Τελευταία ενημέρωση :
17/12/2025
Αντιβιοτικό   Amoxicillin sodium / clavulanic acid  
Ενέσιμο
Πόσιμο διάλυμα
Σταθερότητα διαλυμάτων Σταθερότητα σε μίγματα Παράγοντας που επηρεάζει τη σταθερότητα Συμβατότητες Τρόπος χορήγησης Βιβλιογραφία pdf
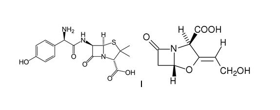
   χημική δομή  

Εμπορική ονομασία   Εμπορική ονομασία     

Οι εμπορικές ονομασίες είναι ενδεικτικές και η σύνθεση των εκδόχων μπορεί να διαφέρει ανάλογα με τη χώρα και τα εργαστήρια

Aktil Ουγγαρία
Amoclan Σαουδική Αραβία
Amoklavin Τουρκία
Amoksiklav Πολωνία
Amoxclav Σαουδική Αραβία
Amplamox Βραζιλία
Augmentin Yhdistyneet arabiemiirikunnat, Αυστρία, Βέλγιο, Γαλλία, Εκουαδόρ, Ελβετία, Ελλάδα, Ισπανία, Ιταλία, Μεγάλη Βρετανία, Ολλανδία, Πολωνία, Σαουδική Αραβία, Τουρκία, Χιλή
Betamox Πορτογαλία
Clavamox Αυστρία
Clavicin Βενεζουέλα, Μαλαισία
Clavulin Βραζιλία
Co-amoxi Ελβετία
Co-Amoxicillin Ελβετία
Curam νέα Ζηλανδία, Σαουδική Αραβία
Darzitil Αργεντινή
Dibional Αργεντινή
Julmentin Yhdistyneet arabiemiirikunnat
Novamox Βραζιλία
Sulbamox Χιλή
Tarometin Πολωνία
Trifamox Αργεντινή, Εκουαδόρ, Κολομβία, Μεξικό
Συμβατότητες    Ενέσιμο   Συμβατότητες : Amoxicillin sodium / clavulanic acid              
Σε αυτή την οθόνη εμφανίζονται οι συμβατότητες ή ασυμβατότητες. Σε αυτή την περίπτωση εμφανίζονται το είδος της ασυμβατότητας (ίζημα, αλλαγή χρώματος, μεταβολή γαλακτώματος, κλπ). Οι συμβατότητες που παρουσιάζονται εδώ είναι κυρίως φυσικές, ενώ η χημική σταθερότητα κάθε μορίου σπάνια περιλαμβάνεται. Η αξιολόγηση αυτών των μιγμάτων μελετήθηκε προκειμένου να εκτιμηθεί η πιθανότητα χορήγησης στον ασθενή στο Υ κέντρο. Τα δεδομένα αυτά δεν μπορούν να χρησιμοποιηθούν για την εκ των προτέρων δημιουργία μιγμάτων σε ασκούς ή σύριγγες. Αυτό το είδος πληροφορίας υπάρχει και μπορεί να αναζητηθεί στην οθόνη «Σταθερότητα σε μίγμα».
Συστατικό Διαλυτικό Βιβλιογραφία
Χημική αστάθεια Ασύμβατες
Ενέσιμο Amoxicillin sodium / clavulanic acid
Ενέσιμο Amikacin sulfate
3549
Απροσδιόριστη ασυμβατότητα Ασύμβατες
Ενέσιμο Amoxicillin sodium / clavulanic acid
Παρεντερική διατροφή (με λιπίδια) 3545
Άμεση βροχόπτωση Ασύμβατες
Ενέσιμο Amoxicillin sodium / clavulanic acid 100/10 mg/ml
Ενέσιμο Aciclovir sodium 50 mg/ml
3824
Σύμφωνος
Ενέσιμο Amoxicillin sodium / clavulanic acid
Χλωριούχο νάτριο 0,9% 3545
Απροσδιόριστη ασυμβατότητα Ασύμβατες
Ενέσιμο Amoxicillin sodium / clavulanic acid
Γλυκόζη 5% 3545
Σύμφωνος
Ενέσιμο Amoxicillin sodium / clavulanic acid 100/10 mg/ml
Ενέσιμο Amikacin sulfate 250 mg/ml
3824
Απροσδιόριστη ασυμβατότητα Ασύμβατες
Ενέσιμο Amoxicillin sodium / clavulanic acid
Ενέσιμο Amikacin sulfate
3545
Αλλαγή χρώματος μετά από 1 ώρα Ασύμβατες
Ενέσιμο Amoxicillin sodium / clavulanic acid 50/10 mg/ml
Παρεντερική διατροφή (με λιπίδια) 3948
Σύμφωνος
Ενέσιμο Amoxicillin sodium / clavulanic acid 100/10 mg/ml
Ενέσιμο Aminophylline 25 mg/ml
3824
Άμεση βροχόπτωση Ασύμβατες
Ενέσιμο Amoxicillin sodium / clavulanic acid 10 mg/ml
Ενέσιμο Amiodarone hydrochloride 12.5 mg/ml
2139
Αλλαγή χρώματος Ασύμβατες
Ενέσιμο Amoxicillin sodium / clavulanic acid 100/10 mg/ml
Ενέσιμο Amiodarone hydrochloride 50 mg/ml
3824
Σύμφωνος
Ενέσιμο Amoxicillin sodium / clavulanic acid 100/10 mg/ml
Ενέσιμο Amphotericin B liposomale 2 mg/ml
3824
Σύμφωνος
Ενέσιμο Amoxicillin sodium / clavulanic acid 100/10 mg/ml
Ενέσιμο Ampicillin sodium 100 mg/ml
3824
Σύμφωνος
Ενέσιμο Amoxicillin sodium / clavulanic acid 100/10 mg/ml
Ενέσιμο Atropine sulfate 0,4 mg/ml
3824
Σύμφωνος
Ενέσιμο Amoxicillin sodium / clavulanic acid 100/10 mg/ml
Ενέσιμο Azithromycine 100 mg/ml
3824
Σύμφωνος
Ενέσιμο Amoxicillin sodium / clavulanic acid 100/10 mg/ml
Ενέσιμο Calcium chloride 100 mg/ml
3824
Σύμφωνος
Ενέσιμο Amoxicillin sodium / clavulanic acid 100/10 mg/ml
Ενέσιμο Calcium gluconate 100 mg/ml
3824
Σύμφωνος
Ενέσιμο Amoxicillin sodium / clavulanic acid 100/10 mg/ml
Ενέσιμο Cefazolin sodium 100 mg/ml
3824
Σύμφωνος
Ενέσιμο Amoxicillin sodium / clavulanic acid 100/10 mg/ml
Ενέσιμο Cefotaxime sodium 100 mg/ml
3824
Σύμφωνος
Ενέσιμο Amoxicillin sodium / clavulanic acid 100/10 mg/ml
Ενέσιμο Cefoxitin sodium 100 mg/ml
3824
Σύμφωνος
Ενέσιμο Amoxicillin sodium / clavulanic acid 100/10 mg/ml
Ενέσιμο Ceftazidime 100 mg/ml
3824
Σύμφωνος
Ενέσιμο Amoxicillin sodium / clavulanic acid 100/10 mg/ml
Ενέσιμο Ceftriaxone disodium 100 mg/ml
3824
Άμεση θολότητα Ασύμβατες
Ενέσιμο Amoxicillin sodium / clavulanic acid 100/10 mg/ml
Ενέσιμο Ciclosporin 50 mg/ml
3824
Άμεση βροχόπτωση Ασύμβατες
Ενέσιμο Amoxicillin sodium / clavulanic acid 12 mg/ml
Ενέσιμο Ciprofloxacin lactate 2 mg/ml
Ουδέν 1357
Απροσδιόριστη ασυμβατότητα Ασύμβατες
Ενέσιμο Amoxicillin sodium / clavulanic acid
Ενέσιμο Ciprofloxacin lactate
3529
Σύμφωνος
Ενέσιμο Amoxicillin sodium / clavulanic acid 100/10 mg/ml
Ενέσιμο Ciprofloxacin lactate 2 mg/ml
3824
Σύμφωνος
Ενέσιμο Amoxicillin sodium / clavulanic acid 100/10 mg/ml
Ενέσιμο Cloxacillin sodium 100 mg/ml
3824
Σύμφωνος
Ενέσιμο Amoxicillin sodium / clavulanic acid 100/10 mg/ml
Ενέσιμο Co-trimoxazole 16/80 mg/ml
3824
Σύμφωνος
Ενέσιμο Amoxicillin sodium / clavulanic acid
Ενέσιμο Daunorubicin/cytarabine liposomale 0,4 mg/mL
Χλωριούχο νάτριο 0,9% 4654
Αλλαγή χρώματος μετά από 1 ώρα Ασύμβατες
Ενέσιμο Amoxicillin sodium / clavulanic acid 50/10 mg/ml
Παρεντερική  θρέψη (ελεύθερο λιπιδίων) 3948
Мътност за един час Ασύμβατες
Ενέσιμο Amoxicillin sodium / clavulanic acid 100/10 mg/ml
Ενέσιμο Clindamycin phosphate 150 mg/ml
3824
Απροσδιόριστη ασυμβατότητα Ασύμβατες
Ενέσιμο Amoxicillin sodium / clavulanic acid
Παρεντερική  θρέψη (ελεύθερο λιπιδίων) 3545
Σύμφωνος
Ενέσιμο Amoxicillin sodium / clavulanic acid 100/10 mg/ml
Ενέσιμο Cefuroxime sodium 100 mg/ml
3824
Σύμφωνος
Ενέσιμο Amoxicillin sodium / clavulanic acid 100/10 mg/ml
Ενέσιμο Dexamethasone sodium phosphate 4 mg/ml
3824
Απροσδιόριστη ασυμβατότητα Ασύμβατες
Ενέσιμο Amoxicillin sodium / clavulanic acid
Ενέσιμο Dexamethasone sodium phosphate
3545
Σύμφωνος
Ενέσιμο Amoxicillin sodium / clavulanic acid 100/10 mg/ml
Ενέσιμο Dexmedetomidine 100 µg/ml
3824
Σύμφωνος
Ενέσιμο Amoxicillin sodium / clavulanic acid 100/10 mg/ml
Ενέσιμο Diazepam 5 mg/ml
3824
Σύμφωνος
Ενέσιμο Amoxicillin sodium / clavulanic acid 100/10 mg/ml
Ενέσιμο Digoxin 250 µg/ml
3824
Σύμφωνος
Ενέσιμο Amoxicillin sodium / clavulanic acid 100/10 mg/ml
Ενέσιμο Dimenhydrinate 10 mg/ml
3824
Αλλαγή χρώματος Ασύμβατες
Ενέσιμο Amoxicillin sodium / clavulanic acid 100/10 mg/ml
Ενέσιμο Diphenhydramine hydrochloride 50 mg/ml
3824
Άμεση βροχόπτωση Ασύμβατες
Ενέσιμο Amoxicillin sodium / clavulanic acid 100/10 mg/ml
Ενέσιμο Dobutamine hydrochloride 12,5 mg/ml
3824
Σύμφωνος
Ενέσιμο Amoxicillin sodium / clavulanic acid 100/10 mg/ml
Ενέσιμο Dopamine hydrochloride 3,2 mg/ml
3824
Σύμφωνος
Ενέσιμο Amoxicillin sodium / clavulanic acid 100/10 mg/ml
Ενέσιμο Enalaprilate 1,25 mg/ml
3824
Σύμφωνος
Ενέσιμο Amoxicillin sodium / clavulanic acid 100/10 mg/ml
Ενέσιμο Epinephrine hydrochloride 1000 µg/ml
3824
Σύμφωνος
Ενέσιμο Amoxicillin sodium / clavulanic acid 100/10 mg/ml
Ενέσιμο Ertapenem 100 mg/ml
3824
Άμεση βροχόπτωση Ασύμβατες
Ενέσιμο Amoxicillin sodium / clavulanic acid 100/10 mg/ml
Ενέσιμο Erythromycin lactobionate 50 mg/ml
3824
Απροσδιόριστη ασυμβατότητα Ασύμβατες
Ενέσιμο Amoxicillin sodium / clavulanic acid
Ενέσιμο Erythromycin lactobionate
3674
Σύμφωνος
Ενέσιμο Amoxicillin sodium / clavulanic acid 100/10 mg/ml
Ενέσιμο Esmolol hydrochloride 10 mg/ml
3824
Σύμφωνος
Ενέσιμο Amoxicillin sodium / clavulanic acid 100/10 mg/ml
Ενέσιμο Famotidine 10 mg/ml
3824
Σύμφωνος
Ενέσιμο Amoxicillin sodium / clavulanic acid 100/10 mg/ml
Ενέσιμο Fentanyl citrate 50 µg/ml
3824
Σύμφωνος
Ενέσιμο Amoxicillin sodium / clavulanic acid 100/10 mg/ml
Ενέσιμο Fluconazole 2 mg/ml
3824
Σύμφωνος
Ενέσιμο Amoxicillin sodium / clavulanic acid 100/10 mg/ml
Ενέσιμο Furosemide 10 mg/ml
3824
Απροσδιόριστη ασυμβατότητα Ασύμβατες
Ενέσιμο Amoxicillin sodium / clavulanic acid
Ενέσιμο Gentamicin sulfate
3643
Απροσδιόριστη ασυμβατότητα Ασύμβατες
Ενέσιμο Amoxicillin sodium / clavulanic acid
Ενέσιμο Gentamicin sulfate
3545
Απροσδιόριστη ασυμβατότητα Ασύμβατες
Ενέσιμο Amoxicillin sodium / clavulanic acid
Ενέσιμο Gentamicin sulfate
3520
Σύμφωνος
Ενέσιμο Amoxicillin sodium / clavulanic acid 100/10 mg/ml
Ενέσιμο Gentamicin sulfate 40 mg/ml
3824
Σύμφωνος
Ενέσιμο Amoxicillin sodium / clavulanic acid 100/10 mg/ml
Ενέσιμο Granisetron hydrochloride 1 mg/ml
3824
Άμεση βροχόπτωση Ασύμβατες
Ενέσιμο Amoxicillin sodium / clavulanic acid 100/10 mg/ml
Ενέσιμο Haloperidol lactate 5 mg/ml
3824
Σύμφωνος
Ενέσιμο Amoxicillin sodium / clavulanic acid 100/10 mg/ml
Ενέσιμο Heparin sodium 1000 UI/ml
3824
Ασύμβατες
Ενέσιμο Amoxicillin sodium / clavulanic acid 100/10 mg/ml
Ενέσιμο Human albumin 250 mg/ml
3824
Απροσδιόριστη ασυμβατότητα Ασύμβατες
Ενέσιμο Amoxicillin sodium / clavulanic acid
Ενέσιμο Hydrocortisone sodium succinate
3545
Σύμφωνος
Ενέσιμο Amoxicillin sodium / clavulanic acid 100/10 mg/ml
Ενέσιμο Hydrocortisone sodium succinate 50 mg/ml
3824
Σύμφωνος
Ενέσιμο Amoxicillin sodium / clavulanic acid 100/10 mg/ml
Ενέσιμο Hydromorphone hydrochloride 10 mg/ml
3824
Άμεση βροχόπτωση Ασύμβατες
Ενέσιμο Amoxicillin sodium / clavulanic acid 100/10 mg/ml
Ενέσιμο Imipenem - cilastatin sodium 50 mg/ml
3824
Σύμφωνος
Ενέσιμο Amoxicillin sodium / clavulanic acid 100/10 mg/ml
Ενέσιμο Insulin 100 UI/ml
3824
Απροσδιόριστη ασυμβατότητα Ασύμβατες
Ενέσιμο Amoxicillin sodium / clavulanic acid
Ενέσιμο Kanamycin sulfate
3545
Άμεση βροχόπτωση Ασύμβατες
Ενέσιμο Amoxicillin sodium / clavulanic acid 100/10 mg/ml
Ενέσιμο Ketamine hydrochloride 50 mg/ml
3824
Σύμφωνος
Ενέσιμο Amoxicillin sodium / clavulanic acid 100/10 mg/ml
Ενέσιμο L-carnitine 200 mg/ml
3824
Σύμφωνος
Ενέσιμο Amoxicillin sodium / clavulanic acid 100/10 mg/ml
Ενέσιμο Labetalol hydrochloride 5 mg/ml
3824
Σύμφωνος
Ενέσιμο Amoxicillin sodium / clavulanic acid 100/10 mg/ml
Ενέσιμο Levofloxacine 5 mg/ml
3824
Σύμφωνος
Ενέσιμο Amoxicillin sodium / clavulanic acid 100/10 mg/ml
Ενέσιμο Lidocaine hydrochloride 1 mg/ml
3824
Σύμφωνος
Ενέσιμο Amoxicillin sodium / clavulanic acid 100/10 mg/ml
Ενέσιμο Linezolid 2 mg/ml
3824
Σύμφωνος
Ενέσιμο Amoxicillin sodium / clavulanic acid 100/10 mg/ml
Ενέσιμο Lorazepam 4 mg/ml
3824
Σύμφωνος
Ενέσιμο Amoxicillin sodium / clavulanic acid 20/2 mg/ml
Ενέσιμο Lorazepam 0.33 mg/ml
Χλωριούχο νάτριο 0,9% 186
Σύμφωνος
Ενέσιμο Amoxicillin sodium / clavulanic acid 100/10 mg/ml
Ενέσιμο Magnesium sulfate 500 mg/ml
3824
Απροσδιόριστη ασυμβατότητα Ασύμβατες
Ενέσιμο Amoxicillin sodium / clavulanic acid
Ενέσιμο Mannitol
3545
Σύμφωνος
Ενέσιμο Amoxicillin sodium / clavulanic acid 100/10 mg/ml
Ενέσιμο Mannitol 250 mg/ml
3824
Σύμφωνος
Ενέσιμο Amoxicillin sodium / clavulanic acid 100/10 mg/ml
Ενέσιμο Meropenem 50 mg/ml
3824
Απροσδιόριστη ασυμβατότητα Ασύμβατες
Ενέσιμο Amoxicillin sodium / clavulanic acid
Ενέσιμο Methylprednisolone acetate
3545
Απροσδιόριστη ασυμβατότητα Ασύμβατες
Ενέσιμο Amoxicillin sodium / clavulanic acid
Ενέσιμο Methylprednisolone sodium succinate
3545
Ασύμβατες
Ενέσιμο Amoxicillin sodium / clavulanic acid 100/10 mg/ml
Ενέσιμο Methylprednisolone sodium succinate 125 mg/ml
3824
Σύμφωνος
Ενέσιμο Amoxicillin sodium / clavulanic acid 100/10 mg/ml
Ενέσιμο Metoclopramide hydrochloride 5 mg/ml
3824
Σύμφωνος
Ενέσιμο Amoxicillin sodium / clavulanic acid 100/10 mg/ml
Ενέσιμο Metronidazole 5 mg/ml
3824
Σύμφωνος
Ενέσιμο Amoxicillin sodium / clavulanic acid 100/10 mg/ml
Ενέσιμο Micafungin 20 mg/ml
3824
Αλλαγή χρώματος Ασύμβατες
Ενέσιμο Amoxicillin sodium / clavulanic acid 100/10 mg/ml
Ενέσιμο Midazolam hydrochloride 5 mg/ml
3824
Άμεση βροχόπτωση Ασύμβατες
Ενέσιμο Amoxicillin sodium / clavulanic acid 20/2 mg/ml
Ενέσιμο Midazolam hydrochloride 5 mg/ml
Ουδέν 186
Σύμφωνος
Ενέσιμο Amoxicillin sodium / clavulanic acid 100/10 mg/ml
Ενέσιμο Milrinone lactate 1 mg/ml
3824
Σύμφωνος
Ενέσιμο Amoxicillin sodium / clavulanic acid 100/10 mg/ml
Ενέσιμο Morphine sulfate 50 mg/ml
3824
Σύμφωνος
Ενέσιμο Amoxicillin sodium / clavulanic acid 100/10 mg/ml
Ενέσιμο N-acetylcysteine 200 mg/ml
3824
Σύμφωνος
Ενέσιμο Amoxicillin sodium / clavulanic acid 100/10 mg/ml
Ενέσιμο Naloxone hydrochloride 0,4 mg/ml
3824
Απροσδιόριστη ασυμβατότητα Ασύμβατες
Ενέσιμο Amoxicillin sodium / clavulanic acid
Ενέσιμο Netilmicin sulfate
3545
Αλλαγή χρώματος Ασύμβατες
Ενέσιμο Amoxicillin sodium / clavulanic acid 100/10 mg/ml
Ενέσιμο Nicardipine hydrochloride 1 mg/ml
3824
Мътност за един час Ασύμβατες
Ενέσιμο Amoxicillin sodium / clavulanic acid 100/10 mg/ml
Ενέσιμο Nitroglycerin 5 mg/ml
3824
Σύμφωνος
Ενέσιμο Amoxicillin sodium / clavulanic acid 100/10 mg/ml
Ενέσιμο Norepinephrine bitartrate 1 mg/ml
3824
Σύμφωνος
Ενέσιμο Amoxicillin sodium / clavulanic acid 100/10 mg/ml
Ενέσιμο Octreotide acetate 0.5 mg/ml
3824
Σύμφωνος
Ενέσιμο Amoxicillin sodium / clavulanic acid 12 mg/ml
Ενέσιμο Ofloxacin 2 mg/ml
Ουδέν 889
Άμεση βροχόπτωση Ασύμβατες
Ενέσιμο Amoxicillin sodium / clavulanic acid 100/10 mg/ml
Ενέσιμο Ondansetron hydrochloride 2 mg/ml
3824
Σύμφωνος
Ενέσιμο Amoxicillin sodium / clavulanic acid 100/10 mg/ml
Ενέσιμο Oxytocin 10 UI/ml
3824
Σύμφωνος
Ενέσιμο Amoxicillin sodium / clavulanic acid 100/10 mg/ml
Ενέσιμο Pantoprazole sodium 4 mg/ml
3824
Σύμφωνος
Ενέσιμο Amoxicillin sodium / clavulanic acid 100/10 mg/ml
Ενέσιμο Paracetamol 10 mg/ml
3824
Απροσδιόριστη ασυμβατότητα Ασύμβατες
Ενέσιμο Amoxicillin sodium / clavulanic acid
Ενέσιμο Phenylephrine hydrochloride
3545
Σύμφωνος
Ενέσιμο Amoxicillin sodium / clavulanic acid 100/10 mg/ml
Ενέσιμο Phenylephrine hydrochloride 0,01 mg/ml
3824
Άμεση βροχόπτωση Ασύμβατες
Ενέσιμο Amoxicillin sodium / clavulanic acid 100/10 mg/ml
Ενέσιμο Phenytoin sodium 50 mg/ml
3824
Χημική αστάθεια Ασύμβατες
Ενέσιμο Amoxicillin sodium / clavulanic acid 10 mg/ml
Ενέσιμο Phloroglucinol 2,5 mg/ml
3791
Σύμφωνος
Ενέσιμο Amoxicillin sodium / clavulanic acid 100/10 mg/ml
Ενέσιμο Piperacillin sodium / tazobactam 100 mg/ml
3824
Σύμφωνος
Ενέσιμο Amoxicillin sodium / clavulanic acid 100/10 mg/ml
Ενέσιμο Potassium chloride 2 mEq/l
3824
Σύμφωνος
Ενέσιμο Amoxicillin sodium / clavulanic acid 100/10 mg/ml
Ενέσιμο Potassium phosphate 3 mmol/ml
3824
Σύμφωνος
Ενέσιμο Amoxicillin sodium / clavulanic acid 60 mg/ml
Ενέσιμο Propofol
4524
Σύμφωνος
Ενέσιμο Amoxicillin sodium / clavulanic acid 100/10 mg/ml
Ενέσιμο Rocuronium bromide 10 mg/ml
3824
Σύμφωνος
Ενέσιμο Amoxicillin sodium / clavulanic acid 100/10 mg/ml
Ενέσιμο Salbutamol sulfate 1 mg/ml
3824
Σύμφωνος
Ενέσιμο Amoxicillin sodium / clavulanic acid 100/10 mg/ml
Ενέσιμο Sodium bicarbonate 84 mg/ml
3824
Απροσδιόριστη ασυμβατότητα Ασύμβατες
Ενέσιμο Amoxicillin sodium / clavulanic acid
Ενέσιμο Sodium bicarbonate
3545
Σύμφωνος
Ενέσιμο Amoxicillin sodium / clavulanic acid 100/10 mg/ml
Ενέσιμο Sufentanil citrate 0,05 mg/ml
3824
Χημική αστάθεια Ασύμβατες
Ενέσιμο Amoxicillin sodium / clavulanic acid 20 mg/ml
Ενέσιμο Temocilline 83.33 mg/ml
Ενέσιμο ύδωρ 2231
Απροσδιόριστη ασυμβατότητα Ασύμβατες
Ενέσιμο Amoxicillin sodium / clavulanic acid
Ενέσιμο Temocilline
4470
Σύμφωνος
Ενέσιμο Amoxicillin sodium / clavulanic acid 100/10 mg/ml
Ενέσιμο Thiamine hydrochloride 100 mg/ml
3824
Σύμφωνος
Ενέσιμο Amoxicillin sodium / clavulanic acid 100/10 mg/ml
Ενέσιμο Tobramycin sulfate 40 mg/ml
3824
Απροσδιόριστη ασυμβατότητα Ασύμβατες
Ενέσιμο Amoxicillin sodium / clavulanic acid
Ενέσιμο Tobramycin sulfate
3545
Σύμφωνος
Ενέσιμο Amoxicillin sodium / clavulanic acid 100/10 mg/ml
Ενέσιμο Tranexamic acid 100 mg/ml
3824
Σύμφωνος
Ενέσιμο Amoxicillin sodium / clavulanic acid 100/10 mg/ml
Ενέσιμο Vancomycin hydrochloride 50 mg/ml
3824
Άμεση θολότητα Ασύμβατες
Ενέσιμο Amoxicillin sodium / clavulanic acid 100/10 mg/ml
Ενέσιμο Verapamil hydrochloride 10 mg/ml
3824
Σύμφωνος
Ενέσιμο Amoxicillin sodium / clavulanic acid 100/10 mg/ml
Ενέσιμο Voriconazole 10 mg/ml
3824
Σύμφωνος
Ενέσιμο Amoxicillin sodium / clavulanic acid 100/10 mg/ml
Ενέσιμο Zidovudine 10 mg/ml
3824
Απροσδιόριστη ασυμβατότητα Ασύμβατες
Ενέσιμο Amoxicillin sodium / clavulanic acid
NaHCO3 3545

  Mentions Légales