viimane versioon :
27/11/2025
antibiootikum   Amoxicillin sodium / clavulanic acid  
Süsteravim
suukaudne lahus
Stabiilsus lahustes Stabiilsust mõjutavad tegurid stabiilsust mõjutavad faktorid Sobimatus Manustamis viis Viited pdf
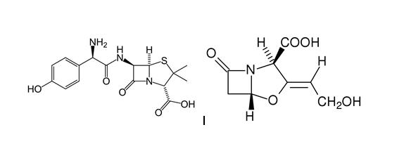
   keemiline struktuur  

Kaubanduslikud nimed erinevates maades   Kaubanduslikud nimed erinevates maades     

Preparaatide nimed on näitlikud ja abianete sisaldus võib erineda sõltuvalt riigist ja laborist

Aktil Ungari
Amoclan Saudi Araabia
Amoklavin Türgi
Amoksiklav Poola
Amoxclav Saudi Araabia
Amplamox Brasiilia
Augmentin Araabia Ühendemiraadid, Austria, Belgia, Ecuador, Hispaania, Holland, Itaalia, Kreeka, Poola, Prantsusmaa, Saudi Araabia, Suurbritannia, Sveits, Tšiili, Türgi
Betamox Portugal
Clavamox Austria
Clavicin Malaisia, Venetsueela
Clavulin Brasiilia
Co-amoxi Sveits
Co-Amoxicillin Sveits
Curam Saudi Araabia, uus-Meremaa
Darzitil Argentiina
Dibional Argentiina
Julmentin Araabia Ühendemiraadid
Novamox Brasiilia
Sulbamox Tšiili
Tarometin Poola
Trifamox Argentiina, Ecuador, Kolumbia, Mehhiko
Sobimatus   Süsteravim   Sobimatus : Amoxicillin sodium / clavulanic acid              
Sellel lehel kuvatakse sobimatusi ja sobimatuse tüüpi (sadenemine, värvuse muutus, emulsiooni modifitseerumine jne). Enamasti on siin lehel kuvatud füüsikalised sobimatused, kuna molekulide keemilist stabiilsust hinnatakse harva. Hinnatud on segude sobivust Y-liinis. Antud infot ei saa kasutada ravimite sobivuse hindamiseks juhul, kui ravimid on segatud süstaldes või infusioonikottides. See info on lehel « stabiilsus segudes ».
ingredient lahusti Viited
Keemiline ebastabiilsus Sobimatu
Süsteravim Amoxicillin sodium / clavulanic acid
Süsteravim Amikacin sulfate
3549
Täpsustamata sobimatus Sobimatu
Süsteravim Amoxicillin sodium / clavulanic acid
Parenteraalse toitmise (lipiidide) 3545
Kohene sade Sobimatu
Süsteravim Amoxicillin sodium / clavulanic acid 100/10 mg/ml
Süsteravim Aciclovir sodium 50 mg/ml
3824
Ühilduv
Süsteravim Amoxicillin sodium / clavulanic acid
naatriumkloriid 0.9% 3545
Täpsustamata sobimatus Sobimatu
Süsteravim Amoxicillin sodium / clavulanic acid
glükoos 5% 3545
Ühilduv
Süsteravim Amoxicillin sodium / clavulanic acid 100/10 mg/ml
Süsteravim Amikacin sulfate 250 mg/ml
3824
Täpsustamata sobimatus Sobimatu
Süsteravim Amoxicillin sodium / clavulanic acid
Süsteravim Amikacin sulfate
3545
Värvi muutus 1 tunni pärast Sobimatu
Süsteravim Amoxicillin sodium / clavulanic acid 50/10 mg/ml
Parenteraalse toitmise (lipiidide) 3948
Ühilduv
Süsteravim Amoxicillin sodium / clavulanic acid 100/10 mg/ml
Süsteravim Aminophylline 25 mg/ml
3824
Kohene sade Sobimatu
Süsteravim Amoxicillin sodium / clavulanic acid 10 mg/ml
Süsteravim Amiodarone hydrochloride 12.5 mg/ml
2139
Värvimuutus Sobimatu
Süsteravim Amoxicillin sodium / clavulanic acid 100/10 mg/ml
Süsteravim Amiodarone hydrochloride 50 mg/ml
3824
Ühilduv
Süsteravim Amoxicillin sodium / clavulanic acid 100/10 mg/ml
Süsteravim Amphotericin B liposomale 2 mg/ml
3824
Ühilduv
Süsteravim Amoxicillin sodium / clavulanic acid 100/10 mg/ml
Süsteravim Ampicillin sodium 100 mg/ml
3824
Ühilduv
Süsteravim Amoxicillin sodium / clavulanic acid 100/10 mg/ml
Süsteravim Atropine sulfate 0,4 mg/ml
3824
Ühilduv
Süsteravim Amoxicillin sodium / clavulanic acid 100/10 mg/ml
Süsteravim Azithromycine 100 mg/ml
3824
Ühilduv
Süsteravim Amoxicillin sodium / clavulanic acid 100/10 mg/ml
Süsteravim Calcium chloride 100 mg/ml
3824
Ühilduv
Süsteravim Amoxicillin sodium / clavulanic acid 100/10 mg/ml
Süsteravim Calcium gluconate 100 mg/ml
3824
Ühilduv
Süsteravim Amoxicillin sodium / clavulanic acid 100/10 mg/ml
Süsteravim Cefazolin sodium 100 mg/ml
3824
Ühilduv
Süsteravim Amoxicillin sodium / clavulanic acid 100/10 mg/ml
Süsteravim Cefotaxime sodium 100 mg/ml
3824
Ühilduv
Süsteravim Amoxicillin sodium / clavulanic acid 100/10 mg/ml
Süsteravim Cefoxitin sodium 100 mg/ml
3824
Ühilduv
Süsteravim Amoxicillin sodium / clavulanic acid 100/10 mg/ml
Süsteravim Ceftazidime 100 mg/ml
3824
Ühilduv
Süsteravim Amoxicillin sodium / clavulanic acid 100/10 mg/ml
Süsteravim Ceftriaxone disodium 100 mg/ml
3824
Kohene hägusus Sobimatu
Süsteravim Amoxicillin sodium / clavulanic acid 100/10 mg/ml
Süsteravim Ciclosporin 50 mg/ml
3824
Kohene sade Sobimatu
Süsteravim Amoxicillin sodium / clavulanic acid 12 mg/ml
Süsteravim Ciprofloxacin lactate 2 mg/ml
mitte ükski 1357
Täpsustamata sobimatus Sobimatu
Süsteravim Amoxicillin sodium / clavulanic acid
Süsteravim Ciprofloxacin lactate
3529
Ühilduv
Süsteravim Amoxicillin sodium / clavulanic acid 100/10 mg/ml
Süsteravim Ciprofloxacin lactate 2 mg/ml
3824
Ühilduv
Süsteravim Amoxicillin sodium / clavulanic acid 100/10 mg/ml
Süsteravim Cloxacillin sodium 100 mg/ml
3824
Ühilduv
Süsteravim Amoxicillin sodium / clavulanic acid 100/10 mg/ml
Süsteravim Co-trimoxazole 16/80 mg/ml
3824
Ühilduv
Süsteravim Amoxicillin sodium / clavulanic acid
Süsteravim Daunorubicin/cytarabine liposomale 0,4 mg/mL
naatriumkloriid 0.9% 4654
Värvi muutus 1 tunni pärast Sobimatu
Süsteravim Amoxicillin sodium / clavulanic acid 50/10 mg/ml
Parenteraalse toitmise (lipiide tasuta) 3948
Hägusus ühe tunni jooksul Sobimatu
Süsteravim Amoxicillin sodium / clavulanic acid 100/10 mg/ml
Süsteravim Clindamycin phosphate 150 mg/ml
3824
Täpsustamata sobimatus Sobimatu
Süsteravim Amoxicillin sodium / clavulanic acid
Parenteraalse toitmise (lipiide tasuta) 3545
Ühilduv
Süsteravim Amoxicillin sodium / clavulanic acid 100/10 mg/ml
Süsteravim Cefuroxime sodium 100 mg/ml
3824
Ühilduv
Süsteravim Amoxicillin sodium / clavulanic acid 100/10 mg/ml
Süsteravim Dexamethasone sodium phosphate 4 mg/ml
3824
Täpsustamata sobimatus Sobimatu
Süsteravim Amoxicillin sodium / clavulanic acid
Süsteravim Dexamethasone sodium phosphate
3545
Ühilduv
Süsteravim Amoxicillin sodium / clavulanic acid 100/10 mg/ml
Süsteravim Dexmedetomidine 100 µg/ml
3824
Ühilduv
Süsteravim Amoxicillin sodium / clavulanic acid 100/10 mg/ml
Süsteravim Diazepam 5 mg/ml
3824
Ühilduv
Süsteravim Amoxicillin sodium / clavulanic acid 100/10 mg/ml
Süsteravim Digoxin 250 µg/ml
3824
Ühilduv
Süsteravim Amoxicillin sodium / clavulanic acid 100/10 mg/ml
Süsteravim Dimenhydrinate 10 mg/ml
3824
Värvimuutus Sobimatu
Süsteravim Amoxicillin sodium / clavulanic acid 100/10 mg/ml
Süsteravim Diphenhydramine hydrochloride 50 mg/ml
3824
Kohene sade Sobimatu
Süsteravim Amoxicillin sodium / clavulanic acid 100/10 mg/ml
Süsteravim Dobutamine hydrochloride 12,5 mg/ml
3824
Ühilduv
Süsteravim Amoxicillin sodium / clavulanic acid 100/10 mg/ml
Süsteravim Dopamine hydrochloride 3,2 mg/ml
3824
Ühilduv
Süsteravim Amoxicillin sodium / clavulanic acid 100/10 mg/ml
Süsteravim Enalaprilate 1,25 mg/ml
3824
Ühilduv
Süsteravim Amoxicillin sodium / clavulanic acid 100/10 mg/ml
Süsteravim Epinephrine hydrochloride 1000 µg/ml
3824
Ühilduv
Süsteravim Amoxicillin sodium / clavulanic acid 100/10 mg/ml
Süsteravim Ertapenem 100 mg/ml
3824
Kohene sade Sobimatu
Süsteravim Amoxicillin sodium / clavulanic acid 100/10 mg/ml
Süsteravim Erythromycin lactobionate 50 mg/ml
3824
Täpsustamata sobimatus Sobimatu
Süsteravim Amoxicillin sodium / clavulanic acid
Süsteravim Erythromycin lactobionate
3674
Ühilduv
Süsteravim Amoxicillin sodium / clavulanic acid 100/10 mg/ml
Süsteravim Esmolol hydrochloride 10 mg/ml
3824
Ühilduv
Süsteravim Amoxicillin sodium / clavulanic acid 100/10 mg/ml
Süsteravim Famotidine 10 mg/ml
3824
Ühilduv
Süsteravim Amoxicillin sodium / clavulanic acid 100/10 mg/ml
Süsteravim Fentanyl citrate 50 µg/ml
3824
Ühilduv
Süsteravim Amoxicillin sodium / clavulanic acid 100/10 mg/ml
Süsteravim Fluconazole 2 mg/ml
3824
Ühilduv
Süsteravim Amoxicillin sodium / clavulanic acid 100/10 mg/ml
Süsteravim Furosemide 10 mg/ml
3824
Täpsustamata sobimatus Sobimatu
Süsteravim Amoxicillin sodium / clavulanic acid
Süsteravim Gentamicin sulfate
3643
Täpsustamata sobimatus Sobimatu
Süsteravim Amoxicillin sodium / clavulanic acid
Süsteravim Gentamicin sulfate
3545
Täpsustamata sobimatus Sobimatu
Süsteravim Amoxicillin sodium / clavulanic acid
Süsteravim Gentamicin sulfate
3520
Ühilduv
Süsteravim Amoxicillin sodium / clavulanic acid 100/10 mg/ml
Süsteravim Gentamicin sulfate 40 mg/ml
3824
Ühilduv
Süsteravim Amoxicillin sodium / clavulanic acid 100/10 mg/ml
Süsteravim Granisetron hydrochloride 1 mg/ml
3824
Kohene sade Sobimatu
Süsteravim Amoxicillin sodium / clavulanic acid 100/10 mg/ml
Süsteravim Haloperidol lactate 5 mg/ml
3824
Ühilduv
Süsteravim Amoxicillin sodium / clavulanic acid 100/10 mg/ml
Süsteravim Heparin sodium 1000 UI/ml
3824
Sobimatu
Süsteravim Amoxicillin sodium / clavulanic acid 100/10 mg/ml
Süsteravim Human albumin 250 mg/ml
3824
Täpsustamata sobimatus Sobimatu
Süsteravim Amoxicillin sodium / clavulanic acid
Süsteravim Hydrocortisone sodium succinate
3545
Ühilduv
Süsteravim Amoxicillin sodium / clavulanic acid 100/10 mg/ml
Süsteravim Hydrocortisone sodium succinate 50 mg/ml
3824
Ühilduv
Süsteravim Amoxicillin sodium / clavulanic acid 100/10 mg/ml
Süsteravim Hydromorphone hydrochloride 10 mg/ml
3824
Kohene sade Sobimatu
Süsteravim Amoxicillin sodium / clavulanic acid 100/10 mg/ml
Süsteravim Imipenem - cilastatin sodium 50 mg/ml
3824
Ühilduv
Süsteravim Amoxicillin sodium / clavulanic acid 100/10 mg/ml
Süsteravim Insulin 100 UI/ml
3824
Täpsustamata sobimatus Sobimatu
Süsteravim Amoxicillin sodium / clavulanic acid
Süsteravim Kanamycin sulfate
3545
Kohene sade Sobimatu
Süsteravim Amoxicillin sodium / clavulanic acid 100/10 mg/ml
Süsteravim Ketamine hydrochloride 50 mg/ml
3824
Ühilduv
Süsteravim Amoxicillin sodium / clavulanic acid 100/10 mg/ml
Süsteravim L-carnitine 200 mg/ml
3824
Ühilduv
Süsteravim Amoxicillin sodium / clavulanic acid 100/10 mg/ml
Süsteravim Labetalol hydrochloride 5 mg/ml
3824
Ühilduv
Süsteravim Amoxicillin sodium / clavulanic acid 100/10 mg/ml
Süsteravim Levofloxacine 5 mg/ml
3824
Ühilduv
Süsteravim Amoxicillin sodium / clavulanic acid 100/10 mg/ml
Süsteravim Lidocaine hydrochloride 1 mg/ml
3824
Ühilduv
Süsteravim Amoxicillin sodium / clavulanic acid 100/10 mg/ml
Süsteravim Linezolid 2 mg/ml
3824
Ühilduv
Süsteravim Amoxicillin sodium / clavulanic acid 100/10 mg/ml
Süsteravim Lorazepam 4 mg/ml
3824
Ühilduv
Süsteravim Amoxicillin sodium / clavulanic acid 20/2 mg/ml
Süsteravim Lorazepam 0.33 mg/ml
naatriumkloriid 0.9% 186
Ühilduv
Süsteravim Amoxicillin sodium / clavulanic acid 100/10 mg/ml
Süsteravim Magnesium sulfate 500 mg/ml
3824
Täpsustamata sobimatus Sobimatu
Süsteravim Amoxicillin sodium / clavulanic acid
Süsteravim Mannitol
3545
Ühilduv
Süsteravim Amoxicillin sodium / clavulanic acid 100/10 mg/ml
Süsteravim Mannitol 250 mg/ml
3824
Ühilduv
Süsteravim Amoxicillin sodium / clavulanic acid 100/10 mg/ml
Süsteravim Meropenem 50 mg/ml
3824
Täpsustamata sobimatus Sobimatu
Süsteravim Amoxicillin sodium / clavulanic acid
Süsteravim Methylprednisolone acetate
3545
Täpsustamata sobimatus Sobimatu
Süsteravim Amoxicillin sodium / clavulanic acid
Süsteravim Methylprednisolone sodium succinate
3545
Sobimatu
Süsteravim Amoxicillin sodium / clavulanic acid 100/10 mg/ml
Süsteravim Methylprednisolone sodium succinate 125 mg/ml
3824
Ühilduv
Süsteravim Amoxicillin sodium / clavulanic acid 100/10 mg/ml
Süsteravim Metoclopramide hydrochloride 5 mg/ml
3824
Ühilduv
Süsteravim Amoxicillin sodium / clavulanic acid 100/10 mg/ml
Süsteravim Metronidazole 5 mg/ml
3824
Ühilduv
Süsteravim Amoxicillin sodium / clavulanic acid 100/10 mg/ml
Süsteravim Micafungin 20 mg/ml
3824
Värvimuutus Sobimatu
Süsteravim Amoxicillin sodium / clavulanic acid 100/10 mg/ml
Süsteravim Midazolam hydrochloride 5 mg/ml
3824
Kohene sade Sobimatu
Süsteravim Amoxicillin sodium / clavulanic acid 20/2 mg/ml
Süsteravim Midazolam hydrochloride 5 mg/ml
mitte ükski 186
Ühilduv
Süsteravim Amoxicillin sodium / clavulanic acid 100/10 mg/ml
Süsteravim Milrinone lactate 1 mg/ml
3824
Ühilduv
Süsteravim Amoxicillin sodium / clavulanic acid 100/10 mg/ml
Süsteravim Morphine sulfate 50 mg/ml
3824
Ühilduv
Süsteravim Amoxicillin sodium / clavulanic acid 100/10 mg/ml
Süsteravim N-acetylcysteine 200 mg/ml
3824
Ühilduv
Süsteravim Amoxicillin sodium / clavulanic acid 100/10 mg/ml
Süsteravim Naloxone hydrochloride 0,4 mg/ml
3824
Täpsustamata sobimatus Sobimatu
Süsteravim Amoxicillin sodium / clavulanic acid
Süsteravim Netilmicin sulfate
3545
Värvimuutus Sobimatu
Süsteravim Amoxicillin sodium / clavulanic acid 100/10 mg/ml
Süsteravim Nicardipine hydrochloride 1 mg/ml
3824
Hägusus ühe tunni jooksul Sobimatu
Süsteravim Amoxicillin sodium / clavulanic acid 100/10 mg/ml
Süsteravim Nitroglycerin 5 mg/ml
3824
Ühilduv
Süsteravim Amoxicillin sodium / clavulanic acid 100/10 mg/ml
Süsteravim Norepinephrine bitartrate 1 mg/ml
3824
Ühilduv
Süsteravim Amoxicillin sodium / clavulanic acid 100/10 mg/ml
Süsteravim Octreotide acetate 0.5 mg/ml
3824
Ühilduv
Süsteravim Amoxicillin sodium / clavulanic acid 12 mg/ml
Süsteravim Ofloxacin 2 mg/ml
mitte ükski 889
Kohene sade Sobimatu
Süsteravim Amoxicillin sodium / clavulanic acid 100/10 mg/ml
Süsteravim Ondansetron hydrochloride 2 mg/ml
3824
Ühilduv
Süsteravim Amoxicillin sodium / clavulanic acid 100/10 mg/ml
Süsteravim Oxytocin 10 UI/ml
3824
Ühilduv
Süsteravim Amoxicillin sodium / clavulanic acid 100/10 mg/ml
Süsteravim Pantoprazole sodium 4 mg/ml
3824
Ühilduv
Süsteravim Amoxicillin sodium / clavulanic acid 100/10 mg/ml
Süsteravim Paracetamol 10 mg/ml
3824
Täpsustamata sobimatus Sobimatu
Süsteravim Amoxicillin sodium / clavulanic acid
Süsteravim Phenylephrine hydrochloride
3545
Ühilduv
Süsteravim Amoxicillin sodium / clavulanic acid 100/10 mg/ml
Süsteravim Phenylephrine hydrochloride 0,01 mg/ml
3824
Kohene sade Sobimatu
Süsteravim Amoxicillin sodium / clavulanic acid 100/10 mg/ml
Süsteravim Phenytoin sodium 50 mg/ml
3824
Keemiline ebastabiilsus Sobimatu
Süsteravim Amoxicillin sodium / clavulanic acid 10 mg/ml
Süsteravim Phloroglucinol 2,5 mg/ml
3791
Ühilduv
Süsteravim Amoxicillin sodium / clavulanic acid 100/10 mg/ml
Süsteravim Piperacillin sodium / tazobactam 100 mg/ml
3824
Ühilduv
Süsteravim Amoxicillin sodium / clavulanic acid 100/10 mg/ml
Süsteravim Potassium chloride 2 mEq/l
3824
Ühilduv
Süsteravim Amoxicillin sodium / clavulanic acid 100/10 mg/ml
Süsteravim Potassium phosphate 3 mmol/ml
3824
Ühilduv
Süsteravim Amoxicillin sodium / clavulanic acid 60 mg/ml
Süsteravim Propofol
4524
Ühilduv
Süsteravim Amoxicillin sodium / clavulanic acid 100/10 mg/ml
Süsteravim Rocuronium bromide 10 mg/ml
3824
Ühilduv
Süsteravim Amoxicillin sodium / clavulanic acid 100/10 mg/ml
Süsteravim Salbutamol sulfate 1 mg/ml
3824
Ühilduv
Süsteravim Amoxicillin sodium / clavulanic acid 100/10 mg/ml
Süsteravim Sodium bicarbonate 84 mg/ml
3824
Täpsustamata sobimatus Sobimatu
Süsteravim Amoxicillin sodium / clavulanic acid
Süsteravim Sodium bicarbonate
3545
Ühilduv
Süsteravim Amoxicillin sodium / clavulanic acid 100/10 mg/ml
Süsteravim Sufentanil citrate 0,05 mg/ml
3824
Keemiline ebastabiilsus Sobimatu
Süsteravim Amoxicillin sodium / clavulanic acid 20 mg/ml
Süsteravim Temocilline 83.33 mg/ml
süstevesi 2231
Täpsustamata sobimatus Sobimatu
Süsteravim Amoxicillin sodium / clavulanic acid
Süsteravim Temocilline
4470
Ühilduv
Süsteravim Amoxicillin sodium / clavulanic acid 100/10 mg/ml
Süsteravim Thiamine hydrochloride 100 mg/ml
3824
Ühilduv
Süsteravim Amoxicillin sodium / clavulanic acid 100/10 mg/ml
Süsteravim Tobramycin sulfate 40 mg/ml
3824
Täpsustamata sobimatus Sobimatu
Süsteravim Amoxicillin sodium / clavulanic acid
Süsteravim Tobramycin sulfate
3545
Ühilduv
Süsteravim Amoxicillin sodium / clavulanic acid 100/10 mg/ml
Süsteravim Tranexamic acid 100 mg/ml
3824
Ühilduv
Süsteravim Amoxicillin sodium / clavulanic acid 100/10 mg/ml
Süsteravim Vancomycin hydrochloride 50 mg/ml
3824
Kohene hägusus Sobimatu
Süsteravim Amoxicillin sodium / clavulanic acid 100/10 mg/ml
Süsteravim Verapamil hydrochloride 10 mg/ml
3824
Ühilduv
Süsteravim Amoxicillin sodium / clavulanic acid 100/10 mg/ml
Süsteravim Voriconazole 10 mg/ml
3824
Ühilduv
Süsteravim Amoxicillin sodium / clavulanic acid 100/10 mg/ml
Süsteravim Zidovudine 10 mg/ml
3824
Täpsustamata sobimatus Sobimatu
Süsteravim Amoxicillin sodium / clavulanic acid
NaHCO3 3545

  Mentions Légales