Pēdējā atjaunošana :
17/12/2025
Antibiotika   Amoxicillin sodium / clavulanic acid  
Injekcija
Orāls šķīdums
Šķīduma stabilitāte Maisījuma stabilitāte Stabilitāti ietekmējoši faktori Saderība Levadīšanas veids Literatūras saraksts pdf
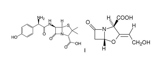
   Ķīmiskā uzbūve   

Oriģinālais nosaukums   Oriģinālais nosaukums     

Tirdzniecības nosaukumi ir apzīmējoši un palīgvielas var atšķirties dažādām valstīm un laboratorijām

Aktil Ungārija
Amoclan Saūda Arābija
Amoklavin Turcija
Amoksiklav Polija
Amoxclav Saūda Arābija
Amplamox Brazīlija
Augmentin Apvienotie Arābu Emirāti, Austrija, Beļģija, Čīle, Ekvadora, Francija, Grieķija, Holande, Itālija, Lielbritānija, Polija, Saūda Arābija, Spānija, Šveice, Turcija
Betamox Portugāle
Clavamox Austrija
Clavicin Malaizija, Venecuēla
Clavulin Brazīlija
Co-amoxi Šveice
Co-Amoxicillin Šveice
Curam Jaunzēlande, Saūda Arābija
Darzitil Argentīna
Dibional Argentīna
Julmentin Apvienotie Arābu Emirāti
Novamox Brazīlija
Sulbamox Čīle
Tarometin Polija
Trifamox Argentīna, Ekvadora, Kolumbija, Meksika
Saderība   Injekcija   Saderība : Amoxicillin sodium / clavulanic acid              
Šī tabula parāda zāļu saderību vai nesaderību, pēc iespējas arī nesaderības tipu (precipitācija, krāsas maiņa, emulsijas sadalīšanās utt). Parādītas šeit saderības ir pārsvarā tikai fizikālās, pēc iespējas tiek parādīta ķīmiskā stabilitāte katrai molekulai. Šo maisījumu analīze tikai veikta, lai izprastu iespējamību ievadīt zāles Y-savienojuma vietā sistēmā pacientam. Šie dati nevar tikt izmantoti, lai pagatavot zāļu maisījumus vēlākai lietošanai maisos vai šļircēs. Šī informācija ir pieejama sadaļā "Maisījuma stabilitāte".
Savienojums Šķīdinātājs Literatūras saraksts
Ķīmiskā nestabilitāte Nesavienojams
Injekcija Amoxicillin sodium / clavulanic acid
Injekcija Amikacin sulfate
3549
Neprecizēta nesaderība Nesavienojams
Injekcija Amoxicillin sodium / clavulanic acid
Parenterāla barošana (ar lipīdiem) 3545
Tūlītēji nokrišņi Nesavienojams
Injekcija Amoxicillin sodium / clavulanic acid 100/10 mg/ml
Injekcija Aciclovir sodium 50 mg/ml
3824
Savietojams
Injekcija Amoxicillin sodium / clavulanic acid
Nātrija hlorīds 0.9% 3545
Neprecizēta nesaderība Nesavienojams
Injekcija Amoxicillin sodium / clavulanic acid
5% glikoze 3545
Savietojams
Injekcija Amoxicillin sodium / clavulanic acid 100/10 mg/ml
Injekcija Amikacin sulfate 250 mg/ml
3824
Neprecizēta nesaderība Nesavienojams
Injekcija Amoxicillin sodium / clavulanic acid
Injekcija Amikacin sulfate
3545
Krāsas maiņa pēc 1 stundas Nesavienojams
Injekcija Amoxicillin sodium / clavulanic acid 50/10 mg/ml
Parenterāla barošana (ar lipīdiem) 3948
Savietojams
Injekcija Amoxicillin sodium / clavulanic acid 100/10 mg/ml
Injekcija Aminophylline 25 mg/ml
3824
Tūlītēji nokrišņi Nesavienojams
Injekcija Amoxicillin sodium / clavulanic acid 10 mg/ml
Injekcija Amiodarone hydrochloride 12.5 mg/ml
2139
Krāsu maiņa Nesavienojams
Injekcija Amoxicillin sodium / clavulanic acid 100/10 mg/ml
Injekcija Amiodarone hydrochloride 50 mg/ml
3824
Savietojams
Injekcija Amoxicillin sodium / clavulanic acid 100/10 mg/ml
Injekcija Amphotericin B liposomale 2 mg/ml
3824
Savietojams
Injekcija Amoxicillin sodium / clavulanic acid 100/10 mg/ml
Injekcija Ampicillin sodium 100 mg/ml
3824
Savietojams
Injekcija Amoxicillin sodium / clavulanic acid 100/10 mg/ml
Injekcija Atropine sulfate 0,4 mg/ml
3824
Savietojams
Injekcija Amoxicillin sodium / clavulanic acid 100/10 mg/ml
Injekcija Azithromycine 100 mg/ml
3824
Savietojams
Injekcija Amoxicillin sodium / clavulanic acid 100/10 mg/ml
Injekcija Calcium chloride 100 mg/ml
3824
Savietojams
Injekcija Amoxicillin sodium / clavulanic acid 100/10 mg/ml
Injekcija Calcium gluconate 100 mg/ml
3824
Savietojams
Injekcija Amoxicillin sodium / clavulanic acid 100/10 mg/ml
Injekcija Cefazolin sodium 100 mg/ml
3824
Savietojams
Injekcija Amoxicillin sodium / clavulanic acid 100/10 mg/ml
Injekcija Cefotaxime sodium 100 mg/ml
3824
Savietojams
Injekcija Amoxicillin sodium / clavulanic acid 100/10 mg/ml
Injekcija Cefoxitin sodium 100 mg/ml
3824
Savietojams
Injekcija Amoxicillin sodium / clavulanic acid 100/10 mg/ml
Injekcija Ceftazidime 100 mg/ml
3824
Savietojams
Injekcija Amoxicillin sodium / clavulanic acid 100/10 mg/ml
Injekcija Ceftriaxone disodium 100 mg/ml
3824
Tūlītēja duļķainība Nesavienojams
Injekcija Amoxicillin sodium / clavulanic acid 100/10 mg/ml
Injekcija Ciclosporin 50 mg/ml
3824
Tūlītēji nokrišņi Nesavienojams
Injekcija Amoxicillin sodium / clavulanic acid 12 mg/ml
Injekcija Ciprofloxacin lactate 2 mg/ml
Nekāds 1357
Neprecizēta nesaderība Nesavienojams
Injekcija Amoxicillin sodium / clavulanic acid
Injekcija Ciprofloxacin lactate
3529
Savietojams
Injekcija Amoxicillin sodium / clavulanic acid 100/10 mg/ml
Injekcija Ciprofloxacin lactate 2 mg/ml
3824
Savietojams
Injekcija Amoxicillin sodium / clavulanic acid 100/10 mg/ml
Injekcija Cloxacillin sodium 100 mg/ml
3824
Savietojams
Injekcija Amoxicillin sodium / clavulanic acid 100/10 mg/ml
Injekcija Co-trimoxazole 16/80 mg/ml
3824
Savietojams
Injekcija Amoxicillin sodium / clavulanic acid
Injekcija Daunorubicin/cytarabine liposomale 0,4 mg/mL
Nātrija hlorīds 0.9% 4654
Krāsas maiņa pēc 1 stundas Nesavienojams
Injekcija Amoxicillin sodium / clavulanic acid 50/10 mg/ml
Parenterāla barošana (lipīdu-free) 3948
Duļķainums vienā stundā Nesavienojams
Injekcija Amoxicillin sodium / clavulanic acid 100/10 mg/ml
Injekcija Clindamycin phosphate 150 mg/ml
3824
Neprecizēta nesaderība Nesavienojams
Injekcija Amoxicillin sodium / clavulanic acid
Parenterāla barošana (lipīdu-free) 3545
Savietojams
Injekcija Amoxicillin sodium / clavulanic acid 100/10 mg/ml
Injekcija Cefuroxime sodium 100 mg/ml
3824
Savietojams
Injekcija Amoxicillin sodium / clavulanic acid 100/10 mg/ml
Injekcija Dexamethasone sodium phosphate 4 mg/ml
3824
Neprecizēta nesaderība Nesavienojams
Injekcija Amoxicillin sodium / clavulanic acid
Injekcija Dexamethasone sodium phosphate
3545
Savietojams
Injekcija Amoxicillin sodium / clavulanic acid 100/10 mg/ml
Injekcija Dexmedetomidine 100 µg/ml
3824
Savietojams
Injekcija Amoxicillin sodium / clavulanic acid 100/10 mg/ml
Injekcija Diazepam 5 mg/ml
3824
Savietojams
Injekcija Amoxicillin sodium / clavulanic acid 100/10 mg/ml
Injekcija Digoxin 250 µg/ml
3824
Savietojams
Injekcija Amoxicillin sodium / clavulanic acid 100/10 mg/ml
Injekcija Dimenhydrinate 10 mg/ml
3824
Krāsu maiņa Nesavienojams
Injekcija Amoxicillin sodium / clavulanic acid 100/10 mg/ml
Injekcija Diphenhydramine hydrochloride 50 mg/ml
3824
Tūlītēji nokrišņi Nesavienojams
Injekcija Amoxicillin sodium / clavulanic acid 100/10 mg/ml
Injekcija Dobutamine hydrochloride 12,5 mg/ml
3824
Savietojams
Injekcija Amoxicillin sodium / clavulanic acid 100/10 mg/ml
Injekcija Dopamine hydrochloride 3,2 mg/ml
3824
Savietojams
Injekcija Amoxicillin sodium / clavulanic acid 100/10 mg/ml
Injekcija Enalaprilate 1,25 mg/ml
3824
Savietojams
Injekcija Amoxicillin sodium / clavulanic acid 100/10 mg/ml
Injekcija Epinephrine hydrochloride 1000 µg/ml
3824
Savietojams
Injekcija Amoxicillin sodium / clavulanic acid 100/10 mg/ml
Injekcija Ertapenem 100 mg/ml
3824
Tūlītēji nokrišņi Nesavienojams
Injekcija Amoxicillin sodium / clavulanic acid 100/10 mg/ml
Injekcija Erythromycin lactobionate 50 mg/ml
3824
Neprecizēta nesaderība Nesavienojams
Injekcija Amoxicillin sodium / clavulanic acid
Injekcija Erythromycin lactobionate
3674
Savietojams
Injekcija Amoxicillin sodium / clavulanic acid 100/10 mg/ml
Injekcija Esmolol hydrochloride 10 mg/ml
3824
Savietojams
Injekcija Amoxicillin sodium / clavulanic acid 100/10 mg/ml
Injekcija Famotidine 10 mg/ml
3824
Savietojams
Injekcija Amoxicillin sodium / clavulanic acid 100/10 mg/ml
Injekcija Fentanyl citrate 50 µg/ml
3824
Savietojams
Injekcija Amoxicillin sodium / clavulanic acid 100/10 mg/ml
Injekcija Fluconazole 2 mg/ml
3824
Savietojams
Injekcija Amoxicillin sodium / clavulanic acid 100/10 mg/ml
Injekcija Furosemide 10 mg/ml
3824
Neprecizēta nesaderība Nesavienojams
Injekcija Amoxicillin sodium / clavulanic acid
Injekcija Gentamicin sulfate
3643
Neprecizēta nesaderība Nesavienojams
Injekcija Amoxicillin sodium / clavulanic acid
Injekcija Gentamicin sulfate
3545
Neprecizēta nesaderība Nesavienojams
Injekcija Amoxicillin sodium / clavulanic acid
Injekcija Gentamicin sulfate
3520
Savietojams
Injekcija Amoxicillin sodium / clavulanic acid 100/10 mg/ml
Injekcija Gentamicin sulfate 40 mg/ml
3824
Savietojams
Injekcija Amoxicillin sodium / clavulanic acid 100/10 mg/ml
Injekcija Granisetron hydrochloride 1 mg/ml
3824
Tūlītēji nokrišņi Nesavienojams
Injekcija Amoxicillin sodium / clavulanic acid 100/10 mg/ml
Injekcija Haloperidol lactate 5 mg/ml
3824
Savietojams
Injekcija Amoxicillin sodium / clavulanic acid 100/10 mg/ml
Injekcija Heparin sodium 1000 UI/ml
3824
Nesavienojams
Injekcija Amoxicillin sodium / clavulanic acid 100/10 mg/ml
Injekcija Human albumin 250 mg/ml
3824
Neprecizēta nesaderība Nesavienojams
Injekcija Amoxicillin sodium / clavulanic acid
Injekcija Hydrocortisone sodium succinate
3545
Savietojams
Injekcija Amoxicillin sodium / clavulanic acid 100/10 mg/ml
Injekcija Hydrocortisone sodium succinate 50 mg/ml
3824
Savietojams
Injekcija Amoxicillin sodium / clavulanic acid 100/10 mg/ml
Injekcija Hydromorphone hydrochloride 10 mg/ml
3824
Tūlītēji nokrišņi Nesavienojams
Injekcija Amoxicillin sodium / clavulanic acid 100/10 mg/ml
Injekcija Imipenem - cilastatin sodium 50 mg/ml
3824
Savietojams
Injekcija Amoxicillin sodium / clavulanic acid 100/10 mg/ml
Injekcija Insulin 100 UI/ml
3824
Neprecizēta nesaderība Nesavienojams
Injekcija Amoxicillin sodium / clavulanic acid
Injekcija Kanamycin sulfate
3545
Tūlītēji nokrišņi Nesavienojams
Injekcija Amoxicillin sodium / clavulanic acid 100/10 mg/ml
Injekcija Ketamine hydrochloride 50 mg/ml
3824
Savietojams
Injekcija Amoxicillin sodium / clavulanic acid 100/10 mg/ml
Injekcija L-carnitine 200 mg/ml
3824
Savietojams
Injekcija Amoxicillin sodium / clavulanic acid 100/10 mg/ml
Injekcija Labetalol hydrochloride 5 mg/ml
3824
Savietojams
Injekcija Amoxicillin sodium / clavulanic acid 100/10 mg/ml
Injekcija Levofloxacine 5 mg/ml
3824
Savietojams
Injekcija Amoxicillin sodium / clavulanic acid 100/10 mg/ml
Injekcija Lidocaine hydrochloride 1 mg/ml
3824
Savietojams
Injekcija Amoxicillin sodium / clavulanic acid 100/10 mg/ml
Injekcija Linezolid 2 mg/ml
3824
Savietojams
Injekcija Amoxicillin sodium / clavulanic acid 100/10 mg/ml
Injekcija Lorazepam 4 mg/ml
3824
Savietojams
Injekcija Amoxicillin sodium / clavulanic acid 20/2 mg/ml
Injekcija Lorazepam 0.33 mg/ml
Nātrija hlorīds 0.9% 186
Savietojams
Injekcija Amoxicillin sodium / clavulanic acid 100/10 mg/ml
Injekcija Magnesium sulfate 500 mg/ml
3824
Neprecizēta nesaderība Nesavienojams
Injekcija Amoxicillin sodium / clavulanic acid
Injekcija Mannitol
3545
Savietojams
Injekcija Amoxicillin sodium / clavulanic acid 100/10 mg/ml
Injekcija Mannitol 250 mg/ml
3824
Savietojams
Injekcija Amoxicillin sodium / clavulanic acid 100/10 mg/ml
Injekcija Meropenem 50 mg/ml
3824
Neprecizēta nesaderība Nesavienojams
Injekcija Amoxicillin sodium / clavulanic acid
Injekcija Methylprednisolone acetate
3545
Neprecizēta nesaderība Nesavienojams
Injekcija Amoxicillin sodium / clavulanic acid
Injekcija Methylprednisolone sodium succinate
3545
Nesavienojams
Injekcija Amoxicillin sodium / clavulanic acid 100/10 mg/ml
Injekcija Methylprednisolone sodium succinate 125 mg/ml
3824
Savietojams
Injekcija Amoxicillin sodium / clavulanic acid 100/10 mg/ml
Injekcija Metoclopramide hydrochloride 5 mg/ml
3824
Savietojams
Injekcija Amoxicillin sodium / clavulanic acid 100/10 mg/ml
Injekcija Metronidazole 5 mg/ml
3824
Savietojams
Injekcija Amoxicillin sodium / clavulanic acid 100/10 mg/ml
Injekcija Micafungin 20 mg/ml
3824
Krāsu maiņa Nesavienojams
Injekcija Amoxicillin sodium / clavulanic acid 100/10 mg/ml
Injekcija Midazolam hydrochloride 5 mg/ml
3824
Tūlītēji nokrišņi Nesavienojams
Injekcija Amoxicillin sodium / clavulanic acid 20/2 mg/ml
Injekcija Midazolam hydrochloride 5 mg/ml
Nekāds 186
Savietojams
Injekcija Amoxicillin sodium / clavulanic acid 100/10 mg/ml
Injekcija Milrinone lactate 1 mg/ml
3824
Savietojams
Injekcija Amoxicillin sodium / clavulanic acid 100/10 mg/ml
Injekcija Morphine sulfate 50 mg/ml
3824
Savietojams
Injekcija Amoxicillin sodium / clavulanic acid 100/10 mg/ml
Injekcija N-acetylcysteine 200 mg/ml
3824
Savietojams
Injekcija Amoxicillin sodium / clavulanic acid 100/10 mg/ml
Injekcija Naloxone hydrochloride 0,4 mg/ml
3824
Neprecizēta nesaderība Nesavienojams
Injekcija Amoxicillin sodium / clavulanic acid
Injekcija Netilmicin sulfate
3545
Krāsu maiņa Nesavienojams
Injekcija Amoxicillin sodium / clavulanic acid 100/10 mg/ml
Injekcija Nicardipine hydrochloride 1 mg/ml
3824
Duļķainums vienā stundā Nesavienojams
Injekcija Amoxicillin sodium / clavulanic acid 100/10 mg/ml
Injekcija Nitroglycerin 5 mg/ml
3824
Savietojams
Injekcija Amoxicillin sodium / clavulanic acid 100/10 mg/ml
Injekcija Norepinephrine bitartrate 1 mg/ml
3824
Savietojams
Injekcija Amoxicillin sodium / clavulanic acid 100/10 mg/ml
Injekcija Octreotide acetate 0.5 mg/ml
3824
Savietojams
Injekcija Amoxicillin sodium / clavulanic acid 12 mg/ml
Injekcija Ofloxacin 2 mg/ml
Nekāds 889
Tūlītēji nokrišņi Nesavienojams
Injekcija Amoxicillin sodium / clavulanic acid 100/10 mg/ml
Injekcija Ondansetron hydrochloride 2 mg/ml
3824
Savietojams
Injekcija Amoxicillin sodium / clavulanic acid 100/10 mg/ml
Injekcija Oxytocin 10 UI/ml
3824
Savietojams
Injekcija Amoxicillin sodium / clavulanic acid 100/10 mg/ml
Injekcija Pantoprazole sodium 4 mg/ml
3824
Savietojams
Injekcija Amoxicillin sodium / clavulanic acid 100/10 mg/ml
Injekcija Paracetamol 10 mg/ml
3824
Neprecizēta nesaderība Nesavienojams
Injekcija Amoxicillin sodium / clavulanic acid
Injekcija Phenylephrine hydrochloride
3545
Savietojams
Injekcija Amoxicillin sodium / clavulanic acid 100/10 mg/ml
Injekcija Phenylephrine hydrochloride 0,01 mg/ml
3824
Tūlītēji nokrišņi Nesavienojams
Injekcija Amoxicillin sodium / clavulanic acid 100/10 mg/ml
Injekcija Phenytoin sodium 50 mg/ml
3824
Ķīmiskā nestabilitāte Nesavienojams
Injekcija Amoxicillin sodium / clavulanic acid 10 mg/ml
Injekcija Phloroglucinol 2,5 mg/ml
3791
Savietojams
Injekcija Amoxicillin sodium / clavulanic acid 100/10 mg/ml
Injekcija Piperacillin sodium / tazobactam 100 mg/ml
3824
Savietojams
Injekcija Amoxicillin sodium / clavulanic acid 100/10 mg/ml
Injekcija Potassium chloride 2 mEq/l
3824
Savietojams
Injekcija Amoxicillin sodium / clavulanic acid 100/10 mg/ml
Injekcija Potassium phosphate 3 mmol/ml
3824
Savietojams
Injekcija Amoxicillin sodium / clavulanic acid 60 mg/ml
Injekcija Propofol
4524
Savietojams
Injekcija Amoxicillin sodium / clavulanic acid 100/10 mg/ml
Injekcija Rocuronium bromide 10 mg/ml
3824
Savietojams
Injekcija Amoxicillin sodium / clavulanic acid 100/10 mg/ml
Injekcija Salbutamol sulfate 1 mg/ml
3824
Savietojams
Injekcija Amoxicillin sodium / clavulanic acid 100/10 mg/ml
Injekcija Sodium bicarbonate 84 mg/ml
3824
Neprecizēta nesaderība Nesavienojams
Injekcija Amoxicillin sodium / clavulanic acid
Injekcija Sodium bicarbonate
3545
Savietojams
Injekcija Amoxicillin sodium / clavulanic acid 100/10 mg/ml
Injekcija Sufentanil citrate 0,05 mg/ml
3824
Ķīmiskā nestabilitāte Nesavienojams
Injekcija Amoxicillin sodium / clavulanic acid 20 mg/ml
Injekcija Temocilline 83.33 mg/ml
Ūdens injekcijām 2231
Neprecizēta nesaderība Nesavienojams
Injekcija Amoxicillin sodium / clavulanic acid
Injekcija Temocilline
4470
Savietojams
Injekcija Amoxicillin sodium / clavulanic acid 100/10 mg/ml
Injekcija Thiamine hydrochloride 100 mg/ml
3824
Savietojams
Injekcija Amoxicillin sodium / clavulanic acid 100/10 mg/ml
Injekcija Tobramycin sulfate 40 mg/ml
3824
Neprecizēta nesaderība Nesavienojams
Injekcija Amoxicillin sodium / clavulanic acid
Injekcija Tobramycin sulfate
3545
Savietojams
Injekcija Amoxicillin sodium / clavulanic acid 100/10 mg/ml
Injekcija Tranexamic acid 100 mg/ml
3824
Savietojams
Injekcija Amoxicillin sodium / clavulanic acid 100/10 mg/ml
Injekcija Vancomycin hydrochloride 50 mg/ml
3824
Tūlītēja duļķainība Nesavienojams
Injekcija Amoxicillin sodium / clavulanic acid 100/10 mg/ml
Injekcija Verapamil hydrochloride 10 mg/ml
3824
Savietojams
Injekcija Amoxicillin sodium / clavulanic acid 100/10 mg/ml
Injekcija Voriconazole 10 mg/ml
3824
Savietojams
Injekcija Amoxicillin sodium / clavulanic acid 100/10 mg/ml
Injekcija Zidovudine 10 mg/ml
3824
Neprecizēta nesaderība Nesavienojams
Injekcija Amoxicillin sodium / clavulanic acid
NaHCO3 3545

  Mentions Légales