Seneste opdatering :
17/12/2025
Antibiotisk   Amoxicillin sodium / clavulanic acid  
Injektion
Oral opløsning
Stabilitet i (vandige) opløsninger Stabilitet i blandinger Faktorer der påvirker stabiliteten Kompatibilitet Administrationsvej Bibliografi pdf
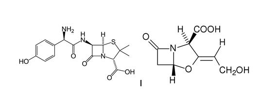
   Kemisk struktur  

Handelsnavn   Handelsnavn     

Handel navne er vejledende og hjælpestoffer sammensætning kan være forskellig afhængigt af landet og laboratorier

Aktil Ungarn
Amoclan Saudi-Arabien
Amoklavin Tyrkiet
Amoksiklav Polen
Amoxclav Saudi-Arabien
Amplamox Brasilien
Augmentin Belgien, Chile, Ecuador, Forenede Arabiske Emirater, Frankrig, Grækenland, Holland, Italien, Polen, Saudi-Arabien, Schweiz, Spanien, Storbritanien, Tyrkiet, Østrig
Betamox Portugal
Clavamox Østrig
Clavicin Malaysia, Venezuela
Clavulin Brasilien
Co-amoxi Schweiz
Co-Amoxicillin Schweiz
Curam New Zealand, Saudi-Arabien
Darzitil Argentina
Dibional Argentina
Julmentin Forenede Arabiske Emirater
Novamox Brasilien
Sulbamox Chile
Tarometin Polen
Trifamox Argentina, Colombia, Ecuador, Mexico
Kompatibilitet   Injektion   Kompatibilitet : Amoxicillin sodium / clavulanic acid              
Denne skærm viser kompatibilitet eller uforenelighed med, i dette tilfælde typen af inkompatibilitet (udfældning, farveændring, ændring af en emulsion osv.). Kompatibiliteterne vist her er for det meste kun fysiske, idet den kemiske stabilitet af hvert molekyle sjældent vurderes. Evalueringen af disse blandinger blev undersøgt for at overveje muligheden for Y-sted-administration til patienten. Disse data kan ikke bruges til at fremstille blandinger på forhånd i poser eller sprøjter. Denne type information findes på skærmen "Stabilitet i blanding".
Molekyle Opløsningsmiddel Bibliografi
Kemisk ustabilitet Uforenelig
Injektion Amoxicillin sodium / clavulanic acid
Injektion Amikacin sulfate
3549
Uspecificeret inkompatibilitet Uforenelig
Injektion Amoxicillin sodium / clavulanic acid
Parenteral ernæring (lipider) 3545
Umiddelbar nedbør Uforenelig
Injektion Amoxicillin sodium / clavulanic acid 100/10 mg/ml
Injektion Aciclovir sodium 50 mg/ml
3824
Kompatibel
Injektion Amoxicillin sodium / clavulanic acid
0,9 % Natriumklorid 3545
Uspecificeret inkompatibilitet Uforenelig
Injektion Amoxicillin sodium / clavulanic acid
5 % Glukose 3545
Kompatibel
Injektion Amoxicillin sodium / clavulanic acid 100/10 mg/ml
Injektion Amikacin sulfate 250 mg/ml
3824
Uspecificeret inkompatibilitet Uforenelig
Injektion Amoxicillin sodium / clavulanic acid
Injektion Amikacin sulfate
3545
Farveændring efter 1 time Uforenelig
Injektion Amoxicillin sodium / clavulanic acid 50/10 mg/ml
Parenteral ernæring (lipider) 3948
Kompatibel
Injektion Amoxicillin sodium / clavulanic acid 100/10 mg/ml
Injektion Aminophylline 25 mg/ml
3824
Umiddelbar nedbør Uforenelig
Injektion Amoxicillin sodium / clavulanic acid 10 mg/ml
Injektion Amiodarone hydrochloride 12.5 mg/ml
2139
Farveændring Uforenelig
Injektion Amoxicillin sodium / clavulanic acid 100/10 mg/ml
Injektion Amiodarone hydrochloride 50 mg/ml
3824
Kompatibel
Injektion Amoxicillin sodium / clavulanic acid 100/10 mg/ml
Injektion Amphotericin B liposomale 2 mg/ml
3824
Kompatibel
Injektion Amoxicillin sodium / clavulanic acid 100/10 mg/ml
Injektion Ampicillin sodium 100 mg/ml
3824
Kompatibel
Injektion Amoxicillin sodium / clavulanic acid 100/10 mg/ml
Injektion Atropine sulfate 0,4 mg/ml
3824
Kompatibel
Injektion Amoxicillin sodium / clavulanic acid 100/10 mg/ml
Injektion Azithromycine 100 mg/ml
3824
Kompatibel
Injektion Amoxicillin sodium / clavulanic acid 100/10 mg/ml
Injektion Calcium chloride 100 mg/ml
3824
Kompatibel
Injektion Amoxicillin sodium / clavulanic acid 100/10 mg/ml
Injektion Calcium gluconate 100 mg/ml
3824
Kompatibel
Injektion Amoxicillin sodium / clavulanic acid 100/10 mg/ml
Injektion Cefazolin sodium 100 mg/ml
3824
Kompatibel
Injektion Amoxicillin sodium / clavulanic acid 100/10 mg/ml
Injektion Cefotaxime sodium 100 mg/ml
3824
Kompatibel
Injektion Amoxicillin sodium / clavulanic acid 100/10 mg/ml
Injektion Cefoxitin sodium 100 mg/ml
3824
Kompatibel
Injektion Amoxicillin sodium / clavulanic acid 100/10 mg/ml
Injektion Ceftazidime 100 mg/ml
3824
Kompatibel
Injektion Amoxicillin sodium / clavulanic acid 100/10 mg/ml
Injektion Ceftriaxone disodium 100 mg/ml
3824
Umiddelbar turbiditet Uforenelig
Injektion Amoxicillin sodium / clavulanic acid 100/10 mg/ml
Injektion Ciclosporin 50 mg/ml
3824
Umiddelbar nedbør Uforenelig
Injektion Amoxicillin sodium / clavulanic acid 12 mg/ml
Injektion Ciprofloxacin lactate 2 mg/ml
Ingen 1357
Uspecificeret inkompatibilitet Uforenelig
Injektion Amoxicillin sodium / clavulanic acid
Injektion Ciprofloxacin lactate
3529
Kompatibel
Injektion Amoxicillin sodium / clavulanic acid 100/10 mg/ml
Injektion Ciprofloxacin lactate 2 mg/ml
3824
Kompatibel
Injektion Amoxicillin sodium / clavulanic acid 100/10 mg/ml
Injektion Cloxacillin sodium 100 mg/ml
3824
Kompatibel
Injektion Amoxicillin sodium / clavulanic acid 100/10 mg/ml
Injektion Co-trimoxazole 16/80 mg/ml
3824
Kompatibel
Injektion Amoxicillin sodium / clavulanic acid
Injektion Daunorubicin/cytarabine liposomale 0,4 mg/mL
0,9 % Natriumklorid 4654
Farveændring efter 1 time Uforenelig
Injektion Amoxicillin sodium / clavulanic acid 50/10 mg/ml
Parenteral ernæring (lipid-fri) 3948
Turbiditet på en time Uforenelig
Injektion Amoxicillin sodium / clavulanic acid 100/10 mg/ml
Injektion Clindamycin phosphate 150 mg/ml
3824
Uspecificeret inkompatibilitet Uforenelig
Injektion Amoxicillin sodium / clavulanic acid
Parenteral ernæring (lipid-fri) 3545
Kompatibel
Injektion Amoxicillin sodium / clavulanic acid 100/10 mg/ml
Injektion Cefuroxime sodium 100 mg/ml
3824
Kompatibel
Injektion Amoxicillin sodium / clavulanic acid 100/10 mg/ml
Injektion Dexamethasone sodium phosphate 4 mg/ml
3824
Uspecificeret inkompatibilitet Uforenelig
Injektion Amoxicillin sodium / clavulanic acid
Injektion Dexamethasone sodium phosphate
3545
Kompatibel
Injektion Amoxicillin sodium / clavulanic acid 100/10 mg/ml
Injektion Dexmedetomidine 100 µg/ml
3824
Kompatibel
Injektion Amoxicillin sodium / clavulanic acid 100/10 mg/ml
Injektion Diazepam 5 mg/ml
3824
Kompatibel
Injektion Amoxicillin sodium / clavulanic acid 100/10 mg/ml
Injektion Digoxin 250 µg/ml
3824
Kompatibel
Injektion Amoxicillin sodium / clavulanic acid 100/10 mg/ml
Injektion Dimenhydrinate 10 mg/ml
3824
Farveændring Uforenelig
Injektion Amoxicillin sodium / clavulanic acid 100/10 mg/ml
Injektion Diphenhydramine hydrochloride 50 mg/ml
3824
Umiddelbar nedbør Uforenelig
Injektion Amoxicillin sodium / clavulanic acid 100/10 mg/ml
Injektion Dobutamine hydrochloride 12,5 mg/ml
3824
Kompatibel
Injektion Amoxicillin sodium / clavulanic acid 100/10 mg/ml
Injektion Dopamine hydrochloride 3,2 mg/ml
3824
Kompatibel
Injektion Amoxicillin sodium / clavulanic acid 100/10 mg/ml
Injektion Enalaprilate 1,25 mg/ml
3824
Kompatibel
Injektion Amoxicillin sodium / clavulanic acid 100/10 mg/ml
Injektion Epinephrine hydrochloride 1000 µg/ml
3824
Kompatibel
Injektion Amoxicillin sodium / clavulanic acid 100/10 mg/ml
Injektion Ertapenem 100 mg/ml
3824
Umiddelbar nedbør Uforenelig
Injektion Amoxicillin sodium / clavulanic acid 100/10 mg/ml
Injektion Erythromycin lactobionate 50 mg/ml
3824
Uspecificeret inkompatibilitet Uforenelig
Injektion Amoxicillin sodium / clavulanic acid
Injektion Erythromycin lactobionate
3674
Kompatibel
Injektion Amoxicillin sodium / clavulanic acid 100/10 mg/ml
Injektion Esmolol hydrochloride 10 mg/ml
3824
Kompatibel
Injektion Amoxicillin sodium / clavulanic acid 100/10 mg/ml
Injektion Famotidine 10 mg/ml
3824
Kompatibel
Injektion Amoxicillin sodium / clavulanic acid 100/10 mg/ml
Injektion Fentanyl citrate 50 µg/ml
3824
Kompatibel
Injektion Amoxicillin sodium / clavulanic acid 100/10 mg/ml
Injektion Fluconazole 2 mg/ml
3824
Kompatibel
Injektion Amoxicillin sodium / clavulanic acid 100/10 mg/ml
Injektion Furosemide 10 mg/ml
3824
Uspecificeret inkompatibilitet Uforenelig
Injektion Amoxicillin sodium / clavulanic acid
Injektion Gentamicin sulfate
3643
Uspecificeret inkompatibilitet Uforenelig
Injektion Amoxicillin sodium / clavulanic acid
Injektion Gentamicin sulfate
3545
Uspecificeret inkompatibilitet Uforenelig
Injektion Amoxicillin sodium / clavulanic acid
Injektion Gentamicin sulfate
3520
Kompatibel
Injektion Amoxicillin sodium / clavulanic acid 100/10 mg/ml
Injektion Gentamicin sulfate 40 mg/ml
3824
Kompatibel
Injektion Amoxicillin sodium / clavulanic acid 100/10 mg/ml
Injektion Granisetron hydrochloride 1 mg/ml
3824
Umiddelbar nedbør Uforenelig
Injektion Amoxicillin sodium / clavulanic acid 100/10 mg/ml
Injektion Haloperidol lactate 5 mg/ml
3824
Kompatibel
Injektion Amoxicillin sodium / clavulanic acid 100/10 mg/ml
Injektion Heparin sodium 1000 UI/ml
3824
Uforenelig
Injektion Amoxicillin sodium / clavulanic acid 100/10 mg/ml
Injektion Human albumin 250 mg/ml
3824
Uspecificeret inkompatibilitet Uforenelig
Injektion Amoxicillin sodium / clavulanic acid
Injektion Hydrocortisone sodium succinate
3545
Kompatibel
Injektion Amoxicillin sodium / clavulanic acid 100/10 mg/ml
Injektion Hydrocortisone sodium succinate 50 mg/ml
3824
Kompatibel
Injektion Amoxicillin sodium / clavulanic acid 100/10 mg/ml
Injektion Hydromorphone hydrochloride 10 mg/ml
3824
Umiddelbar nedbør Uforenelig
Injektion Amoxicillin sodium / clavulanic acid 100/10 mg/ml
Injektion Imipenem - cilastatin sodium 50 mg/ml
3824
Kompatibel
Injektion Amoxicillin sodium / clavulanic acid 100/10 mg/ml
Injektion Insulin 100 UI/ml
3824
Uspecificeret inkompatibilitet Uforenelig
Injektion Amoxicillin sodium / clavulanic acid
Injektion Kanamycin sulfate
3545
Umiddelbar nedbør Uforenelig
Injektion Amoxicillin sodium / clavulanic acid 100/10 mg/ml
Injektion Ketamine hydrochloride 50 mg/ml
3824
Kompatibel
Injektion Amoxicillin sodium / clavulanic acid 100/10 mg/ml
Injektion L-carnitine 200 mg/ml
3824
Kompatibel
Injektion Amoxicillin sodium / clavulanic acid 100/10 mg/ml
Injektion Labetalol hydrochloride 5 mg/ml
3824
Kompatibel
Injektion Amoxicillin sodium / clavulanic acid 100/10 mg/ml
Injektion Levofloxacine 5 mg/ml
3824
Kompatibel
Injektion Amoxicillin sodium / clavulanic acid 100/10 mg/ml
Injektion Lidocaine hydrochloride 1 mg/ml
3824
Kompatibel
Injektion Amoxicillin sodium / clavulanic acid 100/10 mg/ml
Injektion Linezolid 2 mg/ml
3824
Kompatibel
Injektion Amoxicillin sodium / clavulanic acid 100/10 mg/ml
Injektion Lorazepam 4 mg/ml
3824
Kompatibel
Injektion Amoxicillin sodium / clavulanic acid 20/2 mg/ml
Injektion Lorazepam 0.33 mg/ml
0,9 % Natriumklorid 186
Kompatibel
Injektion Amoxicillin sodium / clavulanic acid 100/10 mg/ml
Injektion Magnesium sulfate 500 mg/ml
3824
Uspecificeret inkompatibilitet Uforenelig
Injektion Amoxicillin sodium / clavulanic acid
Injektion Mannitol
3545
Kompatibel
Injektion Amoxicillin sodium / clavulanic acid 100/10 mg/ml
Injektion Mannitol 250 mg/ml
3824
Kompatibel
Injektion Amoxicillin sodium / clavulanic acid 100/10 mg/ml
Injektion Meropenem 50 mg/ml
3824
Uspecificeret inkompatibilitet Uforenelig
Injektion Amoxicillin sodium / clavulanic acid
Injektion Methylprednisolone acetate
3545
Uspecificeret inkompatibilitet Uforenelig
Injektion Amoxicillin sodium / clavulanic acid
Injektion Methylprednisolone sodium succinate
3545
Uforenelig
Injektion Amoxicillin sodium / clavulanic acid 100/10 mg/ml
Injektion Methylprednisolone sodium succinate 125 mg/ml
3824
Kompatibel
Injektion Amoxicillin sodium / clavulanic acid 100/10 mg/ml
Injektion Metoclopramide hydrochloride 5 mg/ml
3824
Kompatibel
Injektion Amoxicillin sodium / clavulanic acid 100/10 mg/ml
Injektion Metronidazole 5 mg/ml
3824
Kompatibel
Injektion Amoxicillin sodium / clavulanic acid 100/10 mg/ml
Injektion Micafungin 20 mg/ml
3824
Farveændring Uforenelig
Injektion Amoxicillin sodium / clavulanic acid 100/10 mg/ml
Injektion Midazolam hydrochloride 5 mg/ml
3824
Umiddelbar nedbør Uforenelig
Injektion Amoxicillin sodium / clavulanic acid 20/2 mg/ml
Injektion Midazolam hydrochloride 5 mg/ml
Ingen 186
Kompatibel
Injektion Amoxicillin sodium / clavulanic acid 100/10 mg/ml
Injektion Milrinone lactate 1 mg/ml
3824
Kompatibel
Injektion Amoxicillin sodium / clavulanic acid 100/10 mg/ml
Injektion Morphine sulfate 50 mg/ml
3824
Kompatibel
Injektion Amoxicillin sodium / clavulanic acid 100/10 mg/ml
Injektion N-acetylcysteine 200 mg/ml
3824
Kompatibel
Injektion Amoxicillin sodium / clavulanic acid 100/10 mg/ml
Injektion Naloxone hydrochloride 0,4 mg/ml
3824
Uspecificeret inkompatibilitet Uforenelig
Injektion Amoxicillin sodium / clavulanic acid
Injektion Netilmicin sulfate
3545
Farveændring Uforenelig
Injektion Amoxicillin sodium / clavulanic acid 100/10 mg/ml
Injektion Nicardipine hydrochloride 1 mg/ml
3824
Turbiditet på en time Uforenelig
Injektion Amoxicillin sodium / clavulanic acid 100/10 mg/ml
Injektion Nitroglycerin 5 mg/ml
3824
Kompatibel
Injektion Amoxicillin sodium / clavulanic acid 100/10 mg/ml
Injektion Norepinephrine bitartrate 1 mg/ml
3824
Kompatibel
Injektion Amoxicillin sodium / clavulanic acid 100/10 mg/ml
Injektion Octreotide acetate 0.5 mg/ml
3824
Kompatibel
Injektion Amoxicillin sodium / clavulanic acid 12 mg/ml
Injektion Ofloxacin 2 mg/ml
Ingen 889
Umiddelbar nedbør Uforenelig
Injektion Amoxicillin sodium / clavulanic acid 100/10 mg/ml
Injektion Ondansetron hydrochloride 2 mg/ml
3824
Kompatibel
Injektion Amoxicillin sodium / clavulanic acid 100/10 mg/ml
Injektion Oxytocin 10 UI/ml
3824
Kompatibel
Injektion Amoxicillin sodium / clavulanic acid 100/10 mg/ml
Injektion Pantoprazole sodium 4 mg/ml
3824
Kompatibel
Injektion Amoxicillin sodium / clavulanic acid 100/10 mg/ml
Injektion Paracetamol 10 mg/ml
3824
Uspecificeret inkompatibilitet Uforenelig
Injektion Amoxicillin sodium / clavulanic acid
Injektion Phenylephrine hydrochloride
3545
Kompatibel
Injektion Amoxicillin sodium / clavulanic acid 100/10 mg/ml
Injektion Phenylephrine hydrochloride 0,01 mg/ml
3824
Umiddelbar nedbør Uforenelig
Injektion Amoxicillin sodium / clavulanic acid 100/10 mg/ml
Injektion Phenytoin sodium 50 mg/ml
3824
Kemisk ustabilitet Uforenelig
Injektion Amoxicillin sodium / clavulanic acid 10 mg/ml
Injektion Phloroglucinol 2,5 mg/ml
3791
Kompatibel
Injektion Amoxicillin sodium / clavulanic acid 100/10 mg/ml
Injektion Piperacillin sodium / tazobactam 100 mg/ml
3824
Kompatibel
Injektion Amoxicillin sodium / clavulanic acid 100/10 mg/ml
Injektion Potassium chloride 2 mEq/l
3824
Kompatibel
Injektion Amoxicillin sodium / clavulanic acid 100/10 mg/ml
Injektion Potassium phosphate 3 mmol/ml
3824
Kompatibel
Injektion Amoxicillin sodium / clavulanic acid 60 mg/ml
Injektion Propofol
4524
Kompatibel
Injektion Amoxicillin sodium / clavulanic acid 100/10 mg/ml
Injektion Rocuronium bromide 10 mg/ml
3824
Kompatibel
Injektion Amoxicillin sodium / clavulanic acid 100/10 mg/ml
Injektion Salbutamol sulfate 1 mg/ml
3824
Kompatibel
Injektion Amoxicillin sodium / clavulanic acid 100/10 mg/ml
Injektion Sodium bicarbonate 84 mg/ml
3824
Uspecificeret inkompatibilitet Uforenelig
Injektion Amoxicillin sodium / clavulanic acid
Injektion Sodium bicarbonate
3545
Kompatibel
Injektion Amoxicillin sodium / clavulanic acid 100/10 mg/ml
Injektion Sufentanil citrate 0,05 mg/ml
3824
Kemisk ustabilitet Uforenelig
Injektion Amoxicillin sodium / clavulanic acid 20 mg/ml
Injektion Temocilline 83.33 mg/ml
Vand til injektion 2231
Uspecificeret inkompatibilitet Uforenelig
Injektion Amoxicillin sodium / clavulanic acid
Injektion Temocilline
4470
Kompatibel
Injektion Amoxicillin sodium / clavulanic acid 100/10 mg/ml
Injektion Thiamine hydrochloride 100 mg/ml
3824
Kompatibel
Injektion Amoxicillin sodium / clavulanic acid 100/10 mg/ml
Injektion Tobramycin sulfate 40 mg/ml
3824
Uspecificeret inkompatibilitet Uforenelig
Injektion Amoxicillin sodium / clavulanic acid
Injektion Tobramycin sulfate
3545
Kompatibel
Injektion Amoxicillin sodium / clavulanic acid 100/10 mg/ml
Injektion Tranexamic acid 100 mg/ml
3824
Kompatibel
Injektion Amoxicillin sodium / clavulanic acid 100/10 mg/ml
Injektion Vancomycin hydrochloride 50 mg/ml
3824
Umiddelbar turbiditet Uforenelig
Injektion Amoxicillin sodium / clavulanic acid 100/10 mg/ml
Injektion Verapamil hydrochloride 10 mg/ml
3824
Kompatibel
Injektion Amoxicillin sodium / clavulanic acid 100/10 mg/ml
Injektion Voriconazole 10 mg/ml
3824
Kompatibel
Injektion Amoxicillin sodium / clavulanic acid 100/10 mg/ml
Injektion Zidovudine 10 mg/ml
3824
Uspecificeret inkompatibilitet Uforenelig
Injektion Amoxicillin sodium / clavulanic acid
NaHCO3 3545

  Mentions Légales