Ultimo aggiornamento :
27/11/2025
Antibiotico   Amoxicillin sodium / clavulanic acid  
Iniezione
Soluzione orale
Stabilità in soluzione Stabilità in miscela Fattori che influenzano la stabilità Compatibilità metodo di iniezione Bibliografia pdf
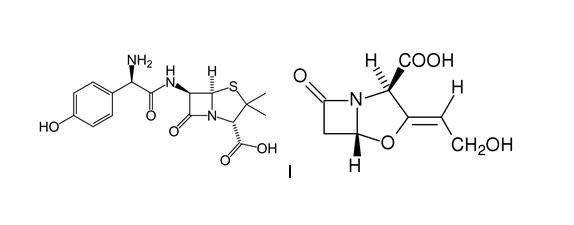
   Struttura chimica  

Nome commerciale   Nome commerciale     

Trade names are indicative and excipients composition can be different depending on the country and manufacturers

Aktil Ungheria
Amoclan Arabia Saudita
Amoklavin Turchia
Amoksiklav Polonia
Amoxclav Arabia Saudita
Amplamox Brasile
Augmentin Arabia Saudita, Austria, Belgio, Chile, Ecuador, Emirati Arabi Uniti, Francia, Gran Bretagna, Grecia, Italia, Paesi Bassi, Polonia, Spagna, Svizzera, Turchia
Betamox Portogallo
Clavamox Austria
Clavicin Malaysia, Venezuela
Clavulin Brasile
Co-amoxi Svizzera
Co-Amoxicillin Svizzera
Curam Arabia Saudita, nuova Zelanda
Darzitil Argentina
Dibional Argentina
Julmentin Emirati Arabi Uniti
Novamox Brasile
Sulbamox Chile
Tarometin Polonia
Trifamox Argentina, Colombia, Ecuador, Messico
Compatibilità   Iniezione   Compatibilità : Amoxicillin sodium / clavulanic acid              
explication_incompatibilite_molecules
Molecola Solvente Bibliografia
Instabilità chimica Incompatibile
Iniezione Amoxicillin sodium / clavulanic acid
Iniezione Amikacin sulfate
3549
Incompatibilità non specificata Incompatibile
Iniezione Amoxicillin sodium / clavulanic acid
Nutrizione parenterale (con lipidi) 3545
Precipitazioni immediate Incompatibile
Iniezione Amoxicillin sodium / clavulanic acid 100/10 mg/ml
Iniezione Aciclovir sodium 50 mg/ml
3824
Compatibile
Iniezione Amoxicillin sodium / clavulanic acid
Cloruro di sodio 0,9% 3545
Incompatibilità non specificata Incompatibile
Iniezione Amoxicillin sodium / clavulanic acid
Glucosio 5% 3545
Compatibile
Iniezione Amoxicillin sodium / clavulanic acid 100/10 mg/ml
Iniezione Amikacin sulfate 250 mg/ml
3824
Incompatibilità non specificata Incompatibile
Iniezione Amoxicillin sodium / clavulanic acid
Iniezione Amikacin sulfate
3545
Cambio colore dopo 1 ora Incompatibile
Iniezione Amoxicillin sodium / clavulanic acid 50/10 mg/ml
Nutrizione parenterale (con lipidi) 3948
Compatibile
Iniezione Amoxicillin sodium / clavulanic acid 100/10 mg/ml
Iniezione Aminophylline 25 mg/ml
3824
Precipitazioni immediate Incompatibile
Iniezione Amoxicillin sodium / clavulanic acid 10 mg/ml
Iniezione Amiodarone hydrochloride 12.5 mg/ml
2139
Cambio di colore Incompatibile
Iniezione Amoxicillin sodium / clavulanic acid 100/10 mg/ml
Iniezione Amiodarone hydrochloride 50 mg/ml
3824
Compatibile
Iniezione Amoxicillin sodium / clavulanic acid 100/10 mg/ml
Iniezione Amphotericin B liposomale 2 mg/ml
3824
Compatibile
Iniezione Amoxicillin sodium / clavulanic acid 100/10 mg/ml
Iniezione Ampicillin sodium 100 mg/ml
3824
Compatibile
Iniezione Amoxicillin sodium / clavulanic acid 100/10 mg/ml
Iniezione Atropine sulfate 0,4 mg/ml
3824
Compatibile
Iniezione Amoxicillin sodium / clavulanic acid 100/10 mg/ml
Iniezione Azithromycine 100 mg/ml
3824
Compatibile
Iniezione Amoxicillin sodium / clavulanic acid 100/10 mg/ml
Iniezione Calcium chloride 100 mg/ml
3824
Compatibile
Iniezione Amoxicillin sodium / clavulanic acid 100/10 mg/ml
Iniezione Calcium gluconate 100 mg/ml
3824
Compatibile
Iniezione Amoxicillin sodium / clavulanic acid 100/10 mg/ml
Iniezione Cefazolin sodium 100 mg/ml
3824
Compatibile
Iniezione Amoxicillin sodium / clavulanic acid 100/10 mg/ml
Iniezione Cefotaxime sodium 100 mg/ml
3824
Compatibile
Iniezione Amoxicillin sodium / clavulanic acid 100/10 mg/ml
Iniezione Cefoxitin sodium 100 mg/ml
3824
Compatibile
Iniezione Amoxicillin sodium / clavulanic acid 100/10 mg/ml
Iniezione Ceftazidime 100 mg/ml
3824
Compatibile
Iniezione Amoxicillin sodium / clavulanic acid 100/10 mg/ml
Iniezione Ceftriaxone disodium 100 mg/ml
3824
Torbidità immediata Incompatibile
Iniezione Amoxicillin sodium / clavulanic acid 100/10 mg/ml
Iniezione Ciclosporin 50 mg/ml
3824
Precipitazioni immediate Incompatibile
Iniezione Amoxicillin sodium / clavulanic acid 12 mg/ml
Iniezione Ciprofloxacin lactate 2 mg/ml
Nessuno 1357
Incompatibilità non specificata Incompatibile
Iniezione Amoxicillin sodium / clavulanic acid
Iniezione Ciprofloxacin lactate
3529
Compatibile
Iniezione Amoxicillin sodium / clavulanic acid 100/10 mg/ml
Iniezione Ciprofloxacin lactate 2 mg/ml
3824
Compatibile
Iniezione Amoxicillin sodium / clavulanic acid 100/10 mg/ml
Iniezione Cloxacillin sodium 100 mg/ml
3824
Compatibile
Iniezione Amoxicillin sodium / clavulanic acid 100/10 mg/ml
Iniezione Co-trimoxazole 16/80 mg/ml
3824
Compatibile
Iniezione Amoxicillin sodium / clavulanic acid
Iniezione Daunorubicin/cytarabine liposomale 0,4 mg/mL
Cloruro di sodio 0,9% 4654
Cambio colore dopo 1 ora Incompatibile
Iniezione Amoxicillin sodium / clavulanic acid 50/10 mg/ml
Nutrizione parenterale (privo di lipidi) 3948
Torbidità in un'ora Incompatibile
Iniezione Amoxicillin sodium / clavulanic acid 100/10 mg/ml
Iniezione Clindamycin phosphate 150 mg/ml
3824
Incompatibilità non specificata Incompatibile
Iniezione Amoxicillin sodium / clavulanic acid
Nutrizione parenterale (privo di lipidi) 3545
Compatibile
Iniezione Amoxicillin sodium / clavulanic acid 100/10 mg/ml
Iniezione Cefuroxime sodium 100 mg/ml
3824
Compatibile
Iniezione Amoxicillin sodium / clavulanic acid 100/10 mg/ml
Iniezione Dexamethasone sodium phosphate 4 mg/ml
3824
Incompatibilità non specificata Incompatibile
Iniezione Amoxicillin sodium / clavulanic acid
Iniezione Dexamethasone sodium phosphate
3545
Compatibile
Iniezione Amoxicillin sodium / clavulanic acid 100/10 mg/ml
Iniezione Dexmedetomidine 100 µg/ml
3824
Compatibile
Iniezione Amoxicillin sodium / clavulanic acid 100/10 mg/ml
Iniezione Diazepam 5 mg/ml
3824
Compatibile
Iniezione Amoxicillin sodium / clavulanic acid 100/10 mg/ml
Iniezione Digoxin 250 µg/ml
3824
Compatibile
Iniezione Amoxicillin sodium / clavulanic acid 100/10 mg/ml
Iniezione Dimenhydrinate 10 mg/ml
3824
Cambio di colore Incompatibile
Iniezione Amoxicillin sodium / clavulanic acid 100/10 mg/ml
Iniezione Diphenhydramine hydrochloride 50 mg/ml
3824
Precipitazioni immediate Incompatibile
Iniezione Amoxicillin sodium / clavulanic acid 100/10 mg/ml
Iniezione Dobutamine hydrochloride 12,5 mg/ml
3824
Compatibile
Iniezione Amoxicillin sodium / clavulanic acid 100/10 mg/ml
Iniezione Dopamine hydrochloride 3,2 mg/ml
3824
Compatibile
Iniezione Amoxicillin sodium / clavulanic acid 100/10 mg/ml
Iniezione Enalaprilate 1,25 mg/ml
3824
Compatibile
Iniezione Amoxicillin sodium / clavulanic acid 100/10 mg/ml
Iniezione Epinephrine hydrochloride 1000 µg/ml
3824
Compatibile
Iniezione Amoxicillin sodium / clavulanic acid 100/10 mg/ml
Iniezione Ertapenem 100 mg/ml
3824
Precipitazioni immediate Incompatibile
Iniezione Amoxicillin sodium / clavulanic acid 100/10 mg/ml
Iniezione Erythromycin lactobionate 50 mg/ml
3824
Incompatibilità non specificata Incompatibile
Iniezione Amoxicillin sodium / clavulanic acid
Iniezione Erythromycin lactobionate
3674
Compatibile
Iniezione Amoxicillin sodium / clavulanic acid 100/10 mg/ml
Iniezione Esmolol hydrochloride 10 mg/ml
3824
Compatibile
Iniezione Amoxicillin sodium / clavulanic acid 100/10 mg/ml
Iniezione Famotidine 10 mg/ml
3824
Compatibile
Iniezione Amoxicillin sodium / clavulanic acid 100/10 mg/ml
Iniezione Fentanyl citrate 50 µg/ml
3824
Compatibile
Iniezione Amoxicillin sodium / clavulanic acid 100/10 mg/ml
Iniezione Fluconazole 2 mg/ml
3824
Compatibile
Iniezione Amoxicillin sodium / clavulanic acid 100/10 mg/ml
Iniezione Furosemide 10 mg/ml
3824
Incompatibilità non specificata Incompatibile
Iniezione Amoxicillin sodium / clavulanic acid
Iniezione Gentamicin sulfate
3643
Incompatibilità non specificata Incompatibile
Iniezione Amoxicillin sodium / clavulanic acid
Iniezione Gentamicin sulfate
3545
Incompatibilità non specificata Incompatibile
Iniezione Amoxicillin sodium / clavulanic acid
Iniezione Gentamicin sulfate
3520
Compatibile
Iniezione Amoxicillin sodium / clavulanic acid 100/10 mg/ml
Iniezione Gentamicin sulfate 40 mg/ml
3824
Compatibile
Iniezione Amoxicillin sodium / clavulanic acid 100/10 mg/ml
Iniezione Granisetron hydrochloride 1 mg/ml
3824
Precipitazioni immediate Incompatibile
Iniezione Amoxicillin sodium / clavulanic acid 100/10 mg/ml
Iniezione Haloperidol lactate 5 mg/ml
3824
Compatibile
Iniezione Amoxicillin sodium / clavulanic acid 100/10 mg/ml
Iniezione Heparin sodium 1000 UI/ml
3824
Incompatibile
Iniezione Amoxicillin sodium / clavulanic acid 100/10 mg/ml
Iniezione Human albumin 250 mg/ml
3824
Incompatibilità non specificata Incompatibile
Iniezione Amoxicillin sodium / clavulanic acid
Iniezione Hydrocortisone sodium succinate
3545
Compatibile
Iniezione Amoxicillin sodium / clavulanic acid 100/10 mg/ml
Iniezione Hydrocortisone sodium succinate 50 mg/ml
3824
Compatibile
Iniezione Amoxicillin sodium / clavulanic acid 100/10 mg/ml
Iniezione Hydromorphone hydrochloride 10 mg/ml
3824
Precipitazioni immediate Incompatibile
Iniezione Amoxicillin sodium / clavulanic acid 100/10 mg/ml
Iniezione Imipenem - cilastatin sodium 50 mg/ml
3824
Compatibile
Iniezione Amoxicillin sodium / clavulanic acid 100/10 mg/ml
Iniezione Insulin 100 UI/ml
3824
Incompatibilità non specificata Incompatibile
Iniezione Amoxicillin sodium / clavulanic acid
Iniezione Kanamycin sulfate
3545
Precipitazioni immediate Incompatibile
Iniezione Amoxicillin sodium / clavulanic acid 100/10 mg/ml
Iniezione Ketamine hydrochloride 50 mg/ml
3824
Compatibile
Iniezione Amoxicillin sodium / clavulanic acid 100/10 mg/ml
Iniezione L-carnitine 200 mg/ml
3824
Compatibile
Iniezione Amoxicillin sodium / clavulanic acid 100/10 mg/ml
Iniezione Labetalol hydrochloride 5 mg/ml
3824
Compatibile
Iniezione Amoxicillin sodium / clavulanic acid 100/10 mg/ml
Iniezione Levofloxacine 5 mg/ml
3824
Compatibile
Iniezione Amoxicillin sodium / clavulanic acid 100/10 mg/ml
Iniezione Lidocaine hydrochloride 1 mg/ml
3824
Compatibile
Iniezione Amoxicillin sodium / clavulanic acid 100/10 mg/ml
Iniezione Linezolid 2 mg/ml
3824
Compatibile
Iniezione Amoxicillin sodium / clavulanic acid 100/10 mg/ml
Iniezione Lorazepam 4 mg/ml
3824
Compatibile
Iniezione Amoxicillin sodium / clavulanic acid 20/2 mg/ml
Iniezione Lorazepam 0.33 mg/ml
Cloruro di sodio 0,9% 186
Compatibile
Iniezione Amoxicillin sodium / clavulanic acid 100/10 mg/ml
Iniezione Magnesium sulfate 500 mg/ml
3824
Incompatibilità non specificata Incompatibile
Iniezione Amoxicillin sodium / clavulanic acid
Iniezione Mannitol
3545
Compatibile
Iniezione Amoxicillin sodium / clavulanic acid 100/10 mg/ml
Iniezione Mannitol 250 mg/ml
3824
Compatibile
Iniezione Amoxicillin sodium / clavulanic acid 100/10 mg/ml
Iniezione Meropenem 50 mg/ml
3824
Incompatibilità non specificata Incompatibile
Iniezione Amoxicillin sodium / clavulanic acid
Iniezione Methylprednisolone acetate
3545
Incompatibilità non specificata Incompatibile
Iniezione Amoxicillin sodium / clavulanic acid
Iniezione Methylprednisolone sodium succinate
3545
Incompatibile
Iniezione Amoxicillin sodium / clavulanic acid 100/10 mg/ml
Iniezione Methylprednisolone sodium succinate 125 mg/ml
3824
Compatibile
Iniezione Amoxicillin sodium / clavulanic acid 100/10 mg/ml
Iniezione Metoclopramide hydrochloride 5 mg/ml
3824
Compatibile
Iniezione Amoxicillin sodium / clavulanic acid 100/10 mg/ml
Iniezione Metronidazole 5 mg/ml
3824
Compatibile
Iniezione Amoxicillin sodium / clavulanic acid 100/10 mg/ml
Iniezione Micafungin 20 mg/ml
3824
Cambio di colore Incompatibile
Iniezione Amoxicillin sodium / clavulanic acid 100/10 mg/ml
Iniezione Midazolam hydrochloride 5 mg/ml
3824
Precipitazioni immediate Incompatibile
Iniezione Amoxicillin sodium / clavulanic acid 20/2 mg/ml
Iniezione Midazolam hydrochloride 5 mg/ml
Nessuno 186
Compatibile
Iniezione Amoxicillin sodium / clavulanic acid 100/10 mg/ml
Iniezione Milrinone lactate 1 mg/ml
3824
Compatibile
Iniezione Amoxicillin sodium / clavulanic acid 100/10 mg/ml
Iniezione Morphine sulfate 50 mg/ml
3824
Compatibile
Iniezione Amoxicillin sodium / clavulanic acid 100/10 mg/ml
Iniezione N-acetylcysteine 200 mg/ml
3824
Compatibile
Iniezione Amoxicillin sodium / clavulanic acid 100/10 mg/ml
Iniezione Naloxone hydrochloride 0,4 mg/ml
3824
Incompatibilità non specificata Incompatibile
Iniezione Amoxicillin sodium / clavulanic acid
Iniezione Netilmicin sulfate
3545
Cambio di colore Incompatibile
Iniezione Amoxicillin sodium / clavulanic acid 100/10 mg/ml
Iniezione Nicardipine hydrochloride 1 mg/ml
3824
Torbidità in un'ora Incompatibile
Iniezione Amoxicillin sodium / clavulanic acid 100/10 mg/ml
Iniezione Nitroglycerin 5 mg/ml
3824
Compatibile
Iniezione Amoxicillin sodium / clavulanic acid 100/10 mg/ml
Iniezione Norepinephrine bitartrate 1 mg/ml
3824
Compatibile
Iniezione Amoxicillin sodium / clavulanic acid 100/10 mg/ml
Iniezione Octreotide acetate 0.5 mg/ml
3824
Compatibile
Iniezione Amoxicillin sodium / clavulanic acid 12 mg/ml
Iniezione Ofloxacin 2 mg/ml
Nessuno 889
Precipitazioni immediate Incompatibile
Iniezione Amoxicillin sodium / clavulanic acid 100/10 mg/ml
Iniezione Ondansetron hydrochloride 2 mg/ml
3824
Compatibile
Iniezione Amoxicillin sodium / clavulanic acid 100/10 mg/ml
Iniezione Oxytocin 10 UI/ml
3824
Compatibile
Iniezione Amoxicillin sodium / clavulanic acid 100/10 mg/ml
Iniezione Pantoprazole sodium 4 mg/ml
3824
Compatibile
Iniezione Amoxicillin sodium / clavulanic acid 100/10 mg/ml
Iniezione Paracetamol 10 mg/ml
3824
Incompatibilità non specificata Incompatibile
Iniezione Amoxicillin sodium / clavulanic acid
Iniezione Phenylephrine hydrochloride
3545
Compatibile
Iniezione Amoxicillin sodium / clavulanic acid 100/10 mg/ml
Iniezione Phenylephrine hydrochloride 0,01 mg/ml
3824
Precipitazioni immediate Incompatibile
Iniezione Amoxicillin sodium / clavulanic acid 100/10 mg/ml
Iniezione Phenytoin sodium 50 mg/ml
3824
Instabilità chimica Incompatibile
Iniezione Amoxicillin sodium / clavulanic acid 10 mg/ml
Iniezione Phloroglucinol 2,5 mg/ml
3791
Compatibile
Iniezione Amoxicillin sodium / clavulanic acid 100/10 mg/ml
Iniezione Piperacillin sodium / tazobactam 100 mg/ml
3824
Compatibile
Iniezione Amoxicillin sodium / clavulanic acid 100/10 mg/ml
Iniezione Potassium chloride 2 mEq/l
3824
Compatibile
Iniezione Amoxicillin sodium / clavulanic acid 100/10 mg/ml
Iniezione Potassium phosphate 3 mmol/ml
3824
Compatibile
Iniezione Amoxicillin sodium / clavulanic acid 60 mg/ml
Iniezione Propofol
4524
Compatibile
Iniezione Amoxicillin sodium / clavulanic acid 100/10 mg/ml
Iniezione Rocuronium bromide 10 mg/ml
3824
Compatibile
Iniezione Amoxicillin sodium / clavulanic acid 100/10 mg/ml
Iniezione Salbutamol sulfate 1 mg/ml
3824
Compatibile
Iniezione Amoxicillin sodium / clavulanic acid 100/10 mg/ml
Iniezione Sodium bicarbonate 84 mg/ml
3824
Incompatibilità non specificata Incompatibile
Iniezione Amoxicillin sodium / clavulanic acid
Iniezione Sodium bicarbonate
3545
Compatibile
Iniezione Amoxicillin sodium / clavulanic acid 100/10 mg/ml
Iniezione Sufentanil citrate 0,05 mg/ml
3824
Instabilità chimica Incompatibile
Iniezione Amoxicillin sodium / clavulanic acid 20 mg/ml
Iniezione Temocilline 83.33 mg/ml
Acqua per preparato iniettabile 2231
Incompatibilità non specificata Incompatibile
Iniezione Amoxicillin sodium / clavulanic acid
Iniezione Temocilline
4470
Compatibile
Iniezione Amoxicillin sodium / clavulanic acid 100/10 mg/ml
Iniezione Thiamine hydrochloride 100 mg/ml
3824
Compatibile
Iniezione Amoxicillin sodium / clavulanic acid 100/10 mg/ml
Iniezione Tobramycin sulfate 40 mg/ml
3824
Incompatibilità non specificata Incompatibile
Iniezione Amoxicillin sodium / clavulanic acid
Iniezione Tobramycin sulfate
3545
Compatibile
Iniezione Amoxicillin sodium / clavulanic acid 100/10 mg/ml
Iniezione Tranexamic acid 100 mg/ml
3824
Compatibile
Iniezione Amoxicillin sodium / clavulanic acid 100/10 mg/ml
Iniezione Vancomycin hydrochloride 50 mg/ml
3824
Torbidità immediata Incompatibile
Iniezione Amoxicillin sodium / clavulanic acid 100/10 mg/ml
Iniezione Verapamil hydrochloride 10 mg/ml
3824
Compatibile
Iniezione Amoxicillin sodium / clavulanic acid 100/10 mg/ml
Iniezione Voriconazole 10 mg/ml
3824
Compatibile
Iniezione Amoxicillin sodium / clavulanic acid 100/10 mg/ml
Iniezione Zidovudine 10 mg/ml
3824
Incompatibilità non specificata Incompatibile
Iniezione Amoxicillin sodium / clavulanic acid
NaHCO3 3545

  Mentions Légales