Dernière mise à jour :
27/04/2026
Antibiotique   Amikacin sulfate  
injectable
Stabilité des solutions Stabilité en mélange Facteur influençant la stabilité Compatibilités Voie d’administration Bibliographie pdf
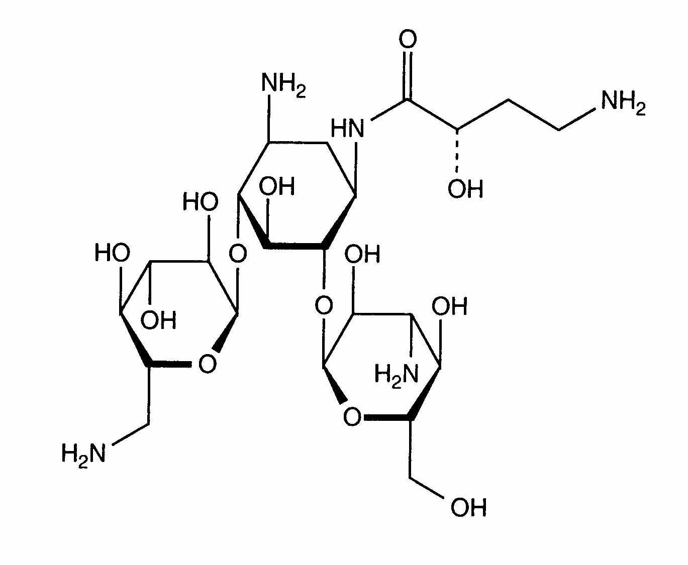
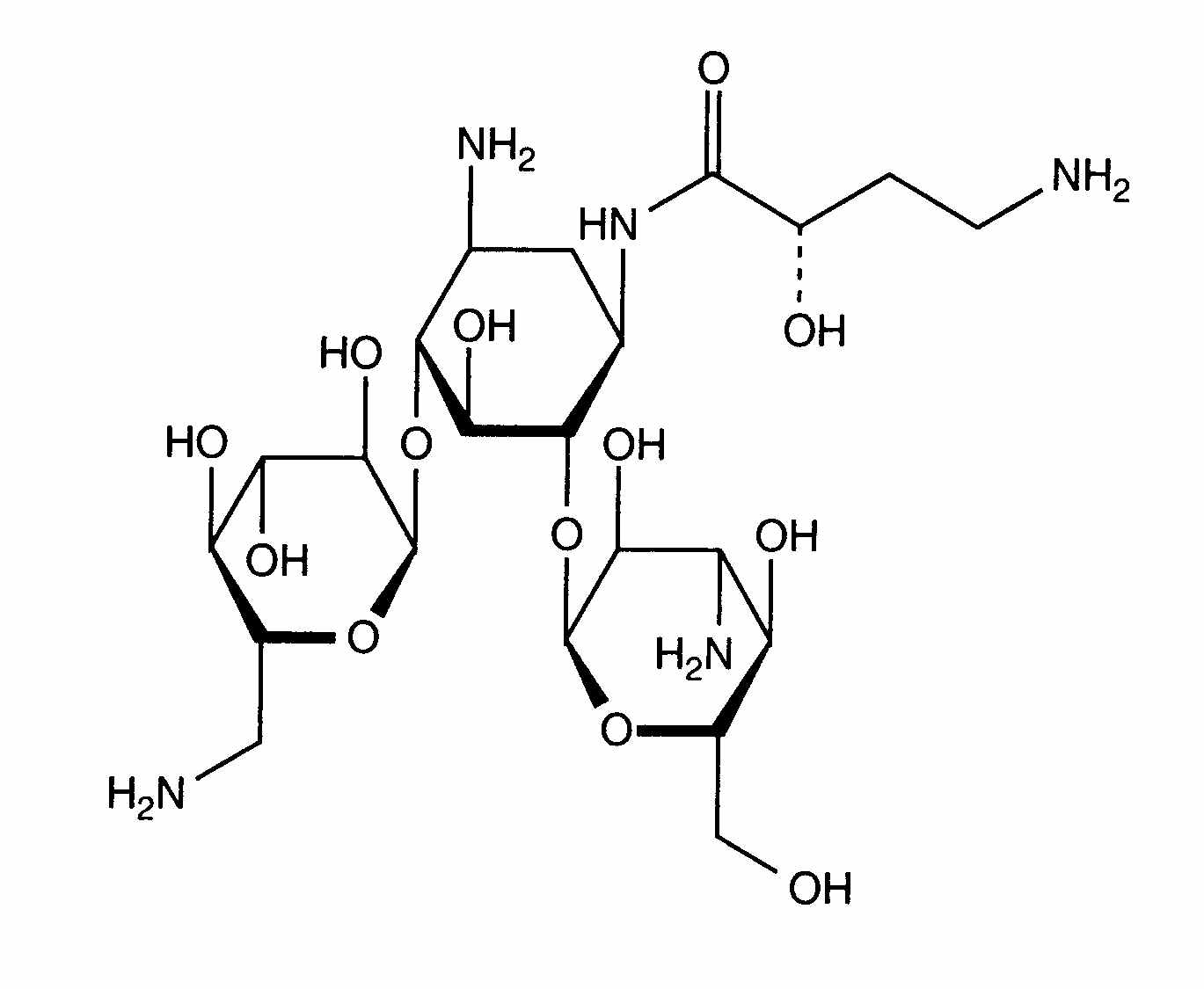
   Structure chimique  

Noms commerciaux   Noms commerciaux     

Les noms commerciaux sont donnés à titre indicatif et la composition en excipients peut être différente selon les pays et selon les laboratoires

Adnet Inde
Akamin Equateur
Akim Equateur
Amicilon Brésil
Amicin Malaisie
Amicip Vénézuela
Amijeksin Turquie
Amikabiot Equateur, Pérou
Amikacin Allemagne, Arabie Saoudite, Canada, Egypte, Etats Unis d’Amérique, Grande Bretagne, Iran, Malaisie, Nouvelle Zélande
Amikacina Argentine, Chili, Colombie, Equateur, Espagne, Italie, Mexique, Pérou, Vénézuela
Amikacine Belgique, France, Maroc, Pays bas
Amikagram Pérou
Amikamed Pérou
Amikamek Pérou
Amikan Italie, Pérou
Amikavax Vénézuela
Amikaver Turquie
Amikayect Mexique
Amikem Pérou
Amiketem Turquie
Amikin Arabie Saoudite, Australie, Brésil, Colombie, Egypte, Equateur, Etats Unis d’Amérique, Grande Bretagne, Hongrie, Irlande, Mexique, Pérou, Pologne, Suisse, Tunisie
Amiklin France, Turquie
Amukin Belgique, Luxembourg, Pays bas
Apalin Malaisie
Belka Inde
Biclin Portugal
Biodacyna Pologne
Biokacin Mexique
Briklin Grèce
Cadicin Inde
Chemacin Italie
Cikabit Inde
Cinamica Inde
Cinas Inde
Consumonit Grèce
Domak Inde
Doxocar Argentine
Elcin Inde
Elmik Inde
Emcin Inde
Emica Inde
Farcyclin Grèce
Flexelite Grèce
Greini Argentine
Ipacin Iran
Kancin Grèce
Lanomycin Grèce
Lukadin Italie
Micalpha Grèce
Micigen Mexique
Mikacin Arabie Saoudite
Nekacin Italie
Novamin Allemagne
Orlobin Grèce
Remikin Grèce
Uzix Grèce
Stabilité des solutions   injectable   Stabilité des solutions : Amikacin sulfate     
Contenant Solvant Concentration Température Conservation Durée de stabilité Bibliographie
Verre Chlorure de sodium 0,9% 0,25 & 5 mg/ml -15°C A l’abri de la lumière
30 Jour
561
Niveau de preuve D

Verre Chlorure de sodium 0,9% 0,25 & 5 mg/ml 25°C Non précisée
24 Heure
561
Niveau de preuve D

Verre Chlorure de sodium 0,9% 0,25 & 5 mg/ml 4°C A l’abri de la lumière
60 Jour
561
Niveau de preuve D

Verre Chlorure de sodium 0,9% 4 mg/ml 25°C Non précisée
48 Heure
565
Niveau de preuve D

Verre Glucose 5% 0,25 & 5 mg/ml -15°C A l’abri de la lumière
30 Jour
561
Niveau de preuve D

Verre Glucose 5% 0,25 & 5 mg/ml 25°C Non précisée
24 Heure
561
Niveau de preuve D

Verre Glucose 5% 0,25 & 5 mg/ml 4°C A l’abri de la lumière
60 Jour
561
Niveau de preuve D

Verre Glucose 5% 4 mg/ml 25°C Non précisée
48 Heure
565
Niveau de preuve D

Verre Ringer lactate 0,25 & 5 mg/ml -15°C A l’abri de la lumière
30 Jour
561
Niveau de preuve D

Verre Ringer lactate 0,25 & 5 mg/ml 25°C Non précisée
24 Heure
561
Niveau de preuve D

Verre Ringer lactate 0,25 & 5 mg/ml 4°C A l’abri de la lumière
60 Jour
561
Niveau de preuve D

Verre Chlorure de sodium 0,45% 0,25 & 5 mg/ml -15°C A l’abri de la lumière
30 Jour
561
Niveau de preuve D

Verre Chlorure de sodium 0,45% 0,25 & 5 mg/ml 25°C Non précisée
24 Heure
561
Niveau de preuve D

Verre Chlorure de sodium 0,45% 0,25 & 5 mg/ml 4°C A l’abri de la lumière
60 Jour
561
Niveau de preuve D

Polyvinyl chlorure Chlorure de sodium 0,9% 5 mg/ml 25°C Lumière
48 Heure
434

Polyvinyl chlorure Chlorure de sodium 0,9% 5 mg/ml 4°C A l’abri de la lumière
8 Heure
434

Polyvinyl chlorure Glucose 5% 20 mg/ml -20°C A l’abri de la lumière
30 Jour
575
Méthode biologique

Polyvinyl chlorure Glucose 5% 5 mg/ml 25°C Lumière
48 Heure
434

Polyvinyl chlorure Glucose 5% 5 mg/ml 4°C A l’abri de la lumière
48 Heure
434

Ethylène vinyl acétate Chlorure de sodium 0,9% 0,25 & 5 mg/ml 23°C A l’abri de la lumière
7 Jour
1816
Niveau de preuve A +

Ethylène vinyl acétate Chlorure de sodium 0,9% 0,25 & 5 mg/ml 4°C A l’abri de la lumière
30 Jour
1816
Niveau de preuve A +

Seringue polypropylène Chlorure de sodium 0,9% 190 mg/ml 22°C-23°C Lumière
48 Heure
639
Niveau de preuve D

Elastomère en polyisoprène Chlorure de sodium 0,9% 5 & 2,08 mg/ml 23-27°C Non précisée
24 Heure
5176
Données de stabilité du fabricant

Elastomère en polyisoprène Chlorure de sodium 0,9% 5 & 2,08 mg/ml 30-34°C Non précisée
24 Heure
5176
Données de stabilité du fabricant

Elastomère en polyisoprène Glucose 5% 0,25 & 20 mg/ml 25°C Non précisée
24 Heure
604
Données de stabilité du fabricant


  Mentions Légales