Ultimele actualizari :
27/11/2025
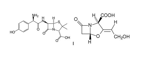
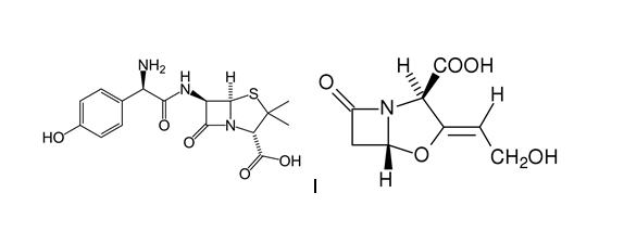
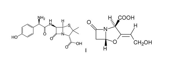
Antibiotic   Amoxicillin sodium / clavulanic acid  
Injectabil
Soluţie orală
Stabilitatea in solutie Stabilitatea in amestec Factorii care influenteaza stabilitatea Compatibilitate Microunde Bibliografie pdf
   Formula chimica  

Denumirea comerciala   Denumirea comerciala     

Trade names are indicative and excipients composition can be different depending on the country and manufacturers

Aktil Ungaria
Amoclan Arabia Saudita
Amoklavin Turcia
Amoksiklav Polonia
Amoxclav Arabia Saudita
Amplamox Brazilia
Augmentin Arabia Saudita, Austria, Belgia, Chilli, Ecuador, Elvetia, Emiratele Arabe Unite, Franta, Grecia, Italia, Marea Britanie, Olanda, Polonia, Spania, Turcia
Betamox Portugalia
Clavamox Austria
Clavicin Malaezia, Venezuela
Clavulin Brazilia
Co-amoxi Elvetia
Co-Amoxicillin Elvetia
Curam Arabia Saudita, noua Zeelandă
Darzitil Argentina
Dibional Argentina
Julmentin Emiratele Arabe Unite
Novamox Brazilia
Sulbamox Chilli
Tarometin Polonia
Trifamox Argentina, Columbia, Ecuador, Mexic
Compatibilitate   Injectabil   Compatibilitate : Amoxicillin sodium / clavulanic acid              
Acest ecran indică compatibilitățile sau incompatibilitățile cu, în acest caz, tipul de incompatibilitate (precipitații, schimbarea culorii, modificarea unei emulsii etc.). Compatibilitățile prezentate aici sunt în mare parte numai fizice, stabilitatea chimică a fiecărei molecule fiind rareori evaluată. Evaluarea acestor amestecuri a fost studiată pentru a lua în considerare posibilitatea administrării site-ului Y la pacient. Aceste date nu pot fi utilizate pentru prepararea în prealabil a amestecurilor în pungi sau seringi. Acest tip de informații este disponibil în ecranul „Stabilitate în amestec».
Molecula (substanta activa) Solvent Bibiografie
Instabilitate chimică Incompatibil
Injectabil Amoxicillin sodium / clavulanic acid
Injectabil Amikacin sulfate
3549
Incompatibilitate nespecificată Incompatibil
Injectabil Amoxicillin sodium / clavulanic acid
Nutriție parenterală (cu lipide) 3545
Precipitații imediate Incompatibil
Injectabil Amoxicillin sodium / clavulanic acid 100/10 mg/ml
Injectabil Aciclovir sodium 50 mg/ml
3824
Compatibil
Injectabil Amoxicillin sodium / clavulanic acid
clorura de sodiu 0,9% 3545
Incompatibilitate nespecificată Incompatibil
Injectabil Amoxicillin sodium / clavulanic acid
Glucoza 5% 3545
Compatibil
Injectabil Amoxicillin sodium / clavulanic acid 100/10 mg/ml
Injectabil Amikacin sulfate 250 mg/ml
3824
Incompatibilitate nespecificată Incompatibil
Injectabil Amoxicillin sodium / clavulanic acid
Injectabil Amikacin sulfate
3545
Schimbarea culorii după 1 oră Incompatibil
Injectabil Amoxicillin sodium / clavulanic acid 50/10 mg/ml
Nutriție parenterală (cu lipide) 3948
Compatibil
Injectabil Amoxicillin sodium / clavulanic acid 100/10 mg/ml
Injectabil Aminophylline 25 mg/ml
3824
Precipitații imediate Incompatibil
Injectabil Amoxicillin sodium / clavulanic acid 10 mg/ml
Injectabil Amiodarone hydrochloride 12.5 mg/ml
2139
Schimbarea culorii Incompatibil
Injectabil Amoxicillin sodium / clavulanic acid 100/10 mg/ml
Injectabil Amiodarone hydrochloride 50 mg/ml
3824
Compatibil
Injectabil Amoxicillin sodium / clavulanic acid 100/10 mg/ml
Injectabil Amphotericin B liposomale 2 mg/ml
3824
Compatibil
Injectabil Amoxicillin sodium / clavulanic acid 100/10 mg/ml
Injectabil Ampicillin sodium 100 mg/ml
3824
Compatibil
Injectabil Amoxicillin sodium / clavulanic acid 100/10 mg/ml
Injectabil Atropine sulfate 0,4 mg/ml
3824
Compatibil
Injectabil Amoxicillin sodium / clavulanic acid 100/10 mg/ml
Injectabil Azithromycine 100 mg/ml
3824
Compatibil
Injectabil Amoxicillin sodium / clavulanic acid 100/10 mg/ml
Injectabil Calcium chloride 100 mg/ml
3824
Compatibil
Injectabil Amoxicillin sodium / clavulanic acid 100/10 mg/ml
Injectabil Calcium gluconate 100 mg/ml
3824
Compatibil
Injectabil Amoxicillin sodium / clavulanic acid 100/10 mg/ml
Injectabil Cefazolin sodium 100 mg/ml
3824
Compatibil
Injectabil Amoxicillin sodium / clavulanic acid 100/10 mg/ml
Injectabil Cefotaxime sodium 100 mg/ml
3824
Compatibil
Injectabil Amoxicillin sodium / clavulanic acid 100/10 mg/ml
Injectabil Cefoxitin sodium 100 mg/ml
3824
Compatibil
Injectabil Amoxicillin sodium / clavulanic acid 100/10 mg/ml
Injectabil Ceftazidime 100 mg/ml
3824
Compatibil
Injectabil Amoxicillin sodium / clavulanic acid 100/10 mg/ml
Injectabil Ceftriaxone disodium 100 mg/ml
3824
Turbiditate imediată Incompatibil
Injectabil Amoxicillin sodium / clavulanic acid 100/10 mg/ml
Injectabil Ciclosporin 50 mg/ml
3824
Precipitații imediate Incompatibil
Injectabil Amoxicillin sodium / clavulanic acid 12 mg/ml
Injectabil Ciprofloxacin lactate 2 mg/ml
fara 1357
Incompatibilitate nespecificată Incompatibil
Injectabil Amoxicillin sodium / clavulanic acid
Injectabil Ciprofloxacin lactate
3529
Compatibil
Injectabil Amoxicillin sodium / clavulanic acid 100/10 mg/ml
Injectabil Ciprofloxacin lactate 2 mg/ml
3824
Compatibil
Injectabil Amoxicillin sodium / clavulanic acid 100/10 mg/ml
Injectabil Cloxacillin sodium 100 mg/ml
3824
Compatibil
Injectabil Amoxicillin sodium / clavulanic acid 100/10 mg/ml
Injectabil Co-trimoxazole 16/80 mg/ml
3824
Compatibil
Injectabil Amoxicillin sodium / clavulanic acid
Injectabil Daunorubicin/cytarabine liposomale 0,4 mg/mL
clorura de sodiu 0,9% 4654
Schimbarea culorii după 1 oră Incompatibil
Injectabil Amoxicillin sodium / clavulanic acid 50/10 mg/ml
Nutritie parenterala (amestec binar) 3948
Turbiditate într-o oră Incompatibil
Injectabil Amoxicillin sodium / clavulanic acid 100/10 mg/ml
Injectabil Clindamycin phosphate 150 mg/ml
3824
Incompatibilitate nespecificată Incompatibil
Injectabil Amoxicillin sodium / clavulanic acid
Nutritie parenterala (amestec binar) 3545
Compatibil
Injectabil Amoxicillin sodium / clavulanic acid 100/10 mg/ml
Injectabil Cefuroxime sodium 100 mg/ml
3824
Compatibil
Injectabil Amoxicillin sodium / clavulanic acid 100/10 mg/ml
Injectabil Dexamethasone sodium phosphate 4 mg/ml
3824
Incompatibilitate nespecificată Incompatibil
Injectabil Amoxicillin sodium / clavulanic acid
Injectabil Dexamethasone sodium phosphate
3545
Compatibil
Injectabil Amoxicillin sodium / clavulanic acid 100/10 mg/ml
Injectabil Dexmedetomidine 100 µg/ml
3824
Compatibil
Injectabil Amoxicillin sodium / clavulanic acid 100/10 mg/ml
Injectabil Diazepam 5 mg/ml
3824
Compatibil
Injectabil Amoxicillin sodium / clavulanic acid 100/10 mg/ml
Injectabil Digoxin 250 µg/ml
3824
Compatibil
Injectabil Amoxicillin sodium / clavulanic acid 100/10 mg/ml
Injectabil Dimenhydrinate 10 mg/ml
3824
Schimbarea culorii Incompatibil
Injectabil Amoxicillin sodium / clavulanic acid 100/10 mg/ml
Injectabil Diphenhydramine hydrochloride 50 mg/ml
3824
Precipitații imediate Incompatibil
Injectabil Amoxicillin sodium / clavulanic acid 100/10 mg/ml
Injectabil Dobutamine hydrochloride 12,5 mg/ml
3824
Compatibil
Injectabil Amoxicillin sodium / clavulanic acid 100/10 mg/ml
Injectabil Dopamine hydrochloride 3,2 mg/ml
3824
Compatibil
Injectabil Amoxicillin sodium / clavulanic acid 100/10 mg/ml
Injectabil Enalaprilate 1,25 mg/ml
3824
Compatibil
Injectabil Amoxicillin sodium / clavulanic acid 100/10 mg/ml
Injectabil Epinephrine hydrochloride 1000 µg/ml
3824
Compatibil
Injectabil Amoxicillin sodium / clavulanic acid 100/10 mg/ml
Injectabil Ertapenem 100 mg/ml
3824
Precipitații imediate Incompatibil
Injectabil Amoxicillin sodium / clavulanic acid 100/10 mg/ml
Injectabil Erythromycin lactobionate 50 mg/ml
3824
Incompatibilitate nespecificată Incompatibil
Injectabil Amoxicillin sodium / clavulanic acid
Injectabil Erythromycin lactobionate
3674
Compatibil
Injectabil Amoxicillin sodium / clavulanic acid 100/10 mg/ml
Injectabil Esmolol hydrochloride 10 mg/ml
3824
Compatibil
Injectabil Amoxicillin sodium / clavulanic acid 100/10 mg/ml
Injectabil Famotidine 10 mg/ml
3824
Compatibil
Injectabil Amoxicillin sodium / clavulanic acid 100/10 mg/ml
Injectabil Fentanyl citrate 50 µg/ml
3824
Compatibil
Injectabil Amoxicillin sodium / clavulanic acid 100/10 mg/ml
Injectabil Fluconazole 2 mg/ml
3824
Compatibil
Injectabil Amoxicillin sodium / clavulanic acid 100/10 mg/ml
Injectabil Furosemide 10 mg/ml
3824
Incompatibilitate nespecificată Incompatibil
Injectabil Amoxicillin sodium / clavulanic acid
Injectabil Gentamicin sulfate
3643
Incompatibilitate nespecificată Incompatibil
Injectabil Amoxicillin sodium / clavulanic acid
Injectabil Gentamicin sulfate
3545
Incompatibilitate nespecificată Incompatibil
Injectabil Amoxicillin sodium / clavulanic acid
Injectabil Gentamicin sulfate
3520
Compatibil
Injectabil Amoxicillin sodium / clavulanic acid 100/10 mg/ml
Injectabil Gentamicin sulfate 40 mg/ml
3824
Compatibil
Injectabil Amoxicillin sodium / clavulanic acid 100/10 mg/ml
Injectabil Granisetron hydrochloride 1 mg/ml
3824
Precipitații imediate Incompatibil
Injectabil Amoxicillin sodium / clavulanic acid 100/10 mg/ml
Injectabil Haloperidol lactate 5 mg/ml
3824
Compatibil
Injectabil Amoxicillin sodium / clavulanic acid 100/10 mg/ml
Injectabil Heparin sodium 1000 UI/ml
3824
Incompatibil
Injectabil Amoxicillin sodium / clavulanic acid 100/10 mg/ml
Injectabil Human albumin 250 mg/ml
3824
Incompatibilitate nespecificată Incompatibil
Injectabil Amoxicillin sodium / clavulanic acid
Injectabil Hydrocortisone sodium succinate
3545
Compatibil
Injectabil Amoxicillin sodium / clavulanic acid 100/10 mg/ml
Injectabil Hydrocortisone sodium succinate 50 mg/ml
3824
Compatibil
Injectabil Amoxicillin sodium / clavulanic acid 100/10 mg/ml
Injectabil Hydromorphone hydrochloride 10 mg/ml
3824
Precipitații imediate Incompatibil
Injectabil Amoxicillin sodium / clavulanic acid 100/10 mg/ml
Injectabil Imipenem - cilastatin sodium 50 mg/ml
3824
Compatibil
Injectabil Amoxicillin sodium / clavulanic acid 100/10 mg/ml
Injectabil Insulin 100 UI/ml
3824
Incompatibilitate nespecificată Incompatibil
Injectabil Amoxicillin sodium / clavulanic acid
Injectabil Kanamycin sulfate
3545
Precipitații imediate Incompatibil
Injectabil Amoxicillin sodium / clavulanic acid 100/10 mg/ml
Injectabil Ketamine hydrochloride 50 mg/ml
3824
Compatibil
Injectabil Amoxicillin sodium / clavulanic acid 100/10 mg/ml
Injectabil L-carnitine 200 mg/ml
3824
Compatibil
Injectabil Amoxicillin sodium / clavulanic acid 100/10 mg/ml
Injectabil Labetalol hydrochloride 5 mg/ml
3824
Compatibil
Injectabil Amoxicillin sodium / clavulanic acid 100/10 mg/ml
Injectabil Levofloxacine 5 mg/ml
3824
Compatibil
Injectabil Amoxicillin sodium / clavulanic acid 100/10 mg/ml
Injectabil Lidocaine hydrochloride 1 mg/ml
3824
Compatibil
Injectabil Amoxicillin sodium / clavulanic acid 100/10 mg/ml
Injectabil Linezolid 2 mg/ml
3824
Compatibil
Injectabil Amoxicillin sodium / clavulanic acid 100/10 mg/ml
Injectabil Lorazepam 4 mg/ml
3824
Compatibil
Injectabil Amoxicillin sodium / clavulanic acid 20/2 mg/ml
Injectabil Lorazepam 0.33 mg/ml
clorura de sodiu 0,9% 186
Compatibil
Injectabil Amoxicillin sodium / clavulanic acid 100/10 mg/ml
Injectabil Magnesium sulfate 500 mg/ml
3824
Incompatibilitate nespecificată Incompatibil
Injectabil Amoxicillin sodium / clavulanic acid
Injectabil Mannitol
3545
Compatibil
Injectabil Amoxicillin sodium / clavulanic acid 100/10 mg/ml
Injectabil Mannitol 250 mg/ml
3824
Compatibil
Injectabil Amoxicillin sodium / clavulanic acid 100/10 mg/ml
Injectabil Meropenem 50 mg/ml
3824
Incompatibilitate nespecificată Incompatibil
Injectabil Amoxicillin sodium / clavulanic acid
Injectabil Methylprednisolone acetate
3545
Incompatibilitate nespecificată Incompatibil
Injectabil Amoxicillin sodium / clavulanic acid
Injectabil Methylprednisolone sodium succinate
3545
Incompatibil
Injectabil Amoxicillin sodium / clavulanic acid 100/10 mg/ml
Injectabil Methylprednisolone sodium succinate 125 mg/ml
3824
Compatibil
Injectabil Amoxicillin sodium / clavulanic acid 100/10 mg/ml
Injectabil Metoclopramide hydrochloride 5 mg/ml
3824
Compatibil
Injectabil Amoxicillin sodium / clavulanic acid 100/10 mg/ml
Injectabil Metronidazole 5 mg/ml
3824
Compatibil
Injectabil Amoxicillin sodium / clavulanic acid 100/10 mg/ml
Injectabil Micafungin 20 mg/ml
3824
Schimbarea culorii Incompatibil
Injectabil Amoxicillin sodium / clavulanic acid 100/10 mg/ml
Injectabil Midazolam hydrochloride 5 mg/ml
3824
Precipitații imediate Incompatibil
Injectabil Amoxicillin sodium / clavulanic acid 20/2 mg/ml
Injectabil Midazolam hydrochloride 5 mg/ml
fara 186
Compatibil
Injectabil Amoxicillin sodium / clavulanic acid 100/10 mg/ml
Injectabil Milrinone lactate 1 mg/ml
3824
Compatibil
Injectabil Amoxicillin sodium / clavulanic acid 100/10 mg/ml
Injectabil Morphine sulfate 50 mg/ml
3824
Compatibil
Injectabil Amoxicillin sodium / clavulanic acid 100/10 mg/ml
Injectabil N-acetylcysteine 200 mg/ml
3824
Compatibil
Injectabil Amoxicillin sodium / clavulanic acid 100/10 mg/ml
Injectabil Naloxone hydrochloride 0,4 mg/ml
3824
Incompatibilitate nespecificată Incompatibil
Injectabil Amoxicillin sodium / clavulanic acid
Injectabil Netilmicin sulfate
3545
Schimbarea culorii Incompatibil
Injectabil Amoxicillin sodium / clavulanic acid 100/10 mg/ml
Injectabil Nicardipine hydrochloride 1 mg/ml
3824
Turbiditate într-o oră Incompatibil
Injectabil Amoxicillin sodium / clavulanic acid 100/10 mg/ml
Injectabil Nitroglycerin 5 mg/ml
3824
Compatibil
Injectabil Amoxicillin sodium / clavulanic acid 100/10 mg/ml
Injectabil Norepinephrine bitartrate 1 mg/ml
3824
Compatibil
Injectabil Amoxicillin sodium / clavulanic acid 100/10 mg/ml
Injectabil Octreotide acetate 0.5 mg/ml
3824
Compatibil
Injectabil Amoxicillin sodium / clavulanic acid 12 mg/ml
Injectabil Ofloxacin 2 mg/ml
fara 889
Precipitații imediate Incompatibil
Injectabil Amoxicillin sodium / clavulanic acid 100/10 mg/ml
Injectabil Ondansetron hydrochloride 2 mg/ml
3824
Compatibil
Injectabil Amoxicillin sodium / clavulanic acid 100/10 mg/ml
Injectabil Oxytocin 10 UI/ml
3824
Compatibil
Injectabil Amoxicillin sodium / clavulanic acid 100/10 mg/ml
Injectabil Pantoprazole sodium 4 mg/ml
3824
Compatibil
Injectabil Amoxicillin sodium / clavulanic acid 100/10 mg/ml
Injectabil Paracetamol 10 mg/ml
3824
Incompatibilitate nespecificată Incompatibil
Injectabil Amoxicillin sodium / clavulanic acid
Injectabil Phenylephrine hydrochloride
3545
Compatibil
Injectabil Amoxicillin sodium / clavulanic acid 100/10 mg/ml
Injectabil Phenylephrine hydrochloride 0,01 mg/ml
3824
Precipitații imediate Incompatibil
Injectabil Amoxicillin sodium / clavulanic acid 100/10 mg/ml
Injectabil Phenytoin sodium 50 mg/ml
3824
Instabilitate chimică Incompatibil
Injectabil Amoxicillin sodium / clavulanic acid 10 mg/ml
Injectabil Phloroglucinol 2,5 mg/ml
3791
Compatibil
Injectabil Amoxicillin sodium / clavulanic acid 100/10 mg/ml
Injectabil Piperacillin sodium / tazobactam 100 mg/ml
3824
Compatibil
Injectabil Amoxicillin sodium / clavulanic acid 100/10 mg/ml
Injectabil Potassium chloride 2 mEq/l
3824
Compatibil
Injectabil Amoxicillin sodium / clavulanic acid 100/10 mg/ml
Injectabil Potassium phosphate 3 mmol/ml
3824
Compatibil
Injectabil Amoxicillin sodium / clavulanic acid 60 mg/ml
Injectabil Propofol
4524
Compatibil
Injectabil Amoxicillin sodium / clavulanic acid 100/10 mg/ml
Injectabil Rocuronium bromide 10 mg/ml
3824
Compatibil
Injectabil Amoxicillin sodium / clavulanic acid 100/10 mg/ml
Injectabil Salbutamol sulfate 1 mg/ml
3824
Compatibil
Injectabil Amoxicillin sodium / clavulanic acid 100/10 mg/ml
Injectabil Sodium bicarbonate 84 mg/ml
3824
Incompatibilitate nespecificată Incompatibil
Injectabil Amoxicillin sodium / clavulanic acid
Injectabil Sodium bicarbonate
3545
Compatibil
Injectabil Amoxicillin sodium / clavulanic acid 100/10 mg/ml
Injectabil Sufentanil citrate 0,05 mg/ml
3824
Instabilitate chimică Incompatibil
Injectabil Amoxicillin sodium / clavulanic acid 20 mg/ml
Injectabil Temocilline 83.33 mg/ml
apa pentru preparate injectabile 2231
Incompatibilitate nespecificată Incompatibil
Injectabil Amoxicillin sodium / clavulanic acid
Injectabil Temocilline
4470
Compatibil
Injectabil Amoxicillin sodium / clavulanic acid 100/10 mg/ml
Injectabil Thiamine hydrochloride 100 mg/ml
3824
Compatibil
Injectabil Amoxicillin sodium / clavulanic acid 100/10 mg/ml
Injectabil Tobramycin sulfate 40 mg/ml
3824
Incompatibilitate nespecificată Incompatibil
Injectabil Amoxicillin sodium / clavulanic acid
Injectabil Tobramycin sulfate
3545
Compatibil
Injectabil Amoxicillin sodium / clavulanic acid 100/10 mg/ml
Injectabil Tranexamic acid 100 mg/ml
3824
Compatibil
Injectabil Amoxicillin sodium / clavulanic acid 100/10 mg/ml
Injectabil Vancomycin hydrochloride 50 mg/ml
3824
Turbiditate imediată Incompatibil
Injectabil Amoxicillin sodium / clavulanic acid 100/10 mg/ml
Injectabil Verapamil hydrochloride 10 mg/ml
3824
Compatibil
Injectabil Amoxicillin sodium / clavulanic acid 100/10 mg/ml
Injectabil Voriconazole 10 mg/ml
3824
Compatibil
Injectabil Amoxicillin sodium / clavulanic acid 100/10 mg/ml
Injectabil Zidovudine 10 mg/ml
3824
Incompatibilitate nespecificată Incompatibil
Injectabil Amoxicillin sodium / clavulanic acid
NaHCO3 3545

  Mentions Légales