Última actualización :
27/11/2025
Antibiótico   Amoxicillin sodium / clavulanic acid  
Inyectables
Solución Oral
Estabilidad en solucion Estabilidad en mezcla Factores que influyen sobre la estabilidad Compatibilidades método de inyección Bibliografía pdf
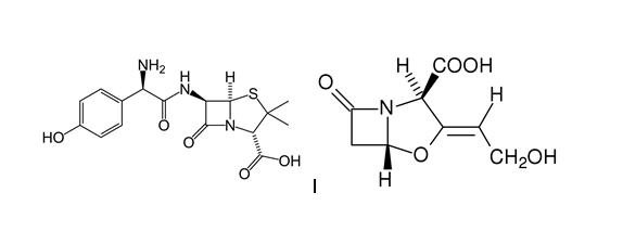
   Estructura química  

Nombre comercial   Nombre comercial     

Los nombres comerciales son orientativos y los excipientes de la formulación pueden ser distintos dependiendo del país y del laboratorio fabricante.

Aktil Hungría
Amoclan Arabia Saudita
Amoklavin Turquía
Amoksiklav Polonia
Amoxclav Arabia Saudita
Amplamox Brasil
Augmentin Arabia Saudita, Austria, Bélgica, Chile, Ecuador, Emiratos Árabes Unidos, España, Francia, Gran Bretaña, Grecia, Italia, Países Bajos, Polonia, Suiza, Turquía
Betamox Portugal
Clavamox Austria
Clavicin Malasia, Venezuela
Clavulin Brasil
Co-amoxi Suiza
Co-Amoxicillin Suiza
Curam Arabia Saudita, Nueva Zelanda
Darzitil Argentina
Dibional Argentina
Julmentin Emiratos Árabes Unidos
Novamox Brasil
Sulbamox Chile
Tarometin Polonia
Trifamox Argentina, Colombia, Ecuador, México
Compatibilidades   Inyectables   Compatibilidades : Amoxicillin sodium / clavulanic acid              
Esta pantalla muestra las compatibilidades o incompatibilidades, así como el tipo de incompatibilidad (precipitación, cambio de color, modificación de una emulsión, etc). Las compatibilidades que se recogen aquí son fundamentalmente físicas, mostrando raramente la estabilidad química de la molécula. La evaluación de estas mezclas se estudió con el fin de de comprobar la posibilidad de administración en Y al paciente. Estos datos no pueden utilizarse en el caso de la preparación de mezclas dentro de bolsas o jeringas. Este tipo de información está disponible en la pantalla “Estabilidad en mezcla”.
Molécula Solvente Bibliografía
Inestabilidad química Incompatible
Inyectables Amoxicillin sodium / clavulanic acid
Inyectables Amikacin sulfate
3549
Incompatibilidad no especificada Incompatible
Inyectables Amoxicillin sodium / clavulanic acid
Nutrición parenteral (con lípidos) 3545
Precipitación inmediata Incompatible
Inyectables Amoxicillin sodium / clavulanic acid 100/10 mg/ml
Inyectables Aciclovir sodium 50 mg/ml
3824
Compatible
Inyectables Amoxicillin sodium / clavulanic acid
Cloruro de sodio 0,9% 3545
Incompatibilidad no especificada Incompatible
Inyectables Amoxicillin sodium / clavulanic acid
Glucosa 5% 3545
Compatible
Inyectables Amoxicillin sodium / clavulanic acid 100/10 mg/ml
Inyectables Amikacin sulfate 250 mg/ml
3824
Incompatibilidad no especificada Incompatible
Inyectables Amoxicillin sodium / clavulanic acid
Inyectables Amikacin sulfate
3545
Cambio de color después de 1 hora. Incompatible
Inyectables Amoxicillin sodium / clavulanic acid 50/10 mg/ml
Nutrición parenteral (con lípidos) 3948
Compatible
Inyectables Amoxicillin sodium / clavulanic acid 100/10 mg/ml
Inyectables Aminophylline 25 mg/ml
3824
Precipitación inmediata Incompatible
Inyectables Amoxicillin sodium / clavulanic acid 10 mg/ml
Inyectables Amiodarone hydrochloride 12.5 mg/ml
2139
Cambio de color Incompatible
Inyectables Amoxicillin sodium / clavulanic acid 100/10 mg/ml
Inyectables Amiodarone hydrochloride 50 mg/ml
3824
Compatible
Inyectables Amoxicillin sodium / clavulanic acid 100/10 mg/ml
Inyectables Amphotericin B liposomale 2 mg/ml
3824
Compatible
Inyectables Amoxicillin sodium / clavulanic acid 100/10 mg/ml
Inyectables Ampicillin sodium 100 mg/ml
3824
Compatible
Inyectables Amoxicillin sodium / clavulanic acid 100/10 mg/ml
Inyectables Atropine sulfate 0,4 mg/ml
3824
Compatible
Inyectables Amoxicillin sodium / clavulanic acid 100/10 mg/ml
Inyectables Azithromycine 100 mg/ml
3824
Compatible
Inyectables Amoxicillin sodium / clavulanic acid 100/10 mg/ml
Inyectables Calcium chloride 100 mg/ml
3824
Compatible
Inyectables Amoxicillin sodium / clavulanic acid 100/10 mg/ml
Inyectables Calcium gluconate 100 mg/ml
3824
Compatible
Inyectables Amoxicillin sodium / clavulanic acid 100/10 mg/ml
Inyectables Cefazolin sodium 100 mg/ml
3824
Compatible
Inyectables Amoxicillin sodium / clavulanic acid 100/10 mg/ml
Inyectables Cefotaxime sodium 100 mg/ml
3824
Compatible
Inyectables Amoxicillin sodium / clavulanic acid 100/10 mg/ml
Inyectables Cefoxitin sodium 100 mg/ml
3824
Compatible
Inyectables Amoxicillin sodium / clavulanic acid 100/10 mg/ml
Inyectables Ceftazidime 100 mg/ml
3824
Compatible
Inyectables Amoxicillin sodium / clavulanic acid 100/10 mg/ml
Inyectables Ceftriaxone disodium 100 mg/ml
3824
Turbidez inmediata Incompatible
Inyectables Amoxicillin sodium / clavulanic acid 100/10 mg/ml
Inyectables Ciclosporin 50 mg/ml
3824
Precipitación inmediata Incompatible
Inyectables Amoxicillin sodium / clavulanic acid 12 mg/ml
Inyectables Ciprofloxacin lactate 2 mg/ml
Ninguno 1357
Incompatibilidad no especificada Incompatible
Inyectables Amoxicillin sodium / clavulanic acid
Inyectables Ciprofloxacin lactate
3529
Compatible
Inyectables Amoxicillin sodium / clavulanic acid 100/10 mg/ml
Inyectables Ciprofloxacin lactate 2 mg/ml
3824
Compatible
Inyectables Amoxicillin sodium / clavulanic acid 100/10 mg/ml
Inyectables Cloxacillin sodium 100 mg/ml
3824
Compatible
Inyectables Amoxicillin sodium / clavulanic acid 100/10 mg/ml
Inyectables Co-trimoxazole 16/80 mg/ml
3824
Compatible
Inyectables Amoxicillin sodium / clavulanic acid
Inyectables Daunorubicin/cytarabine liposomale 0,4 mg/mL
Cloruro de sodio 0,9% 4654
Cambio de color después de 1 hora. Incompatible
Inyectables Amoxicillin sodium / clavulanic acid 50/10 mg/ml
Nutrición parenteral (libre de lípidos) 3948
Turbidez en una hora Incompatible
Inyectables Amoxicillin sodium / clavulanic acid 100/10 mg/ml
Inyectables Clindamycin phosphate 150 mg/ml
3824
Incompatibilidad no especificada Incompatible
Inyectables Amoxicillin sodium / clavulanic acid
Nutrición parenteral (libre de lípidos) 3545
Compatible
Inyectables Amoxicillin sodium / clavulanic acid 100/10 mg/ml
Inyectables Cefuroxime sodium 100 mg/ml
3824
Compatible
Inyectables Amoxicillin sodium / clavulanic acid 100/10 mg/ml
Inyectables Dexamethasone sodium phosphate 4 mg/ml
3824
Incompatibilidad no especificada Incompatible
Inyectables Amoxicillin sodium / clavulanic acid
Inyectables Dexamethasone sodium phosphate
3545
Compatible
Inyectables Amoxicillin sodium / clavulanic acid 100/10 mg/ml
Inyectables Dexmedetomidine 100 µg/ml
3824
Compatible
Inyectables Amoxicillin sodium / clavulanic acid 100/10 mg/ml
Inyectables Diazepam 5 mg/ml
3824
Compatible
Inyectables Amoxicillin sodium / clavulanic acid 100/10 mg/ml
Inyectables Digoxin 250 µg/ml
3824
Compatible
Inyectables Amoxicillin sodium / clavulanic acid 100/10 mg/ml
Inyectables Dimenhydrinate 10 mg/ml
3824
Cambio de color Incompatible
Inyectables Amoxicillin sodium / clavulanic acid 100/10 mg/ml
Inyectables Diphenhydramine hydrochloride 50 mg/ml
3824
Precipitación inmediata Incompatible
Inyectables Amoxicillin sodium / clavulanic acid 100/10 mg/ml
Inyectables Dobutamine hydrochloride 12,5 mg/ml
3824
Compatible
Inyectables Amoxicillin sodium / clavulanic acid 100/10 mg/ml
Inyectables Dopamine hydrochloride 3,2 mg/ml
3824
Compatible
Inyectables Amoxicillin sodium / clavulanic acid 100/10 mg/ml
Inyectables Enalaprilate 1,25 mg/ml
3824
Compatible
Inyectables Amoxicillin sodium / clavulanic acid 100/10 mg/ml
Inyectables Epinephrine hydrochloride 1000 µg/ml
3824
Compatible
Inyectables Amoxicillin sodium / clavulanic acid 100/10 mg/ml
Inyectables Ertapenem 100 mg/ml
3824
Precipitación inmediata Incompatible
Inyectables Amoxicillin sodium / clavulanic acid 100/10 mg/ml
Inyectables Erythromycin lactobionate 50 mg/ml
3824
Incompatibilidad no especificada Incompatible
Inyectables Amoxicillin sodium / clavulanic acid
Inyectables Erythromycin lactobionate
3674
Compatible
Inyectables Amoxicillin sodium / clavulanic acid 100/10 mg/ml
Inyectables Esmolol hydrochloride 10 mg/ml
3824
Compatible
Inyectables Amoxicillin sodium / clavulanic acid 100/10 mg/ml
Inyectables Famotidine 10 mg/ml
3824
Compatible
Inyectables Amoxicillin sodium / clavulanic acid 100/10 mg/ml
Inyectables Fentanyl citrate 50 µg/ml
3824
Compatible
Inyectables Amoxicillin sodium / clavulanic acid 100/10 mg/ml
Inyectables Fluconazole 2 mg/ml
3824
Compatible
Inyectables Amoxicillin sodium / clavulanic acid 100/10 mg/ml
Inyectables Furosemide 10 mg/ml
3824
Incompatibilidad no especificada Incompatible
Inyectables Amoxicillin sodium / clavulanic acid
Inyectables Gentamicin sulfate
3643
Incompatibilidad no especificada Incompatible
Inyectables Amoxicillin sodium / clavulanic acid
Inyectables Gentamicin sulfate
3545
Incompatibilidad no especificada Incompatible
Inyectables Amoxicillin sodium / clavulanic acid
Inyectables Gentamicin sulfate
3520
Compatible
Inyectables Amoxicillin sodium / clavulanic acid 100/10 mg/ml
Inyectables Gentamicin sulfate 40 mg/ml
3824
Compatible
Inyectables Amoxicillin sodium / clavulanic acid 100/10 mg/ml
Inyectables Granisetron hydrochloride 1 mg/ml
3824
Precipitación inmediata Incompatible
Inyectables Amoxicillin sodium / clavulanic acid 100/10 mg/ml
Inyectables Haloperidol lactate 5 mg/ml
3824
Compatible
Inyectables Amoxicillin sodium / clavulanic acid 100/10 mg/ml
Inyectables Heparin sodium 1000 UI/ml
3824
Incompatible
Inyectables Amoxicillin sodium / clavulanic acid 100/10 mg/ml
Inyectables Human albumin 250 mg/ml
3824
Incompatibilidad no especificada Incompatible
Inyectables Amoxicillin sodium / clavulanic acid
Inyectables Hydrocortisone sodium succinate
3545
Compatible
Inyectables Amoxicillin sodium / clavulanic acid 100/10 mg/ml
Inyectables Hydrocortisone sodium succinate 50 mg/ml
3824
Compatible
Inyectables Amoxicillin sodium / clavulanic acid 100/10 mg/ml
Inyectables Hydromorphone hydrochloride 10 mg/ml
3824
Precipitación inmediata Incompatible
Inyectables Amoxicillin sodium / clavulanic acid 100/10 mg/ml
Inyectables Imipenem - cilastatin sodium 50 mg/ml
3824
Compatible
Inyectables Amoxicillin sodium / clavulanic acid 100/10 mg/ml
Inyectables Insulin 100 UI/ml
3824
Incompatibilidad no especificada Incompatible
Inyectables Amoxicillin sodium / clavulanic acid
Inyectables Kanamycin sulfate
3545
Precipitación inmediata Incompatible
Inyectables Amoxicillin sodium / clavulanic acid 100/10 mg/ml
Inyectables Ketamine hydrochloride 50 mg/ml
3824
Compatible
Inyectables Amoxicillin sodium / clavulanic acid 100/10 mg/ml
Inyectables L-carnitine 200 mg/ml
3824
Compatible
Inyectables Amoxicillin sodium / clavulanic acid 100/10 mg/ml
Inyectables Labetalol hydrochloride 5 mg/ml
3824
Compatible
Inyectables Amoxicillin sodium / clavulanic acid 100/10 mg/ml
Inyectables Levofloxacine 5 mg/ml
3824
Compatible
Inyectables Amoxicillin sodium / clavulanic acid 100/10 mg/ml
Inyectables Lidocaine hydrochloride 1 mg/ml
3824
Compatible
Inyectables Amoxicillin sodium / clavulanic acid 100/10 mg/ml
Inyectables Linezolid 2 mg/ml
3824
Compatible
Inyectables Amoxicillin sodium / clavulanic acid 100/10 mg/ml
Inyectables Lorazepam 4 mg/ml
3824
Compatible
Inyectables Amoxicillin sodium / clavulanic acid 20/2 mg/ml
Inyectables Lorazepam 0.33 mg/ml
Cloruro de sodio 0,9% 186
Compatible
Inyectables Amoxicillin sodium / clavulanic acid 100/10 mg/ml
Inyectables Magnesium sulfate 500 mg/ml
3824
Incompatibilidad no especificada Incompatible
Inyectables Amoxicillin sodium / clavulanic acid
Inyectables Mannitol
3545
Compatible
Inyectables Amoxicillin sodium / clavulanic acid 100/10 mg/ml
Inyectables Mannitol 250 mg/ml
3824
Compatible
Inyectables Amoxicillin sodium / clavulanic acid 100/10 mg/ml
Inyectables Meropenem 50 mg/ml
3824
Incompatibilidad no especificada Incompatible
Inyectables Amoxicillin sodium / clavulanic acid
Inyectables Methylprednisolone acetate
3545
Incompatibilidad no especificada Incompatible
Inyectables Amoxicillin sodium / clavulanic acid
Inyectables Methylprednisolone sodium succinate
3545
Incompatible
Inyectables Amoxicillin sodium / clavulanic acid 100/10 mg/ml
Inyectables Methylprednisolone sodium succinate 125 mg/ml
3824
Compatible
Inyectables Amoxicillin sodium / clavulanic acid 100/10 mg/ml
Inyectables Metoclopramide hydrochloride 5 mg/ml
3824
Compatible
Inyectables Amoxicillin sodium / clavulanic acid 100/10 mg/ml
Inyectables Metronidazole 5 mg/ml
3824
Compatible
Inyectables Amoxicillin sodium / clavulanic acid 100/10 mg/ml
Inyectables Micafungin 20 mg/ml
3824
Cambio de color Incompatible
Inyectables Amoxicillin sodium / clavulanic acid 100/10 mg/ml
Inyectables Midazolam hydrochloride 5 mg/ml
3824
Precipitación inmediata Incompatible
Inyectables Amoxicillin sodium / clavulanic acid 20/2 mg/ml
Inyectables Midazolam hydrochloride 5 mg/ml
Ninguno 186
Compatible
Inyectables Amoxicillin sodium / clavulanic acid 100/10 mg/ml
Inyectables Milrinone lactate 1 mg/ml
3824
Compatible
Inyectables Amoxicillin sodium / clavulanic acid 100/10 mg/ml
Inyectables Morphine sulfate 50 mg/ml
3824
Compatible
Inyectables Amoxicillin sodium / clavulanic acid 100/10 mg/ml
Inyectables N-acetylcysteine 200 mg/ml
3824
Compatible
Inyectables Amoxicillin sodium / clavulanic acid 100/10 mg/ml
Inyectables Naloxone hydrochloride 0,4 mg/ml
3824
Incompatibilidad no especificada Incompatible
Inyectables Amoxicillin sodium / clavulanic acid
Inyectables Netilmicin sulfate
3545
Cambio de color Incompatible
Inyectables Amoxicillin sodium / clavulanic acid 100/10 mg/ml
Inyectables Nicardipine hydrochloride 1 mg/ml
3824
Turbidez en una hora Incompatible
Inyectables Amoxicillin sodium / clavulanic acid 100/10 mg/ml
Inyectables Nitroglycerin 5 mg/ml
3824
Compatible
Inyectables Amoxicillin sodium / clavulanic acid 100/10 mg/ml
Inyectables Norepinephrine bitartrate 1 mg/ml
3824
Compatible
Inyectables Amoxicillin sodium / clavulanic acid 100/10 mg/ml
Inyectables Octreotide acetate 0.5 mg/ml
3824
Compatible
Inyectables Amoxicillin sodium / clavulanic acid 12 mg/ml
Inyectables Ofloxacin 2 mg/ml
Ninguno 889
Precipitación inmediata Incompatible
Inyectables Amoxicillin sodium / clavulanic acid 100/10 mg/ml
Inyectables Ondansetron hydrochloride 2 mg/ml
3824
Compatible
Inyectables Amoxicillin sodium / clavulanic acid 100/10 mg/ml
Inyectables Oxytocin 10 UI/ml
3824
Compatible
Inyectables Amoxicillin sodium / clavulanic acid 100/10 mg/ml
Inyectables Pantoprazole sodium 4 mg/ml
3824
Compatible
Inyectables Amoxicillin sodium / clavulanic acid 100/10 mg/ml
Inyectables Paracetamol 10 mg/ml
3824
Incompatibilidad no especificada Incompatible
Inyectables Amoxicillin sodium / clavulanic acid
Inyectables Phenylephrine hydrochloride
3545
Compatible
Inyectables Amoxicillin sodium / clavulanic acid 100/10 mg/ml
Inyectables Phenylephrine hydrochloride 0,01 mg/ml
3824
Precipitación inmediata Incompatible
Inyectables Amoxicillin sodium / clavulanic acid 100/10 mg/ml
Inyectables Phenytoin sodium 50 mg/ml
3824
Inestabilidad química Incompatible
Inyectables Amoxicillin sodium / clavulanic acid 10 mg/ml
Inyectables Phloroglucinol 2,5 mg/ml
3791
Compatible
Inyectables Amoxicillin sodium / clavulanic acid 100/10 mg/ml
Inyectables Piperacillin sodium / tazobactam 100 mg/ml
3824
Compatible
Inyectables Amoxicillin sodium / clavulanic acid 100/10 mg/ml
Inyectables Potassium chloride 2 mEq/l
3824
Compatible
Inyectables Amoxicillin sodium / clavulanic acid 100/10 mg/ml
Inyectables Potassium phosphate 3 mmol/ml
3824
Compatible
Inyectables Amoxicillin sodium / clavulanic acid 60 mg/ml
Inyectables Propofol
4524
Compatible
Inyectables Amoxicillin sodium / clavulanic acid 100/10 mg/ml
Inyectables Rocuronium bromide 10 mg/ml
3824
Compatible
Inyectables Amoxicillin sodium / clavulanic acid 100/10 mg/ml
Inyectables Salbutamol sulfate 1 mg/ml
3824
Compatible
Inyectables Amoxicillin sodium / clavulanic acid 100/10 mg/ml
Inyectables Sodium bicarbonate 84 mg/ml
3824
Incompatibilidad no especificada Incompatible
Inyectables Amoxicillin sodium / clavulanic acid
Inyectables Sodium bicarbonate
3545
Compatible
Inyectables Amoxicillin sodium / clavulanic acid 100/10 mg/ml
Inyectables Sufentanil citrate 0,05 mg/ml
3824
Inestabilidad química Incompatible
Inyectables Amoxicillin sodium / clavulanic acid 20 mg/ml
Inyectables Temocilline 83.33 mg/ml
Agua para preparación inyectable 2231
Incompatibilidad no especificada Incompatible
Inyectables Amoxicillin sodium / clavulanic acid
Inyectables Temocilline
4470
Compatible
Inyectables Amoxicillin sodium / clavulanic acid 100/10 mg/ml
Inyectables Thiamine hydrochloride 100 mg/ml
3824
Compatible
Inyectables Amoxicillin sodium / clavulanic acid 100/10 mg/ml
Inyectables Tobramycin sulfate 40 mg/ml
3824
Incompatibilidad no especificada Incompatible
Inyectables Amoxicillin sodium / clavulanic acid
Inyectables Tobramycin sulfate
3545
Compatible
Inyectables Amoxicillin sodium / clavulanic acid 100/10 mg/ml
Inyectables Tranexamic acid 100 mg/ml
3824
Compatible
Inyectables Amoxicillin sodium / clavulanic acid 100/10 mg/ml
Inyectables Vancomycin hydrochloride 50 mg/ml
3824
Turbidez inmediata Incompatible
Inyectables Amoxicillin sodium / clavulanic acid 100/10 mg/ml
Inyectables Verapamil hydrochloride 10 mg/ml
3824
Compatible
Inyectables Amoxicillin sodium / clavulanic acid 100/10 mg/ml
Inyectables Voriconazole 10 mg/ml
3824
Compatible
Inyectables Amoxicillin sodium / clavulanic acid 100/10 mg/ml
Inyectables Zidovudine 10 mg/ml
3824
Incompatibilidad no especificada Incompatible
Inyectables Amoxicillin sodium / clavulanic acid
NaHCO3 3545

  Mentions Légales