Dernière mise à jour :
17/12/2025
Antibiotique   Amoxicillin sodium / clavulanic acid  
injectable
Solution buvable
Stabilité des solutions Stabilité en mélange Facteur influençant la stabilité Compatibilités Voie d’administration Bibliographie pdf
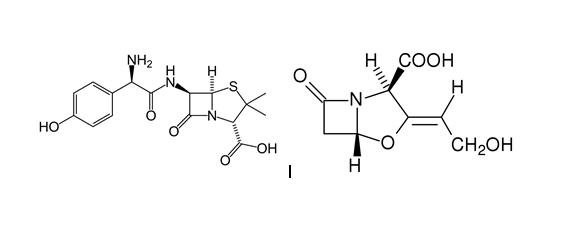
   Structure chimique  

Noms commerciaux   Noms commerciaux     

Les noms commerciaux sont donnés à titre indicatif et la composition en excipients peut être différente selon les pays et selon les laboratoires

Aktil Hongrie
Amoclan Arabie Saoudite
Amoklavin Turquie
Amoksiklav Pologne
Amoxclav Arabie Saoudite
Amplamox Brésil
Augmentin Arabie Saoudite, Autriche, Belgique, Chili, Emirats Arabes Unis , Equateur, Espagne, France, Grande Bretagne, Grèce, Italie, Pays bas, Pologne, Suisse, Turquie
Betamox Portugal
Clavamox Autriche
Clavicin Malaisie, Vénézuela
Clavulin Brésil
Co-amoxi Suisse
Co-Amoxicillin Suisse
Curam Arabie Saoudite, Nouvelle Zélande
Darzitil Argentine
Dibional Argentine
Julmentin Emirats Arabes Unis
Novamox Brésil
Sulbamox Chili
Tarometin Pologne
Trifamox Argentine, Colombie, Equateur, Mexique
Compatibilités   injectable   Compatibilités : Amoxicillin sodium / clavulanic acid              
Cet écran indique les compatibilités ou incompatibilités avec, dans ce cas, le type d'incompatibilité (précipitation, changement de couleur, modification d'une émulsion, etc.). Les compatibilités présentées ici sont pour la plupart uniquement physiques, la stabilité chimique de chaque molécule étant rarement évaluée. L'évaluation de ces mélanges a été étudiée pour envisager la possibilité d'une administration en site Y au patient. Ces données ne peuvent pas être utilisées pour préparer des mélanges à l'avance dans des poches de perfusion ou des seringues. Ce type d'informations est disponible dans l'écran « Stabilité en mélange ».
Molécule Solvant Bibliographie
Instabilité chimique Incompatible
injectable Amoxicillin sodium / clavulanic acid
injectable Amikacin sulfate
3549
Incompatibilité non précisée Incompatible
injectable Amoxicillin sodium / clavulanic acid
Nutrition parentérale (mélange ternaire) 3545
Précipitation immédiate Incompatible
injectable Amoxicillin sodium / clavulanic acid 100/10 mg/ml
injectable Aciclovir sodium 50 mg/ml
3824
Compatible
injectable Amoxicillin sodium / clavulanic acid
Chlorure de sodium 0,9% 3545
Incompatibilité non précisée Incompatible
injectable Amoxicillin sodium / clavulanic acid
Glucose 5% 3545
Compatible
injectable Amoxicillin sodium / clavulanic acid 100/10 mg/ml
injectable Amikacin sulfate 250 mg/ml
3824
Incompatibilité non précisée Incompatible
injectable Amoxicillin sodium / clavulanic acid
injectable Amikacin sulfate
3545
Changement de couleur après 1 heure Incompatible
injectable Amoxicillin sodium / clavulanic acid 50/10 mg/ml
Nutrition parentérale (mélange ternaire) 3948
Compatible
injectable Amoxicillin sodium / clavulanic acid 100/10 mg/ml
injectable Aminophylline 25 mg/ml
3824
Précipitation immédiate Incompatible
injectable Amoxicillin sodium / clavulanic acid 10 mg/ml
injectable Amiodarone hydrochloride 12.5 mg/ml
2139
Changement de couleur Incompatible
injectable Amoxicillin sodium / clavulanic acid 100/10 mg/ml
injectable Amiodarone hydrochloride 50 mg/ml
3824
Compatible
injectable Amoxicillin sodium / clavulanic acid 100/10 mg/ml
injectable Amphotericin B liposomale 2 mg/ml
3824
Compatible
injectable Amoxicillin sodium / clavulanic acid 100/10 mg/ml
injectable Ampicillin sodium 100 mg/ml
3824
Compatible
injectable Amoxicillin sodium / clavulanic acid 100/10 mg/ml
injectable Atropine sulfate 0,4 mg/ml
3824
Compatible
injectable Amoxicillin sodium / clavulanic acid 100/10 mg/ml
injectable Azithromycine 100 mg/ml
3824
Compatible
injectable Amoxicillin sodium / clavulanic acid 100/10 mg/ml
injectable Calcium chloride 100 mg/ml
3824
Compatible
injectable Amoxicillin sodium / clavulanic acid 100/10 mg/ml
injectable Calcium gluconate 100 mg/ml
3824
Compatible
injectable Amoxicillin sodium / clavulanic acid 100/10 mg/ml
injectable Cefazolin sodium 100 mg/ml
3824
Compatible
injectable Amoxicillin sodium / clavulanic acid 100/10 mg/ml
injectable Cefotaxime sodium 100 mg/ml
3824
Compatible
injectable Amoxicillin sodium / clavulanic acid 100/10 mg/ml
injectable Cefoxitin sodium 100 mg/ml
3824
Compatible
injectable Amoxicillin sodium / clavulanic acid 100/10 mg/ml
injectable Ceftazidime 100 mg/ml
3824
Compatible
injectable Amoxicillin sodium / clavulanic acid 100/10 mg/ml
injectable Ceftriaxone disodium 100 mg/ml
3824
Turbidité immédiate Incompatible
injectable Amoxicillin sodium / clavulanic acid 100/10 mg/ml
injectable Ciclosporin 50 mg/ml
3824
Précipitation immédiate Incompatible
injectable Amoxicillin sodium / clavulanic acid 12 mg/ml
injectable Ciprofloxacin lactate 2 mg/ml
Aucun 1357
Incompatibilité non précisée Incompatible
injectable Amoxicillin sodium / clavulanic acid
injectable Ciprofloxacin lactate
3529
Compatible
injectable Amoxicillin sodium / clavulanic acid 100/10 mg/ml
injectable Ciprofloxacin lactate 2 mg/ml
3824
Compatible
injectable Amoxicillin sodium / clavulanic acid 100/10 mg/ml
injectable Cloxacillin sodium 100 mg/ml
3824
Compatible
injectable Amoxicillin sodium / clavulanic acid 100/10 mg/ml
injectable Co-trimoxazole 16/80 mg/ml
3824
Compatible
injectable Amoxicillin sodium / clavulanic acid
injectable Daunorubicin/cytarabine liposomale 0,4 mg/mL
Chlorure de sodium 0,9% 4654
Changement de couleur après 1 heure Incompatible
injectable Amoxicillin sodium / clavulanic acid 50/10 mg/ml
Nutrition parentérale (mélange binaire) 3948
Turbidité en 1 heure Incompatible
injectable Amoxicillin sodium / clavulanic acid 100/10 mg/ml
injectable Clindamycin phosphate 150 mg/ml
3824
Incompatibilité non précisée Incompatible
injectable Amoxicillin sodium / clavulanic acid
Nutrition parentérale (mélange binaire) 3545
Compatible
injectable Amoxicillin sodium / clavulanic acid 100/10 mg/ml
injectable Cefuroxime sodium 100 mg/ml
3824
Compatible
injectable Amoxicillin sodium / clavulanic acid 100/10 mg/ml
injectable Dexamethasone sodium phosphate 4 mg/ml
3824
Incompatibilité non précisée Incompatible
injectable Amoxicillin sodium / clavulanic acid
injectable Dexamethasone sodium phosphate
3545
Compatible
injectable Amoxicillin sodium / clavulanic acid 100/10 mg/ml
injectable Dexmedetomidine 100 µg/ml
3824
Compatible
injectable Amoxicillin sodium / clavulanic acid 100/10 mg/ml
injectable Diazepam 5 mg/ml
3824
Compatible
injectable Amoxicillin sodium / clavulanic acid 100/10 mg/ml
injectable Digoxin 250 µg/ml
3824
Compatible
injectable Amoxicillin sodium / clavulanic acid 100/10 mg/ml
injectable Dimenhydrinate 10 mg/ml
3824
Changement de couleur Incompatible
injectable Amoxicillin sodium / clavulanic acid 100/10 mg/ml
injectable Diphenhydramine hydrochloride 50 mg/ml
3824
Précipitation immédiate Incompatible
injectable Amoxicillin sodium / clavulanic acid 100/10 mg/ml
injectable Dobutamine hydrochloride 12,5 mg/ml
3824
Compatible
injectable Amoxicillin sodium / clavulanic acid 100/10 mg/ml
injectable Dopamine hydrochloride 3,2 mg/ml
3824
Compatible
injectable Amoxicillin sodium / clavulanic acid 100/10 mg/ml
injectable Enalaprilate 1,25 mg/ml
3824
Compatible
injectable Amoxicillin sodium / clavulanic acid 100/10 mg/ml
injectable Epinephrine hydrochloride 1000 µg/ml
3824
Compatible
injectable Amoxicillin sodium / clavulanic acid 100/10 mg/ml
injectable Ertapenem 100 mg/ml
3824
Précipitation immédiate Incompatible
injectable Amoxicillin sodium / clavulanic acid 100/10 mg/ml
injectable Erythromycin lactobionate 50 mg/ml
3824
Incompatibilité non précisée Incompatible
injectable Amoxicillin sodium / clavulanic acid
injectable Erythromycin lactobionate
3674
Compatible
injectable Amoxicillin sodium / clavulanic acid 100/10 mg/ml
injectable Esmolol hydrochloride 10 mg/ml
3824
Compatible
injectable Amoxicillin sodium / clavulanic acid 100/10 mg/ml
injectable Famotidine 10 mg/ml
3824
Compatible
injectable Amoxicillin sodium / clavulanic acid 100/10 mg/ml
injectable Fentanyl citrate 50 µg/ml
3824
Compatible
injectable Amoxicillin sodium / clavulanic acid 100/10 mg/ml
injectable Fluconazole 2 mg/ml
3824
Compatible
injectable Amoxicillin sodium / clavulanic acid 100/10 mg/ml
injectable Furosemide 10 mg/ml
3824
Incompatibilité non précisée Incompatible
injectable Amoxicillin sodium / clavulanic acid
injectable Gentamicin sulfate
3643
Incompatibilité non précisée Incompatible
injectable Amoxicillin sodium / clavulanic acid
injectable Gentamicin sulfate
3545
Incompatibilité non précisée Incompatible
injectable Amoxicillin sodium / clavulanic acid
injectable Gentamicin sulfate
3520
Compatible
injectable Amoxicillin sodium / clavulanic acid 100/10 mg/ml
injectable Gentamicin sulfate 40 mg/ml
3824
Compatible
injectable Amoxicillin sodium / clavulanic acid 100/10 mg/ml
injectable Granisetron hydrochloride 1 mg/ml
3824
Précipitation immédiate Incompatible
injectable Amoxicillin sodium / clavulanic acid 100/10 mg/ml
injectable Haloperidol lactate 5 mg/ml
3824
Compatible
injectable Amoxicillin sodium / clavulanic acid 100/10 mg/ml
injectable Heparin sodium 1000 UI/ml
3824
Incompatible
injectable Amoxicillin sodium / clavulanic acid 100/10 mg/ml
injectable Human albumin 250 mg/ml
3824
Incompatibilité non précisée Incompatible
injectable Amoxicillin sodium / clavulanic acid
injectable Hydrocortisone sodium succinate
3545
Compatible
injectable Amoxicillin sodium / clavulanic acid 100/10 mg/ml
injectable Hydrocortisone sodium succinate 50 mg/ml
3824
Compatible
injectable Amoxicillin sodium / clavulanic acid 100/10 mg/ml
injectable Hydromorphone hydrochloride 10 mg/ml
3824
Précipitation immédiate Incompatible
injectable Amoxicillin sodium / clavulanic acid 100/10 mg/ml
injectable Imipenem - cilastatin sodium 50 mg/ml
3824
Compatible
injectable Amoxicillin sodium / clavulanic acid 100/10 mg/ml
injectable Insulin 100 UI/ml
3824
Incompatibilité non précisée Incompatible
injectable Amoxicillin sodium / clavulanic acid
injectable Kanamycin sulfate
3545
Précipitation immédiate Incompatible
injectable Amoxicillin sodium / clavulanic acid 100/10 mg/ml
injectable Ketamine hydrochloride 50 mg/ml
3824
Compatible
injectable Amoxicillin sodium / clavulanic acid 100/10 mg/ml
injectable L-carnitine 200 mg/ml
3824
Compatible
injectable Amoxicillin sodium / clavulanic acid 100/10 mg/ml
injectable Labetalol hydrochloride 5 mg/ml
3824
Compatible
injectable Amoxicillin sodium / clavulanic acid 100/10 mg/ml
injectable Levofloxacine 5 mg/ml
3824
Compatible
injectable Amoxicillin sodium / clavulanic acid 100/10 mg/ml
injectable Lidocaine hydrochloride 1 mg/ml
3824
Compatible
injectable Amoxicillin sodium / clavulanic acid 100/10 mg/ml
injectable Linezolid 2 mg/ml
3824
Compatible
injectable Amoxicillin sodium / clavulanic acid 100/10 mg/ml
injectable Lorazepam 4 mg/ml
3824
Compatible
injectable Amoxicillin sodium / clavulanic acid 20/2 mg/ml
injectable Lorazepam 0.33 mg/ml
Chlorure de sodium 0,9% 186
Compatible
injectable Amoxicillin sodium / clavulanic acid 100/10 mg/ml
injectable Magnesium sulfate 500 mg/ml
3824
Incompatibilité non précisée Incompatible
injectable Amoxicillin sodium / clavulanic acid
injectable Mannitol
3545
Compatible
injectable Amoxicillin sodium / clavulanic acid 100/10 mg/ml
injectable Mannitol 250 mg/ml
3824
Compatible
injectable Amoxicillin sodium / clavulanic acid 100/10 mg/ml
injectable Meropenem 50 mg/ml
3824
Incompatibilité non précisée Incompatible
injectable Amoxicillin sodium / clavulanic acid
injectable Methylprednisolone acetate
3545
Incompatibilité non précisée Incompatible
injectable Amoxicillin sodium / clavulanic acid
injectable Methylprednisolone sodium succinate
3545
Incompatible
injectable Amoxicillin sodium / clavulanic acid 100/10 mg/ml
injectable Methylprednisolone sodium succinate 125 mg/ml
3824
Compatible
injectable Amoxicillin sodium / clavulanic acid 100/10 mg/ml
injectable Metoclopramide hydrochloride 5 mg/ml
3824
Compatible
injectable Amoxicillin sodium / clavulanic acid 100/10 mg/ml
injectable Metronidazole 5 mg/ml
3824
Compatible
injectable Amoxicillin sodium / clavulanic acid 100/10 mg/ml
injectable Micafungin 20 mg/ml
3824
Changement de couleur Incompatible
injectable Amoxicillin sodium / clavulanic acid 100/10 mg/ml
injectable Midazolam hydrochloride 5 mg/ml
3824
Précipitation immédiate Incompatible
injectable Amoxicillin sodium / clavulanic acid 20/2 mg/ml
injectable Midazolam hydrochloride 5 mg/ml
Aucun 186
Compatible
injectable Amoxicillin sodium / clavulanic acid 100/10 mg/ml
injectable Milrinone lactate 1 mg/ml
3824
Compatible
injectable Amoxicillin sodium / clavulanic acid 100/10 mg/ml
injectable Morphine sulfate 50 mg/ml
3824
Compatible
injectable Amoxicillin sodium / clavulanic acid 100/10 mg/ml
injectable N-acetylcysteine 200 mg/ml
3824
Compatible
injectable Amoxicillin sodium / clavulanic acid 100/10 mg/ml
injectable Naloxone hydrochloride 0,4 mg/ml
3824
Incompatibilité non précisée Incompatible
injectable Amoxicillin sodium / clavulanic acid
injectable Netilmicin sulfate
3545
Changement de couleur Incompatible
injectable Amoxicillin sodium / clavulanic acid 100/10 mg/ml
injectable Nicardipine hydrochloride 1 mg/ml
3824
Turbidité en 1 heure Incompatible
injectable Amoxicillin sodium / clavulanic acid 100/10 mg/ml
injectable Nitroglycerin 5 mg/ml
3824
Compatible
injectable Amoxicillin sodium / clavulanic acid 100/10 mg/ml
injectable Norepinephrine bitartrate 1 mg/ml
3824
Compatible
injectable Amoxicillin sodium / clavulanic acid 100/10 mg/ml
injectable Octreotide acetate 0.5 mg/ml
3824
Compatible
injectable Amoxicillin sodium / clavulanic acid 12 mg/ml
injectable Ofloxacin 2 mg/ml
Aucun 889
Précipitation immédiate Incompatible
injectable Amoxicillin sodium / clavulanic acid 100/10 mg/ml
injectable Ondansetron hydrochloride 2 mg/ml
3824
Compatible
injectable Amoxicillin sodium / clavulanic acid 100/10 mg/ml
injectable Oxytocin 10 UI/ml
3824
Compatible
injectable Amoxicillin sodium / clavulanic acid 100/10 mg/ml
injectable Pantoprazole sodium 4 mg/ml
3824
Compatible
injectable Amoxicillin sodium / clavulanic acid 100/10 mg/ml
injectable Paracetamol 10 mg/ml
3824
Incompatibilité non précisée Incompatible
injectable Amoxicillin sodium / clavulanic acid
injectable Phenylephrine hydrochloride
3545
Compatible
injectable Amoxicillin sodium / clavulanic acid 100/10 mg/ml
injectable Phenylephrine hydrochloride 0,01 mg/ml
3824
Précipitation immédiate Incompatible
injectable Amoxicillin sodium / clavulanic acid 100/10 mg/ml
injectable Phenytoin sodium 50 mg/ml
3824
Instabilité chimique Incompatible
injectable Amoxicillin sodium / clavulanic acid 10 mg/ml
injectable Phloroglucinol 2,5 mg/ml
3791
Compatible
injectable Amoxicillin sodium / clavulanic acid 100/10 mg/ml
injectable Piperacillin sodium / tazobactam 100 mg/ml
3824
Compatible
injectable Amoxicillin sodium / clavulanic acid 100/10 mg/ml
injectable Potassium chloride 2 mEq/l
3824
Compatible
injectable Amoxicillin sodium / clavulanic acid 100/10 mg/ml
injectable Potassium phosphate 3 mmol/ml
3824
Compatible
injectable Amoxicillin sodium / clavulanic acid 60 mg/ml
injectable Propofol
4524
Compatible
injectable Amoxicillin sodium / clavulanic acid 100/10 mg/ml
injectable Rocuronium bromide 10 mg/ml
3824
Compatible
injectable Amoxicillin sodium / clavulanic acid 100/10 mg/ml
injectable Salbutamol sulfate 1 mg/ml
3824
Compatible
injectable Amoxicillin sodium / clavulanic acid 100/10 mg/ml
injectable Sodium bicarbonate 84 mg/ml
3824
Incompatibilité non précisée Incompatible
injectable Amoxicillin sodium / clavulanic acid
injectable Sodium bicarbonate
3545
Compatible
injectable Amoxicillin sodium / clavulanic acid 100/10 mg/ml
injectable Sufentanil citrate 0,05 mg/ml
3824
Instabilité chimique Incompatible
injectable Amoxicillin sodium / clavulanic acid 20 mg/ml
injectable Temocilline 83.33 mg/ml
Eau pour préparation injectable 2231
Incompatibilité non précisée Incompatible
injectable Amoxicillin sodium / clavulanic acid
injectable Temocilline
4470
Compatible
injectable Amoxicillin sodium / clavulanic acid 100/10 mg/ml
injectable Thiamine hydrochloride 100 mg/ml
3824
Compatible
injectable Amoxicillin sodium / clavulanic acid 100/10 mg/ml
injectable Tobramycin sulfate 40 mg/ml
3824
Incompatibilité non précisée Incompatible
injectable Amoxicillin sodium / clavulanic acid
injectable Tobramycin sulfate
3545
Compatible
injectable Amoxicillin sodium / clavulanic acid 100/10 mg/ml
injectable Tranexamic acid 100 mg/ml
3824
Compatible
injectable Amoxicillin sodium / clavulanic acid 100/10 mg/ml
injectable Vancomycin hydrochloride 50 mg/ml
3824
Turbidité immédiate Incompatible
injectable Amoxicillin sodium / clavulanic acid 100/10 mg/ml
injectable Verapamil hydrochloride 10 mg/ml
3824
Compatible
injectable Amoxicillin sodium / clavulanic acid 100/10 mg/ml
injectable Voriconazole 10 mg/ml
3824
Compatible
injectable Amoxicillin sodium / clavulanic acid 100/10 mg/ml
injectable Zidovudine 10 mg/ml
3824
Incompatibilité non précisée Incompatible
injectable Amoxicillin sodium / clavulanic acid
NaHCO3 3545

  Mentions Légales