Última actualização :
17/12/2025
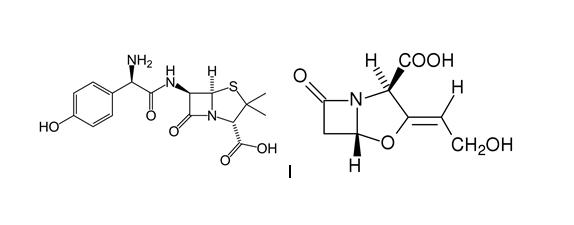
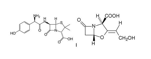
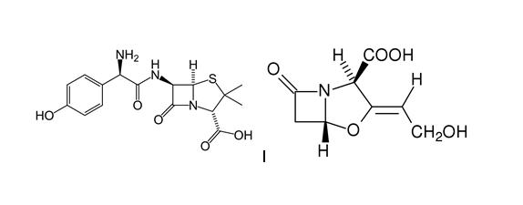
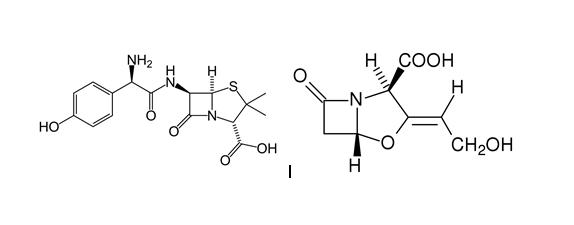
antibiótico   Amoxicillin sodium / clavulanic acid  
injetável
Solução Oral
Estabilidade em soluções simples Estabilidade em misturas Factores que afectam a sua estabilidade Compatibilidade Método de administração Bibliografía pdf
   estrutura química  

Nomes comerciais nos diversos países   Nomes comerciais nos diversos países     

OS NOMES COMERCIAIS SÃO INDICATIVOS E OS EXCIPIENTES DA FORMULAÇÃO PODEM SER DIFERENTES CONFORME O PAÍS E FABRICANTE.

Aktil Hungria
Amoclan Arábia Saudita
Amoklavin Turquia
Amoksiklav Polonia
Amoxclav Arábia Saudita
Amplamox Brasil
Augmentin Arábia Saudita, Austria, Bélgica, Chilli, Emirados Árabes Unidos, Equator, Espanha, França, Gran-bretanha, Grècia, Itália, Países Baixos, Polonia, Suicia, Turquia
Betamox Portugal
Clavamox Austria
Clavicin Malásia, Venezuela
Clavulin Brasil
Co-amoxi Suicia
Co-Amoxicillin Suicia
Curam Arábia Saudita, nova Zelândia
Darzitil Argentina
Dibional Argentina
Julmentin Emirados Árabes Unidos
Novamox Brasil
Sulbamox Chilli
Tarometin Polonia
Trifamox Argentina, Colômbia, Equator, México
Compatibilidade   injetável   Compatibilidade : Amoxicillin sodium / clavulanic acid              
Este ecrã indica as compatibilidades ou incompatibilidades com, neste caso, o tipo de incompatibilidade (precipitação, mudança de cor, modificação de uma emulsão, etc.). As compatibilidades mostradas aqui são principalmente físicas, com a estabilidade química de cada molécula raramente sendo avaliada. A avaliação dessas misturas foi estudada para considerar a possibilidade de administração do local Y ao paciente. Estes dados não podem ser usados para fazer misturas antecipadamente em sacos ou seringas. Este tipo de informação está disponível na tela “Estabilidade na mistura».
molécula Solvente Bibliografia
Instabilidade química Incompatível
injetável Amoxicillin sodium / clavulanic acid
injetável Amikacin sulfate
3549
Incompatibilidade não especificada Incompatível
injetável Amoxicillin sodium / clavulanic acid
Nutrição parenteral (com lípidos) 3545
Precipitação imediata Incompatível
injetável Amoxicillin sodium / clavulanic acid 100/10 mg/ml
injetável Aciclovir sodium 50 mg/ml
3824
Compatível
injetável Amoxicillin sodium / clavulanic acid
cloreto de sódio 0,9% 3545
Incompatibilidade não especificada Incompatível
injetável Amoxicillin sodium / clavulanic acid
Glucose 5% 3545
Compatível
injetável Amoxicillin sodium / clavulanic acid 100/10 mg/ml
injetável Amikacin sulfate 250 mg/ml
3824
Incompatibilidade não especificada Incompatível
injetável Amoxicillin sodium / clavulanic acid
injetável Amikacin sulfate
3545
Mudança de cor após 1 hora Incompatível
injetável Amoxicillin sodium / clavulanic acid 50/10 mg/ml
Nutrição parenteral (com lípidos) 3948
Compatível
injetável Amoxicillin sodium / clavulanic acid 100/10 mg/ml
injetável Aminophylline 25 mg/ml
3824
Precipitação imediata Incompatível
injetável Amoxicillin sodium / clavulanic acid 10 mg/ml
injetável Amiodarone hydrochloride 12.5 mg/ml
2139
Mudança de cor Incompatível
injetável Amoxicillin sodium / clavulanic acid 100/10 mg/ml
injetável Amiodarone hydrochloride 50 mg/ml
3824
Compatível
injetável Amoxicillin sodium / clavulanic acid 100/10 mg/ml
injetável Amphotericin B liposomale 2 mg/ml
3824
Compatível
injetável Amoxicillin sodium / clavulanic acid 100/10 mg/ml
injetável Ampicillin sodium 100 mg/ml
3824
Compatível
injetável Amoxicillin sodium / clavulanic acid 100/10 mg/ml
injetável Atropine sulfate 0,4 mg/ml
3824
Compatível
injetável Amoxicillin sodium / clavulanic acid 100/10 mg/ml
injetável Azithromycine 100 mg/ml
3824
Compatível
injetável Amoxicillin sodium / clavulanic acid 100/10 mg/ml
injetável Calcium chloride 100 mg/ml
3824
Compatível
injetável Amoxicillin sodium / clavulanic acid 100/10 mg/ml
injetável Calcium gluconate 100 mg/ml
3824
Compatível
injetável Amoxicillin sodium / clavulanic acid 100/10 mg/ml
injetável Cefazolin sodium 100 mg/ml
3824
Compatível
injetável Amoxicillin sodium / clavulanic acid 100/10 mg/ml
injetável Cefotaxime sodium 100 mg/ml
3824
Compatível
injetável Amoxicillin sodium / clavulanic acid 100/10 mg/ml
injetável Cefoxitin sodium 100 mg/ml
3824
Compatível
injetável Amoxicillin sodium / clavulanic acid 100/10 mg/ml
injetável Ceftazidime 100 mg/ml
3824
Compatível
injetável Amoxicillin sodium / clavulanic acid 100/10 mg/ml
injetável Ceftriaxone disodium 100 mg/ml
3824
Turvação imediata Incompatível
injetável Amoxicillin sodium / clavulanic acid 100/10 mg/ml
injetável Ciclosporin 50 mg/ml
3824
Precipitação imediata Incompatível
injetável Amoxicillin sodium / clavulanic acid 12 mg/ml
injetável Ciprofloxacin lactate 2 mg/ml
nenhum 1357
Incompatibilidade não especificada Incompatível
injetável Amoxicillin sodium / clavulanic acid
injetável Ciprofloxacin lactate
3529
Compatível
injetável Amoxicillin sodium / clavulanic acid 100/10 mg/ml
injetável Ciprofloxacin lactate 2 mg/ml
3824
Compatível
injetável Amoxicillin sodium / clavulanic acid 100/10 mg/ml
injetável Cloxacillin sodium 100 mg/ml
3824
Compatível
injetável Amoxicillin sodium / clavulanic acid 100/10 mg/ml
injetável Co-trimoxazole 16/80 mg/ml
3824
Compatível
injetável Amoxicillin sodium / clavulanic acid
injetável Daunorubicin/cytarabine liposomale 0,4 mg/mL
cloreto de sódio 0,9% 4654
Mudança de cor após 1 hora Incompatível
injetável Amoxicillin sodium / clavulanic acid 50/10 mg/ml
Nutrição parenterica (mistura binária) 3948
Turbidez em uma hora Incompatível
injetável Amoxicillin sodium / clavulanic acid 100/10 mg/ml
injetável Clindamycin phosphate 150 mg/ml
3824
Incompatibilidade não especificada Incompatível
injetável Amoxicillin sodium / clavulanic acid
Nutrição parenterica (mistura binária) 3545
Compatível
injetável Amoxicillin sodium / clavulanic acid 100/10 mg/ml
injetável Cefuroxime sodium 100 mg/ml
3824
Compatível
injetável Amoxicillin sodium / clavulanic acid 100/10 mg/ml
injetável Dexamethasone sodium phosphate 4 mg/ml
3824
Incompatibilidade não especificada Incompatível
injetável Amoxicillin sodium / clavulanic acid
injetável Dexamethasone sodium phosphate
3545
Compatível
injetável Amoxicillin sodium / clavulanic acid 100/10 mg/ml
injetável Dexmedetomidine 100 µg/ml
3824
Compatível
injetável Amoxicillin sodium / clavulanic acid 100/10 mg/ml
injetável Diazepam 5 mg/ml
3824
Compatível
injetável Amoxicillin sodium / clavulanic acid 100/10 mg/ml
injetável Digoxin 250 µg/ml
3824
Compatível
injetável Amoxicillin sodium / clavulanic acid 100/10 mg/ml
injetável Dimenhydrinate 10 mg/ml
3824
Mudança de cor Incompatível
injetável Amoxicillin sodium / clavulanic acid 100/10 mg/ml
injetável Diphenhydramine hydrochloride 50 mg/ml
3824
Precipitação imediata Incompatível
injetável Amoxicillin sodium / clavulanic acid 100/10 mg/ml
injetável Dobutamine hydrochloride 12,5 mg/ml
3824
Compatível
injetável Amoxicillin sodium / clavulanic acid 100/10 mg/ml
injetável Dopamine hydrochloride 3,2 mg/ml
3824
Compatível
injetável Amoxicillin sodium / clavulanic acid 100/10 mg/ml
injetável Enalaprilate 1,25 mg/ml
3824
Compatível
injetável Amoxicillin sodium / clavulanic acid 100/10 mg/ml
injetável Epinephrine hydrochloride 1000 µg/ml
3824
Compatível
injetável Amoxicillin sodium / clavulanic acid 100/10 mg/ml
injetável Ertapenem 100 mg/ml
3824
Precipitação imediata Incompatível
injetável Amoxicillin sodium / clavulanic acid 100/10 mg/ml
injetável Erythromycin lactobionate 50 mg/ml
3824
Incompatibilidade não especificada Incompatível
injetável Amoxicillin sodium / clavulanic acid
injetável Erythromycin lactobionate
3674
Compatível
injetável Amoxicillin sodium / clavulanic acid 100/10 mg/ml
injetável Esmolol hydrochloride 10 mg/ml
3824
Compatível
injetável Amoxicillin sodium / clavulanic acid 100/10 mg/ml
injetável Famotidine 10 mg/ml
3824
Compatível
injetável Amoxicillin sodium / clavulanic acid 100/10 mg/ml
injetável Fentanyl citrate 50 µg/ml
3824
Compatível
injetável Amoxicillin sodium / clavulanic acid 100/10 mg/ml
injetável Fluconazole 2 mg/ml
3824
Compatível
injetável Amoxicillin sodium / clavulanic acid 100/10 mg/ml
injetável Furosemide 10 mg/ml
3824
Incompatibilidade não especificada Incompatível
injetável Amoxicillin sodium / clavulanic acid
injetável Gentamicin sulfate
3643
Incompatibilidade não especificada Incompatível
injetável Amoxicillin sodium / clavulanic acid
injetável Gentamicin sulfate
3545
Incompatibilidade não especificada Incompatível
injetável Amoxicillin sodium / clavulanic acid
injetável Gentamicin sulfate
3520
Compatível
injetável Amoxicillin sodium / clavulanic acid 100/10 mg/ml
injetável Gentamicin sulfate 40 mg/ml
3824
Compatível
injetável Amoxicillin sodium / clavulanic acid 100/10 mg/ml
injetável Granisetron hydrochloride 1 mg/ml
3824
Precipitação imediata Incompatível
injetável Amoxicillin sodium / clavulanic acid 100/10 mg/ml
injetável Haloperidol lactate 5 mg/ml
3824
Compatível
injetável Amoxicillin sodium / clavulanic acid 100/10 mg/ml
injetável Heparin sodium 1000 UI/ml
3824
Incompatível
injetável Amoxicillin sodium / clavulanic acid 100/10 mg/ml
injetável Human albumin 250 mg/ml
3824
Incompatibilidade não especificada Incompatível
injetável Amoxicillin sodium / clavulanic acid
injetável Hydrocortisone sodium succinate
3545
Compatível
injetável Amoxicillin sodium / clavulanic acid 100/10 mg/ml
injetável Hydrocortisone sodium succinate 50 mg/ml
3824
Compatível
injetável Amoxicillin sodium / clavulanic acid 100/10 mg/ml
injetável Hydromorphone hydrochloride 10 mg/ml
3824
Precipitação imediata Incompatível
injetável Amoxicillin sodium / clavulanic acid 100/10 mg/ml
injetável Imipenem - cilastatin sodium 50 mg/ml
3824
Compatível
injetável Amoxicillin sodium / clavulanic acid 100/10 mg/ml
injetável Insulin 100 UI/ml
3824
Incompatibilidade não especificada Incompatível
injetável Amoxicillin sodium / clavulanic acid
injetável Kanamycin sulfate
3545
Precipitação imediata Incompatível
injetável Amoxicillin sodium / clavulanic acid 100/10 mg/ml
injetável Ketamine hydrochloride 50 mg/ml
3824
Compatível
injetável Amoxicillin sodium / clavulanic acid 100/10 mg/ml
injetável L-carnitine 200 mg/ml
3824
Compatível
injetável Amoxicillin sodium / clavulanic acid 100/10 mg/ml
injetável Labetalol hydrochloride 5 mg/ml
3824
Compatível
injetável Amoxicillin sodium / clavulanic acid 100/10 mg/ml
injetável Levofloxacine 5 mg/ml
3824
Compatível
injetável Amoxicillin sodium / clavulanic acid 100/10 mg/ml
injetável Lidocaine hydrochloride 1 mg/ml
3824
Compatível
injetável Amoxicillin sodium / clavulanic acid 100/10 mg/ml
injetável Linezolid 2 mg/ml
3824
Compatível
injetável Amoxicillin sodium / clavulanic acid 100/10 mg/ml
injetável Lorazepam 4 mg/ml
3824
Compatível
injetável Amoxicillin sodium / clavulanic acid 20/2 mg/ml
injetável Lorazepam 0.33 mg/ml
cloreto de sódio 0,9% 186
Compatível
injetável Amoxicillin sodium / clavulanic acid 100/10 mg/ml
injetável Magnesium sulfate 500 mg/ml
3824
Incompatibilidade não especificada Incompatível
injetável Amoxicillin sodium / clavulanic acid
injetável Mannitol
3545
Compatível
injetável Amoxicillin sodium / clavulanic acid 100/10 mg/ml
injetável Mannitol 250 mg/ml
3824
Compatível
injetável Amoxicillin sodium / clavulanic acid 100/10 mg/ml
injetável Meropenem 50 mg/ml
3824
Incompatibilidade não especificada Incompatível
injetável Amoxicillin sodium / clavulanic acid
injetável Methylprednisolone acetate
3545
Incompatibilidade não especificada Incompatível
injetável Amoxicillin sodium / clavulanic acid
injetável Methylprednisolone sodium succinate
3545
Incompatível
injetável Amoxicillin sodium / clavulanic acid 100/10 mg/ml
injetável Methylprednisolone sodium succinate 125 mg/ml
3824
Compatível
injetável Amoxicillin sodium / clavulanic acid 100/10 mg/ml
injetável Metoclopramide hydrochloride 5 mg/ml
3824
Compatível
injetável Amoxicillin sodium / clavulanic acid 100/10 mg/ml
injetável Metronidazole 5 mg/ml
3824
Compatível
injetável Amoxicillin sodium / clavulanic acid 100/10 mg/ml
injetável Micafungin 20 mg/ml
3824
Mudança de cor Incompatível
injetável Amoxicillin sodium / clavulanic acid 100/10 mg/ml
injetável Midazolam hydrochloride 5 mg/ml
3824
Precipitação imediata Incompatível
injetável Amoxicillin sodium / clavulanic acid 20/2 mg/ml
injetável Midazolam hydrochloride 5 mg/ml
nenhum 186
Compatível
injetável Amoxicillin sodium / clavulanic acid 100/10 mg/ml
injetável Milrinone lactate 1 mg/ml
3824
Compatível
injetável Amoxicillin sodium / clavulanic acid 100/10 mg/ml
injetável Morphine sulfate 50 mg/ml
3824
Compatível
injetável Amoxicillin sodium / clavulanic acid 100/10 mg/ml
injetável N-acetylcysteine 200 mg/ml
3824
Compatível
injetável Amoxicillin sodium / clavulanic acid 100/10 mg/ml
injetável Naloxone hydrochloride 0,4 mg/ml
3824
Incompatibilidade não especificada Incompatível
injetável Amoxicillin sodium / clavulanic acid
injetável Netilmicin sulfate
3545
Mudança de cor Incompatível
injetável Amoxicillin sodium / clavulanic acid 100/10 mg/ml
injetável Nicardipine hydrochloride 1 mg/ml
3824
Turbidez em uma hora Incompatível
injetável Amoxicillin sodium / clavulanic acid 100/10 mg/ml
injetável Nitroglycerin 5 mg/ml
3824
Compatível
injetável Amoxicillin sodium / clavulanic acid 100/10 mg/ml
injetável Norepinephrine bitartrate 1 mg/ml
3824
Compatível
injetável Amoxicillin sodium / clavulanic acid 100/10 mg/ml
injetável Octreotide acetate 0.5 mg/ml
3824
Compatível
injetável Amoxicillin sodium / clavulanic acid 12 mg/ml
injetável Ofloxacin 2 mg/ml
nenhum 889
Precipitação imediata Incompatível
injetável Amoxicillin sodium / clavulanic acid 100/10 mg/ml
injetável Ondansetron hydrochloride 2 mg/ml
3824
Compatível
injetável Amoxicillin sodium / clavulanic acid 100/10 mg/ml
injetável Oxytocin 10 UI/ml
3824
Compatível
injetável Amoxicillin sodium / clavulanic acid 100/10 mg/ml
injetável Pantoprazole sodium 4 mg/ml
3824
Compatível
injetável Amoxicillin sodium / clavulanic acid 100/10 mg/ml
injetável Paracetamol 10 mg/ml
3824
Incompatibilidade não especificada Incompatível
injetável Amoxicillin sodium / clavulanic acid
injetável Phenylephrine hydrochloride
3545
Compatível
injetável Amoxicillin sodium / clavulanic acid 100/10 mg/ml
injetável Phenylephrine hydrochloride 0,01 mg/ml
3824
Precipitação imediata Incompatível
injetável Amoxicillin sodium / clavulanic acid 100/10 mg/ml
injetável Phenytoin sodium 50 mg/ml
3824
Instabilidade química Incompatível
injetável Amoxicillin sodium / clavulanic acid 10 mg/ml
injetável Phloroglucinol 2,5 mg/ml
3791
Compatível
injetável Amoxicillin sodium / clavulanic acid 100/10 mg/ml
injetável Piperacillin sodium / tazobactam 100 mg/ml
3824
Compatível
injetável Amoxicillin sodium / clavulanic acid 100/10 mg/ml
injetável Potassium chloride 2 mEq/l
3824
Compatível
injetável Amoxicillin sodium / clavulanic acid 100/10 mg/ml
injetável Potassium phosphate 3 mmol/ml
3824
Compatível
injetável Amoxicillin sodium / clavulanic acid 60 mg/ml
injetável Propofol
4524
Compatível
injetável Amoxicillin sodium / clavulanic acid 100/10 mg/ml
injetável Rocuronium bromide 10 mg/ml
3824
Compatível
injetável Amoxicillin sodium / clavulanic acid 100/10 mg/ml
injetável Salbutamol sulfate 1 mg/ml
3824
Compatível
injetável Amoxicillin sodium / clavulanic acid 100/10 mg/ml
injetável Sodium bicarbonate 84 mg/ml
3824
Incompatibilidade não especificada Incompatível
injetável Amoxicillin sodium / clavulanic acid
injetável Sodium bicarbonate
3545
Compatível
injetável Amoxicillin sodium / clavulanic acid 100/10 mg/ml
injetável Sufentanil citrate 0,05 mg/ml
3824
Instabilidade química Incompatível
injetável Amoxicillin sodium / clavulanic acid 20 mg/ml
injetável Temocilline 83.33 mg/ml
Agua para injectaveis 2231
Incompatibilidade não especificada Incompatível
injetável Amoxicillin sodium / clavulanic acid
injetável Temocilline
4470
Compatível
injetável Amoxicillin sodium / clavulanic acid 100/10 mg/ml
injetável Thiamine hydrochloride 100 mg/ml
3824
Compatível
injetável Amoxicillin sodium / clavulanic acid 100/10 mg/ml
injetável Tobramycin sulfate 40 mg/ml
3824
Incompatibilidade não especificada Incompatível
injetável Amoxicillin sodium / clavulanic acid
injetável Tobramycin sulfate
3545
Compatível
injetável Amoxicillin sodium / clavulanic acid 100/10 mg/ml
injetável Tranexamic acid 100 mg/ml
3824
Compatível
injetável Amoxicillin sodium / clavulanic acid 100/10 mg/ml
injetável Vancomycin hydrochloride 50 mg/ml
3824
Turvação imediata Incompatível
injetável Amoxicillin sodium / clavulanic acid 100/10 mg/ml
injetável Verapamil hydrochloride 10 mg/ml
3824
Compatível
injetável Amoxicillin sodium / clavulanic acid 100/10 mg/ml
injetável Voriconazole 10 mg/ml
3824
Compatível
injetável Amoxicillin sodium / clavulanic acid 100/10 mg/ml
injetável Zidovudine 10 mg/ml
3824
Incompatibilidade não especificada Incompatível
injetável Amoxicillin sodium / clavulanic acid
NaHCO3 3545

  Mentions Légales