آخر تحديث :
17/12/2025
مضاد حيوي   Amoxicillin sodium / clavulanic acid  
حقن
عن طريق الفم
الاستقرار في حلول استقرار مخاليط العوامل التي تؤثر على الاستقرار التوافق طريقة التعاطي مراجع pdf
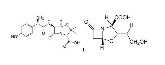
   التركيب الكيميائي  

حجز الاسم التجاري   حجز الاسم التجاري     

تحذير الأسماء التجاريه المختلفه قد تحتوي علي محتوي إضافات مختلفة حسب الدوله و المعمل

Aktil هنغاريا
Amoclan العربية السعودية
Amoklavin تركيا
Amoksiklav بولندا
Amoxclav العربية السعودية
Amplamox البرازيل
Augmentin إسبانيا, إيطاليا, الإكوادور, الإمارات العربية المتحدة, العربية السعودية, النمسا, بريطانيا العظمي, بلجيكا, بولندا, تركيا, تشيلي, سويسرا, فرنسا, هولندا, يونان
Betamox البرتغال
Clavamox النمسا
Clavicin فنزويلا, ماليزيا
Clavulin البرازيل
Co-amoxi سويسرا
Co-Amoxicillin سويسرا
Curam العربية السعودية, زيلاندا الجديدة
Darzitil الأرجنتين
Dibional الأرجنتين
Julmentin الإمارات العربية المتحدة
Novamox البرازيل
Sulbamox تشيلي
Tarometin بولندا
Trifamox الأرجنتين, الإكوادور, المكسيك, كولومبيا
التوافق   حقن   التوافق : Amoxicillin sodium / clavulanic acid              
This screen indicates the compatibilities or incompatibilities with, in this case, the type of incompatibility (precipitation, color change, modification of an emulsion, etc.). The compatibilities shown here are mostly physical only, with the chemical stability of each molecule rarely being assessed. The evaluation of these mixtures was studied to consider the possibility of Y-site administration to the patient. These data cannot be used for making mixtures in advance in bags or syringes. This type of information is available in the screen "Stability in mixture ».
مركب مذيب مراجع
عدم الاستقرار الكيميائي غير متوافق
حقن Amoxicillin sodium / clavulanic acid
حقن Amikacin sulfate
3549
عدم توافق غير محدد غير متوافق
حقن Amoxicillin sodium / clavulanic acid
التغذية الوريدية (مع الدهون) 3545
هطول فوري غير متوافق
حقن Amoxicillin sodium / clavulanic acid 100/10 mg/ml
حقن Aciclovir sodium 50 mg/ml
3824
kompatibel
حقن Amoxicillin sodium / clavulanic acid
كلوريد الصوديوم 0.9% 3545
عدم توافق غير محدد غير متوافق
حقن Amoxicillin sodium / clavulanic acid
الجلوكوز %5 3545
kompatibel
حقن Amoxicillin sodium / clavulanic acid 100/10 mg/ml
حقن Amikacin sulfate 250 mg/ml
3824
عدم توافق غير محدد غير متوافق
حقن Amoxicillin sodium / clavulanic acid
حقن Amikacin sulfate
3545
تغير اللون بعد ساعة واحدة غير متوافق
حقن Amoxicillin sodium / clavulanic acid 50/10 mg/ml
التغذية الوريدية (مع الدهون) 3948
kompatibel
حقن Amoxicillin sodium / clavulanic acid 100/10 mg/ml
حقن Aminophylline 25 mg/ml
3824
هطول فوري غير متوافق
حقن Amoxicillin sodium / clavulanic acid 10 mg/ml
حقن Amiodarone hydrochloride 12.5 mg/ml
2139
تغير اللون غير متوافق
حقن Amoxicillin sodium / clavulanic acid 100/10 mg/ml
حقن Amiodarone hydrochloride 50 mg/ml
3824
kompatibel
حقن Amoxicillin sodium / clavulanic acid 100/10 mg/ml
حقن Amphotericin B liposomale 2 mg/ml
3824
kompatibel
حقن Amoxicillin sodium / clavulanic acid 100/10 mg/ml
حقن Ampicillin sodium 100 mg/ml
3824
kompatibel
حقن Amoxicillin sodium / clavulanic acid 100/10 mg/ml
حقن Atropine sulfate 0,4 mg/ml
3824
kompatibel
حقن Amoxicillin sodium / clavulanic acid 100/10 mg/ml
حقن Azithromycine 100 mg/ml
3824
kompatibel
حقن Amoxicillin sodium / clavulanic acid 100/10 mg/ml
حقن Calcium chloride 100 mg/ml
3824
kompatibel
حقن Amoxicillin sodium / clavulanic acid 100/10 mg/ml
حقن Calcium gluconate 100 mg/ml
3824
kompatibel
حقن Amoxicillin sodium / clavulanic acid 100/10 mg/ml
حقن Cefazolin sodium 100 mg/ml
3824
kompatibel
حقن Amoxicillin sodium / clavulanic acid 100/10 mg/ml
حقن Cefotaxime sodium 100 mg/ml
3824
kompatibel
حقن Amoxicillin sodium / clavulanic acid 100/10 mg/ml
حقن Cefoxitin sodium 100 mg/ml
3824
kompatibel
حقن Amoxicillin sodium / clavulanic acid 100/10 mg/ml
حقن Ceftazidime 100 mg/ml
3824
kompatibel
حقن Amoxicillin sodium / clavulanic acid 100/10 mg/ml
حقن Ceftriaxone disodium 100 mg/ml
3824
التعكر الفوري غير متوافق
حقن Amoxicillin sodium / clavulanic acid 100/10 mg/ml
حقن Ciclosporin 50 mg/ml
3824
هطول فوري غير متوافق
حقن Amoxicillin sodium / clavulanic acid 12 mg/ml
حقن Ciprofloxacin lactate 2 mg/ml
لا شيء 1357
عدم توافق غير محدد غير متوافق
حقن Amoxicillin sodium / clavulanic acid
حقن Ciprofloxacin lactate
3529
kompatibel
حقن Amoxicillin sodium / clavulanic acid 100/10 mg/ml
حقن Ciprofloxacin lactate 2 mg/ml
3824
kompatibel
حقن Amoxicillin sodium / clavulanic acid 100/10 mg/ml
حقن Cloxacillin sodium 100 mg/ml
3824
kompatibel
حقن Amoxicillin sodium / clavulanic acid 100/10 mg/ml
حقن Co-trimoxazole 16/80 mg/ml
3824
kompatibel
حقن Amoxicillin sodium / clavulanic acid
حقن Daunorubicin/cytarabine liposomale 0,4 mg/mL
كلوريد الصوديوم 0.9% 4654
تغير اللون بعد ساعة واحدة غير متوافق
حقن Amoxicillin sodium / clavulanic acid 50/10 mg/ml
 التغذية الوريدية (خالية من الدهن) 3948
العكارة في ساعة واحدة غير متوافق
حقن Amoxicillin sodium / clavulanic acid 100/10 mg/ml
حقن Clindamycin phosphate 150 mg/ml
3824
عدم توافق غير محدد غير متوافق
حقن Amoxicillin sodium / clavulanic acid
 التغذية الوريدية (خالية من الدهن) 3545
kompatibel
حقن Amoxicillin sodium / clavulanic acid 100/10 mg/ml
حقن Cefuroxime sodium 100 mg/ml
3824
kompatibel
حقن Amoxicillin sodium / clavulanic acid 100/10 mg/ml
حقن Dexamethasone sodium phosphate 4 mg/ml
3824
عدم توافق غير محدد غير متوافق
حقن Amoxicillin sodium / clavulanic acid
حقن Dexamethasone sodium phosphate
3545
kompatibel
حقن Amoxicillin sodium / clavulanic acid 100/10 mg/ml
حقن Dexmedetomidine 100 µg/ml
3824
kompatibel
حقن Amoxicillin sodium / clavulanic acid 100/10 mg/ml
حقن Diazepam 5 mg/ml
3824
kompatibel
حقن Amoxicillin sodium / clavulanic acid 100/10 mg/ml
حقن Digoxin 250 µg/ml
3824
kompatibel
حقن Amoxicillin sodium / clavulanic acid 100/10 mg/ml
حقن Dimenhydrinate 10 mg/ml
3824
تغير اللون غير متوافق
حقن Amoxicillin sodium / clavulanic acid 100/10 mg/ml
حقن Diphenhydramine hydrochloride 50 mg/ml
3824
هطول فوري غير متوافق
حقن Amoxicillin sodium / clavulanic acid 100/10 mg/ml
حقن Dobutamine hydrochloride 12,5 mg/ml
3824
kompatibel
حقن Amoxicillin sodium / clavulanic acid 100/10 mg/ml
حقن Dopamine hydrochloride 3,2 mg/ml
3824
kompatibel
حقن Amoxicillin sodium / clavulanic acid 100/10 mg/ml
حقن Enalaprilate 1,25 mg/ml
3824
kompatibel
حقن Amoxicillin sodium / clavulanic acid 100/10 mg/ml
حقن Epinephrine hydrochloride 1000 µg/ml
3824
kompatibel
حقن Amoxicillin sodium / clavulanic acid 100/10 mg/ml
حقن Ertapenem 100 mg/ml
3824
هطول فوري غير متوافق
حقن Amoxicillin sodium / clavulanic acid 100/10 mg/ml
حقن Erythromycin lactobionate 50 mg/ml
3824
عدم توافق غير محدد غير متوافق
حقن Amoxicillin sodium / clavulanic acid
حقن Erythromycin lactobionate
3674
kompatibel
حقن Amoxicillin sodium / clavulanic acid 100/10 mg/ml
حقن Esmolol hydrochloride 10 mg/ml
3824
kompatibel
حقن Amoxicillin sodium / clavulanic acid 100/10 mg/ml
حقن Famotidine 10 mg/ml
3824
kompatibel
حقن Amoxicillin sodium / clavulanic acid 100/10 mg/ml
حقن Fentanyl citrate 50 µg/ml
3824
kompatibel
حقن Amoxicillin sodium / clavulanic acid 100/10 mg/ml
حقن Fluconazole 2 mg/ml
3824
kompatibel
حقن Amoxicillin sodium / clavulanic acid 100/10 mg/ml
حقن Furosemide 10 mg/ml
3824
عدم توافق غير محدد غير متوافق
حقن Amoxicillin sodium / clavulanic acid
حقن Gentamicin sulfate
3643
عدم توافق غير محدد غير متوافق
حقن Amoxicillin sodium / clavulanic acid
حقن Gentamicin sulfate
3545
عدم توافق غير محدد غير متوافق
حقن Amoxicillin sodium / clavulanic acid
حقن Gentamicin sulfate
3520
kompatibel
حقن Amoxicillin sodium / clavulanic acid 100/10 mg/ml
حقن Gentamicin sulfate 40 mg/ml
3824
kompatibel
حقن Amoxicillin sodium / clavulanic acid 100/10 mg/ml
حقن Granisetron hydrochloride 1 mg/ml
3824
هطول فوري غير متوافق
حقن Amoxicillin sodium / clavulanic acid 100/10 mg/ml
حقن Haloperidol lactate 5 mg/ml
3824
kompatibel
حقن Amoxicillin sodium / clavulanic acid 100/10 mg/ml
حقن Heparin sodium 1000 UI/ml
3824
غير متوافق
حقن Amoxicillin sodium / clavulanic acid 100/10 mg/ml
حقن Human albumin 250 mg/ml
3824
عدم توافق غير محدد غير متوافق
حقن Amoxicillin sodium / clavulanic acid
حقن Hydrocortisone sodium succinate
3545
kompatibel
حقن Amoxicillin sodium / clavulanic acid 100/10 mg/ml
حقن Hydrocortisone sodium succinate 50 mg/ml
3824
kompatibel
حقن Amoxicillin sodium / clavulanic acid 100/10 mg/ml
حقن Hydromorphone hydrochloride 10 mg/ml
3824
هطول فوري غير متوافق
حقن Amoxicillin sodium / clavulanic acid 100/10 mg/ml
حقن Imipenem - cilastatin sodium 50 mg/ml
3824
kompatibel
حقن Amoxicillin sodium / clavulanic acid 100/10 mg/ml
حقن Insulin 100 UI/ml
3824
عدم توافق غير محدد غير متوافق
حقن Amoxicillin sodium / clavulanic acid
حقن Kanamycin sulfate
3545
هطول فوري غير متوافق
حقن Amoxicillin sodium / clavulanic acid 100/10 mg/ml
حقن Ketamine hydrochloride 50 mg/ml
3824
kompatibel
حقن Amoxicillin sodium / clavulanic acid 100/10 mg/ml
حقن L-carnitine 200 mg/ml
3824
kompatibel
حقن Amoxicillin sodium / clavulanic acid 100/10 mg/ml
حقن Labetalol hydrochloride 5 mg/ml
3824
kompatibel
حقن Amoxicillin sodium / clavulanic acid 100/10 mg/ml
حقن Levofloxacine 5 mg/ml
3824
kompatibel
حقن Amoxicillin sodium / clavulanic acid 100/10 mg/ml
حقن Lidocaine hydrochloride 1 mg/ml
3824
kompatibel
حقن Amoxicillin sodium / clavulanic acid 100/10 mg/ml
حقن Linezolid 2 mg/ml
3824
kompatibel
حقن Amoxicillin sodium / clavulanic acid 100/10 mg/ml
حقن Lorazepam 4 mg/ml
3824
kompatibel
حقن Amoxicillin sodium / clavulanic acid 20/2 mg/ml
حقن Lorazepam 0.33 mg/ml
كلوريد الصوديوم 0.9% 186
kompatibel
حقن Amoxicillin sodium / clavulanic acid 100/10 mg/ml
حقن Magnesium sulfate 500 mg/ml
3824
عدم توافق غير محدد غير متوافق
حقن Amoxicillin sodium / clavulanic acid
حقن Mannitol
3545
kompatibel
حقن Amoxicillin sodium / clavulanic acid 100/10 mg/ml
حقن Mannitol 250 mg/ml
3824
kompatibel
حقن Amoxicillin sodium / clavulanic acid 100/10 mg/ml
حقن Meropenem 50 mg/ml
3824
عدم توافق غير محدد غير متوافق
حقن Amoxicillin sodium / clavulanic acid
حقن Methylprednisolone acetate
3545
عدم توافق غير محدد غير متوافق
حقن Amoxicillin sodium / clavulanic acid
حقن Methylprednisolone sodium succinate
3545
غير متوافق
حقن Amoxicillin sodium / clavulanic acid 100/10 mg/ml
حقن Methylprednisolone sodium succinate 125 mg/ml
3824
kompatibel
حقن Amoxicillin sodium / clavulanic acid 100/10 mg/ml
حقن Metoclopramide hydrochloride 5 mg/ml
3824
kompatibel
حقن Amoxicillin sodium / clavulanic acid 100/10 mg/ml
حقن Metronidazole 5 mg/ml
3824
kompatibel
حقن Amoxicillin sodium / clavulanic acid 100/10 mg/ml
حقن Micafungin 20 mg/ml
3824
تغير اللون غير متوافق
حقن Amoxicillin sodium / clavulanic acid 100/10 mg/ml
حقن Midazolam hydrochloride 5 mg/ml
3824
هطول فوري غير متوافق
حقن Amoxicillin sodium / clavulanic acid 20/2 mg/ml
حقن Midazolam hydrochloride 5 mg/ml
لا شيء 186
kompatibel
حقن Amoxicillin sodium / clavulanic acid 100/10 mg/ml
حقن Milrinone lactate 1 mg/ml
3824
kompatibel
حقن Amoxicillin sodium / clavulanic acid 100/10 mg/ml
حقن Morphine sulfate 50 mg/ml
3824
kompatibel
حقن Amoxicillin sodium / clavulanic acid 100/10 mg/ml
حقن N-acetylcysteine 200 mg/ml
3824
kompatibel
حقن Amoxicillin sodium / clavulanic acid 100/10 mg/ml
حقن Naloxone hydrochloride 0,4 mg/ml
3824
عدم توافق غير محدد غير متوافق
حقن Amoxicillin sodium / clavulanic acid
حقن Netilmicin sulfate
3545
تغير اللون غير متوافق
حقن Amoxicillin sodium / clavulanic acid 100/10 mg/ml
حقن Nicardipine hydrochloride 1 mg/ml
3824
العكارة في ساعة واحدة غير متوافق
حقن Amoxicillin sodium / clavulanic acid 100/10 mg/ml
حقن Nitroglycerin 5 mg/ml
3824
kompatibel
حقن Amoxicillin sodium / clavulanic acid 100/10 mg/ml
حقن Norepinephrine bitartrate 1 mg/ml
3824
kompatibel
حقن Amoxicillin sodium / clavulanic acid 100/10 mg/ml
حقن Octreotide acetate 0.5 mg/ml
3824
kompatibel
حقن Amoxicillin sodium / clavulanic acid 12 mg/ml
حقن Ofloxacin 2 mg/ml
لا شيء 889
هطول فوري غير متوافق
حقن Amoxicillin sodium / clavulanic acid 100/10 mg/ml
حقن Ondansetron hydrochloride 2 mg/ml
3824
kompatibel
حقن Amoxicillin sodium / clavulanic acid 100/10 mg/ml
حقن Oxytocin 10 UI/ml
3824
kompatibel
حقن Amoxicillin sodium / clavulanic acid 100/10 mg/ml
حقن Pantoprazole sodium 4 mg/ml
3824
kompatibel
حقن Amoxicillin sodium / clavulanic acid 100/10 mg/ml
حقن Paracetamol 10 mg/ml
3824
عدم توافق غير محدد غير متوافق
حقن Amoxicillin sodium / clavulanic acid
حقن Phenylephrine hydrochloride
3545
kompatibel
حقن Amoxicillin sodium / clavulanic acid 100/10 mg/ml
حقن Phenylephrine hydrochloride 0,01 mg/ml
3824
هطول فوري غير متوافق
حقن Amoxicillin sodium / clavulanic acid 100/10 mg/ml
حقن Phenytoin sodium 50 mg/ml
3824
عدم الاستقرار الكيميائي غير متوافق
حقن Amoxicillin sodium / clavulanic acid 10 mg/ml
حقن Phloroglucinol 2,5 mg/ml
3791
kompatibel
حقن Amoxicillin sodium / clavulanic acid 100/10 mg/ml
حقن Piperacillin sodium / tazobactam 100 mg/ml
3824
kompatibel
حقن Amoxicillin sodium / clavulanic acid 100/10 mg/ml
حقن Potassium chloride 2 mEq/l
3824
kompatibel
حقن Amoxicillin sodium / clavulanic acid 100/10 mg/ml
حقن Potassium phosphate 3 mmol/ml
3824
kompatibel
حقن Amoxicillin sodium / clavulanic acid 60 mg/ml
حقن Propofol
4524
kompatibel
حقن Amoxicillin sodium / clavulanic acid 100/10 mg/ml
حقن Rocuronium bromide 10 mg/ml
3824
kompatibel
حقن Amoxicillin sodium / clavulanic acid 100/10 mg/ml
حقن Salbutamol sulfate 1 mg/ml
3824
kompatibel
حقن Amoxicillin sodium / clavulanic acid 100/10 mg/ml
حقن Sodium bicarbonate 84 mg/ml
3824
عدم توافق غير محدد غير متوافق
حقن Amoxicillin sodium / clavulanic acid
حقن Sodium bicarbonate
3545
kompatibel
حقن Amoxicillin sodium / clavulanic acid 100/10 mg/ml
حقن Sufentanil citrate 0,05 mg/ml
3824
عدم الاستقرار الكيميائي غير متوافق
حقن Amoxicillin sodium / clavulanic acid 20 mg/ml
حقن Temocilline 83.33 mg/ml
حقن المياه لل 2231
عدم توافق غير محدد غير متوافق
حقن Amoxicillin sodium / clavulanic acid
حقن Temocilline
4470
kompatibel
حقن Amoxicillin sodium / clavulanic acid 100/10 mg/ml
حقن Thiamine hydrochloride 100 mg/ml
3824
kompatibel
حقن Amoxicillin sodium / clavulanic acid 100/10 mg/ml
حقن Tobramycin sulfate 40 mg/ml
3824
عدم توافق غير محدد غير متوافق
حقن Amoxicillin sodium / clavulanic acid
حقن Tobramycin sulfate
3545
kompatibel
حقن Amoxicillin sodium / clavulanic acid 100/10 mg/ml
حقن Tranexamic acid 100 mg/ml
3824
kompatibel
حقن Amoxicillin sodium / clavulanic acid 100/10 mg/ml
حقن Vancomycin hydrochloride 50 mg/ml
3824
التعكر الفوري غير متوافق
حقن Amoxicillin sodium / clavulanic acid 100/10 mg/ml
حقن Verapamil hydrochloride 10 mg/ml
3824
kompatibel
حقن Amoxicillin sodium / clavulanic acid 100/10 mg/ml
حقن Voriconazole 10 mg/ml
3824
kompatibel
حقن Amoxicillin sodium / clavulanic acid 100/10 mg/ml
حقن Zidovudine 10 mg/ml
3824
عدم توافق غير محدد غير متوافق
حقن Amoxicillin sodium / clavulanic acid
NaHCO3 3545

  Mentions Légales