Son güncelleme :
17/12/2025
Antibiyotik   Amoxicillin sodium / clavulanic acid  
Enjeksiyon
Oral solüsyon / oral çözelti
Çözeltilerin stabilitesi Karışımlardaki stabilitesi Stabiliteyi etkileyen faktörler Uyumluluk Uygulama yöntemi Kaynaklar pdf
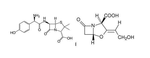
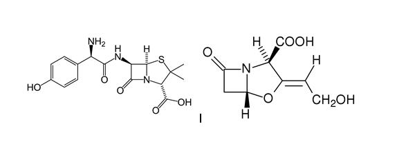
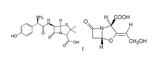
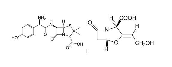
   Kimyasal yapı   

Ticari isim   Ticari isim     

Trade names are indicative and excipients composition can be different depending on the country and manufacturers

Aktil Macaristan
Amoclan Suudi Arabistan
Amoklavin Türkiye
Amoksiklav Polonya
Amoxclav Suudi Arabistan
Amplamox Brezilya
Augmentin Avusturya, Belçika, Birleşik Arap Emirlikleri, Büyük Britanya, Ekvador, Fransa, Hollanda, İspanya, İsviçre, İtalya, Polonya, Şili, Suudi Arabistan, Türkiye, Yunanistan
Betamox Portekiz
Clavamox Avusturya
Clavicin Malezya, Venezuela
Clavulin Brezilya
Co-amoxi İsviçre
Co-Amoxicillin İsviçre
Curam Suudi Arabistan, yeni Zelanda
Darzitil Arjantin
Dibional Arjantin
Julmentin Birleşik Arap Emirlikleri
Novamox Brezilya
Sulbamox Şili
Tarometin Polonya
Trifamox Arjantin, Ekvador, Kolombiya, Meksika
Uyumluluk   Enjeksiyon    Uyumluluk : Amoxicillin sodium / clavulanic acid              
Bu ekran, bu durumda uyumsuzluk tipiyle (çökelme, renk değişimi, bir emülsiyonun modifikasyonu, vb.) Uyumlulukları veya uyumsuzlukları gösterir. Burada gösterilen uyumluluklar çoğunlukla yalnızca fizikseldir ve her molekülün kimyasal stabilitesi nadiren değerlendirilir. Bu karışımların değerlendirilmesi, hastaya Y bölgesi uygulama olasılığını göz önünde bulundurmak için çalışıldı. Bu veriler önceden torba veya şırıngalarda karışım yapmak için kullanılamaz. Bu tür bilgiler "Karışımda stabilite" ekranında mevcuttur.
Bileşik Çözücü Kaynaklar
Kimyasal kararsızlık uyumsuz
Enjeksiyon Amoxicillin sodium / clavulanic acid
Enjeksiyon Amikacin sulfate
3549
Belirtilmemiş uyumsuzluk uyumsuz
Enjeksiyon Amoxicillin sodium / clavulanic acid
Parenteral beslenme (Lipidler) 3545
Acil yağış uyumsuz
Enjeksiyon Amoxicillin sodium / clavulanic acid 100/10 mg/ml
Enjeksiyon Aciclovir sodium 50 mg/ml
3824
Uyumlu
Enjeksiyon Amoxicillin sodium / clavulanic acid
Sodyum klorür % 0,9 3545
Belirtilmemiş uyumsuzluk uyumsuz
Enjeksiyon Amoxicillin sodium / clavulanic acid
Glukoz %5 3545
Uyumlu
Enjeksiyon Amoxicillin sodium / clavulanic acid 100/10 mg/ml
Enjeksiyon Amikacin sulfate 250 mg/ml
3824
Belirtilmemiş uyumsuzluk uyumsuz
Enjeksiyon Amoxicillin sodium / clavulanic acid
Enjeksiyon Amikacin sulfate
3545
1 saat sonra renk değişimi uyumsuz
Enjeksiyon Amoxicillin sodium / clavulanic acid 50/10 mg/ml
Parenteral beslenme (Lipidler) 3948
Uyumlu
Enjeksiyon Amoxicillin sodium / clavulanic acid 100/10 mg/ml
Enjeksiyon Aminophylline 25 mg/ml
3824
Acil yağış uyumsuz
Enjeksiyon Amoxicillin sodium / clavulanic acid 10 mg/ml
Enjeksiyon Amiodarone hydrochloride 12.5 mg/ml
2139
Renk değişimi uyumsuz
Enjeksiyon Amoxicillin sodium / clavulanic acid 100/10 mg/ml
Enjeksiyon Amiodarone hydrochloride 50 mg/ml
3824
Uyumlu
Enjeksiyon Amoxicillin sodium / clavulanic acid 100/10 mg/ml
Enjeksiyon Amphotericin B liposomale 2 mg/ml
3824
Uyumlu
Enjeksiyon Amoxicillin sodium / clavulanic acid 100/10 mg/ml
Enjeksiyon Ampicillin sodium 100 mg/ml
3824
Uyumlu
Enjeksiyon Amoxicillin sodium / clavulanic acid 100/10 mg/ml
Enjeksiyon Atropine sulfate 0,4 mg/ml
3824
Uyumlu
Enjeksiyon Amoxicillin sodium / clavulanic acid 100/10 mg/ml
Enjeksiyon Azithromycine 100 mg/ml
3824
Uyumlu
Enjeksiyon Amoxicillin sodium / clavulanic acid 100/10 mg/ml
Enjeksiyon Calcium chloride 100 mg/ml
3824
Uyumlu
Enjeksiyon Amoxicillin sodium / clavulanic acid 100/10 mg/ml
Enjeksiyon Calcium gluconate 100 mg/ml
3824
Uyumlu
Enjeksiyon Amoxicillin sodium / clavulanic acid 100/10 mg/ml
Enjeksiyon Cefazolin sodium 100 mg/ml
3824
Uyumlu
Enjeksiyon Amoxicillin sodium / clavulanic acid 100/10 mg/ml
Enjeksiyon Cefotaxime sodium 100 mg/ml
3824
Uyumlu
Enjeksiyon Amoxicillin sodium / clavulanic acid 100/10 mg/ml
Enjeksiyon Cefoxitin sodium 100 mg/ml
3824
Uyumlu
Enjeksiyon Amoxicillin sodium / clavulanic acid 100/10 mg/ml
Enjeksiyon Ceftazidime 100 mg/ml
3824
Uyumlu
Enjeksiyon Amoxicillin sodium / clavulanic acid 100/10 mg/ml
Enjeksiyon Ceftriaxone disodium 100 mg/ml
3824
Anında bulanıklık uyumsuz
Enjeksiyon Amoxicillin sodium / clavulanic acid 100/10 mg/ml
Enjeksiyon Ciclosporin 50 mg/ml
3824
Acil yağış uyumsuz
Enjeksiyon Amoxicillin sodium / clavulanic acid 12 mg/ml
Enjeksiyon Ciprofloxacin lactate 2 mg/ml
Yok 1357
Belirtilmemiş uyumsuzluk uyumsuz
Enjeksiyon Amoxicillin sodium / clavulanic acid
Enjeksiyon Ciprofloxacin lactate
3529
Uyumlu
Enjeksiyon Amoxicillin sodium / clavulanic acid 100/10 mg/ml
Enjeksiyon Ciprofloxacin lactate 2 mg/ml
3824
Uyumlu
Enjeksiyon Amoxicillin sodium / clavulanic acid 100/10 mg/ml
Enjeksiyon Cloxacillin sodium 100 mg/ml
3824
Uyumlu
Enjeksiyon Amoxicillin sodium / clavulanic acid 100/10 mg/ml
Enjeksiyon Co-trimoxazole 16/80 mg/ml
3824
Uyumlu
Enjeksiyon Amoxicillin sodium / clavulanic acid
Enjeksiyon Daunorubicin/cytarabine liposomale 0,4 mg/mL
Sodyum klorür % 0,9 4654
1 saat sonra renk değişimi uyumsuz
Enjeksiyon Amoxicillin sodium / clavulanic acid 50/10 mg/ml
Parenteral beslenme (ikili karışım) 3948
Bir saat içinde bulanıklık uyumsuz
Enjeksiyon Amoxicillin sodium / clavulanic acid 100/10 mg/ml
Enjeksiyon Clindamycin phosphate 150 mg/ml
3824
Belirtilmemiş uyumsuzluk uyumsuz
Enjeksiyon Amoxicillin sodium / clavulanic acid
Parenteral beslenme (ikili karışım) 3545
Uyumlu
Enjeksiyon Amoxicillin sodium / clavulanic acid 100/10 mg/ml
Enjeksiyon Cefuroxime sodium 100 mg/ml
3824
Uyumlu
Enjeksiyon Amoxicillin sodium / clavulanic acid 100/10 mg/ml
Enjeksiyon Dexamethasone sodium phosphate 4 mg/ml
3824
Belirtilmemiş uyumsuzluk uyumsuz
Enjeksiyon Amoxicillin sodium / clavulanic acid
Enjeksiyon Dexamethasone sodium phosphate
3545
Uyumlu
Enjeksiyon Amoxicillin sodium / clavulanic acid 100/10 mg/ml
Enjeksiyon Dexmedetomidine 100 µg/ml
3824
Uyumlu
Enjeksiyon Amoxicillin sodium / clavulanic acid 100/10 mg/ml
Enjeksiyon Diazepam 5 mg/ml
3824
Uyumlu
Enjeksiyon Amoxicillin sodium / clavulanic acid 100/10 mg/ml
Enjeksiyon Digoxin 250 µg/ml
3824
Uyumlu
Enjeksiyon Amoxicillin sodium / clavulanic acid 100/10 mg/ml
Enjeksiyon Dimenhydrinate 10 mg/ml
3824
Renk değişimi uyumsuz
Enjeksiyon Amoxicillin sodium / clavulanic acid 100/10 mg/ml
Enjeksiyon Diphenhydramine hydrochloride 50 mg/ml
3824
Acil yağış uyumsuz
Enjeksiyon Amoxicillin sodium / clavulanic acid 100/10 mg/ml
Enjeksiyon Dobutamine hydrochloride 12,5 mg/ml
3824
Uyumlu
Enjeksiyon Amoxicillin sodium / clavulanic acid 100/10 mg/ml
Enjeksiyon Dopamine hydrochloride 3,2 mg/ml
3824
Uyumlu
Enjeksiyon Amoxicillin sodium / clavulanic acid 100/10 mg/ml
Enjeksiyon Enalaprilate 1,25 mg/ml
3824
Uyumlu
Enjeksiyon Amoxicillin sodium / clavulanic acid 100/10 mg/ml
Enjeksiyon Epinephrine hydrochloride 1000 µg/ml
3824
Uyumlu
Enjeksiyon Amoxicillin sodium / clavulanic acid 100/10 mg/ml
Enjeksiyon Ertapenem 100 mg/ml
3824
Acil yağış uyumsuz
Enjeksiyon Amoxicillin sodium / clavulanic acid 100/10 mg/ml
Enjeksiyon Erythromycin lactobionate 50 mg/ml
3824
Belirtilmemiş uyumsuzluk uyumsuz
Enjeksiyon Amoxicillin sodium / clavulanic acid
Enjeksiyon Erythromycin lactobionate
3674
Uyumlu
Enjeksiyon Amoxicillin sodium / clavulanic acid 100/10 mg/ml
Enjeksiyon Esmolol hydrochloride 10 mg/ml
3824
Uyumlu
Enjeksiyon Amoxicillin sodium / clavulanic acid 100/10 mg/ml
Enjeksiyon Famotidine 10 mg/ml
3824
Uyumlu
Enjeksiyon Amoxicillin sodium / clavulanic acid 100/10 mg/ml
Enjeksiyon Fentanyl citrate 50 µg/ml
3824
Uyumlu
Enjeksiyon Amoxicillin sodium / clavulanic acid 100/10 mg/ml
Enjeksiyon Fluconazole 2 mg/ml
3824
Uyumlu
Enjeksiyon Amoxicillin sodium / clavulanic acid 100/10 mg/ml
Enjeksiyon Furosemide 10 mg/ml
3824
Belirtilmemiş uyumsuzluk uyumsuz
Enjeksiyon Amoxicillin sodium / clavulanic acid
Enjeksiyon Gentamicin sulfate
3643
Belirtilmemiş uyumsuzluk uyumsuz
Enjeksiyon Amoxicillin sodium / clavulanic acid
Enjeksiyon Gentamicin sulfate
3545
Belirtilmemiş uyumsuzluk uyumsuz
Enjeksiyon Amoxicillin sodium / clavulanic acid
Enjeksiyon Gentamicin sulfate
3520
Uyumlu
Enjeksiyon Amoxicillin sodium / clavulanic acid 100/10 mg/ml
Enjeksiyon Gentamicin sulfate 40 mg/ml
3824
Uyumlu
Enjeksiyon Amoxicillin sodium / clavulanic acid 100/10 mg/ml
Enjeksiyon Granisetron hydrochloride 1 mg/ml
3824
Acil yağış uyumsuz
Enjeksiyon Amoxicillin sodium / clavulanic acid 100/10 mg/ml
Enjeksiyon Haloperidol lactate 5 mg/ml
3824
Uyumlu
Enjeksiyon Amoxicillin sodium / clavulanic acid 100/10 mg/ml
Enjeksiyon Heparin sodium 1000 UI/ml
3824
uyumsuz
Enjeksiyon Amoxicillin sodium / clavulanic acid 100/10 mg/ml
Enjeksiyon Human albumin 250 mg/ml
3824
Belirtilmemiş uyumsuzluk uyumsuz
Enjeksiyon Amoxicillin sodium / clavulanic acid
Enjeksiyon Hydrocortisone sodium succinate
3545
Uyumlu
Enjeksiyon Amoxicillin sodium / clavulanic acid 100/10 mg/ml
Enjeksiyon Hydrocortisone sodium succinate 50 mg/ml
3824
Uyumlu
Enjeksiyon Amoxicillin sodium / clavulanic acid 100/10 mg/ml
Enjeksiyon Hydromorphone hydrochloride 10 mg/ml
3824
Acil yağış uyumsuz
Enjeksiyon Amoxicillin sodium / clavulanic acid 100/10 mg/ml
Enjeksiyon Imipenem - cilastatin sodium 50 mg/ml
3824
Uyumlu
Enjeksiyon Amoxicillin sodium / clavulanic acid 100/10 mg/ml
Enjeksiyon Insulin 100 UI/ml
3824
Belirtilmemiş uyumsuzluk uyumsuz
Enjeksiyon Amoxicillin sodium / clavulanic acid
Enjeksiyon Kanamycin sulfate
3545
Acil yağış uyumsuz
Enjeksiyon Amoxicillin sodium / clavulanic acid 100/10 mg/ml
Enjeksiyon Ketamine hydrochloride 50 mg/ml
3824
Uyumlu
Enjeksiyon Amoxicillin sodium / clavulanic acid 100/10 mg/ml
Enjeksiyon L-carnitine 200 mg/ml
3824
Uyumlu
Enjeksiyon Amoxicillin sodium / clavulanic acid 100/10 mg/ml
Enjeksiyon Labetalol hydrochloride 5 mg/ml
3824
Uyumlu
Enjeksiyon Amoxicillin sodium / clavulanic acid 100/10 mg/ml
Enjeksiyon Levofloxacine 5 mg/ml
3824
Uyumlu
Enjeksiyon Amoxicillin sodium / clavulanic acid 100/10 mg/ml
Enjeksiyon Lidocaine hydrochloride 1 mg/ml
3824
Uyumlu
Enjeksiyon Amoxicillin sodium / clavulanic acid 100/10 mg/ml
Enjeksiyon Linezolid 2 mg/ml
3824
Uyumlu
Enjeksiyon Amoxicillin sodium / clavulanic acid 100/10 mg/ml
Enjeksiyon Lorazepam 4 mg/ml
3824
Uyumlu
Enjeksiyon Amoxicillin sodium / clavulanic acid 20/2 mg/ml
Enjeksiyon Lorazepam 0.33 mg/ml
Sodyum klorür % 0,9 186
Uyumlu
Enjeksiyon Amoxicillin sodium / clavulanic acid 100/10 mg/ml
Enjeksiyon Magnesium sulfate 500 mg/ml
3824
Belirtilmemiş uyumsuzluk uyumsuz
Enjeksiyon Amoxicillin sodium / clavulanic acid
Enjeksiyon Mannitol
3545
Uyumlu
Enjeksiyon Amoxicillin sodium / clavulanic acid 100/10 mg/ml
Enjeksiyon Mannitol 250 mg/ml
3824
Uyumlu
Enjeksiyon Amoxicillin sodium / clavulanic acid 100/10 mg/ml
Enjeksiyon Meropenem 50 mg/ml
3824
Belirtilmemiş uyumsuzluk uyumsuz
Enjeksiyon Amoxicillin sodium / clavulanic acid
Enjeksiyon Methylprednisolone acetate
3545
Belirtilmemiş uyumsuzluk uyumsuz
Enjeksiyon Amoxicillin sodium / clavulanic acid
Enjeksiyon Methylprednisolone sodium succinate
3545
uyumsuz
Enjeksiyon Amoxicillin sodium / clavulanic acid 100/10 mg/ml
Enjeksiyon Methylprednisolone sodium succinate 125 mg/ml
3824
Uyumlu
Enjeksiyon Amoxicillin sodium / clavulanic acid 100/10 mg/ml
Enjeksiyon Metoclopramide hydrochloride 5 mg/ml
3824
Uyumlu
Enjeksiyon Amoxicillin sodium / clavulanic acid 100/10 mg/ml
Enjeksiyon Metronidazole 5 mg/ml
3824
Uyumlu
Enjeksiyon Amoxicillin sodium / clavulanic acid 100/10 mg/ml
Enjeksiyon Micafungin 20 mg/ml
3824
Renk değişimi uyumsuz
Enjeksiyon Amoxicillin sodium / clavulanic acid 100/10 mg/ml
Enjeksiyon Midazolam hydrochloride 5 mg/ml
3824
Acil yağış uyumsuz
Enjeksiyon Amoxicillin sodium / clavulanic acid 20/2 mg/ml
Enjeksiyon Midazolam hydrochloride 5 mg/ml
Yok 186
Uyumlu
Enjeksiyon Amoxicillin sodium / clavulanic acid 100/10 mg/ml
Enjeksiyon Milrinone lactate 1 mg/ml
3824
Uyumlu
Enjeksiyon Amoxicillin sodium / clavulanic acid 100/10 mg/ml
Enjeksiyon Morphine sulfate 50 mg/ml
3824
Uyumlu
Enjeksiyon Amoxicillin sodium / clavulanic acid 100/10 mg/ml
Enjeksiyon N-acetylcysteine 200 mg/ml
3824
Uyumlu
Enjeksiyon Amoxicillin sodium / clavulanic acid 100/10 mg/ml
Enjeksiyon Naloxone hydrochloride 0,4 mg/ml
3824
Belirtilmemiş uyumsuzluk uyumsuz
Enjeksiyon Amoxicillin sodium / clavulanic acid
Enjeksiyon Netilmicin sulfate
3545
Renk değişimi uyumsuz
Enjeksiyon Amoxicillin sodium / clavulanic acid 100/10 mg/ml
Enjeksiyon Nicardipine hydrochloride 1 mg/ml
3824
Bir saat içinde bulanıklık uyumsuz
Enjeksiyon Amoxicillin sodium / clavulanic acid 100/10 mg/ml
Enjeksiyon Nitroglycerin 5 mg/ml
3824
Uyumlu
Enjeksiyon Amoxicillin sodium / clavulanic acid 100/10 mg/ml
Enjeksiyon Norepinephrine bitartrate 1 mg/ml
3824
Uyumlu
Enjeksiyon Amoxicillin sodium / clavulanic acid 100/10 mg/ml
Enjeksiyon Octreotide acetate 0.5 mg/ml
3824
Uyumlu
Enjeksiyon Amoxicillin sodium / clavulanic acid 12 mg/ml
Enjeksiyon Ofloxacin 2 mg/ml
Yok 889
Acil yağış uyumsuz
Enjeksiyon Amoxicillin sodium / clavulanic acid 100/10 mg/ml
Enjeksiyon Ondansetron hydrochloride 2 mg/ml
3824
Uyumlu
Enjeksiyon Amoxicillin sodium / clavulanic acid 100/10 mg/ml
Enjeksiyon Oxytocin 10 UI/ml
3824
Uyumlu
Enjeksiyon Amoxicillin sodium / clavulanic acid 100/10 mg/ml
Enjeksiyon Pantoprazole sodium 4 mg/ml
3824
Uyumlu
Enjeksiyon Amoxicillin sodium / clavulanic acid 100/10 mg/ml
Enjeksiyon Paracetamol 10 mg/ml
3824
Belirtilmemiş uyumsuzluk uyumsuz
Enjeksiyon Amoxicillin sodium / clavulanic acid
Enjeksiyon Phenylephrine hydrochloride
3545
Uyumlu
Enjeksiyon Amoxicillin sodium / clavulanic acid 100/10 mg/ml
Enjeksiyon Phenylephrine hydrochloride 0,01 mg/ml
3824
Acil yağış uyumsuz
Enjeksiyon Amoxicillin sodium / clavulanic acid 100/10 mg/ml
Enjeksiyon Phenytoin sodium 50 mg/ml
3824
Kimyasal kararsızlık uyumsuz
Enjeksiyon Amoxicillin sodium / clavulanic acid 10 mg/ml
Enjeksiyon Phloroglucinol 2,5 mg/ml
3791
Uyumlu
Enjeksiyon Amoxicillin sodium / clavulanic acid 100/10 mg/ml
Enjeksiyon Piperacillin sodium / tazobactam 100 mg/ml
3824
Uyumlu
Enjeksiyon Amoxicillin sodium / clavulanic acid 100/10 mg/ml
Enjeksiyon Potassium chloride 2 mEq/l
3824
Uyumlu
Enjeksiyon Amoxicillin sodium / clavulanic acid 100/10 mg/ml
Enjeksiyon Potassium phosphate 3 mmol/ml
3824
Uyumlu
Enjeksiyon Amoxicillin sodium / clavulanic acid 60 mg/ml
Enjeksiyon Propofol
4524
Uyumlu
Enjeksiyon Amoxicillin sodium / clavulanic acid 100/10 mg/ml
Enjeksiyon Rocuronium bromide 10 mg/ml
3824
Uyumlu
Enjeksiyon Amoxicillin sodium / clavulanic acid 100/10 mg/ml
Enjeksiyon Salbutamol sulfate 1 mg/ml
3824
Uyumlu
Enjeksiyon Amoxicillin sodium / clavulanic acid 100/10 mg/ml
Enjeksiyon Sodium bicarbonate 84 mg/ml
3824
Belirtilmemiş uyumsuzluk uyumsuz
Enjeksiyon Amoxicillin sodium / clavulanic acid
Enjeksiyon Sodium bicarbonate
3545
Uyumlu
Enjeksiyon Amoxicillin sodium / clavulanic acid 100/10 mg/ml
Enjeksiyon Sufentanil citrate 0,05 mg/ml
3824
Kimyasal kararsızlık uyumsuz
Enjeksiyon Amoxicillin sodium / clavulanic acid 20 mg/ml
Enjeksiyon Temocilline 83.33 mg/ml
Enjeksiyonluk su 2231
Belirtilmemiş uyumsuzluk uyumsuz
Enjeksiyon Amoxicillin sodium / clavulanic acid
Enjeksiyon Temocilline
4470
Uyumlu
Enjeksiyon Amoxicillin sodium / clavulanic acid 100/10 mg/ml
Enjeksiyon Thiamine hydrochloride 100 mg/ml
3824
Uyumlu
Enjeksiyon Amoxicillin sodium / clavulanic acid 100/10 mg/ml
Enjeksiyon Tobramycin sulfate 40 mg/ml
3824
Belirtilmemiş uyumsuzluk uyumsuz
Enjeksiyon Amoxicillin sodium / clavulanic acid
Enjeksiyon Tobramycin sulfate
3545
Uyumlu
Enjeksiyon Amoxicillin sodium / clavulanic acid 100/10 mg/ml
Enjeksiyon Tranexamic acid 100 mg/ml
3824
Uyumlu
Enjeksiyon Amoxicillin sodium / clavulanic acid 100/10 mg/ml
Enjeksiyon Vancomycin hydrochloride 50 mg/ml
3824
Anında bulanıklık uyumsuz
Enjeksiyon Amoxicillin sodium / clavulanic acid 100/10 mg/ml
Enjeksiyon Verapamil hydrochloride 10 mg/ml
3824
Uyumlu
Enjeksiyon Amoxicillin sodium / clavulanic acid 100/10 mg/ml
Enjeksiyon Voriconazole 10 mg/ml
3824
Uyumlu
Enjeksiyon Amoxicillin sodium / clavulanic acid 100/10 mg/ml
Enjeksiyon Zidovudine 10 mg/ml
3824
Belirtilmemiş uyumsuzluk uyumsuz
Enjeksiyon Amoxicillin sodium / clavulanic acid
NaHCO3 3545

  Mentions Légales