Последно актуализиране :
12/12/2025
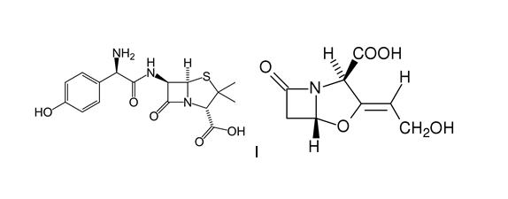
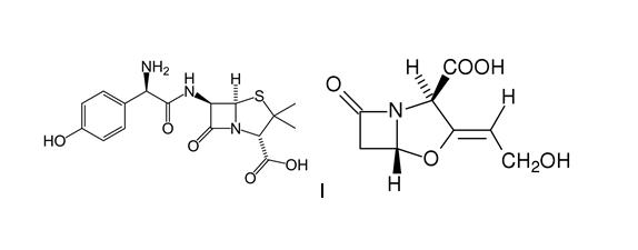
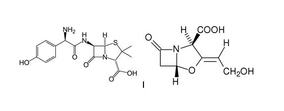
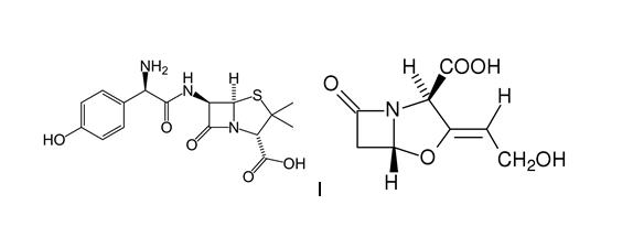
Антибиотик   Amoxicillin sodium / clavulanic acid  
Инжекция/Инжекционен
Орален разтвор
Стабилност на разтвори Стабилност на смеси Фактори, повлияващи стабилността Съвместимост Път на въвеждане Библиография Pdf
   Химична структура  

Търговско наименование   Търговско наименование     

Търговските имена са примерни и съставът на помощните вещества може да бъде различен в зависимост от държавата и лабораториите

Aktil Унгария
Amoclan Саудитска Арабия
Amoklavin Турция
Amoksiklav Полша
Amoxclav Саудитска Арабия
Amplamox Бразилия
Augmentin Австрия, Белгия, Великобритания, Гърция, Еквадор, Испания, Италия, Обединени арабски емирства, Полша, Саудитска Арабия, Турция, Франция, Холандия, Чили, Швейцария
Betamox Португалия
Clavamox Австрия
Clavicin Венецуела, Малайзия
Clavulin Бразилия
Co-amoxi Швейцария
Co-Amoxicillin Швейцария
Curam нова Зеландия, Саудитска Арабия
Darzitil Аржентина
Dibional Аржентина
Julmentin Обединени арабски емирства
Novamox Бразилия
Sulbamox Чили
Tarometin Полша
Trifamox Аржентина, Еквадор, Колумбия, Мексико
Съвместимост   Инжекция/Инжекционен   Съвместимост : Amoxicillin sodium / clavulanic acid              
Този екран показва съвместимостта или несъвместимостта с, в този случай, вида на несъвместимостта (утаяване, промяна на цвета, модификация на емулсия и др.). Показаните тук съвместимости са предимно физически, като рядко се оценява химическата стабилност на всяка молекула. Оценката на тези смеси беше проучена, за да се разгледа възможността за приложение на Y-място на пациента. Тези данни не могат да се използват за предварително приготвяне на смеси в торбички или спринцовки. Този тип информация е достъпна на екрана "Стабилност в сместа".
Състав / молекула Разтворител Библиография
Химическа нестабилност Несъвместим
Инжекция/Инжекционен Amoxicillin sodium / clavulanic acid
Инжекция/Инжекционен Amikacin sulfate
3549
Неопределена несъвместимост Несъвместим
Инжекция/Инжекционен Amoxicillin sodium / clavulanic acid
Парентерално хранене (с липиди) 3545
Незабавни валежи Несъвместим
Инжекция/Инжекционен Amoxicillin sodium / clavulanic acid 100/10 mg/ml
Инжекция/Инжекционен Aciclovir sodium 50 mg/ml
3824
съвместим
Инжекция/Инжекционен Amoxicillin sodium / clavulanic acid
Sodium chloride 0,9% 3545
Неопределена несъвместимост Несъвместим
Инжекция/Инжекционен Amoxicillin sodium / clavulanic acid
Glucose 5% 3545
съвместим
Инжекция/Инжекционен Amoxicillin sodium / clavulanic acid 100/10 mg/ml
Инжекция/Инжекционен Amikacin sulfate 250 mg/ml
3824
Неопределена несъвместимост Несъвместим
Инжекция/Инжекционен Amoxicillin sodium / clavulanic acid
Инжекция/Инжекционен Amikacin sulfate
3545
Промяна на цвета след 1 час Несъвместим
Инжекция/Инжекционен Amoxicillin sodium / clavulanic acid 50/10 mg/ml
Парентерално хранене (с липиди) 3948
съвместим
Инжекция/Инжекционен Amoxicillin sodium / clavulanic acid 100/10 mg/ml
Инжекция/Инжекционен Aminophylline 25 mg/ml
3824
Незабавни валежи Несъвместим
Инжекция/Инжекционен Amoxicillin sodium / clavulanic acid 10 mg/ml
Инжекция/Инжекционен Amiodarone hydrochloride 12.5 mg/ml
2139
Промяна на цвета Несъвместим
Инжекция/Инжекционен Amoxicillin sodium / clavulanic acid 100/10 mg/ml
Инжекция/Инжекционен Amiodarone hydrochloride 50 mg/ml
3824
съвместим
Инжекция/Инжекционен Amoxicillin sodium / clavulanic acid 100/10 mg/ml
Инжекция/Инжекционен Amphotericin B liposomale 2 mg/ml
3824
съвместим
Инжекция/Инжекционен Amoxicillin sodium / clavulanic acid 100/10 mg/ml
Инжекция/Инжекционен Ampicillin sodium 100 mg/ml
3824
съвместим
Инжекция/Инжекционен Amoxicillin sodium / clavulanic acid 100/10 mg/ml
Инжекция/Инжекционен Atropine sulfate 0,4 mg/ml
3824
съвместим
Инжекция/Инжекционен Amoxicillin sodium / clavulanic acid 100/10 mg/ml
Инжекция/Инжекционен Azithromycine 100 mg/ml
3824
съвместим
Инжекция/Инжекционен Amoxicillin sodium / clavulanic acid 100/10 mg/ml
Инжекция/Инжекционен Calcium chloride 100 mg/ml
3824
съвместим
Инжекция/Инжекционен Amoxicillin sodium / clavulanic acid 100/10 mg/ml
Инжекция/Инжекционен Calcium gluconate 100 mg/ml
3824
съвместим
Инжекция/Инжекционен Amoxicillin sodium / clavulanic acid 100/10 mg/ml
Инжекция/Инжекционен Cefazolin sodium 100 mg/ml
3824
съвместим
Инжекция/Инжекционен Amoxicillin sodium / clavulanic acid 100/10 mg/ml
Инжекция/Инжекционен Cefotaxime sodium 100 mg/ml
3824
съвместим
Инжекция/Инжекционен Amoxicillin sodium / clavulanic acid 100/10 mg/ml
Инжекция/Инжекционен Cefoxitin sodium 100 mg/ml
3824
съвместим
Инжекция/Инжекционен Amoxicillin sodium / clavulanic acid 100/10 mg/ml
Инжекция/Инжекционен Ceftazidime 100 mg/ml
3824
съвместим
Инжекция/Инжекционен Amoxicillin sodium / clavulanic acid 100/10 mg/ml
Инжекция/Инжекционен Ceftriaxone disodium 100 mg/ml
3824
Незабавна мътност Несъвместим
Инжекция/Инжекционен Amoxicillin sodium / clavulanic acid 100/10 mg/ml
Инжекция/Инжекционен Ciclosporin 50 mg/ml
3824
Незабавни валежи Несъвместим
Инжекция/Инжекционен Amoxicillin sodium / clavulanic acid 12 mg/ml
Инжекция/Инжекционен Ciprofloxacin lactate 2 mg/ml
Няма 1357
Неопределена несъвместимост Несъвместим
Инжекция/Инжекционен Amoxicillin sodium / clavulanic acid
Инжекция/Инжекционен Ciprofloxacin lactate
3529
съвместим
Инжекция/Инжекционен Amoxicillin sodium / clavulanic acid 100/10 mg/ml
Инжекция/Инжекционен Ciprofloxacin lactate 2 mg/ml
3824
съвместим
Инжекция/Инжекционен Amoxicillin sodium / clavulanic acid 100/10 mg/ml
Инжекция/Инжекционен Cloxacillin sodium 100 mg/ml
3824
съвместим
Инжекция/Инжекционен Amoxicillin sodium / clavulanic acid 100/10 mg/ml
Инжекция/Инжекционен Co-trimoxazole 16/80 mg/ml
3824
съвместим
Инжекция/Инжекционен Amoxicillin sodium / clavulanic acid
Инжекция/Инжекционен Daunorubicin/cytarabine liposomale 0,4 mg/mL
Sodium chloride 0,9% 4654
Промяна на цвета след 1 час Несъвместим
Инжекция/Инжекционен Amoxicillin sodium / clavulanic acid 50/10 mg/ml
Парентерално хранене (липидите безплатно) 3948
Мътност за един час Несъвместим
Инжекция/Инжекционен Amoxicillin sodium / clavulanic acid 100/10 mg/ml
Инжекция/Инжекционен Clindamycin phosphate 150 mg/ml
3824
Неопределена несъвместимост Несъвместим
Инжекция/Инжекционен Amoxicillin sodium / clavulanic acid
Парентерално хранене (липидите безплатно) 3545
съвместим
Инжекция/Инжекционен Amoxicillin sodium / clavulanic acid 100/10 mg/ml
Инжекция/Инжекционен Cefuroxime sodium 100 mg/ml
3824
съвместим
Инжекция/Инжекционен Amoxicillin sodium / clavulanic acid 100/10 mg/ml
Инжекция/Инжекционен Dexamethasone sodium phosphate 4 mg/ml
3824
Неопределена несъвместимост Несъвместим
Инжекция/Инжекционен Amoxicillin sodium / clavulanic acid
Инжекция/Инжекционен Dexamethasone sodium phosphate
3545
съвместим
Инжекция/Инжекционен Amoxicillin sodium / clavulanic acid 100/10 mg/ml
Инжекция/Инжекционен Dexmedetomidine 100 µg/ml
3824
съвместим
Инжекция/Инжекционен Amoxicillin sodium / clavulanic acid 100/10 mg/ml
Инжекция/Инжекционен Diazepam 5 mg/ml
3824
съвместим
Инжекция/Инжекционен Amoxicillin sodium / clavulanic acid 100/10 mg/ml
Инжекция/Инжекционен Digoxin 250 µg/ml
3824
съвместим
Инжекция/Инжекционен Amoxicillin sodium / clavulanic acid 100/10 mg/ml
Инжекция/Инжекционен Dimenhydrinate 10 mg/ml
3824
Промяна на цвета Несъвместим
Инжекция/Инжекционен Amoxicillin sodium / clavulanic acid 100/10 mg/ml
Инжекция/Инжекционен Diphenhydramine hydrochloride 50 mg/ml
3824
Незабавни валежи Несъвместим
Инжекция/Инжекционен Amoxicillin sodium / clavulanic acid 100/10 mg/ml
Инжекция/Инжекционен Dobutamine hydrochloride 12,5 mg/ml
3824
съвместим
Инжекция/Инжекционен Amoxicillin sodium / clavulanic acid 100/10 mg/ml
Инжекция/Инжекционен Dopamine hydrochloride 3,2 mg/ml
3824
съвместим
Инжекция/Инжекционен Amoxicillin sodium / clavulanic acid 100/10 mg/ml
Инжекция/Инжекционен Enalaprilate 1,25 mg/ml
3824
съвместим
Инжекция/Инжекционен Amoxicillin sodium / clavulanic acid 100/10 mg/ml
Инжекция/Инжекционен Epinephrine hydrochloride 1000 µg/ml
3824
съвместим
Инжекция/Инжекционен Amoxicillin sodium / clavulanic acid 100/10 mg/ml
Инжекция/Инжекционен Ertapenem 100 mg/ml
3824
Незабавни валежи Несъвместим
Инжекция/Инжекционен Amoxicillin sodium / clavulanic acid 100/10 mg/ml
Инжекция/Инжекционен Erythromycin lactobionate 50 mg/ml
3824
Неопределена несъвместимост Несъвместим
Инжекция/Инжекционен Amoxicillin sodium / clavulanic acid
Инжекция/Инжекционен Erythromycin lactobionate
3674
съвместим
Инжекция/Инжекционен Amoxicillin sodium / clavulanic acid 100/10 mg/ml
Инжекция/Инжекционен Esmolol hydrochloride 10 mg/ml
3824
съвместим
Инжекция/Инжекционен Amoxicillin sodium / clavulanic acid 100/10 mg/ml
Инжекция/Инжекционен Famotidine 10 mg/ml
3824
съвместим
Инжекция/Инжекционен Amoxicillin sodium / clavulanic acid 100/10 mg/ml
Инжекция/Инжекционен Fentanyl citrate 50 µg/ml
3824
съвместим
Инжекция/Инжекционен Amoxicillin sodium / clavulanic acid 100/10 mg/ml
Инжекция/Инжекционен Fluconazole 2 mg/ml
3824
съвместим
Инжекция/Инжекционен Amoxicillin sodium / clavulanic acid 100/10 mg/ml
Инжекция/Инжекционен Furosemide 10 mg/ml
3824
Неопределена несъвместимост Несъвместим
Инжекция/Инжекционен Amoxicillin sodium / clavulanic acid
Инжекция/Инжекционен Gentamicin sulfate
3643
Неопределена несъвместимост Несъвместим
Инжекция/Инжекционен Amoxicillin sodium / clavulanic acid
Инжекция/Инжекционен Gentamicin sulfate
3545
Неопределена несъвместимост Несъвместим
Инжекция/Инжекционен Amoxicillin sodium / clavulanic acid
Инжекция/Инжекционен Gentamicin sulfate
3520
съвместим
Инжекция/Инжекционен Amoxicillin sodium / clavulanic acid 100/10 mg/ml
Инжекция/Инжекционен Gentamicin sulfate 40 mg/ml
3824
съвместим
Инжекция/Инжекционен Amoxicillin sodium / clavulanic acid 100/10 mg/ml
Инжекция/Инжекционен Granisetron hydrochloride 1 mg/ml
3824
Незабавни валежи Несъвместим
Инжекция/Инжекционен Amoxicillin sodium / clavulanic acid 100/10 mg/ml
Инжекция/Инжекционен Haloperidol lactate 5 mg/ml
3824
съвместим
Инжекция/Инжекционен Amoxicillin sodium / clavulanic acid 100/10 mg/ml
Инжекция/Инжекционен Heparin sodium 1000 UI/ml
3824
Несъвместим
Инжекция/Инжекционен Amoxicillin sodium / clavulanic acid 100/10 mg/ml
Инжекция/Инжекционен Human albumin 250 mg/ml
3824
Неопределена несъвместимост Несъвместим
Инжекция/Инжекционен Amoxicillin sodium / clavulanic acid
Инжекция/Инжекционен Hydrocortisone sodium succinate
3545
съвместим
Инжекция/Инжекционен Amoxicillin sodium / clavulanic acid 100/10 mg/ml
Инжекция/Инжекционен Hydrocortisone sodium succinate 50 mg/ml
3824
съвместим
Инжекция/Инжекционен Amoxicillin sodium / clavulanic acid 100/10 mg/ml
Инжекция/Инжекционен Hydromorphone hydrochloride 10 mg/ml
3824
Незабавни валежи Несъвместим
Инжекция/Инжекционен Amoxicillin sodium / clavulanic acid 100/10 mg/ml
Инжекция/Инжекционен Imipenem - cilastatin sodium 50 mg/ml
3824
съвместим
Инжекция/Инжекционен Amoxicillin sodium / clavulanic acid 100/10 mg/ml
Инжекция/Инжекционен Insulin 100 UI/ml
3824
Неопределена несъвместимост Несъвместим
Инжекция/Инжекционен Amoxicillin sodium / clavulanic acid
Инжекция/Инжекционен Kanamycin sulfate
3545
Незабавни валежи Несъвместим
Инжекция/Инжекционен Amoxicillin sodium / clavulanic acid 100/10 mg/ml
Инжекция/Инжекционен Ketamine hydrochloride 50 mg/ml
3824
съвместим
Инжекция/Инжекционен Amoxicillin sodium / clavulanic acid 100/10 mg/ml
Инжекция/Инжекционен L-carnitine 200 mg/ml
3824
съвместим
Инжекция/Инжекционен Amoxicillin sodium / clavulanic acid 100/10 mg/ml
Инжекция/Инжекционен Labetalol hydrochloride 5 mg/ml
3824
съвместим
Инжекция/Инжекционен Amoxicillin sodium / clavulanic acid 100/10 mg/ml
Инжекция/Инжекционен Levofloxacine 5 mg/ml
3824
съвместим
Инжекция/Инжекционен Amoxicillin sodium / clavulanic acid 100/10 mg/ml
Инжекция/Инжекционен Lidocaine hydrochloride 1 mg/ml
3824
съвместим
Инжекция/Инжекционен Amoxicillin sodium / clavulanic acid 100/10 mg/ml
Инжекция/Инжекционен Linezolid 2 mg/ml
3824
съвместим
Инжекция/Инжекционен Amoxicillin sodium / clavulanic acid 100/10 mg/ml
Инжекция/Инжекционен Lorazepam 4 mg/ml
3824
съвместим
Инжекция/Инжекционен Amoxicillin sodium / clavulanic acid 20/2 mg/ml
Инжекция/Инжекционен Lorazepam 0.33 mg/ml
Sodium chloride 0,9% 186
съвместим
Инжекция/Инжекционен Amoxicillin sodium / clavulanic acid 100/10 mg/ml
Инжекция/Инжекционен Magnesium sulfate 500 mg/ml
3824
Неопределена несъвместимост Несъвместим
Инжекция/Инжекционен Amoxicillin sodium / clavulanic acid
Инжекция/Инжекционен Mannitol
3545
съвместим
Инжекция/Инжекционен Amoxicillin sodium / clavulanic acid 100/10 mg/ml
Инжекция/Инжекционен Mannitol 250 mg/ml
3824
съвместим
Инжекция/Инжекционен Amoxicillin sodium / clavulanic acid 100/10 mg/ml
Инжекция/Инжекционен Meropenem 50 mg/ml
3824
Неопределена несъвместимост Несъвместим
Инжекция/Инжекционен Amoxicillin sodium / clavulanic acid
Инжекция/Инжекционен Methylprednisolone acetate
3545
Неопределена несъвместимост Несъвместим
Инжекция/Инжекционен Amoxicillin sodium / clavulanic acid
Инжекция/Инжекционен Methylprednisolone sodium succinate
3545
Несъвместим
Инжекция/Инжекционен Amoxicillin sodium / clavulanic acid 100/10 mg/ml
Инжекция/Инжекционен Methylprednisolone sodium succinate 125 mg/ml
3824
съвместим
Инжекция/Инжекционен Amoxicillin sodium / clavulanic acid 100/10 mg/ml
Инжекция/Инжекционен Metoclopramide hydrochloride 5 mg/ml
3824
съвместим
Инжекция/Инжекционен Amoxicillin sodium / clavulanic acid 100/10 mg/ml
Инжекция/Инжекционен Metronidazole 5 mg/ml
3824
съвместим
Инжекция/Инжекционен Amoxicillin sodium / clavulanic acid 100/10 mg/ml
Инжекция/Инжекционен Micafungin 20 mg/ml
3824
Промяна на цвета Несъвместим
Инжекция/Инжекционен Amoxicillin sodium / clavulanic acid 100/10 mg/ml
Инжекция/Инжекционен Midazolam hydrochloride 5 mg/ml
3824
Незабавни валежи Несъвместим
Инжекция/Инжекционен Amoxicillin sodium / clavulanic acid 20/2 mg/ml
Инжекция/Инжекционен Midazolam hydrochloride 5 mg/ml
Няма 186
съвместим
Инжекция/Инжекционен Amoxicillin sodium / clavulanic acid 100/10 mg/ml
Инжекция/Инжекционен Milrinone lactate 1 mg/ml
3824
съвместим
Инжекция/Инжекционен Amoxicillin sodium / clavulanic acid 100/10 mg/ml
Инжекция/Инжекционен Morphine sulfate 50 mg/ml
3824
съвместим
Инжекция/Инжекционен Amoxicillin sodium / clavulanic acid 100/10 mg/ml
Инжекция/Инжекционен N-acetylcysteine 200 mg/ml
3824
съвместим
Инжекция/Инжекционен Amoxicillin sodium / clavulanic acid 100/10 mg/ml
Инжекция/Инжекционен Naloxone hydrochloride 0,4 mg/ml
3824
Неопределена несъвместимост Несъвместим
Инжекция/Инжекционен Amoxicillin sodium / clavulanic acid
Инжекция/Инжекционен Netilmicin sulfate
3545
Промяна на цвета Несъвместим
Инжекция/Инжекционен Amoxicillin sodium / clavulanic acid 100/10 mg/ml
Инжекция/Инжекционен Nicardipine hydrochloride 1 mg/ml
3824
Мътност за един час Несъвместим
Инжекция/Инжекционен Amoxicillin sodium / clavulanic acid 100/10 mg/ml
Инжекция/Инжекционен Nitroglycerin 5 mg/ml
3824
съвместим
Инжекция/Инжекционен Amoxicillin sodium / clavulanic acid 100/10 mg/ml
Инжекция/Инжекционен Norepinephrine bitartrate 1 mg/ml
3824
съвместим
Инжекция/Инжекционен Amoxicillin sodium / clavulanic acid 100/10 mg/ml
Инжекция/Инжекционен Octreotide acetate 0.5 mg/ml
3824
съвместим
Инжекция/Инжекционен Amoxicillin sodium / clavulanic acid 12 mg/ml
Инжекция/Инжекционен Ofloxacin 2 mg/ml
Няма 889
Незабавни валежи Несъвместим
Инжекция/Инжекционен Amoxicillin sodium / clavulanic acid 100/10 mg/ml
Инжекция/Инжекционен Ondansetron hydrochloride 2 mg/ml
3824
съвместим
Инжекция/Инжекционен Amoxicillin sodium / clavulanic acid 100/10 mg/ml
Инжекция/Инжекционен Oxytocin 10 UI/ml
3824
съвместим
Инжекция/Инжекционен Amoxicillin sodium / clavulanic acid 100/10 mg/ml
Инжекция/Инжекционен Pantoprazole sodium 4 mg/ml
3824
съвместим
Инжекция/Инжекционен Amoxicillin sodium / clavulanic acid 100/10 mg/ml
Инжекция/Инжекционен Paracetamol 10 mg/ml
3824
Неопределена несъвместимост Несъвместим
Инжекция/Инжекционен Amoxicillin sodium / clavulanic acid
Инжекция/Инжекционен Phenylephrine hydrochloride
3545
съвместим
Инжекция/Инжекционен Amoxicillin sodium / clavulanic acid 100/10 mg/ml
Инжекция/Инжекционен Phenylephrine hydrochloride 0,01 mg/ml
3824
Незабавни валежи Несъвместим
Инжекция/Инжекционен Amoxicillin sodium / clavulanic acid 100/10 mg/ml
Инжекция/Инжекционен Phenytoin sodium 50 mg/ml
3824
Химическа нестабилност Несъвместим
Инжекция/Инжекционен Amoxicillin sodium / clavulanic acid 10 mg/ml
Инжекция/Инжекционен Phloroglucinol 2,5 mg/ml
3791
съвместим
Инжекция/Инжекционен Amoxicillin sodium / clavulanic acid 100/10 mg/ml
Инжекция/Инжекционен Piperacillin sodium / tazobactam 100 mg/ml
3824
съвместим
Инжекция/Инжекционен Amoxicillin sodium / clavulanic acid 100/10 mg/ml
Инжекция/Инжекционен Potassium chloride 2 mEq/l
3824
съвместим
Инжекция/Инжекционен Amoxicillin sodium / clavulanic acid 100/10 mg/ml
Инжекция/Инжекционен Potassium phosphate 3 mmol/ml
3824
съвместим
Инжекция/Инжекционен Amoxicillin sodium / clavulanic acid 60 mg/ml
Инжекция/Инжекционен Propofol
4524
съвместим
Инжекция/Инжекционен Amoxicillin sodium / clavulanic acid 100/10 mg/ml
Инжекция/Инжекционен Rocuronium bromide 10 mg/ml
3824
съвместим
Инжекция/Инжекционен Amoxicillin sodium / clavulanic acid 100/10 mg/ml
Инжекция/Инжекционен Salbutamol sulfate 1 mg/ml
3824
съвместим
Инжекция/Инжекционен Amoxicillin sodium / clavulanic acid 100/10 mg/ml
Инжекция/Инжекционен Sodium bicarbonate 84 mg/ml
3824
Неопределена несъвместимост Несъвместим
Инжекция/Инжекционен Amoxicillin sodium / clavulanic acid
Инжекция/Инжекционен Sodium bicarbonate
3545
съвместим
Инжекция/Инжекционен Amoxicillin sodium / clavulanic acid 100/10 mg/ml
Инжекция/Инжекционен Sufentanil citrate 0,05 mg/ml
3824
Химическа нестабилност Несъвместим
Инжекция/Инжекционен Amoxicillin sodium / clavulanic acid 20 mg/ml
Инжекция/Инжекционен Temocilline 83.33 mg/ml
Вода за инжекции 2231
Неопределена несъвместимост Несъвместим
Инжекция/Инжекционен Amoxicillin sodium / clavulanic acid
Инжекция/Инжекционен Temocilline
4470
съвместим
Инжекция/Инжекционен Amoxicillin sodium / clavulanic acid 100/10 mg/ml
Инжекция/Инжекционен Thiamine hydrochloride 100 mg/ml
3824
съвместим
Инжекция/Инжекционен Amoxicillin sodium / clavulanic acid 100/10 mg/ml
Инжекция/Инжекционен Tobramycin sulfate 40 mg/ml
3824
Неопределена несъвместимост Несъвместим
Инжекция/Инжекционен Amoxicillin sodium / clavulanic acid
Инжекция/Инжекционен Tobramycin sulfate
3545
съвместим
Инжекция/Инжекционен Amoxicillin sodium / clavulanic acid 100/10 mg/ml
Инжекция/Инжекционен Tranexamic acid 100 mg/ml
3824
съвместим
Инжекция/Инжекционен Amoxicillin sodium / clavulanic acid 100/10 mg/ml
Инжекция/Инжекционен Vancomycin hydrochloride 50 mg/ml
3824
Незабавна мътност Несъвместим
Инжекция/Инжекционен Amoxicillin sodium / clavulanic acid 100/10 mg/ml
Инжекция/Инжекционен Verapamil hydrochloride 10 mg/ml
3824
съвместим
Инжекция/Инжекционен Amoxicillin sodium / clavulanic acid 100/10 mg/ml
Инжекция/Инжекционен Voriconazole 10 mg/ml
3824
съвместим
Инжекция/Инжекционен Amoxicillin sodium / clavulanic acid 100/10 mg/ml
Инжекция/Инжекционен Zidovudine 10 mg/ml
3824
Неопределена несъвместимост Несъвместим
Инжекция/Инжекционен Amoxicillin sodium / clavulanic acid
NaHCO3 3545

  Mentions Légales