 256
Kompatibel
Injektion Amikacin sulfate 5 mg/ml
Injektion Fludarabine phosphate 1 mg/ml
5 % Glukose 492
Kompatibel
Injektion Amikacin sulfate 20 mg/ml
Injektion Foscarnet sodium 24 mg/ml
Ingen 73
Kompatibel
Injektion Amikacin sulfate 5 mg/ml
Injektion Fosfomycin 30 mg/ml
0,9 % Natriumklorid 4055
Kompatibel
Injektion Amikacin sulfate 5 mg/ml
Injektion Fosfomycin 30 mg/ml
5 % Glukose 4055
Umiddelbar nedbør Uforenelig
Injektion Amikacin sulfate 2 mg/ml
Injektion Furosemide 0,16 mg/ml
0,9 % Natriumklorid 367
Umiddelbar nedbør Uforenelig
Injektion Amikacin sulfate 2 mg/ml
Injektion Furosemide 0,16 mg/ml
5 % Glukose 367
Kompatibel
Injektion Amikacin sulfate 5 mg/ml
Injektion Gemcitabine hydrochloride 10 mg/ml
0,9 % Natriumklorid 1423
Kompatibel
Injektion Amikacin sulfate 5 mg/ml
Injektion Granisetron hydrochloride 0.05 mg/ml
5 % Glukose 182
Uspecificeret inkompatibilitet Uforenelig
Injektion Amikacin sulfate
Injektion Heparin sodium
3549
Uspecificeret inkompatibilitet Uforenelig
Injektion Amikacin sulfate
Injektion Heparin sodium
3540
Umiddelbar nedbør Uforenelig
Injektion Amikacin sulfate
Injektion Heparin sodium
1022
Kompatibel
Injektion Amikacin sulfate 5 mg/ml
Injektion Hetastarch 60 mg/ml
specifikt opløsningsmiddel 1721
Umiddelbar nedbør Uforenelig
Injektion Amikacin sulfate 5 mg/ml
Injektion Hetastarch 60 mg/ml
0,9 % Natriumklorid 472
Kompatibel
Injektion Amikacin sulfate 5 mg/ml
Injektion Hydromorphone hydrochloride 0.2 mg/ml
5 % Glukose 405
Umiddelbar turbiditet Uforenelig
Injektion Amikacin sulfate 50 mg/ml
Injektion Ibuprofen lysinate 10 mg/ml
Vand til injektion 4419
Umiddelbar turbiditet Uforenelig
Injektion Amikacin sulfate 250 mg/ml
Injektion Ibuprofen lysinate 10 mg/ml
Vand til injektion 4419
Kompatibel
Injektion Amikacin sulfate 5 mg/ml
Injektion Idarubicin hydrochloride 1 mg/ml
0,9 % Natriumklorid 491
Kemisk ustabilitet Uforenelig
Injektion Amikacin sulfate
Injektion Imipenem - cilastatin sodium
3549
Kompatibel
Injektion Amikacin sulfate 5 mg/ml
Injektion Isavuconazonium sulfate 1.5 mg/ml
5 % Glukose 3829
Kompatibel
Injektion Amikacin sulfate 5 mg/ml
Injektion Isavuconazonium sulfate 1.5 mg/ml
0,9 % Natriumklorid 3829
Kompatibel
Injektion Amikacin sulfate 250 mg/ml
Injektion Ketamine hydrochloride 50 mg/ml
2109
Kompatibel
Injektion Amikacin sulfate 5 mg/ml
Injektion Labetalol hydrochloride 1 mg/ml
5 % Glukose 386
Kompatibel
Injektion Amikacin sulfate 5 mg/ml
Injektion Lansoprazole 0.55 mg/ml
0,9 % Natriumklorid 1625
Kompatibel
Injektion Amikacin sulfate 50 mg/ml
Injektion Levofloxacine 5 mg/ml
5 % Glukose 1072
Kompatibel
Injektion Amikacin sulfate 5 mg/ml
Injektion Linezolid 2 mg/ml
Ingen 1925
Kompatibel
Injektion Amikacin sulfate 5 mg/ml
Injektion Lorazepam 0.33 mg/ml
0,9 % Natriumklorid 186
Kompatibel
Injektion Amikacin sulfate 5 mg/ml
Injektion Magnesium sulfate 16.67 >> 100 mg/ml
5 % Glukose 1047
Kompatibel
Injektion Amikacin sulfate 5 mg/ml
Injektion Melphalan 0.1 mg/ml
0,9 % Natriumklorid 169
Kompatibel
Injektion Amikacin sulfate 250 mg/ml
Injektion Meropenem 50 mg/ml
4389
Kompatibel
Injektion Amikacin sulfate 250 mg/ml
Injektion Meropenem 50 mg/ml
Vand til injektion 4319
Kemisk ustabilitet Uforenelig
Injektion Amikacin sulfate
Injektion Meropenem
3549
Kompatibel
Injektion Amikacin sulfate
Injektion Metronidazole
3594
Kompatibel
Injektion Amikacin sulfate 5 mg/ml
Injektion Metronidazole 5 mg/ml
Ingen 1035
Kompatibel
Injektion Amikacin sulfate 5 mg/ml
Injektion Midazolam hydrochloride 5 mg/ml
Ingen 186
Kompatibel
Injektion Amikacin sulfate 5 mg/ml
Injektion Morphine sulfate 1 mg/ml
5 % Glukose 405
Kompatibel
Injektion Amikacin sulfate 250 mg/ml
Injektion N-acetylcysteine 200 mg/ml
Ingen 3766
Kemisk ustabilitet Uforenelig
Injektion Amikacin sulfate
Injektion Nafcillin sodium
3549
Kompatibel
Injektion Amikacin sulfate 2,5 mg/ml
Injektion Nalbuphine hydrochloride 0,05 >> 0,33 mg/ml
0,9 % Natriumklorid 4867
Kompatibel
Injektion Amikacin sulfate 250 mg/ml
Injektion Naloxone hydrochloride 0.4 mg/ml
Ingen 3408
Kompatibel
Injektion Amikacin sulfate 2 mg/ml
Injektion Nicardipine hydrochloride 0.1 mg/ml
5 % Glukose 1490
Kompatibel
Injektion Amikacin sulfate 2 mg/ml
Injektion Nicardipine hydrochloride 0.1 mg/ml
0,9 % Natriumklorid 1490
Kompatibel
Injektion Amikacin sulfate 5 mg/ml
Injektion Ondansetron hydrochloride 1 mg/ml
0,9 % Natriumklorid 334
Kemisk ustabilitet Uforenelig
Injektion Amikacin sulfate
Injektion Oxacillin sodium
3549
Kompatibel
Injektion Amikacin sulfate 5 mg/ml
Injektion Paclitaxel 1.2 mg/ml
5 % Glukose 248
Umiddelbar nedbør Uforenelig
Injektion Amikacin sulfate
Injektion Pantoprazole sodium
2090
Kompatibel
Injektion Amikacin sulfate 250 mg/ml
Injektion Paracetamol 10 mg/ml
4742
Kompatibel
Injektion Amikacin sulfate 5 mg/ml
Injektion Pemetrexed disodium 20 mg/ml
0,9 % Natriumklorid 1953
Kemisk ustabilitet Uforenelig
Injektion Amikacin sulfate
Injektion Penicillin G potassium
3549
Kemisk ustabilitet Uforenelig
Injektion Amikacin sulfate
Injektion Penicillin G sodium
3549
Kompatibel
Injektion Amikacin sulfate 50 mg/ml
Injektion Pethidine hydrochloride 100 mg/ml
0,45 % Natriumklorid 132
Kompatibel
Injektion Amikacin sulfate 5 mg/ml
Injektion Pethidine hydrochloride 10 mg/ml
5 % Glukose 405
Uspecificeret inkompatibilitet Uforenelig
Injektion Amikacin sulfate
Injektion Phenytoin sodium
3549
Kompatibel
Injektion Amikacin sulfate 40 mg/ml
Injektion Phloroglucinol 2,5 mg/ml
3791
Kemisk ustabilitet Uforenelig
Injektion Amikacin sulfate
Injektion Piperacillin sodium
3549
Kemisk ustabilitet Uforenelig
Injektion Amikacin sulfate
Injektion Piperacillin sodium / tazobactam
3549
Kemisk ustabilitet Uforenelig
Injektion Amikacin sulfate
Injektion Piperacillin sodium / tazobactam
3586
Kompatibel
Injektion Amikacin sulfate
Injektion Posaconazole
4380
Umiddelbar nedbør Uforenelig
Injektion Amikacin sulfate 5 mg/ml
Injektion Propofol 10 mg/ml
Ingen 300
Uspecificeret inkompatibilitet Uforenelig
Injektion Amikacin sulfate
Injektion Pyridoxine hydrochloride
3549
Kompatibel
Injektion Amikacin sulfate 5 mg/ml
Injektion Remifentanil hydrochloride 25 & 250 µg/ml
0,9 % Natriumklorid 59
Umiddelbar nedbør Uforenelig
Injektion Amikacin sulfate 250 mg/ml
Injektion Salbutamol sulfate 1 mg/ml
Ingen 3216
Kompatibel
Injektion Amikacin sulfate 5 mg/ml
Injektion Sargramostim 10 µg/ml
0,9 % Natriumklorid 335
Kompatibel
Injektion Amikacin sulfate 10 mg/ml
Injektion Sulbactam/durlobactam 15/15 mg/ml
0,9 % Natriumklorid 4801
Kompatibel
Injektion Amikacin sulfate 5 mg/ml
Injektion Tedizolid phosphate 0.8 mg/ml
0,9 % Natriumklorid 3827
Uspecificeret inkompatibilitet Uforenelig
Injektion Amikacin sulfate
Injektion Teicoplanine
3656
Kompatibel
Injektion Amikacin sulfate
0,9 % Natriumklorid 5076
Uspecificeret inkompatibilitet Uforenelig
Injektion Amikacin sulfate 50 mg/ml
Injektion Propofol
4524
Uspecificeret inkompatibilitet Uforenelig
Injektion Amikacin sulfate
Injektion Temocilline
2296
Kompatibel
Injektion Amikacin sulfate 15 mg/ml
Injektion Temocilline 83.33 mg/ml
Vand til injektion 2231
Kemisk ustabilitet Uforenelig
Injektion Amikacin sulfate
Injektion Temocilline
3549
Kompatibel
Injektion Amikacin sulfate 5 mg/ml
Injektion Teniposide 0.1 mg/ml
5 % Glukose 905
Uspecificeret inkompatibilitet Uforenelig
Injektion Amikacin sulfate
Injektion Thiamine hydrochloride
3549
Umiddelbar nedbør Uforenelig
Injektion Amikacin sulfate 250 mg/ml
Injektion Thiopental sodium 25 mg/ml
0,9 % Natriumklorid 3767
Uspecificeret inkompatibilitet Uforenelig
Injektion Amikacin sulfate
Injektion Thiopental sodium
3549
Kompatibel
Injektion Amikacin sulfate 5 mg/ml
Injektion Thiotepa 1 mg/ml
5 % Glukose 249
Kemisk ustabilitet Uforenelig
Injektion Amikacin sulfate
Injektion Ticarcillin / clavulanic acid
3587
Kemisk ustabilitet Uforenelig
Injektion Amikacin sulfate
Injektion Ticarcillin / clavulanic acid
3549
Kompatibel
Injektion Amikacin sulfate
Injektion Tigecycline
0,9 % Natriumklorid 3332
Kompatibel
Injektion Amikacin sulfate 15 mg/ml
Injektion Vancomycin hydrochloride 10 mg/ml
5 % Glukose 3385
Kompatibel
Injektion Amikacin sulfate 2 mg/ml
Injektion Verapamil hydrochloride 0.08 mg/ml
0,9 % Natriumklorid 1057
Kompatibel
Injektion Amikacin sulfate 2 mg/ml
Injektion Verapamil hydrochloride 0.08 mg/ml
5 % Glukose 1057
Umiddelbar turbiditet Uforenelig
Injektion Amikacin sulfate 5 mg/ml
Injektion Vinorelbine tartrate 1 mg/ml
0,9 % Natriumklorid 84
Kompatibel
Injektion Amikacin sulfate 5 mg/ml
Injektion Warfarin sodium 0.1 & 2 mg/ml
5 % Glukose 552
Kompatibel
Injektion Amikacin sulfate 5 mg/ml
Injektion Warfarin sodium 0.1 & 2 mg/ml
0,9 % Natriumklorid 552
Kompatibel
Injektion Amikacin sulfate 4 mg/ml
Injektion Zidovudine 4 mg/ml
5 % Glukose 337

  Mentions Légales