Cập nhật lần cuối :
17/12/2025
Kháng sinh   Amoxicillin sodium / clavulanic acid  
Dạng tiêm
Dung dịch uống
Tính ổn định của các dung dịch Độ ổn định khi trộn lẫn Những yếu tố ảnh hưởng đến độ ổn định Khả năng tương thích Đường dùng Tài liệu tham khảo Pdf
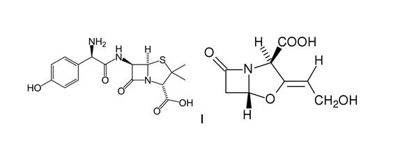
   Cấu trúc hóa học  

Tên thương mại   Tên thương mại     

Các tên thương mại được cung cấp và thành phần tá dược có thể khác nhau giữa các quốc gia và các hãng dược

Aktil Hungary
Amoclan Ả Rập Saudi
Amoklavin Thổ Nhĩ Kỳ
Amoksiklav Ba Lan
Amoxclav Ả Rập Saudi
Amplamox Brazil
Augmentin Ả Rập Saudi, Anh, Áo, Ba Lan, Bỉ, Chile, Ecuador, Hà Lan, Hy Lạp, Pháp, Tây Ban Nha, Thổ Nhĩ Kỳ, Thụy Sỹ, United Arab Emirates, Ý
Betamox Bồ Đào Nha
Clavamox Áo
Clavicin Malaysia, Venezuela
Clavulin Brazil
Co-amoxi Thụy Sỹ
Co-Amoxicillin Thụy Sỹ
Curam Ả Rập Saudi, new zealand
Darzitil Argentina
Dibional Argentina
Julmentin United Arab Emirates
Novamox Brazil
Sulbamox Chile
Tarometin Ba Lan
Trifamox Argentina, Colombia, Ecuador, Mexico
Khả năng tương thích   Dạng tiêm   Khả năng tương thích : Amoxicillin sodium / clavulanic acid              
Màn hình này cho biết khả năng tương thích hoặc không tương thích, trong trường hợp này là loại không tương thích (kết tủa, thay đổi màu sắc, sửa đổi nhũ tương, v.v.). Sự tương hợp được chỉ ra ở đây chủ yếu chỉ là vật lý, với độ ổn định hóa học của mỗi phân tử hiếm khi được đánh giá. Việc đánh giá các hỗn hợp này được nghiên cứu để xem xét khả năng sử dụng vị trí Y cho bệnh nhân. Những dữ liệu này không thể được sử dụng để tạo hỗn hợp trước trong túi hoặc ống tiêm. Loại thông tin này có sẵn trong màn hình "Độ ổn định trong hỗn hợp».
Phân tử Dung môi Mục lục
Không ổn định hóa học Không tương thích
Dạng tiêm Amoxicillin sodium / clavulanic acid
Dạng tiêm Amikacin sulfate
3549
Không tương thích không xác định Không tương thích
Dạng tiêm Amoxicillin sodium / clavulanic acid
Dinh dưỡng đường tĩnh mạch (có lipids) 3545
Lượng mưa ngay lập tức Không tương thích
Dạng tiêm Amoxicillin sodium / clavulanic acid 100/10 mg/ml
Dạng tiêm Aciclovir sodium 50 mg/ml
3824
Tương thích
Dạng tiêm Amoxicillin sodium / clavulanic acid
NaCl 0,9% 3545
Không tương thích không xác định Không tương thích
Dạng tiêm Amoxicillin sodium / clavulanic acid
Glucose 5% 3545
Tương thích
Dạng tiêm Amoxicillin sodium / clavulanic acid 100/10 mg/ml
Dạng tiêm Amikacin sulfate 250 mg/ml
3824
Không tương thích không xác định Không tương thích
Dạng tiêm Amoxicillin sodium / clavulanic acid
Dạng tiêm Amikacin sulfate
3545
Thay đổi màu sau 1 giờ Không tương thích
Dạng tiêm Amoxicillin sodium / clavulanic acid 50/10 mg/ml
Dinh dưỡng đường tĩnh mạch (có lipids) 3948
Tương thích
Dạng tiêm Amoxicillin sodium / clavulanic acid 100/10 mg/ml
Dạng tiêm Aminophylline 25 mg/ml
3824
Lượng mưa ngay lập tức Không tương thích
Dạng tiêm Amoxicillin sodium / clavulanic acid 10 mg/ml
Dạng tiêm Amiodarone hydrochloride 12.5 mg/ml
2139
Thay đổi màu sắc Không tương thích
Dạng tiêm Amoxicillin sodium / clavulanic acid 100/10 mg/ml
Dạng tiêm Amiodarone hydrochloride 50 mg/ml
3824
Tương thích
Dạng tiêm Amoxicillin sodium / clavulanic acid 100/10 mg/ml
Dạng tiêm Amphotericin B liposomale 2 mg/ml
3824
Tương thích
Dạng tiêm Amoxicillin sodium / clavulanic acid 100/10 mg/ml
Dạng tiêm Ampicillin sodium 100 mg/ml
3824
Tương thích
Dạng tiêm Amoxicillin sodium / clavulanic acid 100/10 mg/ml
Dạng tiêm Atropine sulfate 0,4 mg/ml
3824
Tương thích
Dạng tiêm Amoxicillin sodium / clavulanic acid 100/10 mg/ml
Dạng tiêm Azithromycine 100 mg/ml
3824
Tương thích
Dạng tiêm Amoxicillin sodium / clavulanic acid 100/10 mg/ml
Dạng tiêm Calcium chloride 100 mg/ml
3824
Tương thích
Dạng tiêm Amoxicillin sodium / clavulanic acid 100/10 mg/ml
Dạng tiêm Calcium gluconate 100 mg/ml
3824
Tương thích
Dạng tiêm Amoxicillin sodium / clavulanic acid 100/10 mg/ml
Dạng tiêm Cefazolin sodium 100 mg/ml
3824
Tương thích
Dạng tiêm Amoxicillin sodium / clavulanic acid 100/10 mg/ml
Dạng tiêm Cefotaxime sodium 100 mg/ml
3824
Tương thích
Dạng tiêm Amoxicillin sodium / clavulanic acid 100/10 mg/ml
Dạng tiêm Cefoxitin sodium 100 mg/ml
3824
Tương thích
Dạng tiêm Amoxicillin sodium / clavulanic acid 100/10 mg/ml
Dạng tiêm Ceftazidime 100 mg/ml
3824
Tương thích
Dạng tiêm Amoxicillin sodium / clavulanic acid 100/10 mg/ml
Dạng tiêm Ceftriaxone disodium 100 mg/ml
3824
Độ đục ngay lập tức Không tương thích
Dạng tiêm Amoxicillin sodium / clavulanic acid 100/10 mg/ml
Dạng tiêm Ciclosporin 50 mg/ml
3824
Lượng mưa ngay lập tức Không tương thích
Dạng tiêm Amoxicillin sodium / clavulanic acid 12 mg/ml
Dạng tiêm Ciprofloxacin lactate 2 mg/ml
Không 1357
Không tương thích không xác định Không tương thích
Dạng tiêm Amoxicillin sodium / clavulanic acid
Dạng tiêm Ciprofloxacin lactate
3529
Tương thích
Dạng tiêm Amoxicillin sodium / clavulanic acid 100/10 mg/ml
Dạng tiêm Ciprofloxacin lactate 2 mg/ml
3824
Tương thích
Dạng tiêm Amoxicillin sodium / clavulanic acid 100/10 mg/ml
Dạng tiêm Cloxacillin sodium 100 mg/ml
3824
Tương thích
Dạng tiêm Amoxicillin sodium / clavulanic acid 100/10 mg/ml
Dạng tiêm Co-trimoxazole 16/80 mg/ml
3824
Tương thích
Dạng tiêm Amoxicillin sodium / clavulanic acid
Dạng tiêm Daunorubicin/cytarabine liposomale 0,4 mg/mL
NaCl 0,9% 4654
Thay đổi màu sau 1 giờ Không tương thích
Dạng tiêm Amoxicillin sodium / clavulanic acid 50/10 mg/ml
Dinh dưỡng đường tĩnh mạch (hỗn hợp 2 thành phần) 3948
Độ đục trong một giờ Không tương thích
Dạng tiêm Amoxicillin sodium / clavulanic acid 100/10 mg/ml
Dạng tiêm Clindamycin phosphate 150 mg/ml
3824
Không tương thích không xác định Không tương thích
Dạng tiêm Amoxicillin sodium / clavulanic acid
Dinh dưỡng đường tĩnh mạch (hỗn hợp 2 thành phần) 3545
Tương thích
Dạng tiêm Amoxicillin sodium / clavulanic acid 100/10 mg/ml
Dạng tiêm Cefuroxime sodium 100 mg/ml
3824
Tương thích
Dạng tiêm Amoxicillin sodium / clavulanic acid 100/10 mg/ml
Dạng tiêm Dexamethasone sodium phosphate 4 mg/ml
3824
Không tương thích không xác định Không tương thích
Dạng tiêm Amoxicillin sodium / clavulanic acid
Dạng tiêm Dexamethasone sodium phosphate
3545
Tương thích
Dạng tiêm Amoxicillin sodium / clavulanic acid 100/10 mg/ml
Dạng tiêm Dexmedetomidine 100 µg/ml
3824
Tương thích
Dạng tiêm Amoxicillin sodium / clavulanic acid 100/10 mg/ml
Dạng tiêm Diazepam 5 mg/ml
3824
Tương thích
Dạng tiêm Amoxicillin sodium / clavulanic acid 100/10 mg/ml
Dạng tiêm Digoxin 250 µg/ml
3824
Tương thích
Dạng tiêm Amoxicillin sodium / clavulanic acid 100/10 mg/ml
Dạng tiêm Dimenhydrinate 10 mg/ml
3824
Thay đổi màu sắc Không tương thích
Dạng tiêm Amoxicillin sodium / clavulanic acid 100/10 mg/ml
Dạng tiêm Diphenhydramine hydrochloride 50 mg/ml
3824
Lượng mưa ngay lập tức Không tương thích
Dạng tiêm Amoxicillin sodium / clavulanic acid 100/10 mg/ml
Dạng tiêm Dobutamine hydrochloride 12,5 mg/ml
3824
Tương thích
Dạng tiêm Amoxicillin sodium / clavulanic acid 100/10 mg/ml
Dạng tiêm Dopamine hydrochloride 3,2 mg/ml
3824
Tương thích
Dạng tiêm Amoxicillin sodium / clavulanic acid 100/10 mg/ml
Dạng tiêm Enalaprilate 1,25 mg/ml
3824
Tương thích
Dạng tiêm Amoxicillin sodium / clavulanic acid 100/10 mg/ml
Dạng tiêm Epinephrine hydrochloride 1000 µg/ml
3824
Tương thích
Dạng tiêm Amoxicillin sodium / clavulanic acid 100/10 mg/ml
Dạng tiêm Ertapenem 100 mg/ml
3824
Lượng mưa ngay lập tức Không tương thích
Dạng tiêm Amoxicillin sodium / clavulanic acid 100/10 mg/ml
Dạng tiêm Erythromycin lactobionate 50 mg/ml
3824
Không tương thích không xác định Không tương thích
Dạng tiêm Amoxicillin sodium / clavulanic acid
Dạng tiêm Erythromycin lactobionate
3674
Tương thích
Dạng tiêm Amoxicillin sodium / clavulanic acid 100/10 mg/ml
Dạng tiêm Esmolol hydrochloride 10 mg/ml
3824
Tương thích
Dạng tiêm Amoxicillin sodium / clavulanic acid 100/10 mg/ml
Dạng tiêm Famotidine 10 mg/ml
3824
Tương thích
Dạng tiêm Amoxicillin sodium / clavulanic acid 100/10 mg/ml
Dạng tiêm Fentanyl citrate 50 µg/ml
3824
Tương thích
Dạng tiêm Amoxicillin sodium / clavulanic acid 100/10 mg/ml
Dạng tiêm Fluconazole 2 mg/ml
3824
Tương thích
Dạng tiêm Amoxicillin sodium / clavulanic acid 100/10 mg/ml
Dạng tiêm Furosemide 10 mg/ml
3824
Không tương thích không xác định Không tương thích
Dạng tiêm Amoxicillin sodium / clavulanic acid
Dạng tiêm Gentamicin sulfate
3643
Không tương thích không xác định Không tương thích
Dạng tiêm Amoxicillin sodium / clavulanic acid
Dạng tiêm Gentamicin sulfate
3545
Không tương thích không xác định Không tương thích
Dạng tiêm Amoxicillin sodium / clavulanic acid
Dạng tiêm Gentamicin sulfate
3520
Tương thích
Dạng tiêm Amoxicillin sodium / clavulanic acid 100/10 mg/ml
Dạng tiêm Gentamicin sulfate 40 mg/ml
3824
Tương thích
Dạng tiêm Amoxicillin sodium / clavulanic acid 100/10 mg/ml
Dạng tiêm Granisetron hydrochloride 1 mg/ml
3824
Lượng mưa ngay lập tức Không tương thích
Dạng tiêm Amoxicillin sodium / clavulanic acid 100/10 mg/ml
Dạng tiêm Haloperidol lactate 5 mg/ml
3824
Tương thích
Dạng tiêm Amoxicillin sodium / clavulanic acid 100/10 mg/ml
Dạng tiêm Heparin sodium 1000 UI/ml
3824
Không tương thích
Dạng tiêm Amoxicillin sodium / clavulanic acid 100/10 mg/ml
Dạng tiêm Human albumin 250 mg/ml
3824
Không tương thích không xác định Không tương thích
Dạng tiêm Amoxicillin sodium / clavulanic acid
Dạng tiêm Hydrocortisone sodium succinate
3545
Tương thích
Dạng tiêm Amoxicillin sodium / clavulanic acid 100/10 mg/ml
Dạng tiêm Hydrocortisone sodium succinate 50 mg/ml
3824
Tương thích
Dạng tiêm Amoxicillin sodium / clavulanic acid 100/10 mg/ml
Dạng tiêm Hydromorphone hydrochloride 10 mg/ml
3824
Lượng mưa ngay lập tức Không tương thích
Dạng tiêm Amoxicillin sodium / clavulanic acid 100/10 mg/ml
Dạng tiêm Imipenem - cilastatin sodium 50 mg/ml
3824
Tương thích
Dạng tiêm Amoxicillin sodium / clavulanic acid 100/10 mg/ml
Dạng tiêm Insulin 100 UI/ml
3824
Không tương thích không xác định Không tương thích
Dạng tiêm Amoxicillin sodium / clavulanic acid
Dạng tiêm Kanamycin sulfate
3545
Lượng mưa ngay lập tức Không tương thích
Dạng tiêm Amoxicillin sodium / clavulanic acid 100/10 mg/ml
Dạng tiêm Ketamine hydrochloride 50 mg/ml
3824
Tương thích
Dạng tiêm Amoxicillin sodium / clavulanic acid 100/10 mg/ml
Dạng tiêm L-carnitine 200 mg/ml
3824
Tương thích
Dạng tiêm Amoxicillin sodium / clavulanic acid 100/10 mg/ml
Dạng tiêm Labetalol hydrochloride 5 mg/ml
3824
Tương thích
Dạng tiêm Amoxicillin sodium / clavulanic acid 100/10 mg/ml
Dạng tiêm Levofloxacine 5 mg/ml
3824
Tương thích
Dạng tiêm Amoxicillin sodium / clavulanic acid 100/10 mg/ml
Dạng tiêm Lidocaine hydrochloride 1 mg/ml
3824
Tương thích
Dạng tiêm Amoxicillin sodium / clavulanic acid 100/10 mg/ml
Dạng tiêm Linezolid 2 mg/ml
3824
Tương thích
Dạng tiêm Amoxicillin sodium / clavulanic acid 100/10 mg/ml
Dạng tiêm Lorazepam 4 mg/ml
3824
Tương thích
Dạng tiêm Amoxicillin sodium / clavulanic acid 20/2 mg/ml
Dạng tiêm Lorazepam 0.33 mg/ml
NaCl 0,9% 186
Tương thích
Dạng tiêm Amoxicillin sodium / clavulanic acid 100/10 mg/ml
Dạng tiêm Magnesium sulfate 500 mg/ml
3824
Không tương thích không xác định Không tương thích
Dạng tiêm Amoxicillin sodium / clavulanic acid
Dạng tiêm Mannitol
3545
Tương thích
Dạng tiêm Amoxicillin sodium / clavulanic acid 100/10 mg/ml
Dạng tiêm Mannitol 250 mg/ml
3824
Tương thích
Dạng tiêm Amoxicillin sodium / clavulanic acid 100/10 mg/ml
Dạng tiêm Meropenem 50 mg/ml
3824
Không tương thích không xác định Không tương thích
Dạng tiêm Amoxicillin sodium / clavulanic acid
Dạng tiêm Methylprednisolone acetate
3545
Không tương thích không xác định Không tương thích
Dạng tiêm Amoxicillin sodium / clavulanic acid
Dạng tiêm Methylprednisolone sodium succinate
3545
Không tương thích
Dạng tiêm Amoxicillin sodium / clavulanic acid 100/10 mg/ml
Dạng tiêm Methylprednisolone sodium succinate 125 mg/ml
3824
Tương thích
Dạng tiêm Amoxicillin sodium / clavulanic acid 100/10 mg/ml
Dạng tiêm Metoclopramide hydrochloride 5 mg/ml
3824
Tương thích
Dạng tiêm Amoxicillin sodium / clavulanic acid 100/10 mg/ml
Dạng tiêm Metronidazole 5 mg/ml
3824
Tương thích
Dạng tiêm Amoxicillin sodium / clavulanic acid 100/10 mg/ml
Dạng tiêm Micafungin 20 mg/ml
3824
Thay đổi màu sắc Không tương thích
Dạng tiêm Amoxicillin sodium / clavulanic acid 100/10 mg/ml
Dạng tiêm Midazolam hydrochloride 5 mg/ml
3824
Lượng mưa ngay lập tức Không tương thích
Dạng tiêm Amoxicillin sodium / clavulanic acid 20/2 mg/ml
Dạng tiêm Midazolam hydrochloride 5 mg/ml
Không 186
Tương thích
Dạng tiêm Amoxicillin sodium / clavulanic acid 100/10 mg/ml
Dạng tiêm Milrinone lactate 1 mg/ml
3824
Tương thích
Dạng tiêm Amoxicillin sodium / clavulanic acid 100/10 mg/ml
Dạng tiêm Morphine sulfate 50 mg/ml
3824
Tương thích
Dạng tiêm Amoxicillin sodium / clavulanic acid 100/10 mg/ml
Dạng tiêm N-acetylcysteine 200 mg/ml
3824
Tương thích
Dạng tiêm Amoxicillin sodium / clavulanic acid 100/10 mg/ml
Dạng tiêm Naloxone hydrochloride 0,4 mg/ml
3824
Không tương thích không xác định Không tương thích
Dạng tiêm Amoxicillin sodium / clavulanic acid
Dạng tiêm Netilmicin sulfate
3545
Thay đổi màu sắc Không tương thích
Dạng tiêm Amoxicillin sodium / clavulanic acid 100/10 mg/ml
Dạng tiêm Nicardipine hydrochloride 1 mg/ml
3824
Độ đục trong một giờ Không tương thích
Dạng tiêm Amoxicillin sodium / clavulanic acid 100/10 mg/ml
Dạng tiêm Nitroglycerin 5 mg/ml
3824
Tương thích
Dạng tiêm Amoxicillin sodium / clavulanic acid 100/10 mg/ml
Dạng tiêm Norepinephrine bitartrate 1 mg/ml
3824
Tương thích
Dạng tiêm Amoxicillin sodium / clavulanic acid 100/10 mg/ml
Dạng tiêm Octreotide acetate 0.5 mg/ml
3824
Tương thích
Dạng tiêm Amoxicillin sodium / clavulanic acid 12 mg/ml
Dạng tiêm Ofloxacin 2 mg/ml
Không 889
Lượng mưa ngay lập tức Không tương thích
Dạng tiêm Amoxicillin sodium / clavulanic acid 100/10 mg/ml
Dạng tiêm Ondansetron hydrochloride 2 mg/ml
3824
Tương thích
Dạng tiêm Amoxicillin sodium / clavulanic acid 100/10 mg/ml
Dạng tiêm Oxytocin 10 UI/ml
3824
Tương thích
Dạng tiêm Amoxicillin sodium / clavulanic acid 100/10 mg/ml
Dạng tiêm Pantoprazole sodium 4 mg/ml
3824
Tương thích
Dạng tiêm Amoxicillin sodium / clavulanic acid 100/10 mg/ml
Dạng tiêm Paracetamol 10 mg/ml
3824
Không tương thích không xác định Không tương thích
Dạng tiêm Amoxicillin sodium / clavulanic acid
Dạng tiêm Phenylephrine hydrochloride
3545
Tương thích
Dạng tiêm Amoxicillin sodium / clavulanic acid 100/10 mg/ml
Dạng tiêm Phenylephrine hydrochloride 0,01 mg/ml
3824
Lượng mưa ngay lập tức Không tương thích
Dạng tiêm Amoxicillin sodium / clavulanic acid 100/10 mg/ml
Dạng tiêm Phenytoin sodium 50 mg/ml
3824
Không ổn định hóa học Không tương thích
Dạng tiêm Amoxicillin sodium / clavulanic acid 10 mg/ml
Dạng tiêm Phloroglucinol 2,5 mg/ml
3791
Tương thích
Dạng tiêm Amoxicillin sodium / clavulanic acid 100/10 mg/ml
Dạng tiêm Piperacillin sodium / tazobactam 100 mg/ml
3824
Tương thích
Dạng tiêm Amoxicillin sodium / clavulanic acid 100/10 mg/ml
Dạng tiêm Potassium chloride 2 mEq/l
3824
Tương thích
Dạng tiêm Amoxicillin sodium / clavulanic acid 100/10 mg/ml
Dạng tiêm Potassium phosphate 3 mmol/ml
3824
Tương thích
Dạng tiêm Amoxicillin sodium / clavulanic acid 60 mg/ml
Dạng tiêm Propofol
4524
Tương thích
Dạng tiêm Amoxicillin sodium / clavulanic acid 100/10 mg/ml
Dạng tiêm Rocuronium bromide 10 mg/ml
3824
Tương thích
Dạng tiêm Amoxicillin sodium / clavulanic acid 100/10 mg/ml
Dạng tiêm Salbutamol sulfate 1 mg/ml
3824
Tương thích
Dạng tiêm Amoxicillin sodium / clavulanic acid 100/10 mg/ml
Dạng tiêm Sodium bicarbonate 84 mg/ml
3824
Không tương thích không xác định Không tương thích
Dạng tiêm Amoxicillin sodium / clavulanic acid
Dạng tiêm Sodium bicarbonate
3545
Tương thích
Dạng tiêm Amoxicillin sodium / clavulanic acid 100/10 mg/ml
Dạng tiêm Sufentanil citrate 0,05 mg/ml
3824
Không ổn định hóa học Không tương thích
Dạng tiêm Amoxicillin sodium / clavulanic acid 20 mg/ml
Dạng tiêm Temocilline 83.33 mg/ml
Nước cất pha tiêm 2231
Không tương thích không xác định Không tương thích
Dạng tiêm Amoxicillin sodium / clavulanic acid
Dạng tiêm Temocilline
4470
Tương thích
Dạng tiêm Amoxicillin sodium / clavulanic acid 100/10 mg/ml
Dạng tiêm Thiamine hydrochloride 100 mg/ml
3824
Tương thích
Dạng tiêm Amoxicillin sodium / clavulanic acid 100/10 mg/ml
Dạng tiêm Tobramycin sulfate 40 mg/ml
3824
Không tương thích không xác định Không tương thích
Dạng tiêm Amoxicillin sodium / clavulanic acid
Dạng tiêm Tobramycin sulfate
3545
Tương thích
Dạng tiêm Amoxicillin sodium / clavulanic acid 100/10 mg/ml
Dạng tiêm Tranexamic acid 100 mg/ml
3824
Tương thích
Dạng tiêm Amoxicillin sodium / clavulanic acid 100/10 mg/ml
Dạng tiêm Vancomycin hydrochloride 50 mg/ml
3824
Độ đục ngay lập tức Không tương thích
Dạng tiêm Amoxicillin sodium / clavulanic acid 100/10 mg/ml
Dạng tiêm Verapamil hydrochloride 10 mg/ml
3824
Tương thích
Dạng tiêm Amoxicillin sodium / clavulanic acid 100/10 mg/ml
Dạng tiêm Voriconazole 10 mg/ml
3824
Tương thích
Dạng tiêm Amoxicillin sodium / clavulanic acid 100/10 mg/ml
Dạng tiêm Zidovudine 10 mg/ml
3824
Không tương thích không xác định Không tương thích
Dạng tiêm Amoxicillin sodium / clavulanic acid
NaHCO3 3545

  Mentions Légales