最新更新 :
05/12/2025
抗菌薬   Amoxicillin sodium / clavulanic acid  
注射薬
経口液
溶媒内の安定性 混合時の安定性 安定性に影響する因子 互換性 投与経路 引用文献 PDF
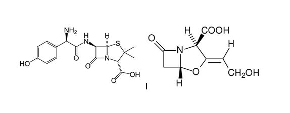
   化学構造  

商品名   商品名     

商品名、賦形剤は国、製薬会社ごとに異なることがあります

Aktil ハンガリー
Amoclan サウジアラビア
Amoklavin トルコ
Amoksiklav ポーランド
Amoxclav サウジアラビア
Amplamox ブラジル
Augmentin アラブ首長国連邦, イギリス, イタリア, エクアドル, オランダ, オーストリア, ギリシア, サウジアラビア, スイス, スペイン, チリ, トルコ, フランス, ベルギー, ポーランド
Betamox ポルトガル
Clavamox オーストリア
Clavicin ベネズエラ, マレーシア
Clavulin ブラジル
Co-amoxi スイス
Co-Amoxicillin スイス
Curam サウジアラビア, ニュージーランド
Darzitil アルゼンチン
Dibional アルゼンチン
Julmentin アラブ首長国連邦
Novamox ブラジル
Sulbamox チリ
Tarometin ポーランド
Trifamox アルゼンチン, エクアドル, コロンビア, メキシコ
互換性   注射薬   互換性 : Amoxicillin sodium / clavulanic acid              
This screen indicates the compatibilities or incompatibilities with, in this case, the type of incompatibility (precipitation, color change, modification of an emulsion, etc.). The compatibilities shown here are mostly physical only, with the chemical stability of each molecule rarely being assessed. The evaluation of these mixtures was studied to consider the possibility of Y-site administration to the patient. These data cannot be used for making mixtures in advance in bags or syringes. This type of information is available in the screen "Stability in mixture ».
化合物 溶媒 引用文献
化学的不安定性 非互換
注射薬 Amoxicillin sodium / clavulanic acid
注射薬 Amikacin sulfate
3549
不特定の非互換性 非互換
注射薬 Amoxicillin sodium / clavulanic acid
非経口的栄養(脂肪含む) 3545
即時降水 非互換
注射薬 Amoxicillin sodium / clavulanic acid 100/10 mg/ml
注射薬 Aciclovir sodium 50 mg/ml
3824
対応
注射薬 Amoxicillin sodium / clavulanic acid
NaCl 0,9% 3545
不特定の非互換性 非互換
注射薬 Amoxicillin sodium / clavulanic acid
グルコース5% 3545
対応
注射薬 Amoxicillin sodium / clavulanic acid 100/10 mg/ml
注射薬 Amikacin sulfate 250 mg/ml
3824
不特定の非互換性 非互換
注射薬 Amoxicillin sodium / clavulanic acid
注射薬 Amikacin sulfate
3545
1時間後の色の変化 非互換
注射薬 Amoxicillin sodium / clavulanic acid 50/10 mg/ml
非経口的栄養(脂肪含む) 3948
対応
注射薬 Amoxicillin sodium / clavulanic acid 100/10 mg/ml
注射薬 Aminophylline 25 mg/ml
3824
即時降水 非互換
注射薬 Amoxicillin sodium / clavulanic acid 10 mg/ml
注射薬 Amiodarone hydrochloride 12.5 mg/ml
2139
色変更 非互換
注射薬 Amoxicillin sodium / clavulanic acid 100/10 mg/ml
注射薬 Amiodarone hydrochloride 50 mg/ml
3824
対応
注射薬 Amoxicillin sodium / clavulanic acid 100/10 mg/ml
注射薬 Amphotericin B liposomale 2 mg/ml
3824
対応
注射薬 Amoxicillin sodium / clavulanic acid 100/10 mg/ml
注射薬 Ampicillin sodium 100 mg/ml
3824
対応
注射薬 Amoxicillin sodium / clavulanic acid 100/10 mg/ml
注射薬 Atropine sulfate 0,4 mg/ml
3824
対応
注射薬 Amoxicillin sodium / clavulanic acid 100/10 mg/ml
注射薬 Azithromycine 100 mg/ml
3824
対応
注射薬 Amoxicillin sodium / clavulanic acid 100/10 mg/ml
注射薬 Calcium chloride 100 mg/ml
3824
対応
注射薬 Amoxicillin sodium / clavulanic acid 100/10 mg/ml
注射薬 Calcium gluconate 100 mg/ml
3824
対応
注射薬 Amoxicillin sodium / clavulanic acid 100/10 mg/ml
注射薬 Cefazolin sodium 100 mg/ml
3824
対応
注射薬 Amoxicillin sodium / clavulanic acid 100/10 mg/ml
注射薬 Cefotaxime sodium 100 mg/ml
3824
対応
注射薬 Amoxicillin sodium / clavulanic acid 100/10 mg/ml
注射薬 Cefoxitin sodium 100 mg/ml
3824
対応
注射薬 Amoxicillin sodium / clavulanic acid 100/10 mg/ml
注射薬 Ceftazidime 100 mg/ml
3824
対応
注射薬 Amoxicillin sodium / clavulanic acid 100/10 mg/ml
注射薬 Ceftriaxone disodium 100 mg/ml
3824
すぐに濁り 非互換
注射薬 Amoxicillin sodium / clavulanic acid 100/10 mg/ml
注射薬 Ciclosporin 50 mg/ml
3824
即時降水 非互換
注射薬 Amoxicillin sodium / clavulanic acid 12 mg/ml
注射薬 Ciprofloxacin lactate 2 mg/ml
なし 1357
不特定の非互換性 非互換
注射薬 Amoxicillin sodium / clavulanic acid
注射薬 Ciprofloxacin lactate
3529
対応
注射薬 Amoxicillin sodium / clavulanic acid 100/10 mg/ml
注射薬 Ciprofloxacin lactate 2 mg/ml
3824
対応
注射薬 Amoxicillin sodium / clavulanic acid 100/10 mg/ml
注射薬 Cloxacillin sodium 100 mg/ml
3824
対応
注射薬 Amoxicillin sodium / clavulanic acid 100/10 mg/ml
注射薬 Co-trimoxazole 16/80 mg/ml
3824
対応
注射薬 Amoxicillin sodium / clavulanic acid
注射薬 Daunorubicin/cytarabine liposomale 0,4 mg/mL
NaCl 0,9% 4654
1時間後の色の変化 非互換
注射薬 Amoxicillin sodium / clavulanic acid 50/10 mg/ml
非経口的栄養(二元混合物) 3948
1時間で濁り 非互換
注射薬 Amoxicillin sodium / clavulanic acid 100/10 mg/ml
注射薬 Clindamycin phosphate 150 mg/ml
3824
不特定の非互換性 非互換
注射薬 Amoxicillin sodium / clavulanic acid
非経口的栄養(二元混合物) 3545
対応
注射薬 Amoxicillin sodium / clavulanic acid 100/10 mg/ml
注射薬 Cefuroxime sodium 100 mg/ml
3824
対応
注射薬 Amoxicillin sodium / clavulanic acid 100/10 mg/ml
注射薬 Dexamethasone sodium phosphate 4 mg/ml
3824
不特定の非互換性 非互換
注射薬 Amoxicillin sodium / clavulanic acid
注射薬 Dexamethasone sodium phosphate
3545
対応
注射薬 Amoxicillin sodium / clavulanic acid 100/10 mg/ml
注射薬 Dexmedetomidine 100 µg/ml
3824
対応
注射薬 Amoxicillin sodium / clavulanic acid 100/10 mg/ml
注射薬 Diazepam 5 mg/ml
3824
対応
注射薬 Amoxicillin sodium / clavulanic acid 100/10 mg/ml
注射薬 Digoxin 250 µg/ml
3824
対応
注射薬 Amoxicillin sodium / clavulanic acid 100/10 mg/ml
注射薬 Dimenhydrinate 10 mg/ml
3824
色変更 非互換
注射薬 Amoxicillin sodium / clavulanic acid 100/10 mg/ml
注射薬 Diphenhydramine hydrochloride 50 mg/ml
3824
即時降水 非互換
注射薬 Amoxicillin sodium / clavulanic acid 100/10 mg/ml
注射薬 Dobutamine hydrochloride 12,5 mg/ml
3824
対応
注射薬 Amoxicillin sodium / clavulanic acid 100/10 mg/ml
注射薬 Dopamine hydrochloride 3,2 mg/ml
3824
対応
注射薬 Amoxicillin sodium / clavulanic acid 100/10 mg/ml
注射薬 Enalaprilate 1,25 mg/ml
3824
対応
注射薬 Amoxicillin sodium / clavulanic acid 100/10 mg/ml
注射薬 Epinephrine hydrochloride 1000 µg/ml
3824
対応
注射薬 Amoxicillin sodium / clavulanic acid 100/10 mg/ml
注射薬 Ertapenem 100 mg/ml
3824
即時降水 非互換
注射薬 Amoxicillin sodium / clavulanic acid 100/10 mg/ml
注射薬 Erythromycin lactobionate 50 mg/ml
3824
不特定の非互換性 非互換
注射薬 Amoxicillin sodium / clavulanic acid
注射薬 Erythromycin lactobionate
3674
対応
注射薬 Amoxicillin sodium / clavulanic acid 100/10 mg/ml
注射薬 Esmolol hydrochloride 10 mg/ml
3824
対応
注射薬 Amoxicillin sodium / clavulanic acid 100/10 mg/ml
注射薬 Famotidine 10 mg/ml
3824
対応
注射薬 Amoxicillin sodium / clavulanic acid 100/10 mg/ml
注射薬 Fentanyl citrate 50 µg/ml
3824
対応
注射薬 Amoxicillin sodium / clavulanic acid 100/10 mg/ml
注射薬 Fluconazole 2 mg/ml
3824
対応
注射薬 Amoxicillin sodium / clavulanic acid 100/10 mg/ml
注射薬 Furosemide 10 mg/ml
3824
不特定の非互換性 非互換
注射薬 Amoxicillin sodium / clavulanic acid
注射薬 Gentamicin sulfate
3643
不特定の非互換性 非互換
注射薬 Amoxicillin sodium / clavulanic acid
注射薬 Gentamicin sulfate
3545
不特定の非互換性 非互換
注射薬 Amoxicillin sodium / clavulanic acid
注射薬 Gentamicin sulfate
3520
対応
注射薬 Amoxicillin sodium / clavulanic acid 100/10 mg/ml
注射薬 Gentamicin sulfate 40 mg/ml
3824
対応
注射薬 Amoxicillin sodium / clavulanic acid 100/10 mg/ml
注射薬 Granisetron hydrochloride 1 mg/ml
3824
即時降水 非互換
注射薬 Amoxicillin sodium / clavulanic acid 100/10 mg/ml
注射薬 Haloperidol lactate 5 mg/ml
3824
対応
注射薬 Amoxicillin sodium / clavulanic acid 100/10 mg/ml
注射薬 Heparin sodium 1000 UI/ml
3824
非互換
注射薬 Amoxicillin sodium / clavulanic acid 100/10 mg/ml
注射薬 Human albumin 250 mg/ml
3824
不特定の非互換性 非互換
注射薬 Amoxicillin sodium / clavulanic acid
注射薬 Hydrocortisone sodium succinate
3545
対応
注射薬 Amoxicillin sodium / clavulanic acid 100/10 mg/ml
注射薬 Hydrocortisone sodium succinate 50 mg/ml
3824
対応
注射薬 Amoxicillin sodium / clavulanic acid 100/10 mg/ml
注射薬 Hydromorphone hydrochloride 10 mg/ml
3824
即時降水 非互換
注射薬 Amoxicillin sodium / clavulanic acid 100/10 mg/ml
注射薬 Imipenem - cilastatin sodium 50 mg/ml
3824
対応
注射薬 Amoxicillin sodium / clavulanic acid 100/10 mg/ml
注射薬 Insulin 100 UI/ml
3824
不特定の非互換性 非互換
注射薬 Amoxicillin sodium / clavulanic acid
注射薬 Kanamycin sulfate
3545
即時降水 非互換
注射薬 Amoxicillin sodium / clavulanic acid 100/10 mg/ml
注射薬 Ketamine hydrochloride 50 mg/ml
3824
対応
注射薬 Amoxicillin sodium / clavulanic acid 100/10 mg/ml
注射薬 L-carnitine 200 mg/ml
3824
対応
注射薬 Amoxicillin sodium / clavulanic acid 100/10 mg/ml
注射薬 Labetalol hydrochloride 5 mg/ml
3824
対応
注射薬 Amoxicillin sodium / clavulanic acid 100/10 mg/ml
注射薬 Levofloxacine 5 mg/ml
3824
対応
注射薬 Amoxicillin sodium / clavulanic acid 100/10 mg/ml
注射薬 Lidocaine hydrochloride 1 mg/ml
3824
対応
注射薬 Amoxicillin sodium / clavulanic acid 100/10 mg/ml
注射薬 Linezolid 2 mg/ml
3824
対応
注射薬 Amoxicillin sodium / clavulanic acid 100/10 mg/ml
注射薬 Lorazepam 4 mg/ml
3824
対応
注射薬 Amoxicillin sodium / clavulanic acid 20/2 mg/ml
注射薬 Lorazepam 0.33 mg/ml
NaCl 0,9% 186
対応
注射薬 Amoxicillin sodium / clavulanic acid 100/10 mg/ml
注射薬 Magnesium sulfate 500 mg/ml
3824
不特定の非互換性 非互換
注射薬 Amoxicillin sodium / clavulanic acid
注射薬 Mannitol
3545
対応
注射薬 Amoxicillin sodium / clavulanic acid 100/10 mg/ml
注射薬 Mannitol 250 mg/ml
3824
対応
注射薬 Amoxicillin sodium / clavulanic acid 100/10 mg/ml
注射薬 Meropenem 50 mg/ml
3824
不特定の非互換性 非互換
注射薬 Amoxicillin sodium / clavulanic acid
注射薬 Methylprednisolone acetate
3545
不特定の非互換性 非互換
注射薬 Amoxicillin sodium / clavulanic acid
注射薬 Methylprednisolone sodium succinate
3545
非互換
注射薬 Amoxicillin sodium / clavulanic acid 100/10 mg/ml
注射薬 Methylprednisolone sodium succinate 125 mg/ml
3824
対応
注射薬 Amoxicillin sodium / clavulanic acid 100/10 mg/ml
注射薬 Metoclopramide hydrochloride 5 mg/ml
3824
対応
注射薬 Amoxicillin sodium / clavulanic acid 100/10 mg/ml
注射薬 Metronidazole 5 mg/ml
3824
対応
注射薬 Amoxicillin sodium / clavulanic acid 100/10 mg/ml
注射薬 Micafungin 20 mg/ml
3824
色変更 非互換
注射薬 Amoxicillin sodium / clavulanic acid 100/10 mg/ml
注射薬 Midazolam hydrochloride 5 mg/ml
3824
即時降水 非互換
注射薬 Amoxicillin sodium / clavulanic acid 20/2 mg/ml
注射薬 Midazolam hydrochloride 5 mg/ml
なし 186
対応
注射薬 Amoxicillin sodium / clavulanic acid 100/10 mg/ml
注射薬 Milrinone lactate 1 mg/ml
3824
対応
注射薬 Amoxicillin sodium / clavulanic acid 100/10 mg/ml
注射薬 Morphine sulfate 50 mg/ml
3824
対応
注射薬 Amoxicillin sodium / clavulanic acid 100/10 mg/ml
注射薬 N-acetylcysteine 200 mg/ml
3824
対応
注射薬 Amoxicillin sodium / clavulanic acid 100/10 mg/ml
注射薬 Naloxone hydrochloride 0,4 mg/ml
3824
不特定の非互換性 非互換
注射薬 Amoxicillin sodium / clavulanic acid
注射薬 Netilmicin sulfate
3545
色変更 非互換
注射薬 Amoxicillin sodium / clavulanic acid 100/10 mg/ml
注射薬 Nicardipine hydrochloride 1 mg/ml
3824
1時間で濁り 非互換
注射薬 Amoxicillin sodium / clavulanic acid 100/10 mg/ml
注射薬 Nitroglycerin 5 mg/ml
3824
対応
注射薬 Amoxicillin sodium / clavulanic acid 100/10 mg/ml
注射薬 Norepinephrine bitartrate 1 mg/ml
3824
対応
注射薬 Amoxicillin sodium / clavulanic acid 100/10 mg/ml
注射薬 Octreotide acetate 0.5 mg/ml
3824
対応
注射薬 Amoxicillin sodium / clavulanic acid 12 mg/ml
注射薬 Ofloxacin 2 mg/ml
なし 889
即時降水 非互換
注射薬 Amoxicillin sodium / clavulanic acid 100/10 mg/ml
注射薬 Ondansetron hydrochloride 2 mg/ml
3824
対応
注射薬 Amoxicillin sodium / clavulanic acid 100/10 mg/ml
注射薬 Oxytocin 10 UI/ml
3824
対応
注射薬 Amoxicillin sodium / clavulanic acid 100/10 mg/ml
注射薬 Pantoprazole sodium 4 mg/ml
3824
対応
注射薬 Amoxicillin sodium / clavulanic acid 100/10 mg/ml
注射薬 Paracetamol 10 mg/ml
3824
不特定の非互換性 非互換
注射薬 Amoxicillin sodium / clavulanic acid
注射薬 Phenylephrine hydrochloride
3545
対応
注射薬 Amoxicillin sodium / clavulanic acid 100/10 mg/ml
注射薬 Phenylephrine hydrochloride 0,01 mg/ml
3824
即時降水 非互換
注射薬 Amoxicillin sodium / clavulanic acid 100/10 mg/ml
注射薬 Phenytoin sodium 50 mg/ml
3824
化学的不安定性 非互換
注射薬 Amoxicillin sodium / clavulanic acid 10 mg/ml
注射薬 Phloroglucinol 2,5 mg/ml
3791
対応
注射薬 Amoxicillin sodium / clavulanic acid 100/10 mg/ml
注射薬 Piperacillin sodium / tazobactam 100 mg/ml
3824
対応
注射薬 Amoxicillin sodium / clavulanic acid 100/10 mg/ml
注射薬 Potassium chloride 2 mEq/l
3824
対応
注射薬 Amoxicillin sodium / clavulanic acid 100/10 mg/ml
注射薬 Potassium phosphate 3 mmol/ml
3824
対応
注射薬 Amoxicillin sodium / clavulanic acid 60 mg/ml
注射薬 Propofol
4524
対応
注射薬 Amoxicillin sodium / clavulanic acid 100/10 mg/ml
注射薬 Rocuronium bromide 10 mg/ml
3824
対応
注射薬 Amoxicillin sodium / clavulanic acid 100/10 mg/ml
注射薬 Salbutamol sulfate 1 mg/ml
3824
対応
注射薬 Amoxicillin sodium / clavulanic acid 100/10 mg/ml
注射薬 Sodium bicarbonate 84 mg/ml
3824
不特定の非互換性 非互換
注射薬 Amoxicillin sodium / clavulanic acid
注射薬 Sodium bicarbonate
3545
対応
注射薬 Amoxicillin sodium / clavulanic acid 100/10 mg/ml
注射薬 Sufentanil citrate 0,05 mg/ml
3824
化学的不安定性 非互換
注射薬 Amoxicillin sodium / clavulanic acid 20 mg/ml
注射薬 Temocilline 83.33 mg/ml
注射用水 2231
不特定の非互換性 非互換
注射薬 Amoxicillin sodium / clavulanic acid
注射薬 Temocilline
4470
対応
注射薬 Amoxicillin sodium / clavulanic acid 100/10 mg/ml
注射薬 Thiamine hydrochloride 100 mg/ml
3824
対応
注射薬 Amoxicillin sodium / clavulanic acid 100/10 mg/ml
注射薬 Tobramycin sulfate 40 mg/ml
3824
不特定の非互換性 非互換
注射薬 Amoxicillin sodium / clavulanic acid
注射薬 Tobramycin sulfate
3545
対応
注射薬 Amoxicillin sodium / clavulanic acid 100/10 mg/ml
注射薬 Tranexamic acid 100 mg/ml
3824
対応
注射薬 Amoxicillin sodium / clavulanic acid 100/10 mg/ml
注射薬 Vancomycin hydrochloride 50 mg/ml
3824
すぐに濁り 非互換
注射薬 Amoxicillin sodium / clavulanic acid 100/10 mg/ml
注射薬 Verapamil hydrochloride 10 mg/ml
3824
対応
注射薬 Amoxicillin sodium / clavulanic acid 100/10 mg/ml
注射薬 Voriconazole 10 mg/ml
3824
対応
注射薬 Amoxicillin sodium / clavulanic acid 100/10 mg/ml
注射薬 Zidovudine 10 mg/ml
3824
不特定の非互換性 非互換
注射薬 Amoxicillin sodium / clavulanic acid
NaHCO3 3545

  Mentions Légales