Letztes “update” :
17/12/2025
Antibiotikum   Amoxicillin sodium / clavulanic acid  
Injektion
Lösung zum Einnehmen
Stabilität der Lösung Gemengestabilität Stabilitätbeeinflussende Faktoren Kompatibilitäten Applikationsart Literaturverzeichnis pdf
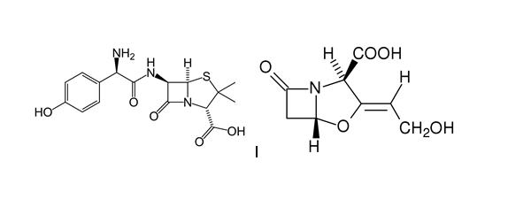
   Chemische Struktur  

Handelsmarke   Handelsmarke     

Handelsnamen sind als beispielhaft anzusehen. Sonstige Bestandteile können je nach Hersteller oder Land verschieden sein

Aktil Ungarn
Amoclan Saudi-Arabien
Amoklavin Türkei
Amoksiklav Polen
Amoxclav Saudi-Arabien
Amplamox Brasilien
Augmentin Belgien, Chile, Ecuador, Frankreich, Griechenland, Großbritannien, Italien, Niederlande, Österreich, Polen, Saudi-Arabien, Schweiz, Spanien, Türkei, Vereinigte Arabische Emirate
Betamox Portugal
Clavamox Österreich
Clavicin Malaysia, Venezuela
Clavulin Brasilien
Co-amoxi Schweiz
Co-Amoxicillin Schweiz
Curam Neuseeland, Saudi-Arabien
Darzitil Argentinien
Dibional Argentinien
Julmentin Vereinigte Arabische Emirate
Novamox Brasilien
Sulbamox Chile
Tarometin Polen
Trifamox Argentinien, Ecuador, Kolumbien, Mexiko
Kompatibilitäten   Injektion   Kompatibilitäten : Amoxicillin sodium / clavulanic acid              
Dieser Bildschirm zeigt die Kompatibilitäten oder Inkompatibilitäten mit der Art der Inkompatibilität (hier: Ausfällung, Farbänderung, Modifikation einer Emulsion usw.) an. Die hier gezeigten Kompatibilitäten sind meist nur physikalisch, wobei die chemische Stabilität jedes Moleküls selten bewertet wird. Die Bewertung dieser Gemische wurde untersucht, um die Möglichkeit einer Verabreichung über eine Y-Verbindung zu berücksichtigen. Diese Daten können daher nicht zur Herstellung von Mischungen im Voraus in Beuteln oder Spritzen verwendet werden. Sie finden diese Informationen auf dem Bildschirm "Stabilität in Mischung».
Molekül Lösungsmittel Literaturverzeichnis
Chemische Instabilität nicht kompatibel
Injektion Amoxicillin sodium / clavulanic acid
Injektion Amikacin sulfate
3549
Nicht spezifizierte Inkompatibilität nicht kompatibel
Injektion Amoxicillin sodium / clavulanic acid
Parenterale Ernährung (mit Lipiden) 3545
Sofortiger Niederschlag nicht kompatibel
Injektion Amoxicillin sodium / clavulanic acid 100/10 mg/ml
Injektion Aciclovir sodium 50 mg/ml
3824
kompatibel
Injektion Amoxicillin sodium / clavulanic acid
0,9% Natriumchlorid 3545
Nicht spezifizierte Inkompatibilität nicht kompatibel
Injektion Amoxicillin sodium / clavulanic acid
5% Glucose 3545
kompatibel
Injektion Amoxicillin sodium / clavulanic acid 100/10 mg/ml
Injektion Amikacin sulfate 250 mg/ml
3824
Nicht spezifizierte Inkompatibilität nicht kompatibel
Injektion Amoxicillin sodium / clavulanic acid
Injektion Amikacin sulfate
3545
Farbwechsel nach 1 Stunde nicht kompatibel
Injektion Amoxicillin sodium / clavulanic acid 50/10 mg/ml
Parenterale Ernährung (mit Lipiden) 3948
kompatibel
Injektion Amoxicillin sodium / clavulanic acid 100/10 mg/ml
Injektion Aminophylline 25 mg/ml
3824
Sofortiger Niederschlag nicht kompatibel
Injektion Amoxicillin sodium / clavulanic acid 10 mg/ml
Injektion Amiodarone hydrochloride 12.5 mg/ml
2139
Farbwechsel nicht kompatibel
Injektion Amoxicillin sodium / clavulanic acid 100/10 mg/ml
Injektion Amiodarone hydrochloride 50 mg/ml
3824
kompatibel
Injektion Amoxicillin sodium / clavulanic acid 100/10 mg/ml
Injektion Amphotericin B liposomale 2 mg/ml
3824
kompatibel
Injektion Amoxicillin sodium / clavulanic acid 100/10 mg/ml
Injektion Ampicillin sodium 100 mg/ml
3824
kompatibel
Injektion Amoxicillin sodium / clavulanic acid 100/10 mg/ml
Injektion Atropine sulfate 0,4 mg/ml
3824
kompatibel
Injektion Amoxicillin sodium / clavulanic acid 100/10 mg/ml
Injektion Azithromycine 100 mg/ml
3824
kompatibel
Injektion Amoxicillin sodium / clavulanic acid 100/10 mg/ml
Injektion Calcium chloride 100 mg/ml
3824
kompatibel
Injektion Amoxicillin sodium / clavulanic acid 100/10 mg/ml
Injektion Calcium gluconate 100 mg/ml
3824
kompatibel
Injektion Amoxicillin sodium / clavulanic acid 100/10 mg/ml
Injektion Cefazolin sodium 100 mg/ml
3824
kompatibel
Injektion Amoxicillin sodium / clavulanic acid 100/10 mg/ml
Injektion Cefotaxime sodium 100 mg/ml
3824
kompatibel
Injektion Amoxicillin sodium / clavulanic acid 100/10 mg/ml
Injektion Cefoxitin sodium 100 mg/ml
3824
kompatibel
Injektion Amoxicillin sodium / clavulanic acid 100/10 mg/ml
Injektion Ceftazidime 100 mg/ml
3824
kompatibel
Injektion Amoxicillin sodium / clavulanic acid 100/10 mg/ml
Injektion Ceftriaxone disodium 100 mg/ml
3824
Sofortige Trübung nicht kompatibel
Injektion Amoxicillin sodium / clavulanic acid 100/10 mg/ml
Injektion Ciclosporin 50 mg/ml
3824
Sofortiger Niederschlag nicht kompatibel
Injektion Amoxicillin sodium / clavulanic acid 12 mg/ml
Injektion Ciprofloxacin lactate 2 mg/ml
Kein 1357
Nicht spezifizierte Inkompatibilität nicht kompatibel
Injektion Amoxicillin sodium / clavulanic acid
Injektion Ciprofloxacin lactate
3529
kompatibel
Injektion Amoxicillin sodium / clavulanic acid 100/10 mg/ml
Injektion Ciprofloxacin lactate 2 mg/ml
3824
kompatibel
Injektion Amoxicillin sodium / clavulanic acid 100/10 mg/ml
Injektion Cloxacillin sodium 100 mg/ml
3824
kompatibel
Injektion Amoxicillin sodium / clavulanic acid 100/10 mg/ml
Injektion Co-trimoxazole 16/80 mg/ml
3824
kompatibel
Injektion Amoxicillin sodium / clavulanic acid
Injektion Daunorubicin/cytarabine liposomale 0,4 mg/mL
0,9% Natriumchlorid 4654
Farbwechsel nach 1 Stunde nicht kompatibel
Injektion Amoxicillin sodium / clavulanic acid 50/10 mg/ml
Parenterale Ernährung (Lipid-frei) 3948
Trübung in einer Stunde nicht kompatibel
Injektion Amoxicillin sodium / clavulanic acid 100/10 mg/ml
Injektion Clindamycin phosphate 150 mg/ml
3824
Nicht spezifizierte Inkompatibilität nicht kompatibel
Injektion Amoxicillin sodium / clavulanic acid
Parenterale Ernährung (Lipid-frei) 3545
kompatibel
Injektion Amoxicillin sodium / clavulanic acid 100/10 mg/ml
Injektion Cefuroxime sodium 100 mg/ml
3824
kompatibel
Injektion Amoxicillin sodium / clavulanic acid 100/10 mg/ml
Injektion Dexamethasone sodium phosphate 4 mg/ml
3824
Nicht spezifizierte Inkompatibilität nicht kompatibel
Injektion Amoxicillin sodium / clavulanic acid
Injektion Dexamethasone sodium phosphate
3545
kompatibel
Injektion Amoxicillin sodium / clavulanic acid 100/10 mg/ml
Injektion Dexmedetomidine 100 µg/ml
3824
kompatibel
Injektion Amoxicillin sodium / clavulanic acid 100/10 mg/ml
Injektion Diazepam 5 mg/ml
3824
kompatibel
Injektion Amoxicillin sodium / clavulanic acid 100/10 mg/ml
Injektion Digoxin 250 µg/ml
3824
kompatibel
Injektion Amoxicillin sodium / clavulanic acid 100/10 mg/ml
Injektion Dimenhydrinate 10 mg/ml
3824
Farbwechsel nicht kompatibel
Injektion Amoxicillin sodium / clavulanic acid 100/10 mg/ml
Injektion Diphenhydramine hydrochloride 50 mg/ml
3824
Sofortiger Niederschlag nicht kompatibel
Injektion Amoxicillin sodium / clavulanic acid 100/10 mg/ml
Injektion Dobutamine hydrochloride 12,5 mg/ml
3824
kompatibel
Injektion Amoxicillin sodium / clavulanic acid 100/10 mg/ml
Injektion Dopamine hydrochloride 3,2 mg/ml
3824
kompatibel
Injektion Amoxicillin sodium / clavulanic acid 100/10 mg/ml
Injektion Enalaprilate 1,25 mg/ml
3824
kompatibel
Injektion Amoxicillin sodium / clavulanic acid 100/10 mg/ml
Injektion Epinephrine hydrochloride 1000 µg/ml
3824
kompatibel
Injektion Amoxicillin sodium / clavulanic acid 100/10 mg/ml
Injektion Ertapenem 100 mg/ml
3824
Sofortiger Niederschlag nicht kompatibel
Injektion Amoxicillin sodium / clavulanic acid 100/10 mg/ml
Injektion Erythromycin lactobionate 50 mg/ml
3824
Nicht spezifizierte Inkompatibilität nicht kompatibel
Injektion Amoxicillin sodium / clavulanic acid
Injektion Erythromycin lactobionate
3674
kompatibel
Injektion Amoxicillin sodium / clavulanic acid 100/10 mg/ml
Injektion Esmolol hydrochloride 10 mg/ml
3824
kompatibel
Injektion Amoxicillin sodium / clavulanic acid 100/10 mg/ml
Injektion Famotidine 10 mg/ml
3824
kompatibel
Injektion Amoxicillin sodium / clavulanic acid 100/10 mg/ml
Injektion Fentanyl citrate 50 µg/ml
3824
kompatibel
Injektion Amoxicillin sodium / clavulanic acid 100/10 mg/ml
Injektion Fluconazole 2 mg/ml
3824
kompatibel
Injektion Amoxicillin sodium / clavulanic acid 100/10 mg/ml
Injektion Furosemide 10 mg/ml
3824
Nicht spezifizierte Inkompatibilität nicht kompatibel
Injektion Amoxicillin sodium / clavulanic acid
Injektion Gentamicin sulfate
3643
Nicht spezifizierte Inkompatibilität nicht kompatibel
Injektion Amoxicillin sodium / clavulanic acid
Injektion Gentamicin sulfate
3545
Nicht spezifizierte Inkompatibilität nicht kompatibel
Injektion Amoxicillin sodium / clavulanic acid
Injektion Gentamicin sulfate
3520
kompatibel
Injektion Amoxicillin sodium / clavulanic acid 100/10 mg/ml
Injektion Gentamicin sulfate 40 mg/ml
3824
kompatibel
Injektion Amoxicillin sodium / clavulanic acid 100/10 mg/ml
Injektion Granisetron hydrochloride 1 mg/ml
3824
Sofortiger Niederschlag nicht kompatibel
Injektion Amoxicillin sodium / clavulanic acid 100/10 mg/ml
Injektion Haloperidol lactate 5 mg/ml
3824
kompatibel
Injektion Amoxicillin sodium / clavulanic acid 100/10 mg/ml
Injektion Heparin sodium 1000 UI/ml
3824
nicht kompatibel
Injektion Amoxicillin sodium / clavulanic acid 100/10 mg/ml
Injektion Human albumin 250 mg/ml
3824
Nicht spezifizierte Inkompatibilität nicht kompatibel
Injektion Amoxicillin sodium / clavulanic acid
Injektion Hydrocortisone sodium succinate
3545
kompatibel
Injektion Amoxicillin sodium / clavulanic acid 100/10 mg/ml
Injektion Hydrocortisone sodium succinate 50 mg/ml
3824
kompatibel
Injektion Amoxicillin sodium / clavulanic acid 100/10 mg/ml
Injektion Hydromorphone hydrochloride 10 mg/ml
3824
Sofortiger Niederschlag nicht kompatibel
Injektion Amoxicillin sodium / clavulanic acid 100/10 mg/ml
Injektion Imipenem - cilastatin sodium 50 mg/ml
3824
kompatibel
Injektion Amoxicillin sodium / clavulanic acid 100/10 mg/ml
Injektion Insulin 100 UI/ml
3824
Nicht spezifizierte Inkompatibilität nicht kompatibel
Injektion Amoxicillin sodium / clavulanic acid
Injektion Kanamycin sulfate
3545
Sofortiger Niederschlag nicht kompatibel
Injektion Amoxicillin sodium / clavulanic acid 100/10 mg/ml
Injektion Ketamine hydrochloride 50 mg/ml
3824
kompatibel
Injektion Amoxicillin sodium / clavulanic acid 100/10 mg/ml
Injektion L-carnitine 200 mg/ml
3824
kompatibel
Injektion Amoxicillin sodium / clavulanic acid 100/10 mg/ml
Injektion Labetalol hydrochloride 5 mg/ml
3824
kompatibel
Injektion Amoxicillin sodium / clavulanic acid 100/10 mg/ml
Injektion Levofloxacine 5 mg/ml
3824
kompatibel
Injektion Amoxicillin sodium / clavulanic acid 100/10 mg/ml
Injektion Lidocaine hydrochloride 1 mg/ml
3824
kompatibel
Injektion Amoxicillin sodium / clavulanic acid 100/10 mg/ml
Injektion Linezolid 2 mg/ml
3824
kompatibel
Injektion Amoxicillin sodium / clavulanic acid 100/10 mg/ml
Injektion Lorazepam 4 mg/ml
3824
kompatibel
Injektion Amoxicillin sodium / clavulanic acid 20/2 mg/ml
Injektion Lorazepam 0.33 mg/ml
0,9% Natriumchlorid 186
kompatibel
Injektion Amoxicillin sodium / clavulanic acid 100/10 mg/ml
Injektion Magnesium sulfate 500 mg/ml
3824
Nicht spezifizierte Inkompatibilität nicht kompatibel
Injektion Amoxicillin sodium / clavulanic acid
Injektion Mannitol
3545
kompatibel
Injektion Amoxicillin sodium / clavulanic acid 100/10 mg/ml
Injektion Mannitol 250 mg/ml
3824
kompatibel
Injektion Amoxicillin sodium / clavulanic acid 100/10 mg/ml
Injektion Meropenem 50 mg/ml
3824
Nicht spezifizierte Inkompatibilität nicht kompatibel
Injektion Amoxicillin sodium / clavulanic acid
Injektion Methylprednisolone acetate
3545
Nicht spezifizierte Inkompatibilität nicht kompatibel
Injektion Amoxicillin sodium / clavulanic acid
Injektion Methylprednisolone sodium succinate
3545
nicht kompatibel
Injektion Amoxicillin sodium / clavulanic acid 100/10 mg/ml
Injektion Methylprednisolone sodium succinate 125 mg/ml
3824
kompatibel
Injektion Amoxicillin sodium / clavulanic acid 100/10 mg/ml
Injektion Metoclopramide hydrochloride 5 mg/ml
3824
kompatibel
Injektion Amoxicillin sodium / clavulanic acid 100/10 mg/ml
Injektion Metronidazole 5 mg/ml
3824
kompatibel
Injektion Amoxicillin sodium / clavulanic acid 100/10 mg/ml
Injektion Micafungin 20 mg/ml
3824
Farbwechsel nicht kompatibel
Injektion Amoxicillin sodium / clavulanic acid 100/10 mg/ml
Injektion Midazolam hydrochloride 5 mg/ml
3824
Sofortiger Niederschlag nicht kompatibel
Injektion Amoxicillin sodium / clavulanic acid 20/2 mg/ml
Injektion Midazolam hydrochloride 5 mg/ml
Kein 186
kompatibel
Injektion Amoxicillin sodium / clavulanic acid 100/10 mg/ml
Injektion Milrinone lactate 1 mg/ml
3824
kompatibel
Injektion Amoxicillin sodium / clavulanic acid 100/10 mg/ml
Injektion Morphine sulfate 50 mg/ml
3824
kompatibel
Injektion Amoxicillin sodium / clavulanic acid 100/10 mg/ml
Injektion N-acetylcysteine 200 mg/ml
3824
kompatibel
Injektion Amoxicillin sodium / clavulanic acid 100/10 mg/ml
Injektion Naloxone hydrochloride 0,4 mg/ml
3824
Nicht spezifizierte Inkompatibilität nicht kompatibel
Injektion Amoxicillin sodium / clavulanic acid
Injektion Netilmicin sulfate
3545
Farbwechsel nicht kompatibel
Injektion Amoxicillin sodium / clavulanic acid 100/10 mg/ml
Injektion Nicardipine hydrochloride 1 mg/ml
3824
Trübung in einer Stunde nicht kompatibel
Injektion Amoxicillin sodium / clavulanic acid 100/10 mg/ml
Injektion Nitroglycerin 5 mg/ml
3824
kompatibel
Injektion Amoxicillin sodium / clavulanic acid 100/10 mg/ml
Injektion Norepinephrine bitartrate 1 mg/ml
3824
kompatibel
Injektion Amoxicillin sodium / clavulanic acid 100/10 mg/ml
Injektion Octreotide acetate 0.5 mg/ml
3824
kompatibel
Injektion Amoxicillin sodium / clavulanic acid 12 mg/ml
Injektion Ofloxacin 2 mg/ml
Kein 889
Sofortiger Niederschlag nicht kompatibel
Injektion Amoxicillin sodium / clavulanic acid 100/10 mg/ml
Injektion Ondansetron hydrochloride 2 mg/ml
3824
kompatibel
Injektion Amoxicillin sodium / clavulanic acid 100/10 mg/ml
Injektion Oxytocin 10 UI/ml
3824
kompatibel
Injektion Amoxicillin sodium / clavulanic acid 100/10 mg/ml
Injektion Pantoprazole sodium 4 mg/ml
3824
kompatibel
Injektion Amoxicillin sodium / clavulanic acid 100/10 mg/ml
Injektion Paracetamol 10 mg/ml
3824
Nicht spezifizierte Inkompatibilität nicht kompatibel
Injektion Amoxicillin sodium / clavulanic acid
Injektion Phenylephrine hydrochloride
3545
kompatibel
Injektion Amoxicillin sodium / clavulanic acid 100/10 mg/ml
Injektion Phenylephrine hydrochloride 0,01 mg/ml
3824
Sofortiger Niederschlag nicht kompatibel
Injektion Amoxicillin sodium / clavulanic acid 100/10 mg/ml
Injektion Phenytoin sodium 50 mg/ml
3824
Chemische Instabilität nicht kompatibel
Injektion Amoxicillin sodium / clavulanic acid 10 mg/ml
Injektion Phloroglucinol 2,5 mg/ml
3791
kompatibel
Injektion Amoxicillin sodium / clavulanic acid 100/10 mg/ml
Injektion Piperacillin sodium / tazobactam 100 mg/ml
3824
kompatibel
Injektion Amoxicillin sodium / clavulanic acid 100/10 mg/ml
Injektion Potassium chloride 2 mEq/l
3824
kompatibel
Injektion Amoxicillin sodium / clavulanic acid 100/10 mg/ml
Injektion Potassium phosphate 3 mmol/ml
3824
kompatibel
Injektion Amoxicillin sodium / clavulanic acid 60 mg/ml
Injektion Propofol
4524
kompatibel
Injektion Amoxicillin sodium / clavulanic acid 100/10 mg/ml
Injektion Rocuronium bromide 10 mg/ml
3824
kompatibel
Injektion Amoxicillin sodium / clavulanic acid 100/10 mg/ml
Injektion Salbutamol sulfate 1 mg/ml
3824
kompatibel
Injektion Amoxicillin sodium / clavulanic acid 100/10 mg/ml
Injektion Sodium bicarbonate 84 mg/ml
3824
Nicht spezifizierte Inkompatibilität nicht kompatibel
Injektion Amoxicillin sodium / clavulanic acid
Injektion Sodium bicarbonate
3545
kompatibel
Injektion Amoxicillin sodium / clavulanic acid 100/10 mg/ml
Injektion Sufentanil citrate 0,05 mg/ml
3824
Chemische Instabilität nicht kompatibel
Injektion Amoxicillin sodium / clavulanic acid 20 mg/ml
Injektion Temocilline 83.33 mg/ml
Wasser für injektable präparate 2231
Nicht spezifizierte Inkompatibilität nicht kompatibel
Injektion Amoxicillin sodium / clavulanic acid
Injektion Temocilline
4470
kompatibel
Injektion Amoxicillin sodium / clavulanic acid 100/10 mg/ml
Injektion Thiamine hydrochloride 100 mg/ml
3824
kompatibel
Injektion Amoxicillin sodium / clavulanic acid 100/10 mg/ml
Injektion Tobramycin sulfate 40 mg/ml
3824
Nicht spezifizierte Inkompatibilität nicht kompatibel
Injektion Amoxicillin sodium / clavulanic acid
Injektion Tobramycin sulfate
3545
kompatibel
Injektion Amoxicillin sodium / clavulanic acid 100/10 mg/ml
Injektion Tranexamic acid 100 mg/ml
3824
kompatibel
Injektion Amoxicillin sodium / clavulanic acid 100/10 mg/ml
Injektion Vancomycin hydrochloride 50 mg/ml
3824
Sofortige Trübung nicht kompatibel
Injektion Amoxicillin sodium / clavulanic acid 100/10 mg/ml
Injektion Verapamil hydrochloride 10 mg/ml
3824
kompatibel
Injektion Amoxicillin sodium / clavulanic acid 100/10 mg/ml
Injektion Voriconazole 10 mg/ml
3824
kompatibel
Injektion Amoxicillin sodium / clavulanic acid 100/10 mg/ml
Injektion Zidovudine 10 mg/ml
3824
Nicht spezifizierte Inkompatibilität nicht kompatibel
Injektion Amoxicillin sodium / clavulanic acid
NaHCO3 3545

  Mentions Légales