最新更新 :
27/11/2025
抗生素   Amoxicillin sodium / clavulanic acid  
注射液
口服剂
溶液稳定性 混合物稳定性 影响稳定性的因素 兼容性 用药途径 引用文献 PDF
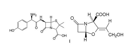
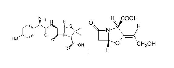
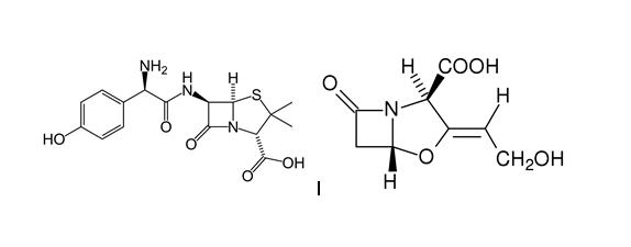
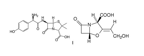
   化学式  

商品名   商品名     

商品名仅供参考, 药品所用的辅料可能依国家或厂商不同有所不同。

Aktil 匈牙利
Amoclan 沙特阿拉伯
Amoklavin 土耳其
Amoksiklav 波兰
Amoxclav 沙特阿拉伯
Amplamox 巴西
Augmentin 厄瓜多尔, 土耳其, 奥地利, 希腊, 意大利, 智利, 比利时, 沙特阿拉伯, 法国, 波兰, 瑞士, 英国, 荷兰, 西班牙, 阿联酋
Betamox 葡萄牙
Clavamox 奥地利
Clavicin 委内瑞拉, 马来西亚
Clavulin 巴西
Co-amoxi 瑞士
Co-Amoxicillin 瑞士
Curam 新西蘭, 沙特阿拉伯
Darzitil 阿根廷
Dibional 阿根廷
Julmentin 阿联酋
Novamox 巴西
Sulbamox 智利
Tarometin 波兰
Trifamox 厄瓜多尔, 哥伦比亚, 墨西哥, 阿根廷
兼容性   注射液   兼容性 : Amoxicillin sodium / clavulanic acid              
This screen indicates the compatibilities or incompatibilities with, in this case, the type of incompatibility (precipitation, color change, modification of an emulsion, etc.). The compatibilities shown here are mostly physical only, with the chemical stability of each molecule rarely being assessed. The evaluation of these mixtures was studied to consider the possibility of Y-site administration to the patient. These data cannot be used for making mixtures in advance in bags or syringes. This type of information is available in the screen "Stability in mixture ».
分子 溶剂 引用文献
化學不穩定性 不相容
注射液 Amoxicillin sodium / clavulanic acid
注射液 Amikacin sulfate
3549
未指定的不兼容性 不相容
注射液 Amoxicillin sodium / clavulanic acid
肠外营养(含脂肪) 3545
立即沉澱 不相容
注射液 Amoxicillin sodium / clavulanic acid 100/10 mg/ml
注射液 Aciclovir sodium 50 mg/ml
3824
兼容
注射液 Amoxicillin sodium / clavulanic acid
NaCl 0,9% 3545
未指定的不兼容性 不相容
注射液 Amoxicillin sodium / clavulanic acid
葡萄糖5% 3545
兼容
注射液 Amoxicillin sodium / clavulanic acid 100/10 mg/ml
注射液 Amikacin sulfate 250 mg/ml
3824
未指定的不兼容性 不相容
注射液 Amoxicillin sodium / clavulanic acid
注射液 Amikacin sulfate
3545
1小時後變色 不相容
注射液 Amoxicillin sodium / clavulanic acid 50/10 mg/ml
肠外营养(含脂肪) 3948
兼容
注射液 Amoxicillin sodium / clavulanic acid 100/10 mg/ml
注射液 Aminophylline 25 mg/ml
3824
立即沉澱 不相容
注射液 Amoxicillin sodium / clavulanic acid 10 mg/ml
注射液 Amiodarone hydrochloride 12.5 mg/ml
2139
顏色變化 不相容
注射液 Amoxicillin sodium / clavulanic acid 100/10 mg/ml
注射液 Amiodarone hydrochloride 50 mg/ml
3824
兼容
注射液 Amoxicillin sodium / clavulanic acid 100/10 mg/ml
注射液 Amphotericin B liposomale 2 mg/ml
3824
兼容
注射液 Amoxicillin sodium / clavulanic acid 100/10 mg/ml
注射液 Ampicillin sodium 100 mg/ml
3824
兼容
注射液 Amoxicillin sodium / clavulanic acid 100/10 mg/ml
注射液 Atropine sulfate 0,4 mg/ml
3824
兼容
注射液 Amoxicillin sodium / clavulanic acid 100/10 mg/ml
注射液 Azithromycine 100 mg/ml
3824
兼容
注射液 Amoxicillin sodium / clavulanic acid 100/10 mg/ml
注射液 Calcium chloride 100 mg/ml
3824
兼容
注射液 Amoxicillin sodium / clavulanic acid 100/10 mg/ml
注射液 Calcium gluconate 100 mg/ml
3824
兼容
注射液 Amoxicillin sodium / clavulanic acid 100/10 mg/ml
注射液 Cefazolin sodium 100 mg/ml
3824
兼容
注射液 Amoxicillin sodium / clavulanic acid 100/10 mg/ml
注射液 Cefotaxime sodium 100 mg/ml
3824
兼容
注射液 Amoxicillin sodium / clavulanic acid 100/10 mg/ml
注射液 Cefoxitin sodium 100 mg/ml
3824
兼容
注射液 Amoxicillin sodium / clavulanic acid 100/10 mg/ml
注射液 Ceftazidime 100 mg/ml
3824
兼容
注射液 Amoxicillin sodium / clavulanic acid 100/10 mg/ml
注射液 Ceftriaxone disodium 100 mg/ml
3824
立即渾濁 不相容
注射液 Amoxicillin sodium / clavulanic acid 100/10 mg/ml
注射液 Ciclosporin 50 mg/ml
3824
立即沉澱 不相容
注射液 Amoxicillin sodium / clavulanic acid 12 mg/ml
注射液 Ciprofloxacin lactate 2 mg/ml
无 1357
未指定的不兼容性 不相容
注射液 Amoxicillin sodium / clavulanic acid
注射液 Ciprofloxacin lactate
3529
兼容
注射液 Amoxicillin sodium / clavulanic acid 100/10 mg/ml
注射液 Ciprofloxacin lactate 2 mg/ml
3824
兼容
注射液 Amoxicillin sodium / clavulanic acid 100/10 mg/ml
注射液 Cloxacillin sodium 100 mg/ml
3824
兼容
注射液 Amoxicillin sodium / clavulanic acid 100/10 mg/ml
注射液 Co-trimoxazole 16/80 mg/ml
3824
兼容
注射液 Amoxicillin sodium / clavulanic acid
注射液 Daunorubicin/cytarabine liposomale 0,4 mg/mL
NaCl 0,9% 4654
1小時後變色 不相容
注射液 Amoxicillin sodium / clavulanic acid 50/10 mg/ml
肠外营养(二种混合物) 3948
一小時渾濁 不相容
注射液 Amoxicillin sodium / clavulanic acid 100/10 mg/ml
注射液 Clindamycin phosphate 150 mg/ml
3824
未指定的不兼容性 不相容
注射液 Amoxicillin sodium / clavulanic acid
肠外营养(二种混合物) 3545
兼容
注射液 Amoxicillin sodium / clavulanic acid 100/10 mg/ml
注射液 Cefuroxime sodium 100 mg/ml
3824
兼容
注射液 Amoxicillin sodium / clavulanic acid 100/10 mg/ml
注射液 Dexamethasone sodium phosphate 4 mg/ml
3824
未指定的不兼容性 不相容
注射液 Amoxicillin sodium / clavulanic acid
注射液 Dexamethasone sodium phosphate
3545
兼容
注射液 Amoxicillin sodium / clavulanic acid 100/10 mg/ml
注射液 Dexmedetomidine 100 µg/ml
3824
兼容
注射液 Amoxicillin sodium / clavulanic acid 100/10 mg/ml
注射液 Diazepam 5 mg/ml
3824
兼容
注射液 Amoxicillin sodium / clavulanic acid 100/10 mg/ml
注射液 Digoxin 250 µg/ml
3824
兼容
注射液 Amoxicillin sodium / clavulanic acid 100/10 mg/ml
注射液 Dimenhydrinate 10 mg/ml
3824
顏色變化 不相容
注射液 Amoxicillin sodium / clavulanic acid 100/10 mg/ml
注射液 Diphenhydramine hydrochloride 50 mg/ml
3824
立即沉澱 不相容
注射液 Amoxicillin sodium / clavulanic acid 100/10 mg/ml
注射液 Dobutamine hydrochloride 12,5 mg/ml
3824
兼容
注射液 Amoxicillin sodium / clavulanic acid 100/10 mg/ml
注射液 Dopamine hydrochloride 3,2 mg/ml
3824
兼容
注射液 Amoxicillin sodium / clavulanic acid 100/10 mg/ml
注射液 Enalaprilate 1,25 mg/ml
3824
兼容
注射液 Amoxicillin sodium / clavulanic acid 100/10 mg/ml
注射液 Epinephrine hydrochloride 1000 µg/ml
3824
兼容
注射液 Amoxicillin sodium / clavulanic acid 100/10 mg/ml
注射液 Ertapenem 100 mg/ml
3824
立即沉澱 不相容
注射液 Amoxicillin sodium / clavulanic acid 100/10 mg/ml
注射液 Erythromycin lactobionate 50 mg/ml
3824
未指定的不兼容性 不相容
注射液 Amoxicillin sodium / clavulanic acid
注射液 Erythromycin lactobionate
3674
兼容
注射液 Amoxicillin sodium / clavulanic acid 100/10 mg/ml
注射液 Esmolol hydrochloride 10 mg/ml
3824
兼容
注射液 Amoxicillin sodium / clavulanic acid 100/10 mg/ml
注射液 Famotidine 10 mg/ml
3824
兼容
注射液 Amoxicillin sodium / clavulanic acid 100/10 mg/ml
注射液 Fentanyl citrate 50 µg/ml
3824
兼容
注射液 Amoxicillin sodium / clavulanic acid 100/10 mg/ml
注射液 Fluconazole 2 mg/ml
3824
兼容
注射液 Amoxicillin sodium / clavulanic acid 100/10 mg/ml
注射液 Furosemide 10 mg/ml
3824
未指定的不兼容性 不相容
注射液 Amoxicillin sodium / clavulanic acid
注射液 Gentamicin sulfate
3643
未指定的不兼容性 不相容
注射液 Amoxicillin sodium / clavulanic acid
注射液 Gentamicin sulfate
3545
未指定的不兼容性 不相容
注射液 Amoxicillin sodium / clavulanic acid
注射液 Gentamicin sulfate
3520
兼容
注射液 Amoxicillin sodium / clavulanic acid 100/10 mg/ml
注射液 Gentamicin sulfate 40 mg/ml
3824
兼容
注射液 Amoxicillin sodium / clavulanic acid 100/10 mg/ml
注射液 Granisetron hydrochloride 1 mg/ml
3824
立即沉澱 不相容
注射液 Amoxicillin sodium / clavulanic acid 100/10 mg/ml
注射液 Haloperidol lactate 5 mg/ml
3824
兼容
注射液 Amoxicillin sodium / clavulanic acid 100/10 mg/ml
注射液 Heparin sodium 1000 UI/ml
3824
不相容
注射液 Amoxicillin sodium / clavulanic acid 100/10 mg/ml
注射液 Human albumin 250 mg/ml
3824
未指定的不兼容性 不相容
注射液 Amoxicillin sodium / clavulanic acid
注射液 Hydrocortisone sodium succinate
3545
兼容
注射液 Amoxicillin sodium / clavulanic acid 100/10 mg/ml
注射液 Hydrocortisone sodium succinate 50 mg/ml
3824
兼容
注射液 Amoxicillin sodium / clavulanic acid 100/10 mg/ml
注射液 Hydromorphone hydrochloride 10 mg/ml
3824
立即沉澱 不相容
注射液 Amoxicillin sodium / clavulanic acid 100/10 mg/ml
注射液 Imipenem - cilastatin sodium 50 mg/ml
3824
兼容
注射液 Amoxicillin sodium / clavulanic acid 100/10 mg/ml
注射液 Insulin 100 UI/ml
3824
未指定的不兼容性 不相容
注射液 Amoxicillin sodium / clavulanic acid
注射液 Kanamycin sulfate
3545
立即沉澱 不相容
注射液 Amoxicillin sodium / clavulanic acid 100/10 mg/ml
注射液 Ketamine hydrochloride 50 mg/ml
3824
兼容
注射液 Amoxicillin sodium / clavulanic acid 100/10 mg/ml
注射液 L-carnitine 200 mg/ml
3824
兼容
注射液 Amoxicillin sodium / clavulanic acid 100/10 mg/ml
注射液 Labetalol hydrochloride 5 mg/ml
3824
兼容
注射液 Amoxicillin sodium / clavulanic acid 100/10 mg/ml
注射液 Levofloxacine 5 mg/ml
3824
兼容
注射液 Amoxicillin sodium / clavulanic acid 100/10 mg/ml
注射液 Lidocaine hydrochloride 1 mg/ml
3824
兼容
注射液 Amoxicillin sodium / clavulanic acid 100/10 mg/ml
注射液 Linezolid 2 mg/ml
3824
兼容
注射液 Amoxicillin sodium / clavulanic acid 100/10 mg/ml
注射液 Lorazepam 4 mg/ml
3824
兼容
注射液 Amoxicillin sodium / clavulanic acid 20/2 mg/ml
注射液 Lorazepam 0.33 mg/ml
NaCl 0,9% 186
兼容
注射液 Amoxicillin sodium / clavulanic acid 100/10 mg/ml
注射液 Magnesium sulfate 500 mg/ml
3824
未指定的不兼容性 不相容
注射液 Amoxicillin sodium / clavulanic acid
注射液 Mannitol
3545
兼容
注射液 Amoxicillin sodium / clavulanic acid 100/10 mg/ml
注射液 Mannitol 250 mg/ml
3824
兼容
注射液 Amoxicillin sodium / clavulanic acid 100/10 mg/ml
注射液 Meropenem 50 mg/ml
3824
未指定的不兼容性 不相容
注射液 Amoxicillin sodium / clavulanic acid
注射液 Methylprednisolone acetate
3545
未指定的不兼容性 不相容
注射液 Amoxicillin sodium / clavulanic acid
注射液 Methylprednisolone sodium succinate
3545
不相容
注射液 Amoxicillin sodium / clavulanic acid 100/10 mg/ml
注射液 Methylprednisolone sodium succinate 125 mg/ml
3824
兼容
注射液 Amoxicillin sodium / clavulanic acid 100/10 mg/ml
注射液 Metoclopramide hydrochloride 5 mg/ml
3824
兼容
注射液 Amoxicillin sodium / clavulanic acid 100/10 mg/ml
注射液 Metronidazole 5 mg/ml
3824
兼容
注射液 Amoxicillin sodium / clavulanic acid 100/10 mg/ml
注射液 Micafungin 20 mg/ml
3824
顏色變化 不相容
注射液 Amoxicillin sodium / clavulanic acid 100/10 mg/ml
注射液 Midazolam hydrochloride 5 mg/ml
3824
立即沉澱 不相容
注射液 Amoxicillin sodium / clavulanic acid 20/2 mg/ml
注射液 Midazolam hydrochloride 5 mg/ml
无 186
兼容
注射液 Amoxicillin sodium / clavulanic acid 100/10 mg/ml
注射液 Milrinone lactate 1 mg/ml
3824
兼容
注射液 Amoxicillin sodium / clavulanic acid 100/10 mg/ml
注射液 Morphine sulfate 50 mg/ml
3824
兼容
注射液 Amoxicillin sodium / clavulanic acid 100/10 mg/ml
注射液 N-acetylcysteine 200 mg/ml
3824
兼容
注射液 Amoxicillin sodium / clavulanic acid 100/10 mg/ml
注射液 Naloxone hydrochloride 0,4 mg/ml
3824
未指定的不兼容性 不相容
注射液 Amoxicillin sodium / clavulanic acid
注射液 Netilmicin sulfate
3545
顏色變化 不相容
注射液 Amoxicillin sodium / clavulanic acid 100/10 mg/ml
注射液 Nicardipine hydrochloride 1 mg/ml
3824
一小時渾濁 不相容
注射液 Amoxicillin sodium / clavulanic acid 100/10 mg/ml
注射液 Nitroglycerin 5 mg/ml
3824
兼容
注射液 Amoxicillin sodium / clavulanic acid 100/10 mg/ml
注射液 Norepinephrine bitartrate 1 mg/ml
3824
兼容
注射液 Amoxicillin sodium / clavulanic acid 100/10 mg/ml
注射液 Octreotide acetate 0.5 mg/ml
3824
兼容
注射液 Amoxicillin sodium / clavulanic acid 12 mg/ml
注射液 Ofloxacin 2 mg/ml
无 889
立即沉澱 不相容
注射液 Amoxicillin sodium / clavulanic acid 100/10 mg/ml
注射液 Ondansetron hydrochloride 2 mg/ml
3824
兼容
注射液 Amoxicillin sodium / clavulanic acid 100/10 mg/ml
注射液 Oxytocin 10 UI/ml
3824
兼容
注射液 Amoxicillin sodium / clavulanic acid 100/10 mg/ml
注射液 Pantoprazole sodium 4 mg/ml
3824
兼容
注射液 Amoxicillin sodium / clavulanic acid 100/10 mg/ml
注射液 Paracetamol 10 mg/ml
3824
未指定的不兼容性 不相容
注射液 Amoxicillin sodium / clavulanic acid
注射液 Phenylephrine hydrochloride
3545
兼容
注射液 Amoxicillin sodium / clavulanic acid 100/10 mg/ml
注射液 Phenylephrine hydrochloride 0,01 mg/ml
3824
立即沉澱 不相容
注射液 Amoxicillin sodium / clavulanic acid 100/10 mg/ml
注射液 Phenytoin sodium 50 mg/ml
3824
化學不穩定性 不相容
注射液 Amoxicillin sodium / clavulanic acid 10 mg/ml
注射液 Phloroglucinol 2,5 mg/ml
3791
兼容
注射液 Amoxicillin sodium / clavulanic acid 100/10 mg/ml
注射液 Piperacillin sodium / tazobactam 100 mg/ml
3824
兼容
注射液 Amoxicillin sodium / clavulanic acid 100/10 mg/ml
注射液 Potassium chloride 2 mEq/l
3824
兼容
注射液 Amoxicillin sodium / clavulanic acid 100/10 mg/ml
注射液 Potassium phosphate 3 mmol/ml
3824
兼容
注射液 Amoxicillin sodium / clavulanic acid 60 mg/ml
注射液 Propofol
4524
兼容
注射液 Amoxicillin sodium / clavulanic acid 100/10 mg/ml
注射液 Rocuronium bromide 10 mg/ml
3824
兼容
注射液 Amoxicillin sodium / clavulanic acid 100/10 mg/ml
注射液 Salbutamol sulfate 1 mg/ml
3824
兼容
注射液 Amoxicillin sodium / clavulanic acid 100/10 mg/ml
注射液 Sodium bicarbonate 84 mg/ml
3824
未指定的不兼容性 不相容
注射液 Amoxicillin sodium / clavulanic acid
注射液 Sodium bicarbonate
3545
兼容
注射液 Amoxicillin sodium / clavulanic acid 100/10 mg/ml
注射液 Sufentanil citrate 0,05 mg/ml
3824
化學不穩定性 不相容
注射液 Amoxicillin sodium / clavulanic acid 20 mg/ml
注射液 Temocilline 83.33 mg/ml
注射用水 2231
未指定的不兼容性 不相容
注射液 Amoxicillin sodium / clavulanic acid
注射液 Temocilline
4470
兼容
注射液 Amoxicillin sodium / clavulanic acid 100/10 mg/ml
注射液 Thiamine hydrochloride 100 mg/ml
3824
兼容
注射液 Amoxicillin sodium / clavulanic acid 100/10 mg/ml
注射液 Tobramycin sulfate 40 mg/ml
3824
未指定的不兼容性 不相容
注射液 Amoxicillin sodium / clavulanic acid
注射液 Tobramycin sulfate
3545
兼容
注射液 Amoxicillin sodium / clavulanic acid 100/10 mg/ml
注射液 Tranexamic acid 100 mg/ml
3824
兼容
注射液 Amoxicillin sodium / clavulanic acid 100/10 mg/ml
注射液 Vancomycin hydrochloride 50 mg/ml
3824
立即渾濁 不相容
注射液 Amoxicillin sodium / clavulanic acid 100/10 mg/ml
注射液 Verapamil hydrochloride 10 mg/ml
3824
兼容
注射液 Amoxicillin sodium / clavulanic acid 100/10 mg/ml
注射液 Voriconazole 10 mg/ml
3824
兼容
注射液 Amoxicillin sodium / clavulanic acid 100/10 mg/ml
注射液 Zidovudine 10 mg/ml
3824
未指定的不兼容性 不相容
注射液 Amoxicillin sodium / clavulanic acid
NaHCO3 3545

  Mentions Légales