Viimeisin päivitys :
17/12/2025
Antibiootit   Amoxicillin sodium / clavulanic acid  
Injektioneste
Oraaliliuos
Stabilius liuoksessa Stabilius seoksissa Tekijät, jotka vaikuttavat stabiliuteen Yhteensopivuus Antotapa Viitteet pdf
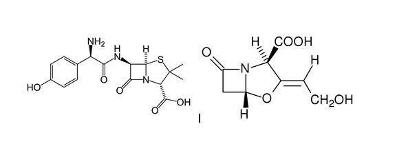
   Kemiallinen rakenne  

Kauppanimi   Kauppanimi     

Trade names are indicative and excipients composition can be different depending on the country and manufacturers

Aktil Unkari
Amoclan Saudi-Arabia
Amoklavin Turkki
Amoksiklav Puola
Amoxclav Saudi-Arabia
Amplamox Brasilia
Augmentin Belgia, Chile, Ecuador, Espanja, Hollanti, Iso-Britannia, Italia, Itävalta, Kreikka, Puola, Ranska, Saudi-Arabia, Sveitsi, Turkki, Yhdistyneet arabiemiirikunnat
Betamox Portugali
Clavamox Itävalta
Clavicin Malesia, Venezuela
Clavulin Brasilia
Co-amoxi Sveitsi
Co-Amoxicillin Sveitsi
Curam New Zealand, Saudi-Arabia
Darzitil Argentiina
Dibional Argentiina
Julmentin Yhdistyneet arabiemiirikunnat
Novamox Brasilia
Sulbamox Chile
Tarometin Puola
Trifamox Argentiina, Ecuador, Kolumbia, Meksiko
Yhteensopivuus   Injektioneste   Yhteensopivuus : Amoxicillin sodium / clavulanic acid              
Tämä näyttö osoittaa yhteensopivuuden tai yhteensopimattomuuden yhteensopimattomuuden tyypin kanssa (saostuminen, värinmuutos, emulsiomuutos jne.). Tässä esitetty yhteensopivuus on useimmissa tapauksissa vain fysikaalinen, ja kunkin molekyylin kemiallista stabiilisuutta arvioidaan harvoin. Näiden seosten arviointia tutkittiin mahdollisuuden antaa Y-kohta potilaalle. Näitä tietoja ei voida käyttää seosten valmistamiseen etukäteen pusseissa tai ruiskuissa. Tämäntyyppiset tiedot ovat saatavilla "Stabiilisuus seoksessa" -näytössä.
Yhdiste Liuotin Viitteet
Kemiallinen epävakaus yhteensopimaton
Injektioneste Amoxicillin sodium / clavulanic acid
Injektioneste Amikacin sulfate
3549
Määrittelemätön yhteensopimattomuus yhteensopimaton
Injektioneste Amoxicillin sodium / clavulanic acid
Parenteraalinen (lipidien) 3545
Välittömät sateet yhteensopimaton
Injektioneste Amoxicillin sodium / clavulanic acid 100/10 mg/ml
Injektioneste Aciclovir sodium 50 mg/ml
3824
Yhteensopiva
Injektioneste Amoxicillin sodium / clavulanic acid
Natriumkloridi 0,9% 3545
Määrittelemätön yhteensopimattomuus yhteensopimaton
Injektioneste Amoxicillin sodium / clavulanic acid
Glukoosi 5% 3545
Yhteensopiva
Injektioneste Amoxicillin sodium / clavulanic acid 100/10 mg/ml
Injektioneste Amikacin sulfate 250 mg/ml
3824
Määrittelemätön yhteensopimattomuus yhteensopimaton
Injektioneste Amoxicillin sodium / clavulanic acid
Injektioneste Amikacin sulfate
3545
Värinvaihto 1 tunnin kuluttua yhteensopimaton
Injektioneste Amoxicillin sodium / clavulanic acid 50/10 mg/ml
Parenteraalinen (lipidien) 3948
Yhteensopiva
Injektioneste Amoxicillin sodium / clavulanic acid 100/10 mg/ml
Injektioneste Aminophylline 25 mg/ml
3824
Välittömät sateet yhteensopimaton
Injektioneste Amoxicillin sodium / clavulanic acid 10 mg/ml
Injektioneste Amiodarone hydrochloride 12.5 mg/ml
2139
Värinvaihto yhteensopimaton
Injektioneste Amoxicillin sodium / clavulanic acid 100/10 mg/ml
Injektioneste Amiodarone hydrochloride 50 mg/ml
3824
Yhteensopiva
Injektioneste Amoxicillin sodium / clavulanic acid 100/10 mg/ml
Injektioneste Amphotericin B liposomale 2 mg/ml
3824
Yhteensopiva
Injektioneste Amoxicillin sodium / clavulanic acid 100/10 mg/ml
Injektioneste Ampicillin sodium 100 mg/ml
3824
Yhteensopiva
Injektioneste Amoxicillin sodium / clavulanic acid 100/10 mg/ml
Injektioneste Atropine sulfate 0,4 mg/ml
3824
Yhteensopiva
Injektioneste Amoxicillin sodium / clavulanic acid 100/10 mg/ml
Injektioneste Azithromycine 100 mg/ml
3824
Yhteensopiva
Injektioneste Amoxicillin sodium / clavulanic acid 100/10 mg/ml
Injektioneste Calcium chloride 100 mg/ml
3824
Yhteensopiva
Injektioneste Amoxicillin sodium / clavulanic acid 100/10 mg/ml
Injektioneste Calcium gluconate 100 mg/ml
3824
Yhteensopiva
Injektioneste Amoxicillin sodium / clavulanic acid 100/10 mg/ml
Injektioneste Cefazolin sodium 100 mg/ml
3824
Yhteensopiva
Injektioneste Amoxicillin sodium / clavulanic acid 100/10 mg/ml
Injektioneste Cefotaxime sodium 100 mg/ml
3824
Yhteensopiva
Injektioneste Amoxicillin sodium / clavulanic acid 100/10 mg/ml
Injektioneste Cefoxitin sodium 100 mg/ml
3824
Yhteensopiva
Injektioneste Amoxicillin sodium / clavulanic acid 100/10 mg/ml
Injektioneste Ceftazidime 100 mg/ml
3824
Yhteensopiva
Injektioneste Amoxicillin sodium / clavulanic acid 100/10 mg/ml
Injektioneste Ceftriaxone disodium 100 mg/ml
3824
Välitön sameus yhteensopimaton
Injektioneste Amoxicillin sodium / clavulanic acid 100/10 mg/ml
Injektioneste Ciclosporin 50 mg/ml
3824
Välittömät sateet yhteensopimaton
Injektioneste Amoxicillin sodium / clavulanic acid 12 mg/ml
Injektioneste Ciprofloxacin lactate 2 mg/ml
Ei mikään 1357
Määrittelemätön yhteensopimattomuus yhteensopimaton
Injektioneste Amoxicillin sodium / clavulanic acid
Injektioneste Ciprofloxacin lactate
3529
Yhteensopiva
Injektioneste Amoxicillin sodium / clavulanic acid 100/10 mg/ml
Injektioneste Ciprofloxacin lactate 2 mg/ml
3824
Yhteensopiva
Injektioneste Amoxicillin sodium / clavulanic acid 100/10 mg/ml
Injektioneste Cloxacillin sodium 100 mg/ml
3824
Yhteensopiva
Injektioneste Amoxicillin sodium / clavulanic acid 100/10 mg/ml
Injektioneste Co-trimoxazole 16/80 mg/ml
3824
Yhteensopiva
Injektioneste Amoxicillin sodium / clavulanic acid
Injektioneste Daunorubicin/cytarabine liposomale 0,4 mg/mL
Natriumkloridi 0,9% 4654
Värinvaihto 1 tunnin kuluttua yhteensopimaton
Injektioneste Amoxicillin sodium / clavulanic acid 50/10 mg/ml
Parenteraalisesti (rasva-free) 3948
Sameus tunnissa yhteensopimaton
Injektioneste Amoxicillin sodium / clavulanic acid 100/10 mg/ml
Injektioneste Clindamycin phosphate 150 mg/ml
3824
Määrittelemätön yhteensopimattomuus yhteensopimaton
Injektioneste Amoxicillin sodium / clavulanic acid
Parenteraalisesti (rasva-free) 3545
Yhteensopiva
Injektioneste Amoxicillin sodium / clavulanic acid 100/10 mg/ml
Injektioneste Cefuroxime sodium 100 mg/ml
3824
Yhteensopiva
Injektioneste Amoxicillin sodium / clavulanic acid 100/10 mg/ml
Injektioneste Dexamethasone sodium phosphate 4 mg/ml
3824
Määrittelemätön yhteensopimattomuus yhteensopimaton
Injektioneste Amoxicillin sodium / clavulanic acid
Injektioneste Dexamethasone sodium phosphate
3545
Yhteensopiva
Injektioneste Amoxicillin sodium / clavulanic acid 100/10 mg/ml
Injektioneste Dexmedetomidine 100 µg/ml
3824
Yhteensopiva
Injektioneste Amoxicillin sodium / clavulanic acid 100/10 mg/ml
Injektioneste Diazepam 5 mg/ml
3824
Yhteensopiva
Injektioneste Amoxicillin sodium / clavulanic acid 100/10 mg/ml
Injektioneste Digoxin 250 µg/ml
3824
Yhteensopiva
Injektioneste Amoxicillin sodium / clavulanic acid 100/10 mg/ml
Injektioneste Dimenhydrinate 10 mg/ml
3824
Värinvaihto yhteensopimaton
Injektioneste Amoxicillin sodium / clavulanic acid 100/10 mg/ml
Injektioneste Diphenhydramine hydrochloride 50 mg/ml
3824
Välittömät sateet yhteensopimaton
Injektioneste Amoxicillin sodium / clavulanic acid 100/10 mg/ml
Injektioneste Dobutamine hydrochloride 12,5 mg/ml
3824
Yhteensopiva
Injektioneste Amoxicillin sodium / clavulanic acid 100/10 mg/ml
Injektioneste Dopamine hydrochloride 3,2 mg/ml
3824
Yhteensopiva
Injektioneste Amoxicillin sodium / clavulanic acid 100/10 mg/ml
Injektioneste Enalaprilate 1,25 mg/ml
3824
Yhteensopiva
Injektioneste Amoxicillin sodium / clavulanic acid 100/10 mg/ml
Injektioneste Epinephrine hydrochloride 1000 µg/ml
3824
Yhteensopiva
Injektioneste Amoxicillin sodium / clavulanic acid 100/10 mg/ml
Injektioneste Ertapenem 100 mg/ml
3824
Välittömät sateet yhteensopimaton
Injektioneste Amoxicillin sodium / clavulanic acid 100/10 mg/ml
Injektioneste Erythromycin lactobionate 50 mg/ml
3824
Määrittelemätön yhteensopimattomuus yhteensopimaton
Injektioneste Amoxicillin sodium / clavulanic acid
Injektioneste Erythromycin lactobionate
3674
Yhteensopiva
Injektioneste Amoxicillin sodium / clavulanic acid 100/10 mg/ml
Injektioneste Esmolol hydrochloride 10 mg/ml
3824
Yhteensopiva
Injektioneste Amoxicillin sodium / clavulanic acid 100/10 mg/ml
Injektioneste Famotidine 10 mg/ml
3824
Yhteensopiva
Injektioneste Amoxicillin sodium / clavulanic acid 100/10 mg/ml
Injektioneste Fentanyl citrate 50 µg/ml
3824
Yhteensopiva
Injektioneste Amoxicillin sodium / clavulanic acid 100/10 mg/ml
Injektioneste Fluconazole 2 mg/ml
3824
Yhteensopiva
Injektioneste Amoxicillin sodium / clavulanic acid 100/10 mg/ml
Injektioneste Furosemide 10 mg/ml
3824
Määrittelemätön yhteensopimattomuus yhteensopimaton
Injektioneste Amoxicillin sodium / clavulanic acid
Injektioneste Gentamicin sulfate
3643
Määrittelemätön yhteensopimattomuus yhteensopimaton
Injektioneste Amoxicillin sodium / clavulanic acid
Injektioneste Gentamicin sulfate
3545
Määrittelemätön yhteensopimattomuus yhteensopimaton
Injektioneste Amoxicillin sodium / clavulanic acid
Injektioneste Gentamicin sulfate
3520
Yhteensopiva
Injektioneste Amoxicillin sodium / clavulanic acid 100/10 mg/ml
Injektioneste Gentamicin sulfate 40 mg/ml
3824
Yhteensopiva
Injektioneste Amoxicillin sodium / clavulanic acid 100/10 mg/ml
Injektioneste Granisetron hydrochloride 1 mg/ml
3824
Välittömät sateet yhteensopimaton
Injektioneste Amoxicillin sodium / clavulanic acid 100/10 mg/ml
Injektioneste Haloperidol lactate 5 mg/ml
3824
Yhteensopiva
Injektioneste Amoxicillin sodium / clavulanic acid 100/10 mg/ml
Injektioneste Heparin sodium 1000 UI/ml
3824
yhteensopimaton
Injektioneste Amoxicillin sodium / clavulanic acid 100/10 mg/ml
Injektioneste Human albumin 250 mg/ml
3824
Määrittelemätön yhteensopimattomuus yhteensopimaton
Injektioneste Amoxicillin sodium / clavulanic acid
Injektioneste Hydrocortisone sodium succinate
3545
Yhteensopiva
Injektioneste Amoxicillin sodium / clavulanic acid 100/10 mg/ml
Injektioneste Hydrocortisone sodium succinate 50 mg/ml
3824
Yhteensopiva
Injektioneste Amoxicillin sodium / clavulanic acid 100/10 mg/ml
Injektioneste Hydromorphone hydrochloride 10 mg/ml
3824
Välittömät sateet yhteensopimaton
Injektioneste Amoxicillin sodium / clavulanic acid 100/10 mg/ml
Injektioneste Imipenem - cilastatin sodium 50 mg/ml
3824
Yhteensopiva
Injektioneste Amoxicillin sodium / clavulanic acid 100/10 mg/ml
Injektioneste Insulin 100 UI/ml
3824
Määrittelemätön yhteensopimattomuus yhteensopimaton
Injektioneste Amoxicillin sodium / clavulanic acid
Injektioneste Kanamycin sulfate
3545
Välittömät sateet yhteensopimaton
Injektioneste Amoxicillin sodium / clavulanic acid 100/10 mg/ml
Injektioneste Ketamine hydrochloride 50 mg/ml
3824
Yhteensopiva
Injektioneste Amoxicillin sodium / clavulanic acid 100/10 mg/ml
Injektioneste L-carnitine 200 mg/ml
3824
Yhteensopiva
Injektioneste Amoxicillin sodium / clavulanic acid 100/10 mg/ml
Injektioneste Labetalol hydrochloride 5 mg/ml
3824
Yhteensopiva
Injektioneste Amoxicillin sodium / clavulanic acid 100/10 mg/ml
Injektioneste Levofloxacine 5 mg/ml
3824
Yhteensopiva
Injektioneste Amoxicillin sodium / clavulanic acid 100/10 mg/ml
Injektioneste Lidocaine hydrochloride 1 mg/ml
3824
Yhteensopiva
Injektioneste Amoxicillin sodium / clavulanic acid 100/10 mg/ml
Injektioneste Linezolid 2 mg/ml
3824
Yhteensopiva
Injektioneste Amoxicillin sodium / clavulanic acid 100/10 mg/ml
Injektioneste Lorazepam 4 mg/ml
3824
Yhteensopiva
Injektioneste Amoxicillin sodium / clavulanic acid 20/2 mg/ml
Injektioneste Lorazepam 0.33 mg/ml
Natriumkloridi 0,9% 186
Yhteensopiva
Injektioneste Amoxicillin sodium / clavulanic acid 100/10 mg/ml
Injektioneste Magnesium sulfate 500 mg/ml
3824
Määrittelemätön yhteensopimattomuus yhteensopimaton
Injektioneste Amoxicillin sodium / clavulanic acid
Injektioneste Mannitol
3545
Yhteensopiva
Injektioneste Amoxicillin sodium / clavulanic acid 100/10 mg/ml
Injektioneste Mannitol 250 mg/ml
3824
Yhteensopiva
Injektioneste Amoxicillin sodium / clavulanic acid 100/10 mg/ml
Injektioneste Meropenem 50 mg/ml
3824
Määrittelemätön yhteensopimattomuus yhteensopimaton
Injektioneste Amoxicillin sodium / clavulanic acid
Injektioneste Methylprednisolone acetate
3545
Määrittelemätön yhteensopimattomuus yhteensopimaton
Injektioneste Amoxicillin sodium / clavulanic acid
Injektioneste Methylprednisolone sodium succinate
3545
yhteensopimaton
Injektioneste Amoxicillin sodium / clavulanic acid 100/10 mg/ml
Injektioneste Methylprednisolone sodium succinate 125 mg/ml
3824
Yhteensopiva
Injektioneste Amoxicillin sodium / clavulanic acid 100/10 mg/ml
Injektioneste Metoclopramide hydrochloride 5 mg/ml
3824
Yhteensopiva
Injektioneste Amoxicillin sodium / clavulanic acid 100/10 mg/ml
Injektioneste Metronidazole 5 mg/ml
3824
Yhteensopiva
Injektioneste Amoxicillin sodium / clavulanic acid 100/10 mg/ml
Injektioneste Micafungin 20 mg/ml
3824
Värinvaihto yhteensopimaton
Injektioneste Amoxicillin sodium / clavulanic acid 100/10 mg/ml
Injektioneste Midazolam hydrochloride 5 mg/ml
3824
Välittömät sateet yhteensopimaton
Injektioneste Amoxicillin sodium / clavulanic acid 20/2 mg/ml
Injektioneste Midazolam hydrochloride 5 mg/ml
Ei mikään 186
Yhteensopiva
Injektioneste Amoxicillin sodium / clavulanic acid 100/10 mg/ml
Injektioneste Milrinone lactate 1 mg/ml
3824
Yhteensopiva
Injektioneste Amoxicillin sodium / clavulanic acid 100/10 mg/ml
Injektioneste Morphine sulfate 50 mg/ml
3824
Yhteensopiva
Injektioneste Amoxicillin sodium / clavulanic acid 100/10 mg/ml
Injektioneste N-acetylcysteine 200 mg/ml
3824
Yhteensopiva
Injektioneste Amoxicillin sodium / clavulanic acid 100/10 mg/ml
Injektioneste Naloxone hydrochloride 0,4 mg/ml
3824
Määrittelemätön yhteensopimattomuus yhteensopimaton
Injektioneste Amoxicillin sodium / clavulanic acid
Injektioneste Netilmicin sulfate
3545
Värinvaihto yhteensopimaton
Injektioneste Amoxicillin sodium / clavulanic acid 100/10 mg/ml
Injektioneste Nicardipine hydrochloride 1 mg/ml
3824
Sameus tunnissa yhteensopimaton
Injektioneste Amoxicillin sodium / clavulanic acid 100/10 mg/ml
Injektioneste Nitroglycerin 5 mg/ml
3824
Yhteensopiva
Injektioneste Amoxicillin sodium / clavulanic acid 100/10 mg/ml
Injektioneste Norepinephrine bitartrate 1 mg/ml
3824
Yhteensopiva
Injektioneste Amoxicillin sodium / clavulanic acid 100/10 mg/ml
Injektioneste Octreotide acetate 0.5 mg/ml
3824
Yhteensopiva
Injektioneste Amoxicillin sodium / clavulanic acid 12 mg/ml
Injektioneste Ofloxacin 2 mg/ml
Ei mikään 889
Välittömät sateet yhteensopimaton
Injektioneste Amoxicillin sodium / clavulanic acid 100/10 mg/ml
Injektioneste Ondansetron hydrochloride 2 mg/ml
3824
Yhteensopiva
Injektioneste Amoxicillin sodium / clavulanic acid 100/10 mg/ml
Injektioneste Oxytocin 10 UI/ml
3824
Yhteensopiva
Injektioneste Amoxicillin sodium / clavulanic acid 100/10 mg/ml
Injektioneste Pantoprazole sodium 4 mg/ml
3824
Yhteensopiva
Injektioneste Amoxicillin sodium / clavulanic acid 100/10 mg/ml
Injektioneste Paracetamol 10 mg/ml
3824
Määrittelemätön yhteensopimattomuus yhteensopimaton
Injektioneste Amoxicillin sodium / clavulanic acid
Injektioneste Phenylephrine hydrochloride
3545
Yhteensopiva
Injektioneste Amoxicillin sodium / clavulanic acid 100/10 mg/ml
Injektioneste Phenylephrine hydrochloride 0,01 mg/ml
3824
Välittömät sateet yhteensopimaton
Injektioneste Amoxicillin sodium / clavulanic acid 100/10 mg/ml
Injektioneste Phenytoin sodium 50 mg/ml
3824
Kemiallinen epävakaus yhteensopimaton
Injektioneste Amoxicillin sodium / clavulanic acid 10 mg/ml
Injektioneste Phloroglucinol 2,5 mg/ml
3791
Yhteensopiva
Injektioneste Amoxicillin sodium / clavulanic acid 100/10 mg/ml
Injektioneste Piperacillin sodium / tazobactam 100 mg/ml
3824
Yhteensopiva
Injektioneste Amoxicillin sodium / clavulanic acid 100/10 mg/ml
Injektioneste Potassium chloride 2 mEq/l
3824
Yhteensopiva
Injektioneste Amoxicillin sodium / clavulanic acid 100/10 mg/ml
Injektioneste Potassium phosphate 3 mmol/ml
3824
Yhteensopiva
Injektioneste Amoxicillin sodium / clavulanic acid 60 mg/ml
Injektioneste Propofol
4524
Yhteensopiva
Injektioneste Amoxicillin sodium / clavulanic acid 100/10 mg/ml
Injektioneste Rocuronium bromide 10 mg/ml
3824
Yhteensopiva
Injektioneste Amoxicillin sodium / clavulanic acid 100/10 mg/ml
Injektioneste Salbutamol sulfate 1 mg/ml
3824
Yhteensopiva
Injektioneste Amoxicillin sodium / clavulanic acid 100/10 mg/ml
Injektioneste Sodium bicarbonate 84 mg/ml
3824
Määrittelemätön yhteensopimattomuus yhteensopimaton
Injektioneste Amoxicillin sodium / clavulanic acid
Injektioneste Sodium bicarbonate
3545
Yhteensopiva
Injektioneste Amoxicillin sodium / clavulanic acid 100/10 mg/ml
Injektioneste Sufentanil citrate 0,05 mg/ml
3824
Kemiallinen epävakaus yhteensopimaton
Injektioneste Amoxicillin sodium / clavulanic acid 20 mg/ml
Injektioneste Temocilline 83.33 mg/ml
Injektionesteisiin käytettävä vesi 2231
Määrittelemätön yhteensopimattomuus yhteensopimaton
Injektioneste Amoxicillin sodium / clavulanic acid
Injektioneste Temocilline
4470
Yhteensopiva
Injektioneste Amoxicillin sodium / clavulanic acid 100/10 mg/ml
Injektioneste Thiamine hydrochloride 100 mg/ml
3824
Yhteensopiva
Injektioneste Amoxicillin sodium / clavulanic acid 100/10 mg/ml
Injektioneste Tobramycin sulfate 40 mg/ml
3824
Määrittelemätön yhteensopimattomuus yhteensopimaton
Injektioneste Amoxicillin sodium / clavulanic acid
Injektioneste Tobramycin sulfate
3545
Yhteensopiva
Injektioneste Amoxicillin sodium / clavulanic acid 100/10 mg/ml
Injektioneste Tranexamic acid 100 mg/ml
3824
Yhteensopiva
Injektioneste Amoxicillin sodium / clavulanic acid 100/10 mg/ml
Injektioneste Vancomycin hydrochloride 50 mg/ml
3824
Välitön sameus yhteensopimaton
Injektioneste Amoxicillin sodium / clavulanic acid 100/10 mg/ml
Injektioneste Verapamil hydrochloride 10 mg/ml
3824
Yhteensopiva
Injektioneste Amoxicillin sodium / clavulanic acid 100/10 mg/ml
Injektioneste Voriconazole 10 mg/ml
3824
Yhteensopiva
Injektioneste Amoxicillin sodium / clavulanic acid 100/10 mg/ml
Injektioneste Zidovudine 10 mg/ml
3824
Määrittelemätön yhteensopimattomuus yhteensopimaton
Injektioneste Amoxicillin sodium / clavulanic acid
NaHCO3 3545

  Mentions Légales