Poslední aktualizace :
27/11/2025
Antibiotikas   Amoxicillin sodium / clavulanic acid  
Įpurškimas
Geriamas tirpalas
Tirpalų stabilumas Mišinių stabilumas Stabilumą lemiantys veiksniai Suderinamumas Leidimo būdai Bibliografija pdf
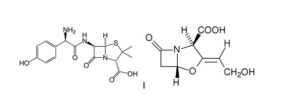
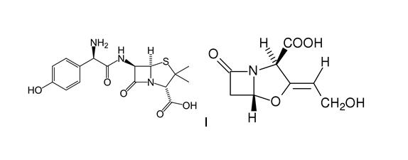
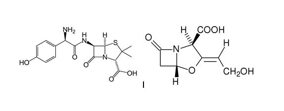
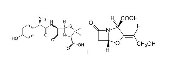
   Cheminė sandara  

Prekinis pavadinimas   Prekinis pavadinimas     

Trade names are indicative and excipients composition can be different depending on the country and manufacturers

Aktil Vengrija
Amoclan Saudo Arabija
Amoklavin Turkija
Amoksiklav Lenkija
Amoxclav Saudo Arabija
Amplamox Brazilija
Augmentin Austrija, Belgija, Čilė, Didžioji Britanija, Ekvadoras, Graikija, Ispanija, Italija, Jungtiniai Arabų Emyratai, Lenkija, Olandija, Prancūzija, Saudo Arabija, Šveicarija, Turkija
Betamox Portugalija
Clavamox Austrija
Clavicin Malaizija, Venesuela
Clavulin Brazilija
Co-amoxi Šveicarija
Co-Amoxicillin Šveicarija
Curam Naujojoje Zelandijoje, Saudo Arabija
Darzitil Argentina
Dibional Argentina
Julmentin Jungtiniai Arabų Emyratai
Novamox Brazilija
Sulbamox Čilė
Tarometin Lenkija
Trifamox Argentina, Ekvadoras, Kolumbija, Meksikas
Suderinamumas   Įpurškimas   Suderinamumas : Amoxicillin sodium / clavulanic acid              
explication_incompatibilite_molecules
Molekulė Tirpiklis Nuorodos
Cheminis nestabilumas Nesuderinamas
Įpurškimas Amoxicillin sodium / clavulanic acid
Įpurškimas Amikacin sulfate
3549
Nepatikslintas nesuderinamumas Nesuderinamas
Įpurškimas Amoxicillin sodium / clavulanic acid
Parenteriniu būdu (su lipidų) 3545
Nedelsiant krituliai Nesuderinamas
Įpurškimas Amoxicillin sodium / clavulanic acid 100/10 mg/ml
Įpurškimas Aciclovir sodium 50 mg/ml
3824
Suderinamas
Įpurškimas Amoxicillin sodium / clavulanic acid
Natrio chloridas 0,9% 3545
Nepatikslintas nesuderinamumas Nesuderinamas
Įpurškimas Amoxicillin sodium / clavulanic acid
Gliukozė 5% 3545
Suderinamas
Įpurškimas Amoxicillin sodium / clavulanic acid 100/10 mg/ml
Įpurškimas Amikacin sulfate 250 mg/ml
3824
Nepatikslintas nesuderinamumas Nesuderinamas
Įpurškimas Amoxicillin sodium / clavulanic acid
Įpurškimas Amikacin sulfate
3545
Spalvos pasikeitimas po 1 valandos Nesuderinamas
Įpurškimas Amoxicillin sodium / clavulanic acid 50/10 mg/ml
Parenteriniu būdu (su lipidų) 3948
Suderinamas
Įpurškimas Amoxicillin sodium / clavulanic acid 100/10 mg/ml
Įpurškimas Aminophylline 25 mg/ml
3824
Nedelsiant krituliai Nesuderinamas
Įpurškimas Amoxicillin sodium / clavulanic acid 10 mg/ml
Įpurškimas Amiodarone hydrochloride 12.5 mg/ml
2139
Spalvos pasikeitimas Nesuderinamas
Įpurškimas Amoxicillin sodium / clavulanic acid 100/10 mg/ml
Įpurškimas Amiodarone hydrochloride 50 mg/ml
3824
Suderinamas
Įpurškimas Amoxicillin sodium / clavulanic acid 100/10 mg/ml
Įpurškimas Amphotericin B liposomale 2 mg/ml
3824
Suderinamas
Įpurškimas Amoxicillin sodium / clavulanic acid 100/10 mg/ml
Įpurškimas Ampicillin sodium 100 mg/ml
3824
Suderinamas
Įpurškimas Amoxicillin sodium / clavulanic acid 100/10 mg/ml
Įpurškimas Atropine sulfate 0,4 mg/ml
3824
Suderinamas
Įpurškimas Amoxicillin sodium / clavulanic acid 100/10 mg/ml
Įpurškimas Azithromycine 100 mg/ml
3824
Suderinamas
Įpurškimas Amoxicillin sodium / clavulanic acid 100/10 mg/ml
Įpurškimas Calcium chloride 100 mg/ml
3824
Suderinamas
Įpurškimas Amoxicillin sodium / clavulanic acid 100/10 mg/ml
Įpurškimas Calcium gluconate 100 mg/ml
3824
Suderinamas
Įpurškimas Amoxicillin sodium / clavulanic acid 100/10 mg/ml
Įpurškimas Cefazolin sodium 100 mg/ml
3824
Suderinamas
Įpurškimas Amoxicillin sodium / clavulanic acid 100/10 mg/ml
Įpurškimas Cefotaxime sodium 100 mg/ml
3824
Suderinamas
Įpurškimas Amoxicillin sodium / clavulanic acid 100/10 mg/ml
Įpurškimas Cefoxitin sodium 100 mg/ml
3824
Suderinamas
Įpurškimas Amoxicillin sodium / clavulanic acid 100/10 mg/ml
Įpurškimas Ceftazidime 100 mg/ml
3824
Suderinamas
Įpurškimas Amoxicillin sodium / clavulanic acid 100/10 mg/ml
Įpurškimas Ceftriaxone disodium 100 mg/ml
3824
Tiesioginis drumstumas Nesuderinamas
Įpurškimas Amoxicillin sodium / clavulanic acid 100/10 mg/ml
Įpurškimas Ciclosporin 50 mg/ml
3824
Nedelsiant krituliai Nesuderinamas
Įpurškimas Amoxicillin sodium / clavulanic acid 12 mg/ml
Įpurškimas Ciprofloxacin lactate 2 mg/ml
Nėra 1357
Nepatikslintas nesuderinamumas Nesuderinamas
Įpurškimas Amoxicillin sodium / clavulanic acid
Įpurškimas Ciprofloxacin lactate
3529
Suderinamas
Įpurškimas Amoxicillin sodium / clavulanic acid 100/10 mg/ml
Įpurškimas Ciprofloxacin lactate 2 mg/ml
3824
Suderinamas
Įpurškimas Amoxicillin sodium / clavulanic acid 100/10 mg/ml
Įpurškimas Cloxacillin sodium 100 mg/ml
3824
Suderinamas
Įpurškimas Amoxicillin sodium / clavulanic acid 100/10 mg/ml
Įpurškimas Co-trimoxazole 16/80 mg/ml
3824
Suderinamas
Įpurškimas Amoxicillin sodium / clavulanic acid
Įpurškimas Daunorubicin/cytarabine liposomale 0,4 mg/mL
Natrio chloridas 0,9% 4654
Spalvos pasikeitimas po 1 valandos Nesuderinamas
Įpurškimas Amoxicillin sodium / clavulanic acid 50/10 mg/ml
Parenterinis maitinimas (lipidų nemokamai) 3948
Drumstumas per valandą Nesuderinamas
Įpurškimas Amoxicillin sodium / clavulanic acid 100/10 mg/ml
Įpurškimas Clindamycin phosphate 150 mg/ml
3824
Nepatikslintas nesuderinamumas Nesuderinamas
Įpurškimas Amoxicillin sodium / clavulanic acid
Parenterinis maitinimas (lipidų nemokamai) 3545
Suderinamas
Įpurškimas Amoxicillin sodium / clavulanic acid 100/10 mg/ml
Įpurškimas Cefuroxime sodium 100 mg/ml
3824
Suderinamas
Įpurškimas Amoxicillin sodium / clavulanic acid 100/10 mg/ml
Įpurškimas Dexamethasone sodium phosphate 4 mg/ml
3824
Nepatikslintas nesuderinamumas Nesuderinamas
Įpurškimas Amoxicillin sodium / clavulanic acid
Įpurškimas Dexamethasone sodium phosphate
3545
Suderinamas
Įpurškimas Amoxicillin sodium / clavulanic acid 100/10 mg/ml
Įpurškimas Dexmedetomidine 100 µg/ml
3824
Suderinamas
Įpurškimas Amoxicillin sodium / clavulanic acid 100/10 mg/ml
Įpurškimas Diazepam 5 mg/ml
3824
Suderinamas
Įpurškimas Amoxicillin sodium / clavulanic acid 100/10 mg/ml
Įpurškimas Digoxin 250 µg/ml
3824
Suderinamas
Įpurškimas Amoxicillin sodium / clavulanic acid 100/10 mg/ml
Įpurškimas Dimenhydrinate 10 mg/ml
3824
Spalvos pasikeitimas Nesuderinamas
Įpurškimas Amoxicillin sodium / clavulanic acid 100/10 mg/ml
Įpurškimas Diphenhydramine hydrochloride 50 mg/ml
3824
Nedelsiant krituliai Nesuderinamas
Įpurškimas Amoxicillin sodium / clavulanic acid 100/10 mg/ml
Įpurškimas Dobutamine hydrochloride 12,5 mg/ml
3824
Suderinamas
Įpurškimas Amoxicillin sodium / clavulanic acid 100/10 mg/ml
Įpurškimas Dopamine hydrochloride 3,2 mg/ml
3824
Suderinamas
Įpurškimas Amoxicillin sodium / clavulanic acid 100/10 mg/ml
Įpurškimas Enalaprilate 1,25 mg/ml
3824
Suderinamas
Įpurškimas Amoxicillin sodium / clavulanic acid 100/10 mg/ml
Įpurškimas Epinephrine hydrochloride 1000 µg/ml
3824
Suderinamas
Įpurškimas Amoxicillin sodium / clavulanic acid 100/10 mg/ml
Įpurškimas Ertapenem 100 mg/ml
3824
Nedelsiant krituliai Nesuderinamas
Įpurškimas Amoxicillin sodium / clavulanic acid 100/10 mg/ml
Įpurškimas Erythromycin lactobionate 50 mg/ml
3824
Nepatikslintas nesuderinamumas Nesuderinamas
Įpurškimas Amoxicillin sodium / clavulanic acid
Įpurškimas Erythromycin lactobionate
3674
Suderinamas
Įpurškimas Amoxicillin sodium / clavulanic acid 100/10 mg/ml
Įpurškimas Esmolol hydrochloride 10 mg/ml
3824
Suderinamas
Įpurškimas Amoxicillin sodium / clavulanic acid 100/10 mg/ml
Įpurškimas Famotidine 10 mg/ml
3824
Suderinamas
Įpurškimas Amoxicillin sodium / clavulanic acid 100/10 mg/ml
Įpurškimas Fentanyl citrate 50 µg/ml
3824
Suderinamas
Įpurškimas Amoxicillin sodium / clavulanic acid 100/10 mg/ml
Įpurškimas Fluconazole 2 mg/ml
3824
Suderinamas
Įpurškimas Amoxicillin sodium / clavulanic acid 100/10 mg/ml
Įpurškimas Furosemide 10 mg/ml
3824
Nepatikslintas nesuderinamumas Nesuderinamas
Įpurškimas Amoxicillin sodium / clavulanic acid
Įpurškimas Gentamicin sulfate
3643
Nepatikslintas nesuderinamumas Nesuderinamas
Įpurškimas Amoxicillin sodium / clavulanic acid
Įpurškimas Gentamicin sulfate
3545
Nepatikslintas nesuderinamumas Nesuderinamas
Įpurškimas Amoxicillin sodium / clavulanic acid
Įpurškimas Gentamicin sulfate
3520
Suderinamas
Įpurškimas Amoxicillin sodium / clavulanic acid 100/10 mg/ml
Įpurškimas Gentamicin sulfate 40 mg/ml
3824
Suderinamas
Įpurškimas Amoxicillin sodium / clavulanic acid 100/10 mg/ml
Įpurškimas Granisetron hydrochloride 1 mg/ml
3824
Nedelsiant krituliai Nesuderinamas
Įpurškimas Amoxicillin sodium / clavulanic acid 100/10 mg/ml
Įpurškimas Haloperidol lactate 5 mg/ml
3824
Suderinamas
Įpurškimas Amoxicillin sodium / clavulanic acid 100/10 mg/ml
Įpurškimas Heparin sodium 1000 UI/ml
3824
Nesuderinamas
Įpurškimas Amoxicillin sodium / clavulanic acid 100/10 mg/ml
Įpurškimas Human albumin 250 mg/ml
3824
Nepatikslintas nesuderinamumas Nesuderinamas
Įpurškimas Amoxicillin sodium / clavulanic acid
Įpurškimas Hydrocortisone sodium succinate
3545
Suderinamas
Įpurškimas Amoxicillin sodium / clavulanic acid 100/10 mg/ml
Įpurškimas Hydrocortisone sodium succinate 50 mg/ml
3824
Suderinamas
Įpurškimas Amoxicillin sodium / clavulanic acid 100/10 mg/ml
Įpurškimas Hydromorphone hydrochloride 10 mg/ml
3824
Nedelsiant krituliai Nesuderinamas
Įpurškimas Amoxicillin sodium / clavulanic acid 100/10 mg/ml
Įpurškimas Imipenem - cilastatin sodium 50 mg/ml
3824
Suderinamas
Įpurškimas Amoxicillin sodium / clavulanic acid 100/10 mg/ml
Įpurškimas Insulin 100 UI/ml
3824
Nepatikslintas nesuderinamumas Nesuderinamas
Įpurškimas Amoxicillin sodium / clavulanic acid
Įpurškimas Kanamycin sulfate
3545
Nedelsiant krituliai Nesuderinamas
Įpurškimas Amoxicillin sodium / clavulanic acid 100/10 mg/ml
Įpurškimas Ketamine hydrochloride 50 mg/ml
3824
Suderinamas
Įpurškimas Amoxicillin sodium / clavulanic acid 100/10 mg/ml
Įpurškimas L-carnitine 200 mg/ml
3824
Suderinamas
Įpurškimas Amoxicillin sodium / clavulanic acid 100/10 mg/ml
Įpurškimas Labetalol hydrochloride 5 mg/ml
3824
Suderinamas
Įpurškimas Amoxicillin sodium / clavulanic acid 100/10 mg/ml
Įpurškimas Levofloxacine 5 mg/ml
3824
Suderinamas
Įpurškimas Amoxicillin sodium / clavulanic acid 100/10 mg/ml
Įpurškimas Lidocaine hydrochloride 1 mg/ml
3824
Suderinamas
Įpurškimas Amoxicillin sodium / clavulanic acid 100/10 mg/ml
Įpurškimas Linezolid 2 mg/ml
3824
Suderinamas
Įpurškimas Amoxicillin sodium / clavulanic acid 100/10 mg/ml
Įpurškimas Lorazepam 4 mg/ml
3824
Suderinamas
Įpurškimas Amoxicillin sodium / clavulanic acid 20/2 mg/ml
Įpurškimas Lorazepam 0.33 mg/ml
Natrio chloridas 0,9% 186
Suderinamas
Įpurškimas Amoxicillin sodium / clavulanic acid 100/10 mg/ml
Įpurškimas Magnesium sulfate 500 mg/ml
3824
Nepatikslintas nesuderinamumas Nesuderinamas
Įpurškimas Amoxicillin sodium / clavulanic acid
Įpurškimas Mannitol
3545
Suderinamas
Įpurškimas Amoxicillin sodium / clavulanic acid 100/10 mg/ml
Įpurškimas Mannitol 250 mg/ml
3824
Suderinamas
Įpurškimas Amoxicillin sodium / clavulanic acid 100/10 mg/ml
Įpurškimas Meropenem 50 mg/ml
3824
Nepatikslintas nesuderinamumas Nesuderinamas
Įpurškimas Amoxicillin sodium / clavulanic acid
Įpurškimas Methylprednisolone acetate
3545
Nepatikslintas nesuderinamumas Nesuderinamas
Įpurškimas Amoxicillin sodium / clavulanic acid
Įpurškimas Methylprednisolone sodium succinate
3545
Nesuderinamas
Įpurškimas Amoxicillin sodium / clavulanic acid 100/10 mg/ml
Įpurškimas Methylprednisolone sodium succinate 125 mg/ml
3824
Suderinamas
Įpurškimas Amoxicillin sodium / clavulanic acid 100/10 mg/ml
Įpurškimas Metoclopramide hydrochloride 5 mg/ml
3824
Suderinamas
Įpurškimas Amoxicillin sodium / clavulanic acid 100/10 mg/ml
Įpurškimas Metronidazole 5 mg/ml
3824
Suderinamas
Įpurškimas Amoxicillin sodium / clavulanic acid 100/10 mg/ml
Įpurškimas Micafungin 20 mg/ml
3824
Spalvos pasikeitimas Nesuderinamas
Įpurškimas Amoxicillin sodium / clavulanic acid 100/10 mg/ml
Įpurškimas Midazolam hydrochloride 5 mg/ml
3824
Nedelsiant krituliai Nesuderinamas
Įpurškimas Amoxicillin sodium / clavulanic acid 20/2 mg/ml
Įpurškimas Midazolam hydrochloride 5 mg/ml
Nėra 186
Suderinamas
Įpurškimas Amoxicillin sodium / clavulanic acid 100/10 mg/ml
Įpurškimas Milrinone lactate 1 mg/ml
3824
Suderinamas
Įpurškimas Amoxicillin sodium / clavulanic acid 100/10 mg/ml
Įpurškimas Morphine sulfate 50 mg/ml
3824
Suderinamas
Įpurškimas Amoxicillin sodium / clavulanic acid 100/10 mg/ml
Įpurškimas N-acetylcysteine 200 mg/ml
3824
Suderinamas
Įpurškimas Amoxicillin sodium / clavulanic acid 100/10 mg/ml
Įpurškimas Naloxone hydrochloride 0,4 mg/ml
3824
Nepatikslintas nesuderinamumas Nesuderinamas
Įpurškimas Amoxicillin sodium / clavulanic acid
Įpurškimas Netilmicin sulfate
3545
Spalvos pasikeitimas Nesuderinamas
Įpurškimas Amoxicillin sodium / clavulanic acid 100/10 mg/ml
Įpurškimas Nicardipine hydrochloride 1 mg/ml
3824
Drumstumas per valandą Nesuderinamas
Įpurškimas Amoxicillin sodium / clavulanic acid 100/10 mg/ml
Įpurškimas Nitroglycerin 5 mg/ml
3824
Suderinamas
Įpurškimas Amoxicillin sodium / clavulanic acid 100/10 mg/ml
Įpurškimas Norepinephrine bitartrate 1 mg/ml
3824
Suderinamas
Įpurškimas Amoxicillin sodium / clavulanic acid 100/10 mg/ml
Įpurškimas Octreotide acetate 0.5 mg/ml
3824
Suderinamas
Įpurškimas Amoxicillin sodium / clavulanic acid 12 mg/ml
Įpurškimas Ofloxacin 2 mg/ml
Nėra 889
Nedelsiant krituliai Nesuderinamas
Įpurškimas Amoxicillin sodium / clavulanic acid 100/10 mg/ml
Įpurškimas Ondansetron hydrochloride 2 mg/ml
3824
Suderinamas
Įpurškimas Amoxicillin sodium / clavulanic acid 100/10 mg/ml
Įpurškimas Oxytocin 10 UI/ml
3824
Suderinamas
Įpurškimas Amoxicillin sodium / clavulanic acid 100/10 mg/ml
Įpurškimas Pantoprazole sodium 4 mg/ml
3824
Suderinamas
Įpurškimas Amoxicillin sodium / clavulanic acid 100/10 mg/ml
Įpurškimas Paracetamol 10 mg/ml
3824
Nepatikslintas nesuderinamumas Nesuderinamas
Įpurškimas Amoxicillin sodium / clavulanic acid
Įpurškimas Phenylephrine hydrochloride
3545
Suderinamas
Įpurškimas Amoxicillin sodium / clavulanic acid 100/10 mg/ml
Įpurškimas Phenylephrine hydrochloride 0,01 mg/ml
3824
Nedelsiant krituliai Nesuderinamas
Įpurškimas Amoxicillin sodium / clavulanic acid 100/10 mg/ml
Įpurškimas Phenytoin sodium 50 mg/ml
3824
Cheminis nestabilumas Nesuderinamas
Įpurškimas Amoxicillin sodium / clavulanic acid 10 mg/ml
Įpurškimas Phloroglucinol 2,5 mg/ml
3791
Suderinamas
Įpurškimas Amoxicillin sodium / clavulanic acid 100/10 mg/ml
Įpurškimas Piperacillin sodium / tazobactam 100 mg/ml
3824
Suderinamas
Įpurškimas Amoxicillin sodium / clavulanic acid 100/10 mg/ml
Įpurškimas Potassium chloride 2 mEq/l
3824
Suderinamas
Įpurškimas Amoxicillin sodium / clavulanic acid 100/10 mg/ml
Įpurškimas Potassium phosphate 3 mmol/ml
3824
Suderinamas
Įpurškimas Amoxicillin sodium / clavulanic acid 60 mg/ml
Įpurškimas Propofol
4524
Suderinamas
Įpurškimas Amoxicillin sodium / clavulanic acid 100/10 mg/ml
Įpurškimas Rocuronium bromide 10 mg/ml
3824
Suderinamas
Įpurškimas Amoxicillin sodium / clavulanic acid 100/10 mg/ml
Įpurškimas Salbutamol sulfate 1 mg/ml
3824
Suderinamas
Įpurškimas Amoxicillin sodium / clavulanic acid 100/10 mg/ml
Įpurškimas Sodium bicarbonate 84 mg/ml
3824
Nepatikslintas nesuderinamumas Nesuderinamas
Įpurškimas Amoxicillin sodium / clavulanic acid
Įpurškimas Sodium bicarbonate
3545
Suderinamas
Įpurškimas Amoxicillin sodium / clavulanic acid 100/10 mg/ml
Įpurškimas Sufentanil citrate 0,05 mg/ml
3824
Cheminis nestabilumas Nesuderinamas
Įpurškimas Amoxicillin sodium / clavulanic acid 20 mg/ml
Įpurškimas Temocilline 83.33 mg/ml
Vanduo injekcijoms 2231
Nepatikslintas nesuderinamumas Nesuderinamas
Įpurškimas Amoxicillin sodium / clavulanic acid
Įpurškimas Temocilline
4470
Suderinamas
Įpurškimas Amoxicillin sodium / clavulanic acid 100/10 mg/ml
Įpurškimas Thiamine hydrochloride 100 mg/ml
3824
Suderinamas
Įpurškimas Amoxicillin sodium / clavulanic acid 100/10 mg/ml
Įpurškimas Tobramycin sulfate 40 mg/ml
3824
Nepatikslintas nesuderinamumas Nesuderinamas
Įpurškimas Amoxicillin sodium / clavulanic acid
Įpurškimas Tobramycin sulfate
3545
Suderinamas
Įpurškimas Amoxicillin sodium / clavulanic acid 100/10 mg/ml
Įpurškimas Tranexamic acid 100 mg/ml
3824
Suderinamas
Įpurškimas Amoxicillin sodium / clavulanic acid 100/10 mg/ml
Įpurškimas Vancomycin hydrochloride 50 mg/ml
3824
Tiesioginis drumstumas Nesuderinamas
Įpurškimas Amoxicillin sodium / clavulanic acid 100/10 mg/ml
Įpurškimas Verapamil hydrochloride 10 mg/ml
3824
Suderinamas
Įpurškimas Amoxicillin sodium / clavulanic acid 100/10 mg/ml
Įpurškimas Voriconazole 10 mg/ml
3824
Suderinamas
Įpurškimas Amoxicillin sodium / clavulanic acid 100/10 mg/ml
Įpurškimas Zidovudine 10 mg/ml
3824
Nepatikslintas nesuderinamumas Nesuderinamas
Įpurškimas Amoxicillin sodium / clavulanic acid
NaHCO3 3545

  Mentions Légales