Last update :
27/11/2025
Antibiotic   Amoxicillin sodium / clavulanic acid  
injection
Oral solution
Stability in solutions Stability of mixtures Factors which affect stability Compatibility Route of administration References pdf
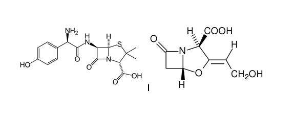
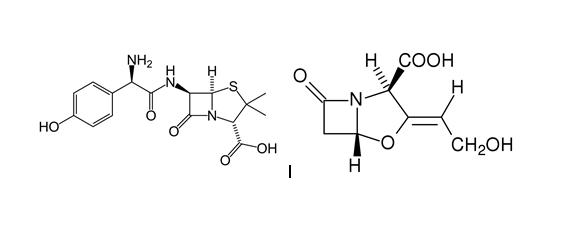
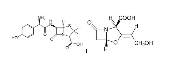
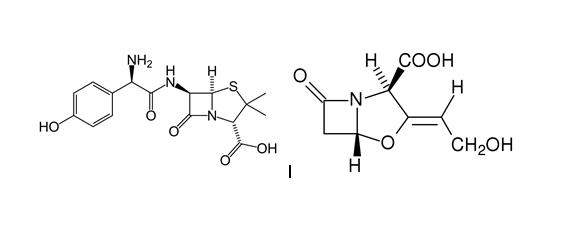
   Chemical structure  

Tradename   Tradename     

Trade names are indicative and excipients composition can be different depending on the country and manufacturers

Aktil Hungary
Amoclan Saudi Arabia
Amoklavin Turkey
Amoksiklav Poland
Amoxclav Saudi Arabia
Amplamox Brazil
Augmentin Austria, Belgium, Chile, Ecuador, France, Great Britain, Greece, Italy, Netherlands, Poland, Saudi Arabia, Spain, Switzerland, Turkey, United Arab Emirates
Betamox Portugal
Clavamox Austria
Clavicin Malaysia, Venezuela
Clavulin Brazil
Co-amoxi Switzerland
Co-Amoxicillin Switzerland
Curam New Zealand, Saudi Arabia
Darzitil Argentina
Dibional Argentina
Julmentin United Arab Emirates
Novamox Brazil
Sulbamox Chile
Tarometin Poland
Trifamox Argentina, Colombia, Ecuador, Mexico
Compatibility   injection   Compatibility : Amoxicillin sodium / clavulanic acid              
This screen indicates the compatibilities or incompatibilities with, in this case, the type of incompatibility (precipitation, color change, modification of an emulsion, etc.). The compatibilities shown here are mostly physical only, with the chemical stability of each molecule rarely being assessed. The evaluation of these mixtures was studied to consider the possibility of Y-site administration to the patient. These data cannot be used for making mixtures in advance in bags or syringes. This type of information is available in the screen "Stability in mixture ».
Compound Solvent References
Chemical instability Incompatible
injection Amoxicillin sodium / clavulanic acid
injection Amikacin sulfate
3549
Unspecified incompatibility Incompatible
injection Amoxicillin sodium / clavulanic acid
Parenteral nutrition (with lipids) 3545
Immediate precipitation Incompatible
injection Amoxicillin sodium / clavulanic acid 100/10 mg/ml
injection Aciclovir sodium 50 mg/ml
3824
Compatible
injection Amoxicillin sodium / clavulanic acid
Sodium chloride 0,9% 3545
Unspecified incompatibility Incompatible
injection Amoxicillin sodium / clavulanic acid
Glucose 5% 3545
Compatible
injection Amoxicillin sodium / clavulanic acid 100/10 mg/ml
injection Amikacin sulfate 250 mg/ml
3824
Unspecified incompatibility Incompatible
injection Amoxicillin sodium / clavulanic acid
injection Amikacin sulfate
3545
Color change after 1 hour Incompatible
injection Amoxicillin sodium / clavulanic acid 50/10 mg/ml
Parenteral nutrition (with lipids) 3948
Compatible
injection Amoxicillin sodium / clavulanic acid 100/10 mg/ml
injection Aminophylline 25 mg/ml
3824
Immediate precipitation Incompatible
injection Amoxicillin sodium / clavulanic acid 10 mg/ml
injection Amiodarone hydrochloride 12.5 mg/ml
2139
Color change Incompatible
injection Amoxicillin sodium / clavulanic acid 100/10 mg/ml
injection Amiodarone hydrochloride 50 mg/ml
3824
Compatible
injection Amoxicillin sodium / clavulanic acid 100/10 mg/ml
injection Amphotericin B liposomale 2 mg/ml
3824
Compatible
injection Amoxicillin sodium / clavulanic acid 100/10 mg/ml
injection Ampicillin sodium 100 mg/ml
3824
Compatible
injection Amoxicillin sodium / clavulanic acid 100/10 mg/ml
injection Atropine sulfate 0,4 mg/ml
3824
Compatible
injection Amoxicillin sodium / clavulanic acid 100/10 mg/ml
injection Azithromycine 100 mg/ml
3824
Compatible
injection Amoxicillin sodium / clavulanic acid 100/10 mg/ml
injection Calcium chloride 100 mg/ml
3824
Compatible
injection Amoxicillin sodium / clavulanic acid 100/10 mg/ml
injection Calcium gluconate 100 mg/ml
3824
Compatible
injection Amoxicillin sodium / clavulanic acid 100/10 mg/ml
injection Cefazolin sodium 100 mg/ml
3824
Compatible
injection Amoxicillin sodium / clavulanic acid 100/10 mg/ml
injection Cefotaxime sodium 100 mg/ml
3824
Compatible
injection Amoxicillin sodium / clavulanic acid 100/10 mg/ml
injection Cefoxitin sodium 100 mg/ml
3824
Compatible
injection Amoxicillin sodium / clavulanic acid 100/10 mg/ml
injection Ceftazidime 100 mg/ml
3824
Compatible
injection Amoxicillin sodium / clavulanic acid 100/10 mg/ml
injection Ceftriaxone disodium 100 mg/ml
3824
Immediate turbidity Incompatible
injection Amoxicillin sodium / clavulanic acid 100/10 mg/ml
injection Ciclosporin 50 mg/ml
3824
Immediate precipitation Incompatible
injection Amoxicillin sodium / clavulanic acid 12 mg/ml
injection Ciprofloxacin lactate 2 mg/ml
None 1357
Unspecified incompatibility Incompatible
injection Amoxicillin sodium / clavulanic acid
injection Ciprofloxacin lactate
3529
Compatible
injection Amoxicillin sodium / clavulanic acid 100/10 mg/ml
injection Ciprofloxacin lactate 2 mg/ml
3824
Compatible
injection Amoxicillin sodium / clavulanic acid 100/10 mg/ml
injection Cloxacillin sodium 100 mg/ml
3824
Compatible
injection Amoxicillin sodium / clavulanic acid 100/10 mg/ml
injection Co-trimoxazole 16/80 mg/ml
3824
Compatible
injection Amoxicillin sodium / clavulanic acid
injection Daunorubicin/cytarabine liposomale 0,4 mg/mL
Sodium chloride 0,9% 4654
Color change after 1 hour Incompatible
injection Amoxicillin sodium / clavulanic acid 50/10 mg/ml
Parenteral nutrition (binary mixture) 3948
Turbidity in one hour Incompatible
injection Amoxicillin sodium / clavulanic acid 100/10 mg/ml
injection Clindamycin phosphate 150 mg/ml
3824
Unspecified incompatibility Incompatible
injection Amoxicillin sodium / clavulanic acid
Parenteral nutrition (binary mixture) 3545
Compatible
injection Amoxicillin sodium / clavulanic acid 100/10 mg/ml
injection Cefuroxime sodium 100 mg/ml
3824
Compatible
injection Amoxicillin sodium / clavulanic acid 100/10 mg/ml
injection Dexamethasone sodium phosphate 4 mg/ml
3824
Unspecified incompatibility Incompatible
injection Amoxicillin sodium / clavulanic acid
injection Dexamethasone sodium phosphate
3545
Compatible
injection Amoxicillin sodium / clavulanic acid 100/10 mg/ml
injection Dexmedetomidine 100 µg/ml
3824
Compatible
injection Amoxicillin sodium / clavulanic acid 100/10 mg/ml
injection Diazepam 5 mg/ml
3824
Compatible
injection Amoxicillin sodium / clavulanic acid 100/10 mg/ml
injection Digoxin 250 µg/ml
3824
Compatible
injection Amoxicillin sodium / clavulanic acid 100/10 mg/ml
injection Dimenhydrinate 10 mg/ml
3824
Color change Incompatible
injection Amoxicillin sodium / clavulanic acid 100/10 mg/ml
injection Diphenhydramine hydrochloride 50 mg/ml
3824
Immediate precipitation Incompatible
injection Amoxicillin sodium / clavulanic acid 100/10 mg/ml
injection Dobutamine hydrochloride 12,5 mg/ml
3824
Compatible
injection Amoxicillin sodium / clavulanic acid 100/10 mg/ml
injection Dopamine hydrochloride 3,2 mg/ml
3824
Compatible
injection Amoxicillin sodium / clavulanic acid 100/10 mg/ml
injection Enalaprilate 1,25 mg/ml
3824
Compatible
injection Amoxicillin sodium / clavulanic acid 100/10 mg/ml
injection Epinephrine hydrochloride 1000 µg/ml
3824
Compatible
injection Amoxicillin sodium / clavulanic acid 100/10 mg/ml
injection Ertapenem 100 mg/ml
3824
Immediate precipitation Incompatible
injection Amoxicillin sodium / clavulanic acid 100/10 mg/ml
injection Erythromycin lactobionate 50 mg/ml
3824
Unspecified incompatibility Incompatible
injection Amoxicillin sodium / clavulanic acid
injection Erythromycin lactobionate
3674
Compatible
injection Amoxicillin sodium / clavulanic acid 100/10 mg/ml
injection Esmolol hydrochloride 10 mg/ml
3824
Compatible
injection Amoxicillin sodium / clavulanic acid 100/10 mg/ml
injection Famotidine 10 mg/ml
3824
Compatible
injection Amoxicillin sodium / clavulanic acid 100/10 mg/ml
injection Fentanyl citrate 50 µg/ml
3824
Compatible
injection Amoxicillin sodium / clavulanic acid 100/10 mg/ml
injection Fluconazole 2 mg/ml
3824
Compatible
injection Amoxicillin sodium / clavulanic acid 100/10 mg/ml
injection Furosemide 10 mg/ml
3824
Unspecified incompatibility Incompatible
injection Amoxicillin sodium / clavulanic acid
injection Gentamicin sulfate
3643
Unspecified incompatibility Incompatible
injection Amoxicillin sodium / clavulanic acid
injection Gentamicin sulfate
3545
Unspecified incompatibility Incompatible
injection Amoxicillin sodium / clavulanic acid
injection Gentamicin sulfate
3520
Compatible
injection Amoxicillin sodium / clavulanic acid 100/10 mg/ml
injection Gentamicin sulfate 40 mg/ml
3824
Compatible
injection Amoxicillin sodium / clavulanic acid 100/10 mg/ml
injection Granisetron hydrochloride 1 mg/ml
3824
Immediate precipitation Incompatible
injection Amoxicillin sodium / clavulanic acid 100/10 mg/ml
injection Haloperidol lactate 5 mg/ml
3824
Compatible
injection Amoxicillin sodium / clavulanic acid 100/10 mg/ml
injection Heparin sodium 1000 UI/ml
3824
Incompatible
injection Amoxicillin sodium / clavulanic acid 100/10 mg/ml
injection Human albumin 250 mg/ml
3824
Unspecified incompatibility Incompatible
injection Amoxicillin sodium / clavulanic acid
injection Hydrocortisone sodium succinate
3545
Compatible
injection Amoxicillin sodium / clavulanic acid 100/10 mg/ml
injection Hydrocortisone sodium succinate 50 mg/ml
3824
Compatible
injection Amoxicillin sodium / clavulanic acid 100/10 mg/ml
injection Hydromorphone hydrochloride 10 mg/ml
3824
Immediate precipitation Incompatible
injection Amoxicillin sodium / clavulanic acid 100/10 mg/ml
injection Imipenem - cilastatin sodium 50 mg/ml
3824
Compatible
injection Amoxicillin sodium / clavulanic acid 100/10 mg/ml
injection Insulin 100 UI/ml
3824
Unspecified incompatibility Incompatible
injection Amoxicillin sodium / clavulanic acid
injection Kanamycin sulfate
3545
Immediate precipitation Incompatible
injection Amoxicillin sodium / clavulanic acid 100/10 mg/ml
injection Ketamine hydrochloride 50 mg/ml
3824
Compatible
injection Amoxicillin sodium / clavulanic acid 100/10 mg/ml
injection L-carnitine 200 mg/ml
3824
Compatible
injection Amoxicillin sodium / clavulanic acid 100/10 mg/ml
injection Labetalol hydrochloride 5 mg/ml
3824
Compatible
injection Amoxicillin sodium / clavulanic acid 100/10 mg/ml
injection Levofloxacine 5 mg/ml
3824
Compatible
injection Amoxicillin sodium / clavulanic acid 100/10 mg/ml
injection Lidocaine hydrochloride 1 mg/ml
3824
Compatible
injection Amoxicillin sodium / clavulanic acid 100/10 mg/ml
injection Linezolid 2 mg/ml
3824
Compatible
injection Amoxicillin sodium / clavulanic acid 100/10 mg/ml
injection Lorazepam 4 mg/ml
3824
Compatible
injection Amoxicillin sodium / clavulanic acid 20/2 mg/ml
injection Lorazepam 0.33 mg/ml
Sodium chloride 0,9% 186
Compatible
injection Amoxicillin sodium / clavulanic acid 100/10 mg/ml
injection Magnesium sulfate 500 mg/ml
3824
Unspecified incompatibility Incompatible
injection Amoxicillin sodium / clavulanic acid
injection Mannitol
3545
Compatible
injection Amoxicillin sodium / clavulanic acid 100/10 mg/ml
injection Mannitol 250 mg/ml
3824
Compatible
injection Amoxicillin sodium / clavulanic acid 100/10 mg/ml
injection Meropenem 50 mg/ml
3824
Unspecified incompatibility Incompatible
injection Amoxicillin sodium / clavulanic acid
injection Methylprednisolone acetate
3545
Unspecified incompatibility Incompatible
injection Amoxicillin sodium / clavulanic acid
injection Methylprednisolone sodium succinate
3545
Incompatible
injection Amoxicillin sodium / clavulanic acid 100/10 mg/ml
injection Methylprednisolone sodium succinate 125 mg/ml
3824
Compatible
injection Amoxicillin sodium / clavulanic acid 100/10 mg/ml
injection Metoclopramide hydrochloride 5 mg/ml
3824
Compatible
injection Amoxicillin sodium / clavulanic acid 100/10 mg/ml
injection Metronidazole 5 mg/ml
3824
Compatible
injection Amoxicillin sodium / clavulanic acid 100/10 mg/ml
injection Micafungin 20 mg/ml
3824
Color change Incompatible
injection Amoxicillin sodium / clavulanic acid 100/10 mg/ml
injection Midazolam hydrochloride 5 mg/ml
3824
Immediate precipitation Incompatible
injection Amoxicillin sodium / clavulanic acid 20/2 mg/ml
injection Midazolam hydrochloride 5 mg/ml
None 186
Compatible
injection Amoxicillin sodium / clavulanic acid 100/10 mg/ml
injection Milrinone lactate 1 mg/ml
3824
Compatible
injection Amoxicillin sodium / clavulanic acid 100/10 mg/ml
injection Morphine sulfate 50 mg/ml
3824
Compatible
injection Amoxicillin sodium / clavulanic acid 100/10 mg/ml
injection N-acetylcysteine 200 mg/ml
3824
Compatible
injection Amoxicillin sodium / clavulanic acid 100/10 mg/ml
injection Naloxone hydrochloride 0,4 mg/ml
3824
Unspecified incompatibility Incompatible
injection Amoxicillin sodium / clavulanic acid
injection Netilmicin sulfate
3545
Color change Incompatible
injection Amoxicillin sodium / clavulanic acid 100/10 mg/ml
injection Nicardipine hydrochloride 1 mg/ml
3824
Turbidity in one hour Incompatible
injection Amoxicillin sodium / clavulanic acid 100/10 mg/ml
injection Nitroglycerin 5 mg/ml
3824
Compatible
injection Amoxicillin sodium / clavulanic acid 100/10 mg/ml
injection Norepinephrine bitartrate 1 mg/ml
3824
Compatible
injection Amoxicillin sodium / clavulanic acid 100/10 mg/ml
injection Octreotide acetate 0.5 mg/ml
3824
Compatible
injection Amoxicillin sodium / clavulanic acid 12 mg/ml
injection Ofloxacin 2 mg/ml
None 889
Immediate precipitation Incompatible
injection Amoxicillin sodium / clavulanic acid 100/10 mg/ml
injection Ondansetron hydrochloride 2 mg/ml
3824
Compatible
injection Amoxicillin sodium / clavulanic acid 100/10 mg/ml
injection Oxytocin 10 UI/ml
3824
Compatible
injection Amoxicillin sodium / clavulanic acid 100/10 mg/ml
injection Pantoprazole sodium 4 mg/ml
3824
Compatible
injection Amoxicillin sodium / clavulanic acid 100/10 mg/ml
injection Paracetamol 10 mg/ml
3824
Unspecified incompatibility Incompatible
injection Amoxicillin sodium / clavulanic acid
injection Phenylephrine hydrochloride
3545
Compatible
injection Amoxicillin sodium / clavulanic acid 100/10 mg/ml
injection Phenylephrine hydrochloride 0,01 mg/ml
3824
Immediate precipitation Incompatible
injection Amoxicillin sodium / clavulanic acid 100/10 mg/ml
injection Phenytoin sodium 50 mg/ml
3824
Chemical instability Incompatible
injection Amoxicillin sodium / clavulanic acid 10 mg/ml
injection Phloroglucinol 2,5 mg/ml
3791
Compatible
injection Amoxicillin sodium / clavulanic acid 100/10 mg/ml
injection Piperacillin sodium / tazobactam 100 mg/ml
3824
Compatible
injection Amoxicillin sodium / clavulanic acid 100/10 mg/ml
injection Potassium chloride 2 mEq/l
3824
Compatible
injection Amoxicillin sodium / clavulanic acid 100/10 mg/ml
injection Potassium phosphate 3 mmol/ml
3824
Compatible
injection Amoxicillin sodium / clavulanic acid 60 mg/ml
injection Propofol
4524
Compatible
injection Amoxicillin sodium / clavulanic acid 100/10 mg/ml
injection Rocuronium bromide 10 mg/ml
3824
Compatible
injection Amoxicillin sodium / clavulanic acid 100/10 mg/ml
injection Salbutamol sulfate 1 mg/ml
3824
Compatible
injection Amoxicillin sodium / clavulanic acid 100/10 mg/ml
injection Sodium bicarbonate 84 mg/ml
3824
Unspecified incompatibility Incompatible
injection Amoxicillin sodium / clavulanic acid
injection Sodium bicarbonate
3545
Compatible
injection Amoxicillin sodium / clavulanic acid 100/10 mg/ml
injection Sufentanil citrate 0,05 mg/ml
3824
Chemical instability Incompatible
injection Amoxicillin sodium / clavulanic acid 20 mg/ml
injection Temocilline 83.33 mg/ml
Water for Injection 2231
Unspecified incompatibility Incompatible
injection Amoxicillin sodium / clavulanic acid
injection Temocilline
4470
Compatible
injection Amoxicillin sodium / clavulanic acid 100/10 mg/ml
injection Thiamine hydrochloride 100 mg/ml
3824
Compatible
injection Amoxicillin sodium / clavulanic acid 100/10 mg/ml
injection Tobramycin sulfate 40 mg/ml
3824
Unspecified incompatibility Incompatible
injection Amoxicillin sodium / clavulanic acid
injection Tobramycin sulfate
3545
Compatible
injection Amoxicillin sodium / clavulanic acid 100/10 mg/ml
injection Tranexamic acid 100 mg/ml
3824
Compatible
injection Amoxicillin sodium / clavulanic acid 100/10 mg/ml
injection Vancomycin hydrochloride 50 mg/ml
3824
Immediate turbidity Incompatible
injection Amoxicillin sodium / clavulanic acid 100/10 mg/ml
injection Verapamil hydrochloride 10 mg/ml
3824
Compatible
injection Amoxicillin sodium / clavulanic acid 100/10 mg/ml
injection Voriconazole 10 mg/ml
3824
Compatible
injection Amoxicillin sodium / clavulanic acid 100/10 mg/ml
injection Zidovudine 10 mg/ml
3824
Unspecified incompatibility Incompatible
injection Amoxicillin sodium / clavulanic acid
NaHCO3 3545

  Mentions Légales