Laatste update :
17/12/2025
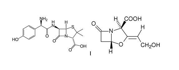
Antibioticum   Amoxicillin sodium / clavulanic acid  
injecteerbaar geneesmiddel
Orale Oplossing
Stabiliteit in oplossing Stabiliteit in mengsels Factoren die de stabiliteit beïnvloeden Verenigbaarheden Toedieningswijze Literatuur pdf
   Molecuulstructuur  

Merknamen in verschillende landen   Merknamen in verschillende landen     

Handelsnamen zijn slechts een indicatie; de samenstelling van hulpstoffen kan per land variëren afhankelijk van de fabrikant

Aktil Hongarije
Amoclan Saudi-Arabië
Amoklavin Turkije
Amoksiklav Polen
Amoxclav Saudi-Arabië
Amplamox Brazilië
Augmentin België, Chili, Ecuador, Frankrijk, Griekenland, Groot Britannië, Italië, Nederland, Oostenrijk, Polen, Saudi-Arabië, Spanje, Turkije, Verenigde Arabische Emiraten, Zwitserland
Betamox Portugal
Clavamox Oostenrijk
Clavicin Maleisië, Venezuela
Clavulin Brazilië
Co-amoxi Zwitserland
Co-Amoxicillin Zwitserland
Curam nieuw Zeeland, Saudi-Arabië
Darzitil Argentinië
Dibional Argentinië
Julmentin Verenigde Arabische Emiraten
Novamox Brazilië
Sulbamox Chili
Tarometin Polen
Trifamox Argentinië, Colombia, Ecuador, Mexico
Verenigbaarheden   injecteerbaar geneesmiddel   Verenigbaarheden : Amoxicillin sodium / clavulanic acid              
In dit scherm worden de verenigbaarheden en onverenigbaarheden weergegeven. In het geval van een onverenigbaarheid wordt ook het type (neerslag, kleurverandering, modificatie van een emulsie, etc) weergegeven. De weergegeven verenigbaarheden zijn meestal alleen op uiterlijk beoordeeld, er heeft zelden een chemische beoordeling van iedere component plaatsgevonden. De verenigbaarheden betreffen gelijktijdige toediening aan de patient middels de Y-site. De data kan niet gebruikt worden in de beoordeling van verenigbaarheden van componenten in infuuszakken of spuiten. Die informatie is te vinden onder ‘stabiliteit in mengsels’.
Stof Oplosmiddel Literatuur
Chemische instabiliteit Onverenigbaar
injecteerbaar geneesmiddel Amoxicillin sodium / clavulanic acid
injecteerbaar geneesmiddel Amikacin sulfate
3549
Niet-gespecificeerde incompatibiliteit Onverenigbaar
injecteerbaar geneesmiddel Amoxicillin sodium / clavulanic acid
Parenterale voeding (met lipiden) 3545
Onmiddellijke neerslag Onverenigbaar
injecteerbaar geneesmiddel Amoxicillin sodium / clavulanic acid 100/10 mg/ml
injecteerbaar geneesmiddel Aciclovir sodium 50 mg/ml
3824
Verenigbaar
injecteerbaar geneesmiddel Amoxicillin sodium / clavulanic acid
Natriumchloride 0,9% 3545
Niet-gespecificeerde incompatibiliteit Onverenigbaar
injecteerbaar geneesmiddel Amoxicillin sodium / clavulanic acid
Glucose 5% 3545
Verenigbaar
injecteerbaar geneesmiddel Amoxicillin sodium / clavulanic acid 100/10 mg/ml
injecteerbaar geneesmiddel Amikacin sulfate 250 mg/ml
3824
Niet-gespecificeerde incompatibiliteit Onverenigbaar
injecteerbaar geneesmiddel Amoxicillin sodium / clavulanic acid
injecteerbaar geneesmiddel Amikacin sulfate
3545
Kleurverandering na 1 uur Onverenigbaar
injecteerbaar geneesmiddel Amoxicillin sodium / clavulanic acid 50/10 mg/ml
Parenterale voeding (met lipiden) 3948
Verenigbaar
injecteerbaar geneesmiddel Amoxicillin sodium / clavulanic acid 100/10 mg/ml
injecteerbaar geneesmiddel Aminophylline 25 mg/ml
3824
Onmiddellijke neerslag Onverenigbaar
injecteerbaar geneesmiddel Amoxicillin sodium / clavulanic acid 10 mg/ml
injecteerbaar geneesmiddel Amiodarone hydrochloride 12.5 mg/ml
2139
Kleur verandering Onverenigbaar
injecteerbaar geneesmiddel Amoxicillin sodium / clavulanic acid 100/10 mg/ml
injecteerbaar geneesmiddel Amiodarone hydrochloride 50 mg/ml
3824
Verenigbaar
injecteerbaar geneesmiddel Amoxicillin sodium / clavulanic acid 100/10 mg/ml
injecteerbaar geneesmiddel Amphotericin B liposomale 2 mg/ml
3824
Verenigbaar
injecteerbaar geneesmiddel Amoxicillin sodium / clavulanic acid 100/10 mg/ml
injecteerbaar geneesmiddel Ampicillin sodium 100 mg/ml
3824
Verenigbaar
injecteerbaar geneesmiddel Amoxicillin sodium / clavulanic acid 100/10 mg/ml
injecteerbaar geneesmiddel Atropine sulfate 0,4 mg/ml
3824
Verenigbaar
injecteerbaar geneesmiddel Amoxicillin sodium / clavulanic acid 100/10 mg/ml
injecteerbaar geneesmiddel Azithromycine 100 mg/ml
3824
Verenigbaar
injecteerbaar geneesmiddel Amoxicillin sodium / clavulanic acid 100/10 mg/ml
injecteerbaar geneesmiddel Calcium chloride 100 mg/ml
3824
Verenigbaar
injecteerbaar geneesmiddel Amoxicillin sodium / clavulanic acid 100/10 mg/ml
injecteerbaar geneesmiddel Calcium gluconate 100 mg/ml
3824
Verenigbaar
injecteerbaar geneesmiddel Amoxicillin sodium / clavulanic acid 100/10 mg/ml
injecteerbaar geneesmiddel Cefazolin sodium 100 mg/ml
3824
Verenigbaar
injecteerbaar geneesmiddel Amoxicillin sodium / clavulanic acid 100/10 mg/ml
injecteerbaar geneesmiddel Cefotaxime sodium 100 mg/ml
3824
Verenigbaar
injecteerbaar geneesmiddel Amoxicillin sodium / clavulanic acid 100/10 mg/ml
injecteerbaar geneesmiddel Cefoxitin sodium 100 mg/ml
3824
Verenigbaar
injecteerbaar geneesmiddel Amoxicillin sodium / clavulanic acid 100/10 mg/ml
injecteerbaar geneesmiddel Ceftazidime 100 mg/ml
3824
Verenigbaar
injecteerbaar geneesmiddel Amoxicillin sodium / clavulanic acid 100/10 mg/ml
injecteerbaar geneesmiddel Ceftriaxone disodium 100 mg/ml
3824
Onmiddellijke troebelheid Onverenigbaar
injecteerbaar geneesmiddel Amoxicillin sodium / clavulanic acid 100/10 mg/ml
injecteerbaar geneesmiddel Ciclosporin 50 mg/ml
3824
Onmiddellijke neerslag Onverenigbaar
injecteerbaar geneesmiddel Amoxicillin sodium / clavulanic acid 12 mg/ml
injecteerbaar geneesmiddel Ciprofloxacin lactate 2 mg/ml
Geen 1357
Niet-gespecificeerde incompatibiliteit Onverenigbaar
injecteerbaar geneesmiddel Amoxicillin sodium / clavulanic acid
injecteerbaar geneesmiddel Ciprofloxacin lactate
3529
Verenigbaar
injecteerbaar geneesmiddel Amoxicillin sodium / clavulanic acid 100/10 mg/ml
injecteerbaar geneesmiddel Ciprofloxacin lactate 2 mg/ml
3824
Verenigbaar
injecteerbaar geneesmiddel Amoxicillin sodium / clavulanic acid 100/10 mg/ml
injecteerbaar geneesmiddel Cloxacillin sodium 100 mg/ml
3824
Verenigbaar
injecteerbaar geneesmiddel Amoxicillin sodium / clavulanic acid 100/10 mg/ml
injecteerbaar geneesmiddel Co-trimoxazole 16/80 mg/ml
3824
Verenigbaar
injecteerbaar geneesmiddel Amoxicillin sodium / clavulanic acid
injecteerbaar geneesmiddel Daunorubicin/cytarabine liposomale 0,4 mg/mL
Natriumchloride 0,9% 4654
Kleurverandering na 1 uur Onverenigbaar
injecteerbaar geneesmiddel Amoxicillin sodium / clavulanic acid 50/10 mg/ml
Parenterale voeding (zonder vet) 3948
Troebelheid in een uur Onverenigbaar
injecteerbaar geneesmiddel Amoxicillin sodium / clavulanic acid 100/10 mg/ml
injecteerbaar geneesmiddel Clindamycin phosphate 150 mg/ml
3824
Niet-gespecificeerde incompatibiliteit Onverenigbaar
injecteerbaar geneesmiddel Amoxicillin sodium / clavulanic acid
Parenterale voeding (zonder vet) 3545
Verenigbaar
injecteerbaar geneesmiddel Amoxicillin sodium / clavulanic acid 100/10 mg/ml
injecteerbaar geneesmiddel Cefuroxime sodium 100 mg/ml
3824
Verenigbaar
injecteerbaar geneesmiddel Amoxicillin sodium / clavulanic acid 100/10 mg/ml
injecteerbaar geneesmiddel Dexamethasone sodium phosphate 4 mg/ml
3824
Niet-gespecificeerde incompatibiliteit Onverenigbaar
injecteerbaar geneesmiddel Amoxicillin sodium / clavulanic acid
injecteerbaar geneesmiddel Dexamethasone sodium phosphate
3545
Verenigbaar
injecteerbaar geneesmiddel Amoxicillin sodium / clavulanic acid 100/10 mg/ml
injecteerbaar geneesmiddel Dexmedetomidine 100 µg/ml
3824
Verenigbaar
injecteerbaar geneesmiddel Amoxicillin sodium / clavulanic acid 100/10 mg/ml
injecteerbaar geneesmiddel Diazepam 5 mg/ml
3824
Verenigbaar
injecteerbaar geneesmiddel Amoxicillin sodium / clavulanic acid 100/10 mg/ml
injecteerbaar geneesmiddel Digoxin 250 µg/ml
3824
Verenigbaar
injecteerbaar geneesmiddel Amoxicillin sodium / clavulanic acid 100/10 mg/ml
injecteerbaar geneesmiddel Dimenhydrinate 10 mg/ml
3824
Kleur verandering Onverenigbaar
injecteerbaar geneesmiddel Amoxicillin sodium / clavulanic acid 100/10 mg/ml
injecteerbaar geneesmiddel Diphenhydramine hydrochloride 50 mg/ml
3824
Onmiddellijke neerslag Onverenigbaar
injecteerbaar geneesmiddel Amoxicillin sodium / clavulanic acid 100/10 mg/ml
injecteerbaar geneesmiddel Dobutamine hydrochloride 12,5 mg/ml
3824
Verenigbaar
injecteerbaar geneesmiddel Amoxicillin sodium / clavulanic acid 100/10 mg/ml
injecteerbaar geneesmiddel Dopamine hydrochloride 3,2 mg/ml
3824
Verenigbaar
injecteerbaar geneesmiddel Amoxicillin sodium / clavulanic acid 100/10 mg/ml
injecteerbaar geneesmiddel Enalaprilate 1,25 mg/ml
3824
Verenigbaar
injecteerbaar geneesmiddel Amoxicillin sodium / clavulanic acid 100/10 mg/ml
injecteerbaar geneesmiddel Epinephrine hydrochloride 1000 µg/ml
3824
Verenigbaar
injecteerbaar geneesmiddel Amoxicillin sodium / clavulanic acid 100/10 mg/ml
injecteerbaar geneesmiddel Ertapenem 100 mg/ml
3824
Onmiddellijke neerslag Onverenigbaar
injecteerbaar geneesmiddel Amoxicillin sodium / clavulanic acid 100/10 mg/ml
injecteerbaar geneesmiddel Erythromycin lactobionate 50 mg/ml
3824
Niet-gespecificeerde incompatibiliteit Onverenigbaar
injecteerbaar geneesmiddel Amoxicillin sodium / clavulanic acid
injecteerbaar geneesmiddel Erythromycin lactobionate
3674
Verenigbaar
injecteerbaar geneesmiddel Amoxicillin sodium / clavulanic acid 100/10 mg/ml
injecteerbaar geneesmiddel Esmolol hydrochloride 10 mg/ml
3824
Verenigbaar
injecteerbaar geneesmiddel Amoxicillin sodium / clavulanic acid 100/10 mg/ml
injecteerbaar geneesmiddel Famotidine 10 mg/ml
3824
Verenigbaar
injecteerbaar geneesmiddel Amoxicillin sodium / clavulanic acid 100/10 mg/ml
injecteerbaar geneesmiddel Fentanyl citrate 50 µg/ml
3824
Verenigbaar
injecteerbaar geneesmiddel Amoxicillin sodium / clavulanic acid 100/10 mg/ml
injecteerbaar geneesmiddel Fluconazole 2 mg/ml
3824
Verenigbaar
injecteerbaar geneesmiddel Amoxicillin sodium / clavulanic acid 100/10 mg/ml
injecteerbaar geneesmiddel Furosemide 10 mg/ml
3824
Niet-gespecificeerde incompatibiliteit Onverenigbaar
injecteerbaar geneesmiddel Amoxicillin sodium / clavulanic acid
injecteerbaar geneesmiddel Gentamicin sulfate
3643
Niet-gespecificeerde incompatibiliteit Onverenigbaar
injecteerbaar geneesmiddel Amoxicillin sodium / clavulanic acid
injecteerbaar geneesmiddel Gentamicin sulfate
3545
Niet-gespecificeerde incompatibiliteit Onverenigbaar
injecteerbaar geneesmiddel Amoxicillin sodium / clavulanic acid
injecteerbaar geneesmiddel Gentamicin sulfate
3520
Verenigbaar
injecteerbaar geneesmiddel Amoxicillin sodium / clavulanic acid 100/10 mg/ml
injecteerbaar geneesmiddel Gentamicin sulfate 40 mg/ml
3824
Verenigbaar
injecteerbaar geneesmiddel Amoxicillin sodium / clavulanic acid 100/10 mg/ml
injecteerbaar geneesmiddel Granisetron hydrochloride 1 mg/ml
3824
Onmiddellijke neerslag Onverenigbaar
injecteerbaar geneesmiddel Amoxicillin sodium / clavulanic acid 100/10 mg/ml
injecteerbaar geneesmiddel Haloperidol lactate 5 mg/ml
3824
Verenigbaar
injecteerbaar geneesmiddel Amoxicillin sodium / clavulanic acid 100/10 mg/ml
injecteerbaar geneesmiddel Heparin sodium 1000 UI/ml
3824
Onverenigbaar
injecteerbaar geneesmiddel Amoxicillin sodium / clavulanic acid 100/10 mg/ml
injecteerbaar geneesmiddel Human albumin 250 mg/ml
3824
Niet-gespecificeerde incompatibiliteit Onverenigbaar
injecteerbaar geneesmiddel Amoxicillin sodium / clavulanic acid
injecteerbaar geneesmiddel Hydrocortisone sodium succinate
3545
Verenigbaar
injecteerbaar geneesmiddel Amoxicillin sodium / clavulanic acid 100/10 mg/ml
injecteerbaar geneesmiddel Hydrocortisone sodium succinate 50 mg/ml
3824
Verenigbaar
injecteerbaar geneesmiddel Amoxicillin sodium / clavulanic acid 100/10 mg/ml
injecteerbaar geneesmiddel Hydromorphone hydrochloride 10 mg/ml
3824
Onmiddellijke neerslag Onverenigbaar
injecteerbaar geneesmiddel Amoxicillin sodium / clavulanic acid 100/10 mg/ml
injecteerbaar geneesmiddel Imipenem - cilastatin sodium 50 mg/ml
3824
Verenigbaar
injecteerbaar geneesmiddel Amoxicillin sodium / clavulanic acid 100/10 mg/ml
injecteerbaar geneesmiddel Insulin 100 UI/ml
3824
Niet-gespecificeerde incompatibiliteit Onverenigbaar
injecteerbaar geneesmiddel Amoxicillin sodium / clavulanic acid
injecteerbaar geneesmiddel Kanamycin sulfate
3545
Onmiddellijke neerslag Onverenigbaar
injecteerbaar geneesmiddel Amoxicillin sodium / clavulanic acid 100/10 mg/ml
injecteerbaar geneesmiddel Ketamine hydrochloride 50 mg/ml
3824
Verenigbaar
injecteerbaar geneesmiddel Amoxicillin sodium / clavulanic acid 100/10 mg/ml
injecteerbaar geneesmiddel L-carnitine 200 mg/ml
3824
Verenigbaar
injecteerbaar geneesmiddel Amoxicillin sodium / clavulanic acid 100/10 mg/ml
injecteerbaar geneesmiddel Labetalol hydrochloride 5 mg/ml
3824
Verenigbaar
injecteerbaar geneesmiddel Amoxicillin sodium / clavulanic acid 100/10 mg/ml
injecteerbaar geneesmiddel Levofloxacine 5 mg/ml
3824
Verenigbaar
injecteerbaar geneesmiddel Amoxicillin sodium / clavulanic acid 100/10 mg/ml
injecteerbaar geneesmiddel Lidocaine hydrochloride 1 mg/ml
3824
Verenigbaar
injecteerbaar geneesmiddel Amoxicillin sodium / clavulanic acid 100/10 mg/ml
injecteerbaar geneesmiddel Linezolid 2 mg/ml
3824
Verenigbaar
injecteerbaar geneesmiddel Amoxicillin sodium / clavulanic acid 100/10 mg/ml
injecteerbaar geneesmiddel Lorazepam 4 mg/ml
3824
Verenigbaar
injecteerbaar geneesmiddel Amoxicillin sodium / clavulanic acid 20/2 mg/ml
injecteerbaar geneesmiddel Lorazepam 0.33 mg/ml
Natriumchloride 0,9% 186
Verenigbaar
injecteerbaar geneesmiddel Amoxicillin sodium / clavulanic acid 100/10 mg/ml
injecteerbaar geneesmiddel Magnesium sulfate 500 mg/ml
3824
Niet-gespecificeerde incompatibiliteit Onverenigbaar
injecteerbaar geneesmiddel Amoxicillin sodium / clavulanic acid
injecteerbaar geneesmiddel Mannitol
3545
Verenigbaar
injecteerbaar geneesmiddel Amoxicillin sodium / clavulanic acid 100/10 mg/ml
injecteerbaar geneesmiddel Mannitol 250 mg/ml
3824
Verenigbaar
injecteerbaar geneesmiddel Amoxicillin sodium / clavulanic acid 100/10 mg/ml
injecteerbaar geneesmiddel Meropenem 50 mg/ml
3824
Niet-gespecificeerde incompatibiliteit Onverenigbaar
injecteerbaar geneesmiddel Amoxicillin sodium / clavulanic acid
injecteerbaar geneesmiddel Methylprednisolone acetate
3545
Niet-gespecificeerde incompatibiliteit Onverenigbaar
injecteerbaar geneesmiddel Amoxicillin sodium / clavulanic acid
injecteerbaar geneesmiddel Methylprednisolone sodium succinate
3545
Onverenigbaar
injecteerbaar geneesmiddel Amoxicillin sodium / clavulanic acid 100/10 mg/ml
injecteerbaar geneesmiddel Methylprednisolone sodium succinate 125 mg/ml
3824
Verenigbaar
injecteerbaar geneesmiddel Amoxicillin sodium / clavulanic acid 100/10 mg/ml
injecteerbaar geneesmiddel Metoclopramide hydrochloride 5 mg/ml
3824
Verenigbaar
injecteerbaar geneesmiddel Amoxicillin sodium / clavulanic acid 100/10 mg/ml
injecteerbaar geneesmiddel Metronidazole 5 mg/ml
3824
Verenigbaar
injecteerbaar geneesmiddel Amoxicillin sodium / clavulanic acid 100/10 mg/ml
injecteerbaar geneesmiddel Micafungin 20 mg/ml
3824
Kleur verandering Onverenigbaar
injecteerbaar geneesmiddel Amoxicillin sodium / clavulanic acid 100/10 mg/ml
injecteerbaar geneesmiddel Midazolam hydrochloride 5 mg/ml
3824
Onmiddellijke neerslag Onverenigbaar
injecteerbaar geneesmiddel Amoxicillin sodium / clavulanic acid 20/2 mg/ml
injecteerbaar geneesmiddel Midazolam hydrochloride 5 mg/ml
Geen 186
Verenigbaar
injecteerbaar geneesmiddel Amoxicillin sodium / clavulanic acid 100/10 mg/ml
injecteerbaar geneesmiddel Milrinone lactate 1 mg/ml
3824
Verenigbaar
injecteerbaar geneesmiddel Amoxicillin sodium / clavulanic acid 100/10 mg/ml
injecteerbaar geneesmiddel Morphine sulfate 50 mg/ml
3824
Verenigbaar
injecteerbaar geneesmiddel Amoxicillin sodium / clavulanic acid 100/10 mg/ml
injecteerbaar geneesmiddel N-acetylcysteine 200 mg/ml
3824
Verenigbaar
injecteerbaar geneesmiddel Amoxicillin sodium / clavulanic acid 100/10 mg/ml
injecteerbaar geneesmiddel Naloxone hydrochloride 0,4 mg/ml
3824
Niet-gespecificeerde incompatibiliteit Onverenigbaar
injecteerbaar geneesmiddel Amoxicillin sodium / clavulanic acid
injecteerbaar geneesmiddel Netilmicin sulfate
3545
Kleur verandering Onverenigbaar
injecteerbaar geneesmiddel Amoxicillin sodium / clavulanic acid 100/10 mg/ml
injecteerbaar geneesmiddel Nicardipine hydrochloride 1 mg/ml
3824
Troebelheid in een uur Onverenigbaar
injecteerbaar geneesmiddel Amoxicillin sodium / clavulanic acid 100/10 mg/ml
injecteerbaar geneesmiddel Nitroglycerin 5 mg/ml
3824
Verenigbaar
injecteerbaar geneesmiddel Amoxicillin sodium / clavulanic acid 100/10 mg/ml
injecteerbaar geneesmiddel Norepinephrine bitartrate 1 mg/ml
3824
Verenigbaar
injecteerbaar geneesmiddel Amoxicillin sodium / clavulanic acid 100/10 mg/ml
injecteerbaar geneesmiddel Octreotide acetate 0.5 mg/ml
3824
Verenigbaar
injecteerbaar geneesmiddel Amoxicillin sodium / clavulanic acid 12 mg/ml
injecteerbaar geneesmiddel Ofloxacin 2 mg/ml
Geen 889
Onmiddellijke neerslag Onverenigbaar
injecteerbaar geneesmiddel Amoxicillin sodium / clavulanic acid 100/10 mg/ml
injecteerbaar geneesmiddel Ondansetron hydrochloride 2 mg/ml
3824
Verenigbaar
injecteerbaar geneesmiddel Amoxicillin sodium / clavulanic acid 100/10 mg/ml
injecteerbaar geneesmiddel Oxytocin 10 UI/ml
3824
Verenigbaar
injecteerbaar geneesmiddel Amoxicillin sodium / clavulanic acid 100/10 mg/ml
injecteerbaar geneesmiddel Pantoprazole sodium 4 mg/ml
3824
Verenigbaar
injecteerbaar geneesmiddel Amoxicillin sodium / clavulanic acid 100/10 mg/ml
injecteerbaar geneesmiddel Paracetamol 10 mg/ml
3824
Niet-gespecificeerde incompatibiliteit Onverenigbaar
injecteerbaar geneesmiddel Amoxicillin sodium / clavulanic acid
injecteerbaar geneesmiddel Phenylephrine hydrochloride
3545
Verenigbaar
injecteerbaar geneesmiddel Amoxicillin sodium / clavulanic acid 100/10 mg/ml
injecteerbaar geneesmiddel Phenylephrine hydrochloride 0,01 mg/ml
3824
Onmiddellijke neerslag Onverenigbaar
injecteerbaar geneesmiddel Amoxicillin sodium / clavulanic acid 100/10 mg/ml
injecteerbaar geneesmiddel Phenytoin sodium 50 mg/ml
3824
Chemische instabiliteit Onverenigbaar
injecteerbaar geneesmiddel Amoxicillin sodium / clavulanic acid 10 mg/ml
injecteerbaar geneesmiddel Phloroglucinol 2,5 mg/ml
3791
Verenigbaar
injecteerbaar geneesmiddel Amoxicillin sodium / clavulanic acid 100/10 mg/ml
injecteerbaar geneesmiddel Piperacillin sodium / tazobactam 100 mg/ml
3824
Verenigbaar
injecteerbaar geneesmiddel Amoxicillin sodium / clavulanic acid 100/10 mg/ml
injecteerbaar geneesmiddel Potassium chloride 2 mEq/l
3824
Verenigbaar
injecteerbaar geneesmiddel Amoxicillin sodium / clavulanic acid 100/10 mg/ml
injecteerbaar geneesmiddel Potassium phosphate 3 mmol/ml
3824
Verenigbaar
injecteerbaar geneesmiddel Amoxicillin sodium / clavulanic acid 60 mg/ml
injecteerbaar geneesmiddel Propofol
4524
Verenigbaar
injecteerbaar geneesmiddel Amoxicillin sodium / clavulanic acid 100/10 mg/ml
injecteerbaar geneesmiddel Rocuronium bromide 10 mg/ml
3824
Verenigbaar
injecteerbaar geneesmiddel Amoxicillin sodium / clavulanic acid 100/10 mg/ml
injecteerbaar geneesmiddel Salbutamol sulfate 1 mg/ml
3824
Verenigbaar
injecteerbaar geneesmiddel Amoxicillin sodium / clavulanic acid 100/10 mg/ml
injecteerbaar geneesmiddel Sodium bicarbonate 84 mg/ml
3824
Niet-gespecificeerde incompatibiliteit Onverenigbaar
injecteerbaar geneesmiddel Amoxicillin sodium / clavulanic acid
injecteerbaar geneesmiddel Sodium bicarbonate
3545
Verenigbaar
injecteerbaar geneesmiddel Amoxicillin sodium / clavulanic acid 100/10 mg/ml
injecteerbaar geneesmiddel Sufentanil citrate 0,05 mg/ml
3824
Chemische instabiliteit Onverenigbaar
injecteerbaar geneesmiddel Amoxicillin sodium / clavulanic acid 20 mg/ml
injecteerbaar geneesmiddel Temocilline 83.33 mg/ml
Water voor injectie 2231
Niet-gespecificeerde incompatibiliteit Onverenigbaar
injecteerbaar geneesmiddel Amoxicillin sodium / clavulanic acid
injecteerbaar geneesmiddel Temocilline
4470
Verenigbaar
injecteerbaar geneesmiddel Amoxicillin sodium / clavulanic acid 100/10 mg/ml
injecteerbaar geneesmiddel Thiamine hydrochloride 100 mg/ml
3824
Verenigbaar
injecteerbaar geneesmiddel Amoxicillin sodium / clavulanic acid 100/10 mg/ml
injecteerbaar geneesmiddel Tobramycin sulfate 40 mg/ml
3824
Niet-gespecificeerde incompatibiliteit Onverenigbaar
injecteerbaar geneesmiddel Amoxicillin sodium / clavulanic acid
injecteerbaar geneesmiddel Tobramycin sulfate
3545
Verenigbaar
injecteerbaar geneesmiddel Amoxicillin sodium / clavulanic acid 100/10 mg/ml
injecteerbaar geneesmiddel Tranexamic acid 100 mg/ml
3824
Verenigbaar
injecteerbaar geneesmiddel Amoxicillin sodium / clavulanic acid 100/10 mg/ml
injecteerbaar geneesmiddel Vancomycin hydrochloride 50 mg/ml
3824
Onmiddellijke troebelheid Onverenigbaar
injecteerbaar geneesmiddel Amoxicillin sodium / clavulanic acid 100/10 mg/ml
injecteerbaar geneesmiddel Verapamil hydrochloride 10 mg/ml
3824
Verenigbaar
injecteerbaar geneesmiddel Amoxicillin sodium / clavulanic acid 100/10 mg/ml
injecteerbaar geneesmiddel Voriconazole 10 mg/ml
3824
Verenigbaar
injecteerbaar geneesmiddel Amoxicillin sodium / clavulanic acid 100/10 mg/ml
injecteerbaar geneesmiddel Zidovudine 10 mg/ml
3824
Niet-gespecificeerde incompatibiliteit Onverenigbaar
injecteerbaar geneesmiddel Amoxicillin sodium / clavulanic acid
NaHCO3 3545

  Mentions Légales