Zadnji put ažurirano :
27/11/2025
antibiotik   Amoxicillin sodium / clavulanic acid  
injekcija
oralna otopina
Stabilizacija rješenja Stabilnost mješavine Stabilizacijski faktor Kompatibilnosti način davanja lijeka Bibliografija pdf
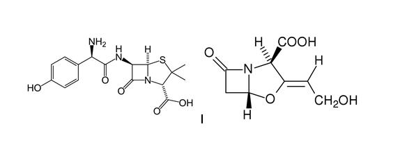
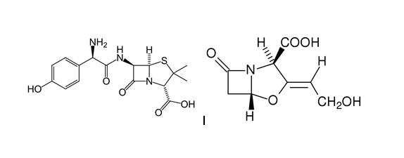
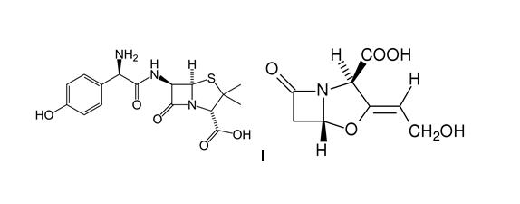
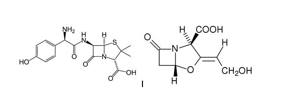
   Kemijska struktura  

Nekomercijalni   Nekomercijalni     

Zaštićeni nazivi su indikativni i sastav ekscipijensa može biti različit ovisno o državi i laboratorijima

Aktil Madžarska
Amoclan Saudijska Arabija
Amoklavin Turska
Amoksiklav Poljska
Amoxclav Saudijska Arabija
Amplamox Brazil
Augmentin Austrija, Belgija, Čile, Ekvador, Francuska, Grčka, Italija, Nizozemska, Poljska, Saudijska Arabija, Španjolska, Švicarska, Turska, Ujedinjeni Arapski Emirati, Velika Britanija
Betamox Portugal
Clavamox Austrija
Clavicin Malezija, Venecuela
Clavulin Brazil
Co-amoxi Švicarska
Co-Amoxicillin Švicarska
Curam novi Zeland, Saudijska Arabija
Darzitil Argentina
Dibional Argentina
Julmentin Ujedinjeni Arapski Emirati
Novamox Brazil
Sulbamox Čile
Tarometin Poljska
Trifamox Argentina, Ekvador, Kolumbija, Meksiko
Kompatibilnosti   injekcija   Kompatibilnosti : Amoxicillin sodium / clavulanic acid              
Ovdje su prikazane kompatibilnosti ili nekompatibilnosti s tipom nekompatibilnosti (taloženje, promjena boje, modifikacija emulzije itd.) u ovom slučaju. Kompatibilnosti prikazane ovdje najčešće su fizikalne dok se kemijska stabilnost molekule rijetko procjenjuje. Procjena ovih mikstura je proučavana kako bi se razmotrila mogućnost primjene lijeka putem Y-mjesta. Ovi se podaci ne smiju koristiti za pripremu mikstura unaprijed u vrećicama ili štrcaljkama. Ova vrsta informacije se može pronaći u odjeljku « stabilnost u miksturama ».
molekula sredstvo za rastapanje Bibliografija
Kemijska nestabilnost inkompatibilan
injekcija Amoxicillin sodium / clavulanic acid
injekcija Amikacin sulfate
3549
Neodređena nespojivost inkompatibilan
injekcija Amoxicillin sodium / clavulanic acid
Parenteralna prehrana (lipidima) 3545
Neposredne oborine inkompatibilan
injekcija Amoxicillin sodium / clavulanic acid 100/10 mg/ml
injekcija Aciclovir sodium 50 mg/ml
3824
Kompatibilan
injekcija Amoxicillin sodium / clavulanic acid
natrijumkorid 0,9% 3545
Neodređena nespojivost inkompatibilan
injekcija Amoxicillin sodium / clavulanic acid
glukoza 5% 3545
Kompatibilan
injekcija Amoxicillin sodium / clavulanic acid 100/10 mg/ml
injekcija Amikacin sulfate 250 mg/ml
3824
Neodređena nespojivost inkompatibilan
injekcija Amoxicillin sodium / clavulanic acid
injekcija Amikacin sulfate
3545
Promjena boje nakon 1 sata inkompatibilan
injekcija Amoxicillin sodium / clavulanic acid 50/10 mg/ml
Parenteralna prehrana (lipidima) 3948
Kompatibilan
injekcija Amoxicillin sodium / clavulanic acid 100/10 mg/ml
injekcija Aminophylline 25 mg/ml
3824
Neposredne oborine inkompatibilan
injekcija Amoxicillin sodium / clavulanic acid 10 mg/ml
injekcija Amiodarone hydrochloride 12.5 mg/ml
2139
Promjena boje inkompatibilan
injekcija Amoxicillin sodium / clavulanic acid 100/10 mg/ml
injekcija Amiodarone hydrochloride 50 mg/ml
3824
Kompatibilan
injekcija Amoxicillin sodium / clavulanic acid 100/10 mg/ml
injekcija Amphotericin B liposomale 2 mg/ml
3824
Kompatibilan
injekcija Amoxicillin sodium / clavulanic acid 100/10 mg/ml
injekcija Ampicillin sodium 100 mg/ml
3824
Kompatibilan
injekcija Amoxicillin sodium / clavulanic acid 100/10 mg/ml
injekcija Atropine sulfate 0,4 mg/ml
3824
Kompatibilan
injekcija Amoxicillin sodium / clavulanic acid 100/10 mg/ml
injekcija Azithromycine 100 mg/ml
3824
Kompatibilan
injekcija Amoxicillin sodium / clavulanic acid 100/10 mg/ml
injekcija Calcium chloride 100 mg/ml
3824
Kompatibilan
injekcija Amoxicillin sodium / clavulanic acid 100/10 mg/ml
injekcija Calcium gluconate 100 mg/ml
3824
Kompatibilan
injekcija Amoxicillin sodium / clavulanic acid 100/10 mg/ml
injekcija Cefazolin sodium 100 mg/ml
3824
Kompatibilan
injekcija Amoxicillin sodium / clavulanic acid 100/10 mg/ml
injekcija Cefotaxime sodium 100 mg/ml
3824
Kompatibilan
injekcija Amoxicillin sodium / clavulanic acid 100/10 mg/ml
injekcija Cefoxitin sodium 100 mg/ml
3824
Kompatibilan
injekcija Amoxicillin sodium / clavulanic acid 100/10 mg/ml
injekcija Ceftazidime 100 mg/ml
3824
Kompatibilan
injekcija Amoxicillin sodium / clavulanic acid 100/10 mg/ml
injekcija Ceftriaxone disodium 100 mg/ml
3824
Neposredna zamućenost inkompatibilan
injekcija Amoxicillin sodium / clavulanic acid 100/10 mg/ml
injekcija Ciclosporin 50 mg/ml
3824
Neposredne oborine inkompatibilan
injekcija Amoxicillin sodium / clavulanic acid 12 mg/ml
injekcija Ciprofloxacin lactate 2 mg/ml
nijedan 1357
Neodređena nespojivost inkompatibilan
injekcija Amoxicillin sodium / clavulanic acid
injekcija Ciprofloxacin lactate
3529
Kompatibilan
injekcija Amoxicillin sodium / clavulanic acid 100/10 mg/ml
injekcija Ciprofloxacin lactate 2 mg/ml
3824
Kompatibilan
injekcija Amoxicillin sodium / clavulanic acid 100/10 mg/ml
injekcija Cloxacillin sodium 100 mg/ml
3824
Kompatibilan
injekcija Amoxicillin sodium / clavulanic acid 100/10 mg/ml
injekcija Co-trimoxazole 16/80 mg/ml
3824
Kompatibilan
injekcija Amoxicillin sodium / clavulanic acid
injekcija Daunorubicin/cytarabine liposomale 0,4 mg/mL
natrijumkorid 0,9% 4654
Promjena boje nakon 1 sata inkompatibilan
injekcija Amoxicillin sodium / clavulanic acid 50/10 mg/ml
Parenteralna prehrana (bezlipidna) 3948
Zamućenost u jednom satu inkompatibilan
injekcija Amoxicillin sodium / clavulanic acid 100/10 mg/ml
injekcija Clindamycin phosphate 150 mg/ml
3824
Neodređena nespojivost inkompatibilan
injekcija Amoxicillin sodium / clavulanic acid
Parenteralna prehrana (bezlipidna) 3545
Kompatibilan
injekcija Amoxicillin sodium / clavulanic acid 100/10 mg/ml
injekcija Cefuroxime sodium 100 mg/ml
3824
Kompatibilan
injekcija Amoxicillin sodium / clavulanic acid 100/10 mg/ml
injekcija Dexamethasone sodium phosphate 4 mg/ml
3824
Neodređena nespojivost inkompatibilan
injekcija Amoxicillin sodium / clavulanic acid
injekcija Dexamethasone sodium phosphate
3545
Kompatibilan
injekcija Amoxicillin sodium / clavulanic acid 100/10 mg/ml
injekcija Dexmedetomidine 100 µg/ml
3824
Kompatibilan
injekcija Amoxicillin sodium / clavulanic acid 100/10 mg/ml
injekcija Diazepam 5 mg/ml
3824
Kompatibilan
injekcija Amoxicillin sodium / clavulanic acid 100/10 mg/ml
injekcija Digoxin 250 µg/ml
3824
Kompatibilan
injekcija Amoxicillin sodium / clavulanic acid 100/10 mg/ml
injekcija Dimenhydrinate 10 mg/ml
3824
Promjena boje inkompatibilan
injekcija Amoxicillin sodium / clavulanic acid 100/10 mg/ml
injekcija Diphenhydramine hydrochloride 50 mg/ml
3824
Neposredne oborine inkompatibilan
injekcija Amoxicillin sodium / clavulanic acid 100/10 mg/ml
injekcija Dobutamine hydrochloride 12,5 mg/ml
3824
Kompatibilan
injekcija Amoxicillin sodium / clavulanic acid 100/10 mg/ml
injekcija Dopamine hydrochloride 3,2 mg/ml
3824
Kompatibilan
injekcija Amoxicillin sodium / clavulanic acid 100/10 mg/ml
injekcija Enalaprilate 1,25 mg/ml
3824
Kompatibilan
injekcija Amoxicillin sodium / clavulanic acid 100/10 mg/ml
injekcija Epinephrine hydrochloride 1000 µg/ml
3824
Kompatibilan
injekcija Amoxicillin sodium / clavulanic acid 100/10 mg/ml
injekcija Ertapenem 100 mg/ml
3824
Neposredne oborine inkompatibilan
injekcija Amoxicillin sodium / clavulanic acid 100/10 mg/ml
injekcija Erythromycin lactobionate 50 mg/ml
3824
Neodređena nespojivost inkompatibilan
injekcija Amoxicillin sodium / clavulanic acid
injekcija Erythromycin lactobionate
3674
Kompatibilan
injekcija Amoxicillin sodium / clavulanic acid 100/10 mg/ml
injekcija Esmolol hydrochloride 10 mg/ml
3824
Kompatibilan
injekcija Amoxicillin sodium / clavulanic acid 100/10 mg/ml
injekcija Famotidine 10 mg/ml
3824
Kompatibilan
injekcija Amoxicillin sodium / clavulanic acid 100/10 mg/ml
injekcija Fentanyl citrate 50 µg/ml
3824
Kompatibilan
injekcija Amoxicillin sodium / clavulanic acid 100/10 mg/ml
injekcija Fluconazole 2 mg/ml
3824
Kompatibilan
injekcija Amoxicillin sodium / clavulanic acid 100/10 mg/ml
injekcija Furosemide 10 mg/ml
3824
Neodređena nespojivost inkompatibilan
injekcija Amoxicillin sodium / clavulanic acid
injekcija Gentamicin sulfate
3643
Neodređena nespojivost inkompatibilan
injekcija Amoxicillin sodium / clavulanic acid
injekcija Gentamicin sulfate
3545
Neodređena nespojivost inkompatibilan
injekcija Amoxicillin sodium / clavulanic acid
injekcija Gentamicin sulfate
3520
Kompatibilan
injekcija Amoxicillin sodium / clavulanic acid 100/10 mg/ml
injekcija Gentamicin sulfate 40 mg/ml
3824
Kompatibilan
injekcija Amoxicillin sodium / clavulanic acid 100/10 mg/ml
injekcija Granisetron hydrochloride 1 mg/ml
3824
Neposredne oborine inkompatibilan
injekcija Amoxicillin sodium / clavulanic acid 100/10 mg/ml
injekcija Haloperidol lactate 5 mg/ml
3824
Kompatibilan
injekcija Amoxicillin sodium / clavulanic acid 100/10 mg/ml
injekcija Heparin sodium 1000 UI/ml
3824
inkompatibilan
injekcija Amoxicillin sodium / clavulanic acid 100/10 mg/ml
injekcija Human albumin 250 mg/ml
3824
Neodređena nespojivost inkompatibilan
injekcija Amoxicillin sodium / clavulanic acid
injekcija Hydrocortisone sodium succinate
3545
Kompatibilan
injekcija Amoxicillin sodium / clavulanic acid 100/10 mg/ml
injekcija Hydrocortisone sodium succinate 50 mg/ml
3824
Kompatibilan
injekcija Amoxicillin sodium / clavulanic acid 100/10 mg/ml
injekcija Hydromorphone hydrochloride 10 mg/ml
3824
Neposredne oborine inkompatibilan
injekcija Amoxicillin sodium / clavulanic acid 100/10 mg/ml
injekcija Imipenem - cilastatin sodium 50 mg/ml
3824
Kompatibilan
injekcija Amoxicillin sodium / clavulanic acid 100/10 mg/ml
injekcija Insulin 100 UI/ml
3824
Neodređena nespojivost inkompatibilan
injekcija Amoxicillin sodium / clavulanic acid
injekcija Kanamycin sulfate
3545
Neposredne oborine inkompatibilan
injekcija Amoxicillin sodium / clavulanic acid 100/10 mg/ml
injekcija Ketamine hydrochloride 50 mg/ml
3824
Kompatibilan
injekcija Amoxicillin sodium / clavulanic acid 100/10 mg/ml
injekcija L-carnitine 200 mg/ml
3824
Kompatibilan
injekcija Amoxicillin sodium / clavulanic acid 100/10 mg/ml
injekcija Labetalol hydrochloride 5 mg/ml
3824
Kompatibilan
injekcija Amoxicillin sodium / clavulanic acid 100/10 mg/ml
injekcija Levofloxacine 5 mg/ml
3824
Kompatibilan
injekcija Amoxicillin sodium / clavulanic acid 100/10 mg/ml
injekcija Lidocaine hydrochloride 1 mg/ml
3824
Kompatibilan
injekcija Amoxicillin sodium / clavulanic acid 100/10 mg/ml
injekcija Linezolid 2 mg/ml
3824
Kompatibilan
injekcija Amoxicillin sodium / clavulanic acid 100/10 mg/ml
injekcija Lorazepam 4 mg/ml
3824
Kompatibilan
injekcija Amoxicillin sodium / clavulanic acid 20/2 mg/ml
injekcija Lorazepam 0.33 mg/ml
natrijumkorid 0,9% 186
Kompatibilan
injekcija Amoxicillin sodium / clavulanic acid 100/10 mg/ml
injekcija Magnesium sulfate 500 mg/ml
3824
Neodređena nespojivost inkompatibilan
injekcija Amoxicillin sodium / clavulanic acid
injekcija Mannitol
3545
Kompatibilan
injekcija Amoxicillin sodium / clavulanic acid 100/10 mg/ml
injekcija Mannitol 250 mg/ml
3824
Kompatibilan
injekcija Amoxicillin sodium / clavulanic acid 100/10 mg/ml
injekcija Meropenem 50 mg/ml
3824
Neodređena nespojivost inkompatibilan
injekcija Amoxicillin sodium / clavulanic acid
injekcija Methylprednisolone acetate
3545
Neodređena nespojivost inkompatibilan
injekcija Amoxicillin sodium / clavulanic acid
injekcija Methylprednisolone sodium succinate
3545
inkompatibilan
injekcija Amoxicillin sodium / clavulanic acid 100/10 mg/ml
injekcija Methylprednisolone sodium succinate 125 mg/ml
3824
Kompatibilan
injekcija Amoxicillin sodium / clavulanic acid 100/10 mg/ml
injekcija Metoclopramide hydrochloride 5 mg/ml
3824
Kompatibilan
injekcija Amoxicillin sodium / clavulanic acid 100/10 mg/ml
injekcija Metronidazole 5 mg/ml
3824
Kompatibilan
injekcija Amoxicillin sodium / clavulanic acid 100/10 mg/ml
injekcija Micafungin 20 mg/ml
3824
Promjena boje inkompatibilan
injekcija Amoxicillin sodium / clavulanic acid 100/10 mg/ml
injekcija Midazolam hydrochloride 5 mg/ml
3824
Neposredne oborine inkompatibilan
injekcija Amoxicillin sodium / clavulanic acid 20/2 mg/ml
injekcija Midazolam hydrochloride 5 mg/ml
nijedan 186
Kompatibilan
injekcija Amoxicillin sodium / clavulanic acid 100/10 mg/ml
injekcija Milrinone lactate 1 mg/ml
3824
Kompatibilan
injekcija Amoxicillin sodium / clavulanic acid 100/10 mg/ml
injekcija Morphine sulfate 50 mg/ml
3824
Kompatibilan
injekcija Amoxicillin sodium / clavulanic acid 100/10 mg/ml
injekcija N-acetylcysteine 200 mg/ml
3824
Kompatibilan
injekcija Amoxicillin sodium / clavulanic acid 100/10 mg/ml
injekcija Naloxone hydrochloride 0,4 mg/ml
3824
Neodređena nespojivost inkompatibilan
injekcija Amoxicillin sodium / clavulanic acid
injekcija Netilmicin sulfate
3545
Promjena boje inkompatibilan
injekcija Amoxicillin sodium / clavulanic acid 100/10 mg/ml
injekcija Nicardipine hydrochloride 1 mg/ml
3824
Zamućenost u jednom satu inkompatibilan
injekcija Amoxicillin sodium / clavulanic acid 100/10 mg/ml
injekcija Nitroglycerin 5 mg/ml
3824
Kompatibilan
injekcija Amoxicillin sodium / clavulanic acid 100/10 mg/ml
injekcija Norepinephrine bitartrate 1 mg/ml
3824
Kompatibilan
injekcija Amoxicillin sodium / clavulanic acid 100/10 mg/ml
injekcija Octreotide acetate 0.5 mg/ml
3824
Kompatibilan
injekcija Amoxicillin sodium / clavulanic acid 12 mg/ml
injekcija Ofloxacin 2 mg/ml
nijedan 889
Neposredne oborine inkompatibilan
injekcija Amoxicillin sodium / clavulanic acid 100/10 mg/ml
injekcija Ondansetron hydrochloride 2 mg/ml
3824
Kompatibilan
injekcija Amoxicillin sodium / clavulanic acid 100/10 mg/ml
injekcija Oxytocin 10 UI/ml
3824
Kompatibilan
injekcija Amoxicillin sodium / clavulanic acid 100/10 mg/ml
injekcija Pantoprazole sodium 4 mg/ml
3824
Kompatibilan
injekcija Amoxicillin sodium / clavulanic acid 100/10 mg/ml
injekcija Paracetamol 10 mg/ml
3824
Neodređena nespojivost inkompatibilan
injekcija Amoxicillin sodium / clavulanic acid
injekcija Phenylephrine hydrochloride
3545
Kompatibilan
injekcija Amoxicillin sodium / clavulanic acid 100/10 mg/ml
injekcija Phenylephrine hydrochloride 0,01 mg/ml
3824
Neposredne oborine inkompatibilan
injekcija Amoxicillin sodium / clavulanic acid 100/10 mg/ml
injekcija Phenytoin sodium 50 mg/ml
3824
Kemijska nestabilnost inkompatibilan
injekcija Amoxicillin sodium / clavulanic acid 10 mg/ml
injekcija Phloroglucinol 2,5 mg/ml
3791
Kompatibilan
injekcija Amoxicillin sodium / clavulanic acid 100/10 mg/ml
injekcija Piperacillin sodium / tazobactam 100 mg/ml
3824
Kompatibilan
injekcija Amoxicillin sodium / clavulanic acid 100/10 mg/ml
injekcija Potassium chloride 2 mEq/l
3824
Kompatibilan
injekcija Amoxicillin sodium / clavulanic acid 100/10 mg/ml
injekcija Potassium phosphate 3 mmol/ml
3824
Kompatibilan
injekcija Amoxicillin sodium / clavulanic acid 60 mg/ml
injekcija Propofol
4524
Kompatibilan
injekcija Amoxicillin sodium / clavulanic acid 100/10 mg/ml
injekcija Rocuronium bromide 10 mg/ml
3824
Kompatibilan
injekcija Amoxicillin sodium / clavulanic acid 100/10 mg/ml
injekcija Salbutamol sulfate 1 mg/ml
3824
Kompatibilan
injekcija Amoxicillin sodium / clavulanic acid 100/10 mg/ml
injekcija Sodium bicarbonate 84 mg/ml
3824
Neodređena nespojivost inkompatibilan
injekcija Amoxicillin sodium / clavulanic acid
injekcija Sodium bicarbonate
3545
Kompatibilan
injekcija Amoxicillin sodium / clavulanic acid 100/10 mg/ml
injekcija Sufentanil citrate 0,05 mg/ml
3824
Kemijska nestabilnost inkompatibilan
injekcija Amoxicillin sodium / clavulanic acid 20 mg/ml
injekcija Temocilline 83.33 mg/ml
čista voda za injektiranje 2231
Neodređena nespojivost inkompatibilan
injekcija Amoxicillin sodium / clavulanic acid
injekcija Temocilline
4470
Kompatibilan
injekcija Amoxicillin sodium / clavulanic acid 100/10 mg/ml
injekcija Thiamine hydrochloride 100 mg/ml
3824
Kompatibilan
injekcija Amoxicillin sodium / clavulanic acid 100/10 mg/ml
injekcija Tobramycin sulfate 40 mg/ml
3824
Neodređena nespojivost inkompatibilan
injekcija Amoxicillin sodium / clavulanic acid
injekcija Tobramycin sulfate
3545
Kompatibilan
injekcija Amoxicillin sodium / clavulanic acid 100/10 mg/ml
injekcija Tranexamic acid 100 mg/ml
3824
Kompatibilan
injekcija Amoxicillin sodium / clavulanic acid 100/10 mg/ml
injekcija Vancomycin hydrochloride 50 mg/ml
3824
Neposredna zamućenost inkompatibilan
injekcija Amoxicillin sodium / clavulanic acid 100/10 mg/ml
injekcija Verapamil hydrochloride 10 mg/ml
3824
Kompatibilan
injekcija Amoxicillin sodium / clavulanic acid 100/10 mg/ml
injekcija Voriconazole 10 mg/ml
3824
Kompatibilan
injekcija Amoxicillin sodium / clavulanic acid 100/10 mg/ml
injekcija Zidovudine 10 mg/ml
3824
Neodređena nespojivost inkompatibilan
injekcija Amoxicillin sodium / clavulanic acid
NaHCO3 3545

  Mentions Légales