Ostatnia aktualizacja :
05/12/2025
Antybiotyk   Amoxicillin sodium / clavulanic acid  
Injekcje
Roztwór doustny
Trwałość roztworów Trwałość w mieszaninie Czynnik wpływający na trwałość Zgodność Sposób podania Bibliografia pdf
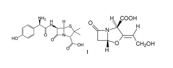
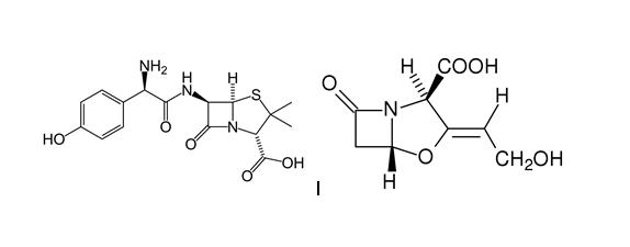
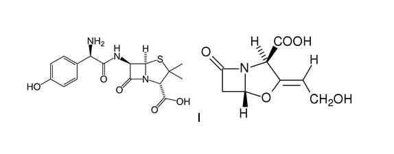
   Struktura chemiczna  

Nazwa handlowa   Nazwa handlowa     

Trade names are indicative and excipients composition can be different depending on the country and manufacturers

Aktil Węgry
Amoclan Arabia Saudyjska
Amoklavin Turcja
Amoksiklav Polska
Amoxclav Arabia Saudyjska
Amplamox Brazylia
Augmentin Arabia Saudyjska, Austria, Belgia, Chile, Ekwador, Francja , Grecja, Hiszpania, Holandia, Polska, Szwajcaria, Turcja, Wielka Brytania, Włochy, Zjednoczone Emiraty Arabskie
Betamox Portugalia
Clavamox Austria
Clavicin Malezja, Wenezuela
Clavulin Brazylia
Co-amoxi Szwajcaria
Co-Amoxicillin Szwajcaria
Curam Arabia Saudyjska, nowa Zelandia
Darzitil Argentyna
Dibional Argentyna
Julmentin Zjednoczone Emiraty Arabskie
Novamox Brazylia
Sulbamox Chile
Tarometin Polska
Trifamox Argentyna, Ekwador, KolumbiaKolumbia, Meksyk
Zgodność   Injekcje   Zgodność : Amoxicillin sodium / clavulanic acid              
Ekran ten wskazuje na kompatybilności lub niezgodności z, w tym przypadku, rodzajem niezgodności (strącanie, zmiana koloru, modyfikacja emulsji, itp.). Przedstawione tutaj kompatybilności są głównie fizyczne, a stabilność chemiczna każdej cząsteczki jest rzadko oceniana. Ocenę tych mieszanin badano w celu rozważenia możliwości podania pacjentowi w miejscu Y. Dane te nie mogą być wykorzystywane do sporządzania mieszanin z wyprzedzeniem w workach lub strzykawkach. Tego typu informacje są dostępne na ekranie „Stabilność w mieszaninie”.
Związek Rozpuszczalnik Bibliografia
Niestabilność chemiczna Niekompatybilny
Injekcje Amoxicillin sodium / clavulanic acid
Injekcje Amikacin sulfate
3549
Nieokreślona niezgodność Niekompatybilny
Injekcje Amoxicillin sodium / clavulanic acid
Żywienie pozajelitowe (lipidami) 3545
Natychmiastowe opady Niekompatybilny
Injekcje Amoxicillin sodium / clavulanic acid 100/10 mg/ml
Injekcje Aciclovir sodium 50 mg/ml
3824
Zgodny
Injekcje Amoxicillin sodium / clavulanic acid
Chlorek sodu 0,9% 3545
Nieokreślona niezgodność Niekompatybilny
Injekcje Amoxicillin sodium / clavulanic acid
Glukoza 5% 3545
Zgodny
Injekcje Amoxicillin sodium / clavulanic acid 100/10 mg/ml
Injekcje Amikacin sulfate 250 mg/ml
3824
Nieokreślona niezgodność Niekompatybilny
Injekcje Amoxicillin sodium / clavulanic acid
Injekcje Amikacin sulfate
3545
Fargeendring etter 1 time Niekompatybilny
Injekcje Amoxicillin sodium / clavulanic acid 50/10 mg/ml
Żywienie pozajelitowe (lipidami) 3948
Zgodny
Injekcje Amoxicillin sodium / clavulanic acid 100/10 mg/ml
Injekcje Aminophylline 25 mg/ml
3824
Natychmiastowe opady Niekompatybilny
Injekcje Amoxicillin sodium / clavulanic acid 10 mg/ml
Injekcje Amiodarone hydrochloride 12.5 mg/ml
2139
Zmiana koloru Niekompatybilny
Injekcje Amoxicillin sodium / clavulanic acid 100/10 mg/ml
Injekcje Amiodarone hydrochloride 50 mg/ml
3824
Zgodny
Injekcje Amoxicillin sodium / clavulanic acid 100/10 mg/ml
Injekcje Amphotericin B liposomale 2 mg/ml
3824
Zgodny
Injekcje Amoxicillin sodium / clavulanic acid 100/10 mg/ml
Injekcje Ampicillin sodium 100 mg/ml
3824
Zgodny
Injekcje Amoxicillin sodium / clavulanic acid 100/10 mg/ml
Injekcje Atropine sulfate 0,4 mg/ml
3824
Zgodny
Injekcje Amoxicillin sodium / clavulanic acid 100/10 mg/ml
Injekcje Azithromycine 100 mg/ml
3824
Zgodny
Injekcje Amoxicillin sodium / clavulanic acid 100/10 mg/ml
Injekcje Calcium chloride 100 mg/ml
3824
Zgodny
Injekcje Amoxicillin sodium / clavulanic acid 100/10 mg/ml
Injekcje Calcium gluconate 100 mg/ml
3824
Zgodny
Injekcje Amoxicillin sodium / clavulanic acid 100/10 mg/ml
Injekcje Cefazolin sodium 100 mg/ml
3824
Zgodny
Injekcje Amoxicillin sodium / clavulanic acid 100/10 mg/ml
Injekcje Cefotaxime sodium 100 mg/ml
3824
Zgodny
Injekcje Amoxicillin sodium / clavulanic acid 100/10 mg/ml
Injekcje Cefoxitin sodium 100 mg/ml
3824
Zgodny
Injekcje Amoxicillin sodium / clavulanic acid 100/10 mg/ml
Injekcje Ceftazidime 100 mg/ml
3824
Zgodny
Injekcje Amoxicillin sodium / clavulanic acid 100/10 mg/ml
Injekcje Ceftriaxone disodium 100 mg/ml
3824
Natychmiastowe zmętnienie Niekompatybilny
Injekcje Amoxicillin sodium / clavulanic acid 100/10 mg/ml
Injekcje Ciclosporin 50 mg/ml
3824
Natychmiastowe opady Niekompatybilny
Injekcje Amoxicillin sodium / clavulanic acid 12 mg/ml
Injekcje Ciprofloxacin lactate 2 mg/ml
Żaden 1357
Nieokreślona niezgodność Niekompatybilny
Injekcje Amoxicillin sodium / clavulanic acid
Injekcje Ciprofloxacin lactate
3529
Zgodny
Injekcje Amoxicillin sodium / clavulanic acid 100/10 mg/ml
Injekcje Ciprofloxacin lactate 2 mg/ml
3824
Zgodny
Injekcje Amoxicillin sodium / clavulanic acid 100/10 mg/ml
Injekcje Cloxacillin sodium 100 mg/ml
3824
Zgodny
Injekcje Amoxicillin sodium / clavulanic acid 100/10 mg/ml
Injekcje Co-trimoxazole 16/80 mg/ml
3824
Zgodny
Injekcje Amoxicillin sodium / clavulanic acid
Injekcje Daunorubicin/cytarabine liposomale 0,4 mg/mL
Chlorek sodu 0,9% 4654
Fargeendring etter 1 time Niekompatybilny
Injekcje Amoxicillin sodium / clavulanic acid 50/10 mg/ml
Odżywianie pozajelitowe (mieszanina binarny) 3948
Zmętnienie w ciągu godziny Niekompatybilny
Injekcje Amoxicillin sodium / clavulanic acid 100/10 mg/ml
Injekcje Clindamycin phosphate 150 mg/ml
3824
Nieokreślona niezgodność Niekompatybilny
Injekcje Amoxicillin sodium / clavulanic acid
Odżywianie pozajelitowe (mieszanina binarny) 3545
Zgodny
Injekcje Amoxicillin sodium / clavulanic acid 100/10 mg/ml
Injekcje Cefuroxime sodium 100 mg/ml
3824
Zgodny
Injekcje Amoxicillin sodium / clavulanic acid 100/10 mg/ml
Injekcje Dexamethasone sodium phosphate 4 mg/ml
3824
Nieokreślona niezgodność Niekompatybilny
Injekcje Amoxicillin sodium / clavulanic acid
Injekcje Dexamethasone sodium phosphate
3545
Zgodny
Injekcje Amoxicillin sodium / clavulanic acid 100/10 mg/ml
Injekcje Dexmedetomidine 100 µg/ml
3824
Zgodny
Injekcje Amoxicillin sodium / clavulanic acid 100/10 mg/ml
Injekcje Diazepam 5 mg/ml
3824
Zgodny
Injekcje Amoxicillin sodium / clavulanic acid 100/10 mg/ml
Injekcje Digoxin 250 µg/ml
3824
Zgodny
Injekcje Amoxicillin sodium / clavulanic acid 100/10 mg/ml
Injekcje Dimenhydrinate 10 mg/ml
3824
Zmiana koloru Niekompatybilny
Injekcje Amoxicillin sodium / clavulanic acid 100/10 mg/ml
Injekcje Diphenhydramine hydrochloride 50 mg/ml
3824
Natychmiastowe opady Niekompatybilny
Injekcje Amoxicillin sodium / clavulanic acid 100/10 mg/ml
Injekcje Dobutamine hydrochloride 12,5 mg/ml
3824
Zgodny
Injekcje Amoxicillin sodium / clavulanic acid 100/10 mg/ml
Injekcje Dopamine hydrochloride 3,2 mg/ml
3824
Zgodny
Injekcje Amoxicillin sodium / clavulanic acid 100/10 mg/ml
Injekcje Enalaprilate 1,25 mg/ml
3824
Zgodny
Injekcje Amoxicillin sodium / clavulanic acid 100/10 mg/ml
Injekcje Epinephrine hydrochloride 1000 µg/ml
3824
Zgodny
Injekcje Amoxicillin sodium / clavulanic acid 100/10 mg/ml
Injekcje Ertapenem 100 mg/ml
3824
Natychmiastowe opady Niekompatybilny
Injekcje Amoxicillin sodium / clavulanic acid 100/10 mg/ml
Injekcje Erythromycin lactobionate 50 mg/ml
3824
Nieokreślona niezgodność Niekompatybilny
Injekcje Amoxicillin sodium / clavulanic acid
Injekcje Erythromycin lactobionate
3674
Zgodny
Injekcje Amoxicillin sodium / clavulanic acid 100/10 mg/ml
Injekcje Esmolol hydrochloride 10 mg/ml
3824
Zgodny
Injekcje Amoxicillin sodium / clavulanic acid 100/10 mg/ml
Injekcje Famotidine 10 mg/ml
3824
Zgodny
Injekcje Amoxicillin sodium / clavulanic acid 100/10 mg/ml
Injekcje Fentanyl citrate 50 µg/ml
3824
Zgodny
Injekcje Amoxicillin sodium / clavulanic acid 100/10 mg/ml
Injekcje Fluconazole 2 mg/ml
3824
Zgodny
Injekcje Amoxicillin sodium / clavulanic acid 100/10 mg/ml
Injekcje Furosemide 10 mg/ml
3824
Nieokreślona niezgodność Niekompatybilny
Injekcje Amoxicillin sodium / clavulanic acid
Injekcje Gentamicin sulfate
3643
Nieokreślona niezgodność Niekompatybilny
Injekcje Amoxicillin sodium / clavulanic acid
Injekcje Gentamicin sulfate
3545
Nieokreślona niezgodność Niekompatybilny
Injekcje Amoxicillin sodium / clavulanic acid
Injekcje Gentamicin sulfate
3520
Zgodny
Injekcje Amoxicillin sodium / clavulanic acid 100/10 mg/ml
Injekcje Gentamicin sulfate 40 mg/ml
3824
Zgodny
Injekcje Amoxicillin sodium / clavulanic acid 100/10 mg/ml
Injekcje Granisetron hydrochloride 1 mg/ml
3824
Natychmiastowe opady Niekompatybilny
Injekcje Amoxicillin sodium / clavulanic acid 100/10 mg/ml
Injekcje Haloperidol lactate 5 mg/ml
3824
Zgodny
Injekcje Amoxicillin sodium / clavulanic acid 100/10 mg/ml
Injekcje Heparin sodium 1000 UI/ml
3824
Niekompatybilny
Injekcje Amoxicillin sodium / clavulanic acid 100/10 mg/ml
Injekcje Human albumin 250 mg/ml
3824
Nieokreślona niezgodność Niekompatybilny
Injekcje Amoxicillin sodium / clavulanic acid
Injekcje Hydrocortisone sodium succinate
3545
Zgodny
Injekcje Amoxicillin sodium / clavulanic acid 100/10 mg/ml
Injekcje Hydrocortisone sodium succinate 50 mg/ml
3824
Zgodny
Injekcje Amoxicillin sodium / clavulanic acid 100/10 mg/ml
Injekcje Hydromorphone hydrochloride 10 mg/ml
3824
Natychmiastowe opady Niekompatybilny
Injekcje Amoxicillin sodium / clavulanic acid 100/10 mg/ml
Injekcje Imipenem - cilastatin sodium 50 mg/ml
3824
Zgodny
Injekcje Amoxicillin sodium / clavulanic acid 100/10 mg/ml
Injekcje Insulin 100 UI/ml
3824
Nieokreślona niezgodność Niekompatybilny
Injekcje Amoxicillin sodium / clavulanic acid
Injekcje Kanamycin sulfate
3545
Natychmiastowe opady Niekompatybilny
Injekcje Amoxicillin sodium / clavulanic acid 100/10 mg/ml
Injekcje Ketamine hydrochloride 50 mg/ml
3824
Zgodny
Injekcje Amoxicillin sodium / clavulanic acid 100/10 mg/ml
Injekcje L-carnitine 200 mg/ml
3824
Zgodny
Injekcje Amoxicillin sodium / clavulanic acid 100/10 mg/ml
Injekcje Labetalol hydrochloride 5 mg/ml
3824
Zgodny
Injekcje Amoxicillin sodium / clavulanic acid 100/10 mg/ml
Injekcje Levofloxacine 5 mg/ml
3824
Zgodny
Injekcje Amoxicillin sodium / clavulanic acid 100/10 mg/ml
Injekcje Lidocaine hydrochloride 1 mg/ml
3824
Zgodny
Injekcje Amoxicillin sodium / clavulanic acid 100/10 mg/ml
Injekcje Linezolid 2 mg/ml
3824
Zgodny
Injekcje Amoxicillin sodium / clavulanic acid 100/10 mg/ml
Injekcje Lorazepam 4 mg/ml
3824
Zgodny
Injekcje Amoxicillin sodium / clavulanic acid 20/2 mg/ml
Injekcje Lorazepam 0.33 mg/ml
Chlorek sodu 0,9% 186
Zgodny
Injekcje Amoxicillin sodium / clavulanic acid 100/10 mg/ml
Injekcje Magnesium sulfate 500 mg/ml
3824
Nieokreślona niezgodność Niekompatybilny
Injekcje Amoxicillin sodium / clavulanic acid
Injekcje Mannitol
3545
Zgodny
Injekcje Amoxicillin sodium / clavulanic acid 100/10 mg/ml
Injekcje Mannitol 250 mg/ml
3824
Zgodny
Injekcje Amoxicillin sodium / clavulanic acid 100/10 mg/ml
Injekcje Meropenem 50 mg/ml
3824
Nieokreślona niezgodność Niekompatybilny
Injekcje Amoxicillin sodium / clavulanic acid
Injekcje Methylprednisolone acetate
3545
Nieokreślona niezgodność Niekompatybilny
Injekcje Amoxicillin sodium / clavulanic acid
Injekcje Methylprednisolone sodium succinate
3545
Niekompatybilny
Injekcje Amoxicillin sodium / clavulanic acid 100/10 mg/ml
Injekcje Methylprednisolone sodium succinate 125 mg/ml
3824
Zgodny
Injekcje Amoxicillin sodium / clavulanic acid 100/10 mg/ml
Injekcje Metoclopramide hydrochloride 5 mg/ml
3824
Zgodny
Injekcje Amoxicillin sodium / clavulanic acid 100/10 mg/ml
Injekcje Metronidazole 5 mg/ml
3824
Zgodny
Injekcje Amoxicillin sodium / clavulanic acid 100/10 mg/ml
Injekcje Micafungin 20 mg/ml
3824
Zmiana koloru Niekompatybilny
Injekcje Amoxicillin sodium / clavulanic acid 100/10 mg/ml
Injekcje Midazolam hydrochloride 5 mg/ml
3824
Natychmiastowe opady Niekompatybilny
Injekcje Amoxicillin sodium / clavulanic acid 20/2 mg/ml
Injekcje Midazolam hydrochloride 5 mg/ml
Żaden 186
Zgodny
Injekcje Amoxicillin sodium / clavulanic acid 100/10 mg/ml
Injekcje Milrinone lactate 1 mg/ml
3824
Zgodny
Injekcje Amoxicillin sodium / clavulanic acid 100/10 mg/ml
Injekcje Morphine sulfate 50 mg/ml
3824
Zgodny
Injekcje Amoxicillin sodium / clavulanic acid 100/10 mg/ml
Injekcje N-acetylcysteine 200 mg/ml
3824
Zgodny
Injekcje Amoxicillin sodium / clavulanic acid 100/10 mg/ml
Injekcje Naloxone hydrochloride 0,4 mg/ml
3824
Nieokreślona niezgodność Niekompatybilny
Injekcje Amoxicillin sodium / clavulanic acid
Injekcje Netilmicin sulfate
3545
Zmiana koloru Niekompatybilny
Injekcje Amoxicillin sodium / clavulanic acid 100/10 mg/ml
Injekcje Nicardipine hydrochloride 1 mg/ml
3824
Zmętnienie w ciągu godziny Niekompatybilny
Injekcje Amoxicillin sodium / clavulanic acid 100/10 mg/ml
Injekcje Nitroglycerin 5 mg/ml
3824
Zgodny
Injekcje Amoxicillin sodium / clavulanic acid 100/10 mg/ml
Injekcje Norepinephrine bitartrate 1 mg/ml
3824
Zgodny
Injekcje Amoxicillin sodium / clavulanic acid 100/10 mg/ml
Injekcje Octreotide acetate 0.5 mg/ml
3824
Zgodny
Injekcje Amoxicillin sodium / clavulanic acid 12 mg/ml
Injekcje Ofloxacin 2 mg/ml
Żaden 889
Natychmiastowe opady Niekompatybilny
Injekcje Amoxicillin sodium / clavulanic acid 100/10 mg/ml
Injekcje Ondansetron hydrochloride 2 mg/ml
3824
Zgodny
Injekcje Amoxicillin sodium / clavulanic acid 100/10 mg/ml
Injekcje Oxytocin 10 UI/ml
3824
Zgodny
Injekcje Amoxicillin sodium / clavulanic acid 100/10 mg/ml
Injekcje Pantoprazole sodium 4 mg/ml
3824
Zgodny
Injekcje Amoxicillin sodium / clavulanic acid 100/10 mg/ml
Injekcje Paracetamol 10 mg/ml
3824
Nieokreślona niezgodność Niekompatybilny
Injekcje Amoxicillin sodium / clavulanic acid
Injekcje Phenylephrine hydrochloride
3545
Zgodny
Injekcje Amoxicillin sodium / clavulanic acid 100/10 mg/ml
Injekcje Phenylephrine hydrochloride 0,01 mg/ml
3824
Natychmiastowe opady Niekompatybilny
Injekcje Amoxicillin sodium / clavulanic acid 100/10 mg/ml
Injekcje Phenytoin sodium 50 mg/ml
3824
Niestabilność chemiczna Niekompatybilny
Injekcje Amoxicillin sodium / clavulanic acid 10 mg/ml
Injekcje Phloroglucinol 2,5 mg/ml
3791
Zgodny
Injekcje Amoxicillin sodium / clavulanic acid 100/10 mg/ml
Injekcje Piperacillin sodium / tazobactam 100 mg/ml
3824
Zgodny
Injekcje Amoxicillin sodium / clavulanic acid 100/10 mg/ml
Injekcje Potassium chloride 2 mEq/l
3824
Zgodny
Injekcje Amoxicillin sodium / clavulanic acid 100/10 mg/ml
Injekcje Potassium phosphate 3 mmol/ml
3824
Zgodny
Injekcje Amoxicillin sodium / clavulanic acid 60 mg/ml
Injekcje Propofol
4524
Zgodny
Injekcje Amoxicillin sodium / clavulanic acid 100/10 mg/ml
Injekcje Rocuronium bromide 10 mg/ml
3824
Zgodny
Injekcje Amoxicillin sodium / clavulanic acid 100/10 mg/ml
Injekcje Salbutamol sulfate 1 mg/ml
3824
Zgodny
Injekcje Amoxicillin sodium / clavulanic acid 100/10 mg/ml
Injekcje Sodium bicarbonate 84 mg/ml
3824
Nieokreślona niezgodność Niekompatybilny
Injekcje Amoxicillin sodium / clavulanic acid
Injekcje Sodium bicarbonate
3545
Zgodny
Injekcje Amoxicillin sodium / clavulanic acid 100/10 mg/ml
Injekcje Sufentanil citrate 0,05 mg/ml
3824
Niestabilność chemiczna Niekompatybilny
Injekcje Amoxicillin sodium / clavulanic acid 20 mg/ml
Injekcje Temocilline 83.33 mg/ml
Woda do wstrzyknięć 2231
Nieokreślona niezgodność Niekompatybilny
Injekcje Amoxicillin sodium / clavulanic acid
Injekcje Temocilline
4470
Zgodny
Injekcje Amoxicillin sodium / clavulanic acid 100/10 mg/ml
Injekcje Thiamine hydrochloride 100 mg/ml
3824
Zgodny
Injekcje Amoxicillin sodium / clavulanic acid 100/10 mg/ml
Injekcje Tobramycin sulfate 40 mg/ml
3824
Nieokreślona niezgodność Niekompatybilny
Injekcje Amoxicillin sodium / clavulanic acid
Injekcje Tobramycin sulfate
3545
Zgodny
Injekcje Amoxicillin sodium / clavulanic acid 100/10 mg/ml
Injekcje Tranexamic acid 100 mg/ml
3824
Zgodny
Injekcje Amoxicillin sodium / clavulanic acid 100/10 mg/ml
Injekcje Vancomycin hydrochloride 50 mg/ml
3824
Natychmiastowe zmętnienie Niekompatybilny
Injekcje Amoxicillin sodium / clavulanic acid 100/10 mg/ml
Injekcje Verapamil hydrochloride 10 mg/ml
3824
Zgodny
Injekcje Amoxicillin sodium / clavulanic acid 100/10 mg/ml
Injekcje Voriconazole 10 mg/ml
3824
Zgodny
Injekcje Amoxicillin sodium / clavulanic acid 100/10 mg/ml
Injekcje Zidovudine 10 mg/ml
3824
Nieokreślona niezgodność Niekompatybilny
Injekcje Amoxicillin sodium / clavulanic acid
NaHCO3 3545

  Mentions Légales