Dernière mise à jour :
03/02/2026
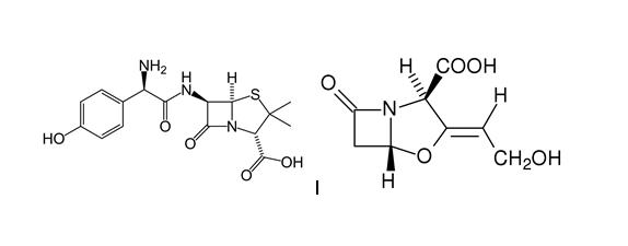
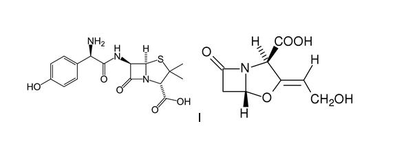
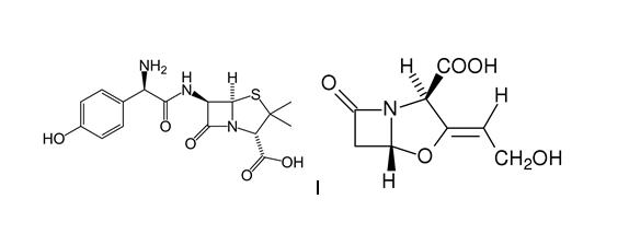
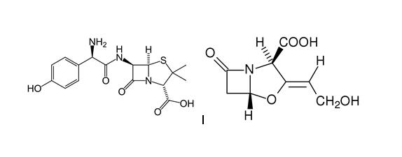
Antibiotique   Amoxicillin sodium / clavulanic acid  
Solution buvable
injectable
Stabilité des préparations Stabilité en mélange Facteur influençant la stabilité Compatibilités Bibliographie pdf
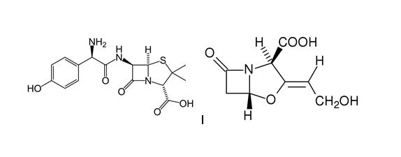
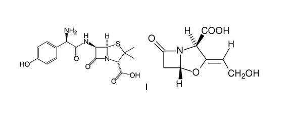
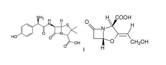
   Structure chimique  

Solution buvable
Stabilité des préparations   Solution buvable   Stabilité des préparations : Amoxicillin sodium / clavulanic acid     
Contenant Origine Excipient Température Conservation Durée de stabilité Bibliographie
Flacon plastique Poudre 125/31,25 mg
Augmentin®
Eau purifiée 134 mL
25°C Non précisée
7 Jour
2508

Flacon plastique Poudre 250/62,5 mg
Augmentin®
Eau purifiée 130 mL
25°C Non précisée
7 Jour
2508

Flacon plastique Poudre 125/31,25 mg
Augmentin®
Eau purifiée 134 mL
5°C Non précisée
10 Jour
2508

Flacon plastique Poudre 250/62,5 mg
Augmentin®
Eau purifiée 130 mL
5°C Non précisée
10 Jour
2508

Non précisé Poudre 5 g/1.25 g
Augmentin®
Eau distillée >> 100 ml
8°C Non précisée
7 Jour
2951


  Mentions Légales