最新更新 :
18/03/2026
抗菌薬   Amikacin sulfate  
注射薬
溶媒内の安定性 混合時の安定性 安定性に影響する因子 互換性 投与経路 引用文献 PDF
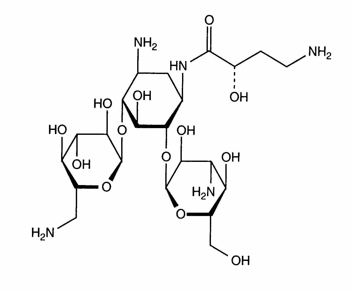
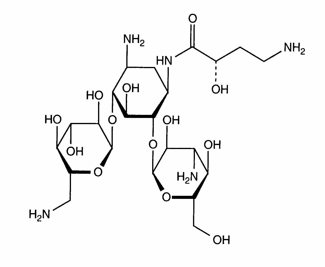
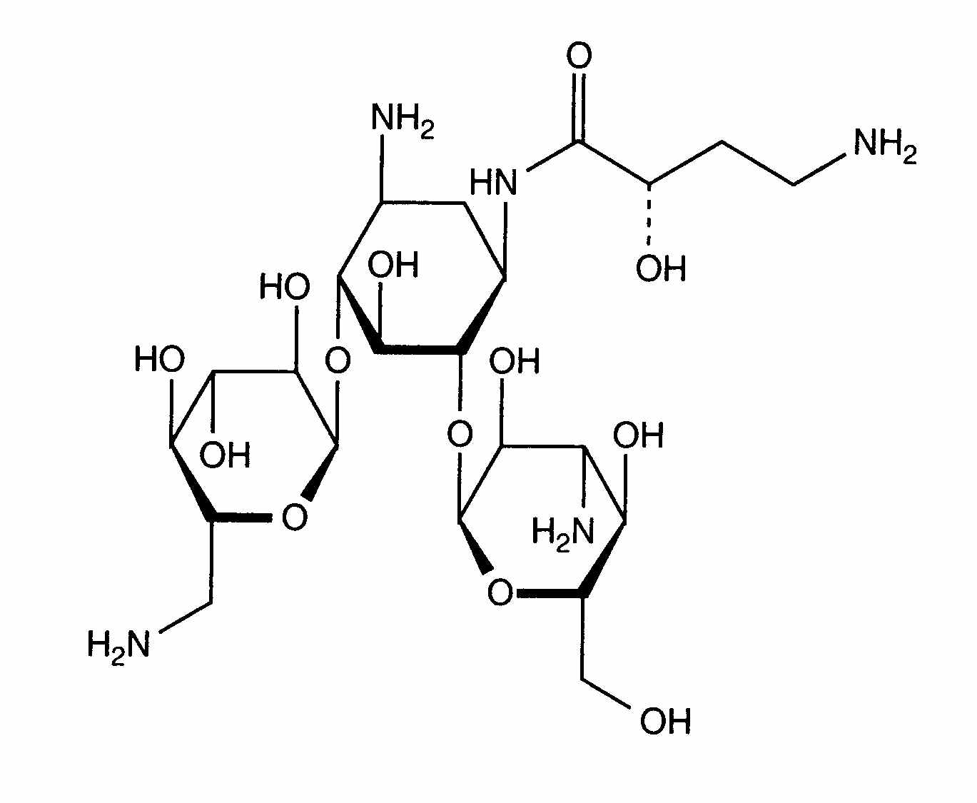
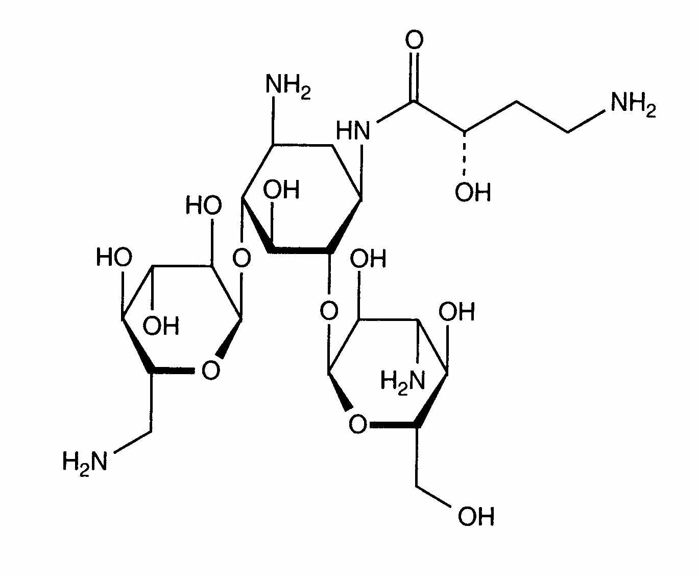
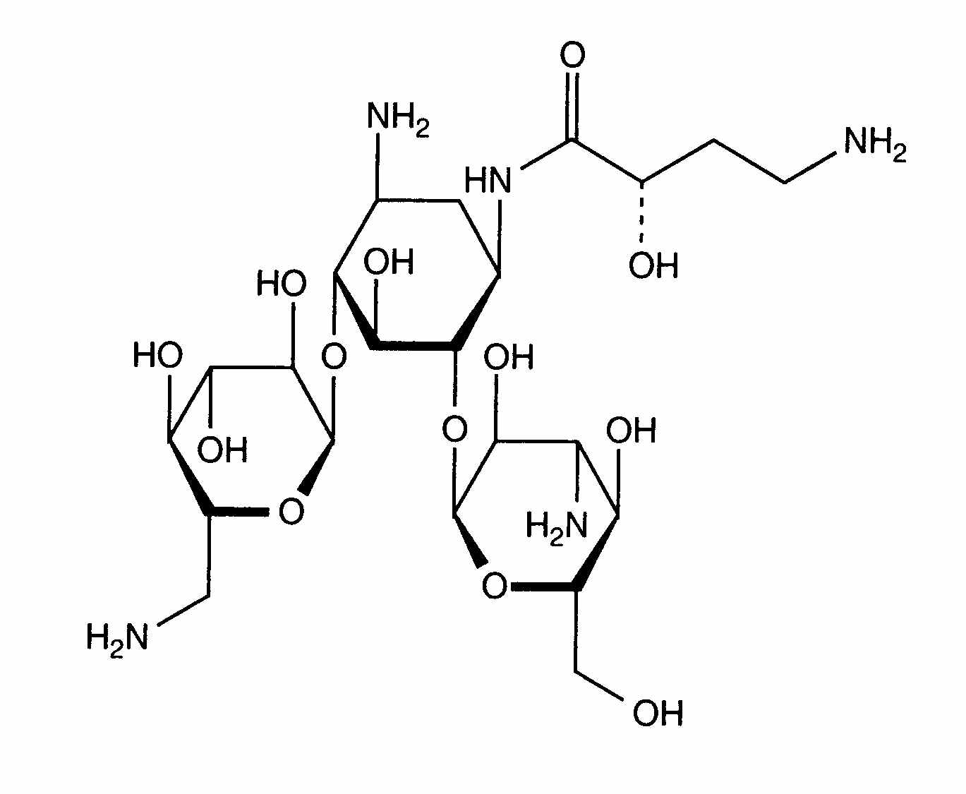
   化学構造  

商品名   商品名     

商品名、賦形剤は国、製薬会社ごとに異なることがあります

Adnet インド
Agnicin メキシコ
Akamin エクアドル
Akim エクアドル
Amicacil ブラジル
Amicilon ブラジル
Amicin マレーシア
Amicip ベネズエラ
Amijeksin トルコ
Amikabiot エクアドル, ペルー
Amikacin アメリカ, イギリス, イラン, エジプト, カナダ, サウジアラビア, ドイツ, ニュージーランド, マレーシア
Amikacina アルゼンチン, イタリア, エクアドル, コロンビア, スペイン, チリ, ベネズエラ, ペルー, メキシコ
Amikacine オランダ, フランス, ベルギー, モロッコ
Amikafur メキシコ
Amikagram ペルー
Amikalem メキシコ
Amikamed ペルー
Amikamek ペルー
Amikan イタリア
Amikavax ベネズエラ
Amikaver トルコ
Amikayect メキシコ
Amikem ペルー
Amiketem トルコ
Amikin アイルランド, アメリカ, アーストラリア, イギリス, エクアドル, エジプト, コロンビア, サウジアラビア, スイス, チュニジア, ハンガリー, ブラジル, ペルー, ポーランド, メキシコ
Amiklin トルコ, フランス
Amikosit チュニジア, トルコ, ルーマニア
Amikram ペルー
Amukin オランダ, ベルギー, ルクセンブルグ
Apalin マレーシア
Baxi K チリ, メキシコ
Behcacin インド, ベネズエラ
Belka インド
Biclin オーストリア, スウェーデン, スペイン, ドイツ, フィンランド, ポルトガル, メキシコ
Biodacyna ポーランド
Biokacin メキシコ
Briklin ギリシア
Cadicin インド
Chemacin イタリア
Cikabit インド
Cinamica インド
Cinas インド
Consumonit ギリシア
Domak インド
Doxocar アルゼンチン
Elcin インド
Elmik インド
Emcin インド
Emica インド
Farcyclin ギリシア
Flexelite ギリシア
Greini アルゼンチン
Ipacin イラン
Itukacin ペルー
Kancin ギリシア
Lanomycin ギリシア
Lukadin イタリア
Masmika インド
Mediamik イタリア
Micalpha ギリシア
Micigen メキシコ
Migracin イタリア
Mikacin サウジアラビア
Nekacin イタリア
Novamin ブラジル
Orlobin ギリシア
Remikin ギリシア
Rovericlin ギリシア
Uzix ギリシア
互換性   注射薬   互換性 : Amikacin sulfate              
This screen indicates the compatibilities or incompatibilities with, in this case, the type of incompatibility (precipitation, color change, modification of an emulsion, etc.). The compatibilities shown here are mostly physical only, with the chemical stability of each molecule rarely being assessed. The evaluation of these mixtures was studied to consider the possibility of Y-site administration to the patient. These data cannot be used for making mixtures in advance in bags or syringes. This type of information is available in the screen "Stability in mixture ».
化合物 溶媒 引用文献
対応
注射薬 Amikacin sulfate 5 mg/ml
注射薬 Aciclovir sodium 5 mg/ml
グルコース5% 336
1時間後の降水 非互換
注射薬 Amikacin sulfate 5 mg/ml
注射薬 Allopurinol sodium 3 mg/ml
NaCl 0,9% 307
対応
注射薬 Amikacin sulfate 5 mg/ml
注射薬 Amifostine 10 mg/ml
グルコース5% 3
対応
注射薬 Amikacin sulfate 5 mg/ml
注射薬 Amiodarone hydrochloride 4 mg/ml
NaCl 0,9% 385
対応
注射薬 Amikacin sulfate 5 mg/ml
注射薬 Amiodarone hydrochloride 4 mg/ml
グルコース5% 385
化学的不安定性 非互換
注射薬 Amikacin sulfate
注射薬 Amoxicillin sodium
3527
化学的不安定性 非互換
注射薬 Amikacin sulfate
注射薬 Amoxicillin sodium
3549
対応
注射薬 Amikacin sulfate 250 mg/ml
注射薬 Amoxicillin sodium / clavulanic acid 100/10 mg/ml
3824
化学的不安定性 非互換
注射薬 Amikacin sulfate
注射薬 Amoxicillin sodium / clavulanic acid
3549
不特定の非互換性 非互換
注射薬 Amikacin sulfate
注射薬 Amoxicillin sodium / clavulanic acid
3545
不特定の非互換性 非互換
注射薬 Amikacin sulfate
注射薬 Amphotericin B
3549
即時降水 非互換
注射薬 Amikacin sulfate 5 mg/ml
注射薬 Amphotericin B cholesteryl sulfate complex 0.83 mg/ml
グルコース5% 921
化学的不安定性 非互換
注射薬 Amikacin sulfate
注射薬 Ampicillin sodium
3549
化学的不安定性 非互換
注射薬 Amikacin sulfate
注射薬 Ampicillin sodium - sulbactam sodium
3549
対応
注射薬 Amikacin sulfate 5 mg/ml
注射薬 Amsacrine 1 mg/ml
グルコース5% 253
対応
注射薬 Amikacin sulfate 5 mg/ml
注射薬 Anidulafungin 0.5 mg/ml
グルコース5% 1982
不特定の非互換性 非互換
注射薬 Amikacin sulfate
注射薬 Ascorbic acid
3549
即時降水 非互換
注射薬 Amikacin sulfate 100 mg/ml
注射薬 Azithromycine 2 mg/ml
NaCl 0,9% 1800
化学的不安定性 非互換
注射薬 Amikacin sulfate
注射薬 Aztreonam
3549
対応
注射薬 Amikacin sulfate 5 mg/ml
注射薬 Aztreonam 40 mg/ml
グルコース5% 99
対応
注射薬 Amikacin sulfate 5 mg/ml
注射薬 Bivalirudin 5 mg/ml
グルコース5% 1713
対応
注射薬 Amikacin sulfate 250 mg/ml
注射薬 Caffeine 10 mg/ml
なし 3964
非互換
注射薬 Amikacin sulfate
注射薬 Calcium gluconate
4964
不特定の非互換性 非互換
注射薬 Amikacin sulfate
注射薬 Calcium gluconate
3644
対応
注射薬 Amikacin sulfate 5 mg/ml
注射薬 Caspofungin acetate 0,7 mg/ml
NaCl 0,9% 2247
化学的不安定性 非互換
注射薬 Amikacin sulfate
注射薬 Cefalotin sodium
3549
化学的不安定性 非互換
注射薬 Amikacin sulfate
注射薬 Cefamandole nafate
3549
不特定の非互換性 非互換
注射薬 Amikacin sulfate
注射薬 Cefamandole nafate
3546
化学的不安定性 非互換
注射薬 Amikacin sulfate
注射薬 Cefazolin sodium
3549
対応
注射薬 Amikacin sulfate 6 mg/ml
注射薬 Cefepime dihydrochloride 40 mg/ml
NaCl 0,9% 3548
対応
注射薬 Amikacin sulfate 6 mg/ml
注射薬 Cefepime dihydrochloride 40 mg/ml
グルコース5% 3548
対応
注射薬 Amikacin sulfate 15 mg/ml
注射薬 Cefepime dihydrochloride 125 mg/ml
注射用水 2141
化学的不安定性 非互換
注射薬 Amikacin sulfate
注射薬 Cefepime dihydrochloride
3549
対応
注射薬 Amikacin sulfate 5 mg/ml
注射薬 Cefiderocol sulfate tosylate 20 mg/mL
グルコース5% 4528
化学的不安定性 非互換
注射薬 Amikacin sulfate
注射薬 Cefmenoxime
3549
化学的不安定性 非互換
注射薬 Amikacin sulfate
注射薬 Cefmetazole sodium
3549
化学的不安定性 非互換
注射薬 Amikacin sulfate
注射薬 Cefonicid sodium
3549
化学的不安定性 非互換
注射薬 Amikacin sulfate
注射薬 Cefoperazone sodium
3549
不特定の非互換性 非互換
注射薬 Amikacin sulfate
注射薬 Cefoperazone sodium
3544
化学的不安定性 非互換
注射薬 Amikacin sulfate
注射薬 Ceforanide
3549
化学的不安定性 非互換
注射薬 Amikacin sulfate
注射薬 Cefotaxime sodium
3549
化学的不安定性 非互換
注射薬 Amikacin sulfate
注射薬 Cefoxitin sodium
3549
不特定の非互換性 非互換
注射薬 Amikacin sulfate
注射薬 Cefpirome sulfate
3677
対応
注射薬 Amikacin sulfate 5 mg/ml
注射薬 Cefpirome sulfate 50 mg/ml
NaCl 0.45% 280
対応
注射薬 Amikacin sulfate 5 mg/ml
注射薬 Cefpirome sulfate 50 mg/ml
グルコース5% 280
対応
注射薬 Amikacin sulfate 5 mg/ml
注射薬 Cefpirome sulfate 50 mg/ml
NaCl 0,9% 280
対応
注射薬 Amikacin sulfate 5 mg/ml
注射薬 Cefpirome sulfate 50 mg/ml
乳酸リンゲル 280
化学的不安定性 非互換
注射薬 Amikacin sulfate
注射薬 Cefpirome sulfate
3549
対応
注射薬 Amikacin sulfate 5 mg/ml
注射薬 Ceftaroline fosamil 2,22 mg/ml
乳酸リンゲル 3249
対応
注射薬 Amikacin sulfate 5 mg/ml
注射薬 Ceftaroline fosamil 2,22 mg/ml
グルコース5% 3249
対応
注射薬 Amikacin sulfate 5 mg/ml
注射薬 Ceftaroline fosamil 2,22 mg/ml
NaCl 0,9% 3249
不特定の非互換性 非互換
注射薬 Amikacin sulfate
注射薬 Ceftazidime
3883
不特定の非互換性 非互換
注射薬 Amikacin sulfate
注射薬 Ceftazidime
3543
対応
注射薬 Amikacin sulfate 15 mg/ml
注射薬 Ceftazidime 83.3 mg/ml
1759
化学的不安定性 非互換
注射薬 Amikacin sulfate
注射薬 Ceftazidime Avibactam
3549
即時降水 非互換
注射薬 Amikacin sulfate 5 mg/ml
注射薬 Ceftobiprole medocaril sodium 2 mg/ml
NaCl 0,9% 2269
不特定の非互換性 非互換
注射薬 Amikacin sulfate
注射薬 Ceftobiprole medocaril sodium
4650
対応
注射薬 Amikacin sulfate
グルコース5% 5076
化学的不安定性 非互換
注射薬 Amikacin sulfate
注射薬 Ceftaroline fosamil
3549
化学的不安定性 非互換
注射薬 Amikacin sulfate
注射薬 Ceftazidime
3549
対応
注射薬 Amikacin sulfate 15 mg/ml
注射薬 Ceftazidime 125 mg/ml
注射用水 2141
化学的不安定性 非互換
注射薬 Amikacin sulfate
注射薬 Ceftizoxime sodium
3549
即時降水 非互換
注射薬 Amikacin sulfate 5 mg/ml
注射薬 Ceftobiprole medocaril sodium 2 mg/ml
グルコース5% 2269
化学的不安定性 非互換
注射薬 Amikacin sulfate
注射薬 Ceftobiprole medocaril sodium
3549
即時降水 非互換
注射薬 Amikacin sulfate 5 mg/ml
注射薬 Ceftobiprole medocaril sodium 2 mg/ml
乳酸リンゲル 2269
対応
注射薬 Amikacin sulfate 5 mg/ml
注射薬 Ceftolozane / tazobactam 10/5 mg/ml
グルコース5% 3828
対応
注射薬 Amikacin sulfate 5 mg/ml
注射薬 Ceftolozane / tazobactam 10/5 mg/ml
NaCl 0,9% 3828
化学的不安定性 非互換
注射薬 Amikacin sulfate
注射薬 Ceftolozane / tazobactam
3549
不特定の非互換性 非互換
注射薬 Amikacin sulfate
注射薬 Ceftriaxone disodium
3523
化学的不安定性 非互換
注射薬 Amikacin sulfate
注射薬 Ceftriaxone disodium
3549
化学的不安定性 非互換
注射薬 Amikacin sulfate
注射薬 Cefuroxime sodium
3549
不特定の非互換性 非互換
注射薬 Amikacin sulfate
注射薬 Cefuroxime sodium
3687
化学的不安定性 非互換
注射薬 Amikacin sulfate
注射薬 Cefuzonam
3549
不特定の非互換性 非互換
注射薬 Amikacin sulfate
注射薬 Chlorothiazide sodium
3549
対応
注射薬 Amikacin sulfate 2.5 mg/ml
注射薬 Cimetidine hydrochloride 1.5 mg/ml
グルコース5% 1201
化学的不安定性 非互換
注射薬 Amikacin sulfate 4 mg/ml
注射薬 Ciprofloxacin lactate 1.5 mg/ml
NaCl 0,9% 434
化学的不安定性 非互換
注射薬 Amikacin sulfate 4 mg/ml
注射薬 Ciprofloxacin lactate 1.5 mg/ml
グルコース5% 434
対応
注射薬 Amikacin sulfate 5 mg/ml
注射薬 Cisatracurium besylate 0.1 >> 5 mg/ml
グルコース5% 299
対応
注射薬 Amikacin sulfate 4 mg/ml
注射薬 Clindamycin phosphate 9 mg/ml
NaCl 0,9% 565
対応
注射薬 Amikacin sulfate 250 mg/ml
非経口的栄養(二元混合物) 999
対応
注射薬 Amikacin sulfate 5 mg/ml
注射薬 Ciprofloxacin lactate 2 mg/ml
グルコース5% 285
化学的不安定性 非互換
注射薬 Amikacin sulfate
注射薬 Cisplatin
3578
対応
注射薬 Amikacin sulfate 75 mg/ml
注射薬 Clindamycin phosphate 90 mg/ml
NaCl 0,9% 639
対応
注射薬 Amikacin sulfate
注射薬 Clindamycin phosphate
NaCl 0,9% 3526
サブビジュアルの非互換性 非互換
注射薬 Amikacin sulfate 250 mg/ml
注射薬 Cloxacillin sodium 100 mg/ml
注射用水 3012
不特定の非互換性 非互換
注射薬 Amikacin sulfate
注射薬 Daunorubicin/cytarabine liposomale
4354
対応
注射薬 Amikacin sulfate 5 mg/ml
非経口的栄養(二元混合物) 316
対応
注射薬 Amikacin sulfate 4 mg/ml
注射薬 Clindamycin phosphate 9 mg/ml
グルコース5% 565
対応
注射薬 Amikacin sulfate
注射薬 Clindamycin phosphate
グルコース5% 3526
化学的不安定性 非互換
注射薬 Amikacin sulfate
注射薬 Cloxacillin sodium
3549
不特定の非互換性 非互換
注射薬 Amikacin sulfate
注射薬 Cyanocobalamine
3549
すぐに濁り 非互換
注射薬 Amikacin sulfate
注射薬 Daunorubicin/cytarabine liposomale 0,4 mg/mL
NaCl 0,9% 4654
即時降水 非互換
注射薬 Amikacin sulfate 5 mg/ml
注射薬 Defibrotide 8 mg/ml
NaCl 0,9% 3728
対応
注射薬 Amikacin sulfate 50 mg/ml
注射薬 Dexamethasone sodium phosphate 4 mg/ml
NaCl 0.45% 132
不特定の非互換性 非互換
注射薬 Amikacin sulfate
注射薬 Erythromycin lactobionate
3549
対応
注射薬 Amikacin sulfate 5 mg/ml
非経口的栄養(二元混合物) 301
対応
注射薬 Amikacin sulfate 5 mg/ml
注射薬 Dexmedetomidine 4 µg/ml
NaCl 0,9% 1712
対応
注射薬 Amikacin sulfate 5 & 250 mg/ml
注射薬 Diltiazem hydrochloride 5 mg/ml
NaCl 0,9% 198
対応
注射薬 Amikacin sulfate 5 mg/ml
注射薬 Docetaxel 0.9 mg/ml
グルコース5% 1754
対応
注射薬 Amikacin sulfate 5 mg/ml
注射薬 Doripenem 5 mg/ml
NaCl 0,9% 2262
対応
注射薬 Amikacin sulfate 5 mg/ml
注射薬 Doripenem 5 mg/ml
グルコース5% 2262
化学的不安定性 非互換
注射薬 Amikacin sulfate
注射薬 Doripenem
3549
対応
注射薬 Amikacin sulfate 2 mg/ml
注射薬 Enalaprilate 0.05 mg/ml
NaCl 0,9% 1315
化学的不安定性 非互換
注射薬 Amikacin sulfate
注射薬 Ertapenem
3549
不特定の非互換性 非互換
注射薬 Amikacin sulfate
注射薬 Erythromycin lactobionate
3674
対応
注射薬 Amikacin sulfate 5 mg/ml
注射薬 Esmolol hydrochloride 10 mg/ml
グルコース5% 384
対応
注射薬 Amikacin sulfate 5 mg/ml
注射薬 Etoposide phosphate 5 mg/ml
グルコース5% 1410
対応
注射薬 Amikacin sulfate 5 mg/ml
注射薬 Fenoldopam mesylate 80 µg/ml
NaCl 0,9% 1803
対応
注射薬 Amikacin sulfate 5 mg/ml
注射薬 Filgrastim 30 µg/ml
グルコース5% 244
対応
注射薬 Amikacin sulfate 0.487 >> 0.667 mg/ml
非経口的栄養(脂肪含む) 1868
対応
注射薬 Amikacin sulfate 250 mg/ml
乳酸リンゲル 4603
1時間後のエマルジョンの不安定性 非互換
注射薬 Amikacin sulfate 250 mg/ml
非経口的栄養(脂肪含む) 673
対応
注射薬 Amikacin sulfate 5 mg/ml
注射薬 Filgrastim 40 µg/ml
グルコース5% 104
エマルジョンの即時の不安定性 非互換
注射薬 Amikacin sulfate 50 mg/ml
非経口的栄養(脂肪含む) 132
対応
注射薬 Amikacin sulfate 5 mg/ml
非経口的栄養(脂肪含む) 1415
即時降水 非互換
注射薬 Amikacin sulfate
注射薬 Flucloxacillin sodium
3522
対応
注射薬 Amikacin sulfate 20 mg/ml
注射薬 Fluconazole 2 mg/ml
NaCl 0,9% 496
対応
注射薬 Amikacin sulfate 5 mg/ml
注射薬 Fluconazole 2 mg/ml
なし 256
対応
注射薬 Amikacin sulfate 5 mg/ml
注射薬 Fludarabine phosphate 1 mg/ml
グルコース5% 492
対応
注射薬 Amikacin sulfate 20 mg/ml
注射薬 Foscarnet sodium 24 mg/ml
なし 73
対応
注射薬 Amikacin sulfate 5 mg/ml
注射薬 Fosfomycin 30 mg/ml
NaCl 0,9% 4055
対応
注射薬 Amikacin sulfate 5 mg/ml
注射薬 Fosfomycin 30 mg/ml
グルコース5% 4055
即時降水 非互換
注射薬 Amikacin sulfate 2 mg/ml
注射薬 Furosemide 0,16 mg/ml
NaCl 0,9% 367
即時降水 非互換
注射薬 Amikacin sulfate 2 mg/ml
注射薬 Furosemide 0,16 mg/ml
グルコース5% 367
対応
注射薬 Amikacin sulfate 5 mg/ml
注射薬 Gemcitabine hydrochloride 10 mg/ml
NaCl 0,9% 1423
対応
注射薬 Amikacin sulfate 5 mg/ml
注射薬 Granisetron hydrochloride 0.05 mg/ml
グルコース5% 182
不特定の非互換性 非互換
注射薬 Amikacin sulfate
注射薬 Heparin sodium
3549
不特定の非互換性 非互換
注射薬 Amikacin sulfate
注射薬 Heparin sodium
3540
即時降水 非互換
注射薬 Amikacin sulfate
注射薬 Heparin sodium
1022
対応
注射薬 Amikacin sulfate 5 mg/ml
注射薬 Hetastarch 60 mg/ml
特定の溶媒 1721
即時降水 非互換
注射薬 Amikacin sulfate 5 mg/ml
注射薬 Hetastarch 60 mg/ml
NaCl 0,9% 472
対応
注射薬 Amikacin sulfate 5 mg/ml
注射薬 Hydromorphone hydrochloride 0.2 mg/ml
グルコース5% 405
すぐに濁り 非互換
注射薬 Amikacin sulfate 50 mg/ml
注射薬 Ibuprofen lysinate 10 mg/ml
注射用水 4419
すぐに濁り 非互換
注射薬 Amikacin sulfate 250 mg/ml
注射薬 Ibuprofen lysinate 10 mg/ml
注射用水 4419
対応
注射薬 Amikacin sulfate 5 mg/ml
注射薬 Idarubicin hydrochloride 1 mg/ml
NaCl 0,9% 491
化学的不安定性 非互換
注射薬 Amikacin sulfate
注射薬 Imipenem - cilastatin sodium
3549
対応
注射薬 Amikacin sulfate 5 mg/ml
注射薬 Isavuconazonium sulfate 1.5 mg/ml
グルコース5% 3829
対応
注射薬 Amikacin sulfate 5 mg/ml
注射薬 Isavuconazonium sulfate 1.5 mg/ml
NaCl 0,9% 3829
対応
注射薬 Amikacin sulfate 250 mg/ml
注射薬 Ketamine hydrochloride 50 mg/ml
2109
対応
注射薬 Amikacin sulfate 5 mg/ml
注射薬 Labetalol hydrochloride 1 mg/ml
グルコース5% 386
対応
注射薬 Amikacin sulfate 5 mg/ml
注射薬 Lansoprazole 0.55 mg/ml
NaCl 0,9% 1625
対応
注射薬 Amikacin sulfate 50 mg/ml
注射薬 Levofloxacine 5 mg/ml
グルコース5% 1072
対応
注射薬 Amikacin sulfate 5 mg/ml
注射薬 Linezolid 2 mg/ml
なし 1925
対応
注射薬 Amikacin sulfate 5 mg/ml
注射薬 Lorazepam 0.33 mg/ml
NaCl 0,9% 186
対応
注射薬 Amikacin sulfate 5 mg/ml
注射薬 Magnesium sulfate 16.67 >> 100 mg/ml
グルコース5% 1047
対応
注射薬 Amikacin sulfate 5 mg/ml
注射薬 Melphalan 0.1 mg/ml
NaCl 0,9% 169
対応
注射薬 Amikacin sulfate 250 mg/ml
注射薬 Meropenem 50 mg/ml
4389
対応
注射薬 Amikacin sulfate 250 mg/ml
注射薬 Meropenem 50 mg/ml
注射用水 4319
化学的不安定性 非互換
注射薬 Amikacin sulfate
注射薬 Meropenem
3549
対応
注射薬 Amikacin sulfate
注射薬 Metronidazole
3594
対応
注射薬 Amikacin sulfate 5 mg/ml
注射薬 Metronidazole 5 mg/ml
なし 1035
対応
注射薬 Amikacin sulfate 5 mg/ml
注射薬 Midazolam hydrochloride 5 mg/ml
なし 186
対応
注射薬 Amikacin sulfate 5 mg/ml
注射薬 Morphine sulfate 1 mg/ml
グルコース5% 405
対応
注射薬 Amikacin sulfate 250 mg/ml
注射薬 N-acetylcysteine 200 mg/ml
なし 3766
化学的不安定性 非互換
注射薬 Amikacin sulfate
注射薬 Nafcillin sodium
3549
対応
注射薬 Amikacin sulfate 2,5 mg/ml
注射薬 Nalbuphine hydrochloride 0,05 >> 0,33 mg/ml
NaCl 0,9% 4867
対応
注射薬 Amikacin sulfate 250 mg/ml
注射薬 Naloxone hydrochloride 0.4 mg/ml
なし 3408
対応
注射薬 Amikacin sulfate 2 mg/ml
注射薬 Nicardipine hydrochloride 0.1 mg/ml
グルコース5% 1490
対応
注射薬 Amikacin sulfate 2 mg/ml
注射薬 Nicardipine hydrochloride 0.1 mg/ml
NaCl 0,9% 1490
対応
注射薬 Amikacin sulfate 5 mg/ml
注射薬 Ondansetron hydrochloride 1 mg/ml
NaCl 0,9% 334
化学的不安定性 非互換
注射薬 Amikacin sulfate
注射薬 Oxacillin sodium
3549
対応
注射薬 Amikacin sulfate 5 mg/ml
注射薬 Paclitaxel 1.2 mg/ml
グルコース5% 248
即時降水 非互換
注射薬 Amikacin sulfate
注射薬 Pantoprazole sodium
2090
対応
注射薬 Amikacin sulfate 250 mg/ml
注射薬 Paracetamol 10 mg/ml
4742
対応
注射薬 Amikacin sulfate 5 mg/ml
注射薬 Pemetrexed disodium 20 mg/ml
NaCl 0,9% 1953
化学的不安定性 非互換
注射薬 Amikacin sulfate
注射薬 Penicillin G potassium
3549
化学的不安定性 非互換
注射薬 Amikacin sulfate
注射薬 Penicillin G sodium
3549
対応
注射薬 Amikacin sulfate 50 mg/ml
注射薬 Pethidine hydrochloride 100 mg/ml
NaCl 0.45% 132
対応
注射薬 Amikacin sulfate 5 mg/ml
注射薬 Pethidine hydrochloride 10 mg/ml
グルコース5% 405
不特定の非互換性 非互換
注射薬 Amikacin sulfate
注射薬 Phenytoin sodium
3549
対応
注射薬 Amikacin sulfate 40 mg/ml
注射薬 Phloroglucinol 2,5 mg/ml
3791
化学的不安定性 非互換
注射薬 Amikacin sulfate
注射薬 Piperacillin sodium
3549
化学的不安定性 非互換
注射薬 Amikacin sulfate
注射薬 Piperacillin sodium / tazobactam
3549
化学的不安定性 非互換
注射薬 Amikacin sulfate
注射薬 Piperacillin sodium / tazobactam
3586
対応
注射薬 Amikacin sulfate
注射薬 Posaconazole
4380
即時降水 非互換
注射薬 Amikacin sulfate 5 mg/ml
注射薬 Propofol 10 mg/ml
なし 300
不特定の非互換性 非互換
注射薬 Amikacin sulfate
注射薬 Pyridoxine hydrochloride
3549
対応
注射薬 Amikacin sulfate 5 mg/ml
注射薬 Remifentanil hydrochloride 25 & 250 µg/ml
NaCl 0,9% 59
即時降水 非互換
注射薬 Amikacin sulfate 250 mg/ml
注射薬 Salbutamol sulfate 1 mg/ml
なし 3216
対応
注射薬 Amikacin sulfate 5 mg/ml
注射薬 Sargramostim 10 µg/ml
NaCl 0,9% 335
対応
注射薬 Amikacin sulfate 10 mg/ml
注射薬 Sulbactam/durlobactam 15/15 mg/ml
NaCl 0,9% 4801
対応
注射薬 Amikacin sulfate 5 mg/ml
注射薬 Tedizolid phosphate 0.8 mg/ml
NaCl 0,9% 3827
不特定の非互換性 非互換
注射薬 Amikacin sulfate
注射薬 Teicoplanine
3656
対応
注射薬 Amikacin sulfate
NaCl 0,9% 5076
不特定の非互換性 非互換
注射薬 Amikacin sulfate 50 mg/ml
注射薬 Propofol
4524
不特定の非互換性 非互換
注射薬 Amikacin sulfate
注射薬 Temocilline
2296
対応
注射薬 Amikacin sulfate 15 mg/ml
注射薬 Temocilline 83.33 mg/ml
注射用水 2231
化学的不安定性 非互換
注射薬 Amikacin sulfate
注射薬 Temocilline
3549
対応
注射薬 Amikacin sulfate 5 mg/ml
注射薬 Teniposide 0.1 mg/ml
グルコース5% 905
不特定の非互換性 非互換
注射薬 Amikacin sulfate
注射薬 Thiamine hydrochloride
3549
即時降水 非互換
注射薬 Amikacin sulfate 250 mg/ml
注射薬 Thiopental sodium 25 mg/ml
NaCl 0,9% 3767
不特定の非互換性 非互換
注射薬 Amikacin sulfate
注射薬 Thiopental sodium
3549
対応
注射薬 Amikacin sulfate 5 mg/ml
注射薬 Thiotepa 1 mg/ml
グルコース5% 249
化学的不安定性 非互換
注射薬 Amikacin sulfate
注射薬 Ticarcillin / clavulanic acid
3587
化学的不安定性 非互換
注射薬 Amikacin sulfate
注射薬 Ticarcillin / clavulanic acid
3549
対応
注射薬 Amikacin sulfate
注射薬 Tigecycline
NaCl 0,9% 3332
対応
注射薬 Amikacin sulfate 15 mg/ml
注射薬 Vancomycin hydrochloride 10 mg/ml
グルコース5% 3385
対応
注射薬 Amikacin sulfate 2 mg/ml
注射薬 Verapamil hydrochloride 0.08 mg/ml
NaCl 0,9% 1057
対応
注射薬 Amikacin sulfate 2 mg/ml
注射薬 Verapamil hydrochloride 0.08 mg/ml
グルコース5% 1057
すぐに濁り 非互換
注射薬 Amikacin sulfate 5 mg/ml
注射薬 Vinorelbine tartrate 1 mg/ml
NaCl 0,9% 84
対応
注射薬 Amikacin sulfate 5 mg/ml
注射薬 Warfarin sodium 0.1 & 2 mg/ml
グルコース5% 552
対応
注射薬 Amikacin sulfate 5 mg/ml
注射薬 Warfarin sodium 0.1 & 2 mg/ml
NaCl 0,9% 552
対応
注射薬 Amikacin sulfate 4 mg/ml
注射薬 Zidovudine 4 mg/ml
グルコース5% 337

  Mentions Légales