Cập nhật lần cuối :
18/03/2026
Kháng sinh   Gentamicin sulfate  
Dạng tiêm
Thuốc nhỏ mắt
Tính ổn định của các dung dịch Độ ổn định khi trộn lẫn Những yếu tố ảnh hưởng đến độ ổn định Khả năng tương thích Đường dùng Tài liệu tham khảo Pdf
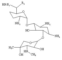
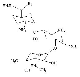
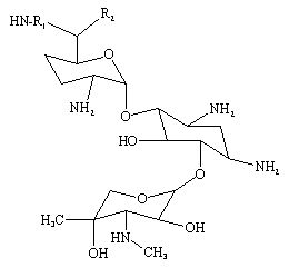
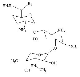
   Cấu trúc hóa học  

Tên thương mại   Tên thương mại     

Các tên thương mại được cung cấp và thành phần tá dược có thể khác nhau giữa các quốc gia và các hãng dược

Azupel Peru
Cidomycin Ả Rập, Anh, Tunisia
Dabroson Hy Lạp
Epigent Ả Rập
Garalone Bồ Đào Nha
Garamicina Brazil, Colombia, Ecuador, Mexico
Garamycin Ả Rập, Ấn Độ, Ba Lan, Croatia, Hà Lan, Hy Lạp, Na Uy, Thụy Sỹ, United Arab Emirates, Đan Mạch
Genmisin Thổ Nhĩ Kỳ
Gensif Thổ Nhĩ Kỳ
Gensumycin Na Uy, Phần Lan, Thụy Điển
Genta-Gobens Tây Ban Nha
Gentalline Morocco
Gentamen Morocco
Genticin Anh, Ireland, United Arab Emirates
Gentreks Thổ Nhĩ Kỳ
Hexamycin Đan Mạch
Plurisemina Argentina
Refobacin Ả Rập, Áo, Colombia, Đức
Rupegen Argentina
Khả năng tương thích   Dạng tiêm   Khả năng tương thích : Gentamicin sulfate              
Màn hình này cho biết khả năng tương thích hoặc không tương thích, trong trường hợp này là loại không tương thích (kết tủa, thay đổi màu sắc, sửa đổi nhũ tương, v.v.). Sự tương hợp được chỉ ra ở đây chủ yếu chỉ là vật lý, với độ ổn định hóa học của mỗi phân tử hiếm khi được đánh giá. Việc đánh giá các hỗn hợp này được nghiên cứu để xem xét khả năng sử dụng vị trí Y cho bệnh nhân. Những dữ liệu này không thể được sử dụng để tạo hỗn hợp trước trong túi hoặc ống tiêm. Loại thông tin này có sẵn trong màn hình "Độ ổn định trong hỗn hợp».
Phân tử Dung môi Mục lục
Tương thích
Dạng tiêm Gentamicin sulfate 1.6 mg/ml
Dạng tiêm Aciclovir sodium 5 mg/ml
Glucose 5% 336
Lượng mưa ngay lập tức Không tương thích
Dạng tiêm Gentamicin sulfate 30 mg/ml
Dạng tiêm Aciclovir sodium 5 mg/ml
NaCl 0,9% 2335
Lượng mưa sau 1 giờ Không tương thích
Dạng tiêm Gentamicin sulfate 5 mg/ml
Dạng tiêm Allopurinol sodium 3 mg/ml
NaCl 0,9% 307
Tương thích
Dạng tiêm Gentamicin sulfate 1 mg/ml
Dạng tiêm Alprostadil 15 µg/ml
3201
Tương thích
Dạng tiêm Gentamicin sulfate 5 mg/ml
Dạng tiêm Amifostine 10 mg/ml
Glucose 5% 3
Tương thích
Dạng tiêm Gentamicin sulfate 0.8 mg/ml
Dạng tiêm Amiodarone hydrochloride 4 mg/ml
NaCl 0,9% 385
Tương thích
Dạng tiêm Gentamicin sulfate 0.8 mg/ml
Dạng tiêm Amiodarone hydrochloride 4 mg/ml
Glucose 5% 385
Không tương thích không xác định Không tương thích
Dạng tiêm Gentamicin sulfate
Dạng tiêm Amoxicillin sodium
3643
Không tương thích không xác định Không tương thích
Dạng tiêm Gentamicin sulfate
Dạng tiêm Amoxicillin sodium
3520
Không ổn định hóa học Không tương thích
Dạng tiêm Gentamicin sulfate
Dạng tiêm Amoxicillin sodium
3527
Không tương thích không xác định Không tương thích
Dạng tiêm Gentamicin sulfate
Dạng tiêm Amoxicillin sodium / clavulanic acid
3643
Không tương thích không xác định Không tương thích
Dạng tiêm Gentamicin sulfate
Dạng tiêm Amoxicillin sodium / clavulanic acid
3545
Không tương thích không xác định Không tương thích
Dạng tiêm Gentamicin sulfate
Dạng tiêm Amoxicillin sodium / clavulanic acid
3520
Tương thích
Dạng tiêm Gentamicin sulfate 40 mg/ml
Dạng tiêm Amoxicillin sodium / clavulanic acid 100/10 mg/ml
3824
Lượng mưa ngay lập tức Không tương thích
Dạng tiêm Gentamicin sulfate 5 mg/ml
Dạng tiêm Amphotericin B cholesteryl sulfate complex 0,83 mg/ml
Glucose 5% 921
Không tương thích không xác định Không tương thích
Dạng tiêm Gentamicin sulfate
Dạng tiêm Ampicillin sodium
3643
Không tương thích không xác định Không tương thích
Dạng tiêm Gentamicin sulfate
Dạng tiêm Ampicillin sodium
3520
Không tương thích không xác định Không tương thích
Dạng tiêm Gentamicin sulfate
Dạng tiêm Ampicillin sodium - sulbactam sodium
3643
Không tương thích không xác định Không tương thích
Dạng tiêm Gentamicin sulfate
Dạng tiêm Ampicillin sodium - sulbactam sodium
3520
Tương thích
Dạng tiêm Gentamicin sulfate 5 mg/ml
Dạng tiêm Amsacrine 1 mg/ml
Glucose 5% 253
Tương thích
Dạng tiêm Gentamicin sulfate 5 mg/ml
Dạng tiêm Anidulafungin 0.5 mg/ml
Glucose 5% 1982
Tương thích
Dạng tiêm Gentamicin sulfate 0,8 mg/ml
Dạng tiêm Atosiban 0,75 mg/ml
4642
Tương thích
Dạng tiêm Gentamicin sulfate 2 mg/ml
Dạng tiêm Atracurium besylate 0.5 mg/ml
Glucose 5% 402
Lượng mưa ngay lập tức Không tương thích
Dạng tiêm Gentamicin sulfate 21 mg/ml
Dạng tiêm Azithromycine 2 mg/ml
NaCl 0,9% 1800
Tương thích
Dạng tiêm Gentamicin sulfate 5 mg/ml
Dạng tiêm Aztreonam 40 mg/ml
Glucose 5% 99
Tương thích
Dạng tiêm Gentamicin sulfate 0.2 & 0.8 mg/ml
Dạng tiêm Aztreonam 10 & 20 mg/ml
NaCl 0,9% 19
Tương thích
Dạng tiêm Gentamicin sulfate 0.2 & 0.8 mg/ml
Dạng tiêm Aztreonam 10 & 20 mg/ml
Glucose 5% 19
Tương thích
Dạng tiêm Gentamicin sulfate 5 mg/ml
Dạng tiêm Bivalirudin 5 mg/ml
Glucose 5% 1713
Tương thích
Dạng tiêm Gentamicin sulfate 10 mg/ml
Dạng tiêm Caffeine 10 mg/ml
Không 3964
Tương thích
Dạng tiêm Gentamicin sulfate 10 mg/ml
Dạng tiêm Caffeine 10 mg/ml
NaCl 0,9% 4837
Tương thích
Dạng tiêm Gentamicin sulfate 10 mg/ml
Dạng tiêm Caffeine citrate 20 mg/ml
NaCl 0,9% 4837
Không tương thích không xác định Không tương thích
Dạng tiêm Gentamicin sulfate
Dạng tiêm Calcium gluconate
3644
Không tương thích
Dạng tiêm Gentamicin sulfate
Dạng tiêm Calcium gluconate
4964
Tương thích
Dạng tiêm Gentamicin sulfate 5 mg/ml
Dạng tiêm Caspofungin acetate 0,7 mg/ml
NaCl 0,9% 2247
Không tương thích không xác định Không tương thích
Dạng tiêm Gentamicin sulfate
Dạng tiêm Cefalotin sodium
3520
Không tương thích không xác định Không tương thích
Dạng tiêm Gentamicin sulfate
Dạng tiêm Cefalotin sodium
3643
Lượng mưa ngay lập tức Không tương thích
Dạng tiêm Gentamicin sulfate
Dạng tiêm Cefamandole nafate 2 >> 100 mg/ml
Glucose 5% 612
Không tương thích không xác định Không tương thích
Dạng tiêm Gentamicin sulfate
Dạng tiêm Cefamandole nafate
3643
Không tương thích không xác định Không tương thích
Dạng tiêm Gentamicin sulfate
Dạng tiêm Cefamandole nafate
3520
Không tương thích không xác định Không tương thích
Dạng tiêm Gentamicin sulfate
Dạng tiêm Cefamandole nafate
3546
Lượng mưa ngay lập tức Không tương thích
Dạng tiêm Gentamicin sulfate
Dạng tiêm Cefamandole nafate 2 >> 100 mg/ml
NaCl 0,9% 612
Không tương thích không xác định Không tương thích
Dạng tiêm Gentamicin sulfate
Dạng tiêm Cefazolin sodium
3520
Không tương thích không xác định Không tương thích
Dạng tiêm Gentamicin sulfate
Dạng tiêm Cefazolin sodium
3643
Không tương thích không xác định Không tương thích
Dạng tiêm Gentamicin sulfate
Dạng tiêm Cefepime dihydrochloride
3520
Tương thích
Dạng tiêm Gentamicin sulfate 6 mg/ml
Dạng tiêm Cefepime dihydrochloride 125 mg/ml
Nước cất pha tiêm 2141
Không tương thích không xác định Không tương thích
Dạng tiêm Gentamicin sulfate
Dạng tiêm Cefepime dihydrochloride
3548
Không tương thích không xác định Không tương thích
Dạng tiêm Gentamicin sulfate
Dạng tiêm Cefepime dihydrochloride
3643
Tương thích
Dạng tiêm Gentamicin sulfate 5 mg/ml
Dạng tiêm Cefiderocol sulfate tosylate 20 mg/mL
Glucose 5% 4528
Tương thích
Dạng tiêm Gentamicin sulfate 5 mg/ml
Dạng tiêm Cefiderocol sulfate tosylate 20 mg/mL
NaCl 0,9% 4528
Không tương thích không xác định Không tương thích
Dạng tiêm Gentamicin sulfate
Dạng tiêm Cefmenoxime
3520
Không tương thích không xác định Không tương thích
Dạng tiêm Gentamicin sulfate
Dạng tiêm Cefmenoxime
3643
Không tương thích không xác định Không tương thích
Dạng tiêm Gentamicin sulfate
Dạng tiêm Cefmetazole sodium
3520
Không tương thích không xác định Không tương thích
Dạng tiêm Gentamicin sulfate
Dạng tiêm Cefmetazole sodium
3643
Không tương thích không xác định Không tương thích
Dạng tiêm Gentamicin sulfate
Dạng tiêm Cefonicid sodium
3643
Không tương thích không xác định Không tương thích
Dạng tiêm Gentamicin sulfate
Dạng tiêm Cefonicid sodium
3520
Không tương thích không xác định Không tương thích
Dạng tiêm Gentamicin sulfate
Dạng tiêm Cefoperazone sodium
3544
Không tương thích không xác định Không tương thích
Dạng tiêm Gentamicin sulfate
Dạng tiêm Cefoperazone sodium
3643
Lượng mưa ngay lập tức Không tương thích
Dạng tiêm Gentamicin sulfate 0.8 mg/ml
Dạng tiêm Cefoperazone sodium 10 mg/ml
Glucose 5% 1206
Không tương thích không xác định Không tương thích
Dạng tiêm Gentamicin sulfate
Dạng tiêm Cefoperazone sodium
3520
Không tương thích không xác định Không tương thích
Dạng tiêm Gentamicin sulfate
Dạng tiêm Ceforanide
3643
Không tương thích không xác định Không tương thích
Dạng tiêm Gentamicin sulfate
Dạng tiêm Ceforanide
3520
Không tương thích không xác định Không tương thích
Dạng tiêm Gentamicin sulfate
Dạng tiêm Cefotaxime sodium
3520
Không tương thích không xác định Không tương thích
Dạng tiêm Gentamicin sulfate
Dạng tiêm Cefotaxime sodium
3643
Không tương thích không xác định Không tương thích
Dạng tiêm Gentamicin sulfate
Dạng tiêm Cefoxitin sodium
3643
Không tương thích không xác định Không tương thích
Dạng tiêm Gentamicin sulfate
Dạng tiêm Cefoxitin sodium
3520
Tương thích
Dạng tiêm Gentamicin sulfate 1 mg/ml
Dạng tiêm Cefpirome sulfate 50 mg/ml
NaCl 0,9% 280
Tương thích
Dạng tiêm Gentamicin sulfate 1 mg/ml
Dạng tiêm Cefpirome sulfate 50 mg/ml
Dung dịch Ringer’s lactate 280
Tương thích
Dạng tiêm Gentamicin sulfate 1 mg/ml
Dạng tiêm Cefpirome sulfate 50 mg/ml
NaCl 0,45% 280
Không tương thích không xác định Không tương thích
Dạng tiêm Gentamicin sulfate
Dạng tiêm Cefpirome sulfate
3643
Không tương thích không xác định Không tương thích
Dạng tiêm Gentamicin sulfate
Dạng tiêm Cefpirome sulfate
3677
Tương thích
Dạng tiêm Gentamicin sulfate 1 mg/ml
Dạng tiêm Cefpirome sulfate 50 mg/ml
Glucose 5% 280
Không tương thích không xác định Không tương thích
Dạng tiêm Gentamicin sulfate
Dạng tiêm Cefpirome sulfate
3520
Tương thích
Dạng tiêm Gentamicin sulfate 5 mg/ml
Dạng tiêm Ceftaroline fosamil 2,22 mg/ml
NaCl 0,9% 3249
Tương thích
Dạng tiêm Gentamicin sulfate 5 mg/ml
Dạng tiêm Ceftaroline fosamil 2,22 mg/ml
Dung dịch Ringer’s lactate 3249
Tương thích
Dạng tiêm Gentamicin sulfate 5 mg/ml
Dạng tiêm Ceftaroline fosamil 2,22 mg/ml
Glucose 5% 3249
Không tương thích không xác định Không tương thích
Dạng tiêm Gentamicin sulfate
Dạng tiêm Ceftaroline fosamil
3643
Không tương thích không xác định Không tương thích
Dạng tiêm Gentamicin sulfate
Dạng tiêm Ceftaroline fosamil
3520
Không tương thích không xác định Không tương thích
Dạng tiêm Gentamicin sulfate
Dạng tiêm Ceftazidime
3543
Không tương thích không xác định Không tương thích
Dạng tiêm Gentamicin sulfate
Dạng tiêm Ceftazidime
3520
Không tương thích không xác định Không tương thích
Dạng tiêm Gentamicin sulfate
Dạng tiêm Ceftazidime
3643
Tương thích
Dạng tiêm Gentamicin sulfate 6 mg/ml
Dạng tiêm Ceftazidime 125 mg/ml
Nước cất pha tiêm 2141
Tương thích
Dạng tiêm Gentamicin sulfate 6 mg/ml
Dạng tiêm Ceftazidime 83.3 mg/ml
1759
Không tương thích không xác định Không tương thích
Dạng tiêm Gentamicin sulfate
Dạng tiêm Ceftazidime
3883
Không tương thích không xác định Không tương thích
Dạng tiêm Gentamicin sulfate
Dạng tiêm Ceftazidime Avibactam
3520
Không tương thích không xác định Không tương thích
Dạng tiêm Gentamicin sulfate
Dạng tiêm Ceftazidime Avibactam
3643
Không tương thích không xác định Không tương thích
Dạng tiêm Gentamicin sulfate
Dạng tiêm Ceftizoxime sodium
3643
Không tương thích không xác định Không tương thích
Dạng tiêm Gentamicin sulfate
Dạng tiêm Ceftizoxime sodium
3520
Không tương thích không xác định Không tương thích
Dạng tiêm Gentamicin sulfate
Dạng tiêm Ceftobiprole medocaril sodium
3643
Không tương thích không xác định Không tương thích
Dạng tiêm Gentamicin sulfate
Dạng tiêm Ceftobiprole medocaril sodium
4650
Lượng mưa ngay lập tức Không tương thích
Dạng tiêm Gentamicin sulfate 5 mg/ml
Dạng tiêm Ceftobiprole medocaril sodium 2 mg/ml
Glucose 5% 2269
Lượng mưa ngay lập tức Không tương thích
Dạng tiêm Gentamicin sulfate 5 mg/ml
Dạng tiêm Ceftobiprole medocaril sodium 2 mg/ml
Dung dịch Ringer’s lactate 2269
Lượng mưa ngay lập tức Không tương thích
Dạng tiêm Gentamicin sulfate 5 mg/ml
Dạng tiêm Ceftobiprole medocaril sodium 2 mg/ml
NaCl 0,9% 2269
Không tương thích không xác định Không tương thích
Dạng tiêm Gentamicin sulfate
Dạng tiêm Ceftobiprole medocaril sodium
3520
Tương thích
Dạng tiêm Gentamicin sulfate 5 mg/ml
Dạng tiêm Ceftolozane / tazobactam 10/5 mg/ml
Glucose 5% 3828
Không tương thích không xác định Không tương thích
Dạng tiêm Gentamicin sulfate
Dạng tiêm Ceftolozane / tazobactam
3643
Không tương thích không xác định Không tương thích
Dạng tiêm Gentamicin sulfate
Dạng tiêm Ceftolozane / tazobactam
3520
Tương thích
Dạng tiêm Gentamicin sulfate 5 mg/ml
Dạng tiêm Ceftolozane / tazobactam 10/5 mg/ml
NaCl 0,9% 3828
Không tương thích không xác định Không tương thích
Dạng tiêm Gentamicin sulfate
Dạng tiêm Ceftriaxone disodium
3523
Không tương thích không xác định Không tương thích
Dạng tiêm Gentamicin sulfate
Dạng tiêm Ceftriaxone disodium
3643
Không tương thích không xác định Không tương thích
Dạng tiêm Gentamicin sulfate
Dạng tiêm Ceftriaxone disodium
3520
Không tương thích không xác định Không tương thích
Dạng tiêm Gentamicin sulfate
Dạng tiêm Cefuroxime sodium
3643
Không tương thích không xác định Không tương thích
Dạng tiêm Gentamicin sulfate
Dạng tiêm Cefuroxime sodium
3520
Không tương thích không xác định Không tương thích
Dạng tiêm Gentamicin sulfate
Dạng tiêm Cefuroxime sodium
3687
Không tương thích không xác định Không tương thích
Dạng tiêm Gentamicin sulfate
Dạng tiêm Cefuzonam
3520
Tương thích
Dạng tiêm Gentamicin sulfate 0.8 mg/ml
Dạng tiêm Cimetidine hydrochloride 3 mg/ml
Glucose 5% 1201
Tương thích
Dạng tiêm Gentamicin sulfate 0.08 mg/ml
Dạng tiêm Cimetidine hydrochloride 1.2 & 5 mg/ml
NaCl 0,9% 1201
Tương thích
Dạng tiêm Gentamicin sulfate 0.08 mg/ml
Dạng tiêm Cimetidine hydrochloride 1.2 & 5 mg/ml
Glucose 5% 1201
Tương thích
Dạng tiêm Gentamicin sulfate 10 mg/ml
Dạng tiêm Ciprofloxacin lactate 2 mg/ml
NaCl 0,9% 289
Tương thích
Dạng tiêm Gentamicin sulfate 1.6 mg/ml
Dạng tiêm Ciprofloxacin lactate 2 mg/ml
Glucose 5% 285
Tương thích
Dạng tiêm Gentamicin sulfate 5 mg/ml
Dạng tiêm Cisatracurium besylate 0.1 >> 5 mg/ml
Glucose 5% 299
Không ổn định hóa học Không tương thích
Dạng tiêm Gentamicin sulfate
Dạng tiêm Cisplatin
3578
Tương thích
Dạng tiêm Gentamicin sulfate 12 mg/ml
Dạng tiêm Clindamycin phosphate 90 mg/ml
NaCl 0,9% 639
Tương thích
Dạng tiêm Gentamicin sulfate 0.67 mg/ml
Dạng tiêm Clindamycin phosphate 6 mg/ml
Glucose 5% 423
Tương thích
Dạng tiêm Gentamicin sulfate
Glucose 5% 434
Không tương thích không xác định Không tương thích
Dạng tiêm Gentamicin sulfate
Dạng tiêm Cefuzonam
3643
Tương thích
Dạng tiêm Gentamicin sulfate 1 mg/ml
Dạng tiêm Ciprofloxacin lactate 1.5 mg/ml
NaCl 0,9% 434
Tương thích
Dạng tiêm Gentamicin sulfate 1.6 mg/ml
Dạng tiêm Ciprofloxacin lactate 2 mg/ml
Glucose 5% 288
Tương thích
Dạng tiêm Gentamicin sulfate 1.6 mg/ml
Dạng tiêm Ciprofloxacin lactate 2 mg/ml
NaCl 0,9% 288
Tương thích
Dạng tiêm Gentamicin sulfate 1 mg/ml
Dạng tiêm Ciprofloxacin lactate 1.5 mg/ml
Glucose 5% 434
Tương thích
Dạng tiêm Gentamicin sulfate
Dạng tiêm Clindamycin phosphate
NaCl 0,9% 3526
Lượng mưa ngay lập tức Không tương thích
Dạng tiêm Gentamicin sulfate 40 mg/ml
Dạng tiêm Cloxacillin sodium 100 mg/ml
Nước cất pha tiêm 3012
Tương thích
Dạng tiêm Gentamicin sulfate 15 mg/ml
Dạng tiêm Cytarabine 16 mg/ml
NaCl 0,9% 132
Không tương thích
Dạng tiêm Gentamicin sulfate 2 & 10 mg/ml
Dinh dưỡng đường tĩnh mạch (có lipids) 4924
Tương thích
Dạng tiêm Gentamicin sulfate
Dạng tiêm Clindamycin phosphate
Glucose 5% 3526
Không tương thích không xác định Không tương thích
Dạng tiêm Gentamicin sulfate
Dạng tiêm Cloxacillin sodium
3520
Không tương thích không xác định Không tương thích
Dạng tiêm Gentamicin sulfate
Dạng tiêm Cytarabine
3580
Tương thích
Dạng tiêm Gentamicin sulfate 1,5 mg/ml
Dạng tiêm Daptomycin 19,2 mg/ml
NaCl 0,9% 1937
Tương thích
Dạng tiêm Gentamicin sulfate 0,05 mg/ml
Dinh dưỡng đường tĩnh mạch (hỗn hợp 2 thành phần) 4445
Không tương thích không xác định Không tương thích
Dạng tiêm Gentamicin sulfate
Dạng tiêm Cloxacillin sodium
3643
Tính không ổn định của nhũ tương sau 4 giờ Không tương thích
Dạng tiêm Gentamicin sulfate 2 mg/ml
Dinh dưỡng đường tĩnh mạch (có lipids) 4507
Không tương thích không xác định Không tương thích
Dạng tiêm Gentamicin sulfate
Dạng tiêm Dalteparin sodium
3643
Tương thích
Dạng tiêm Gentamicin sulfate
Dạng tiêm Daptomycin
2271
Tương thích
Dạng tiêm Gentamicin sulfate 10 mg/ml
Dinh dưỡng đường tĩnh mạch (hỗn hợp 2 thành phần) 316
Tương thích
Dạng tiêm Gentamicin sulfate
Dạng tiêm Dimenhydrinate
2087
Tương thích
Dạng tiêm Gentamicin sulfate 10 & 40 mg/ml
Dinh dưỡng đường tĩnh mạch (hỗn hợp 2 thành phần) 999
Không tương thích trực quan Không tương thích
Dạng tiêm Gentamicin sulfate
Dạng tiêm Daunorubicin/cytarabine liposomale
4354
Tương thích
Dạng tiêm Gentamicin sulfate 1 mg/ml
Dinh dưỡng đường tĩnh mạch (hỗn hợp 2 thành phần) 939
Độ đục ngay lập tức Không tương thích
Dạng tiêm Gentamicin sulfate
Dạng tiêm Daunorubicin/cytarabine liposomale 0,4 mg/mL
NaCl 0,9% 4654
Tương thích
Dạng tiêm Gentamicin sulfate 0.8 mg/ml
Dạng tiêm Diatrizoate meglumine 283 mg/ml
Không 1085
Tương thích
Dạng tiêm Gentamicin sulfate 2.4 & 40 mg/ml
Dạng tiêm Diltiazem hydrochloride 5 mg/ml
NaCl 0,9% 198
Tương thích
Dạng tiêm Gentamicin sulfate 5 mg/ml
Dạng tiêm Docetaxel 0.9 mg/ml
Glucose 5% 1754
Không tương thích không xác định Không tương thích
Dạng tiêm Gentamicin sulfate
Dạng tiêm Dopamine hydrochloride
3638
Tương thích
Dạng tiêm Gentamicin sulfate 5 mg/ml
Dinh dưỡng đường tĩnh mạch (hỗn hợp 2 thành phần) 301
Tương thích
Dạng tiêm Gentamicin sulfate 5 mg/ml
Dạng tiêm Doripenem 5 mg/ml
NaCl 0,9% 2262
Không tương thích không xác định Không tương thích
Dạng tiêm Gentamicin sulfate
NaHCO3 3520
Tương thích
Dạng tiêm Gentamicin sulfate 2 mg/ml
Dạng tiêm Dopamine hydrochloride 0.8 mg/ml
Glucose 5% 738
Sản xuất bong bóng khí Không tương thích
Dạng tiêm Gentamicin sulfate
NaHCO3 3643
Tương thích
Dạng tiêm Gentamicin sulfate 5 mg/ml
Dạng tiêm Dexmedetomidine 4 µg/ml
NaCl 0,9% 1712
Tương thích
Dạng tiêm Gentamicin sulfate 5 mg/ml
Dạng tiêm Doripenem 5 mg/ml
Glucose 5% 2262
Tương thích
Dạng tiêm Gentamicin sulfate 5 mg/ml
Dinh dưỡng đường tĩnh mạch (có lipids) 1415
Tương thích
Dạng tiêm Gentamicin sulfate 10 mg/ml
Dạng tiêm Doxapram hydrochloride 2 mg/ml
Glucose 5% 1802
Tương thích
Dạng tiêm Gentamicin sulfate 5 mg/ml
Dạng tiêm Doxorubicin hydrochloride liposome peg 0.4 mg/ml
Glucose 5% 251
Tương thích
Dạng tiêm Gentamicin sulfate 0.8 mg/ml
Dạng tiêm Enalaprilate 0.05 mg/ml
NaCl 0,9% 1315
Không tương thích không xác định Không tương thích
Dạng tiêm Gentamicin sulfate
Dạng tiêm Enoxaparin sodium
3643
Tương thích
Dạng tiêm Gentamicin sulfate 5 mg/ml
Dạng tiêm Eravacycline 0,6 mg/ml
NaCl 0,9% 4434
Không tương thích không xác định Không tương thích
Dạng tiêm Gentamicin sulfate
Dạng tiêm Erythromycin lactobionate
3674
Không tương thích không xác định Không tương thích
Dạng tiêm Gentamicin sulfate
Dạng tiêm Erythromycin lactobionate
3520
Không tương thích không xác định Không tương thích
Dạng tiêm Gentamicin sulfate
Dạng tiêm Erythromycin lactobionate
3643
Tương thích
Dạng tiêm Gentamicin sulfate 0,8 mg/ml
Dạng tiêm Esmolol hydrochloride 10 mg/ml
Glucose 5% 384
Tương thích
Dạng tiêm Gentamicin sulfate 5 mg/ml
Dạng tiêm Etoposide phosphate 5 mg/ml
Glucose 5% 1410
Tương thích
Dạng tiêm Gentamicin sulfate 5 mg/ml
Dạng tiêm Famotidine 2 mg/ml
NaCl 0,9% 215
Tương thích
Dạng tiêm Gentamicin sulfate 0,8 mg/ml
Dạng tiêm Famotidine
Glucose 5% 397
Tương thích
Dạng tiêm Gentamicin sulfate 5 mg/ml
Dạng tiêm Fenoldopam mesylate 80 µg/ml
NaCl 0,9% 1803
Tương thích
Dạng tiêm Gentamicin sulfate 10 mg/ml
Dạng tiêm Fentanyl citrate 50 µg/ml
Glucose 5% 63
Tương thích
Dạng tiêm Gentamicin sulfate 1.6 mg/ml
Dạng tiêm Filgrastim 40 µg/ml
Glucose 5% 104
Tương thích
Dạng tiêm Gentamicin sulfate 5 mg/ml
Dạng tiêm Filgrastim 30 µg/ml
Glucose 5% 244
Không tương thích không xác định Không tương thích
Dạng tiêm Gentamicin sulfate
Dạng tiêm Flucloxacillin sodium
3643
Lượng mưa ngay lập tức Không tương thích
Dạng tiêm Gentamicin sulfate
Dạng tiêm Flucloxacillin sodium
3522
Tương thích
Dạng tiêm Gentamicin sulfate 1 mg/ml
Dạng tiêm Fluconazole 2 mg/ml
Không 256
Tương thích
Dạng tiêm Gentamicin sulfate 4 mg/ml
Dạng tiêm Fluconazole 2 mg/ml
NaCl 0,9% 496
Tương thích
Dạng tiêm Gentamicin sulfate 5 mg/ml
Dạng tiêm Fludarabine phosphate 1 mg/ml
Glucose 5% 492
Tương thích
Dạng tiêm Gentamicin sulfate 2 mg/ml
Dạng tiêm Foscarnet sodium 24 mg/ml
NaCl 0,9% 1135
Tương thích
Dạng tiêm Gentamicin sulfate 2 mg/ml
Dạng tiêm Foscarnet sodium 24 mg/ml
Glucose 5% 1135
Tương thích
Dạng tiêm Gentamicin sulfate 4 mg/ml
Dạng tiêm Foscarnet sodium 24 mg/ml
Không 73
Tương thích
Dạng tiêm Gentamicin sulfate 10 mg/ml
Dung dịch Ringer’s lactate 4603
Tương thích
Dạng tiêm Gentamicin sulfate 5 mg/ml
Dạng tiêm Fosfomycin 30 mg/ml
NaCl 0,9% 4055
Lượng mưa ngay lập tức Không tương thích
Dạng tiêm Gentamicin sulfate 0,4 mg/ml
Dinh dưỡng đường tĩnh mạch (có lipids) 4440
Tương thích
Dạng tiêm Gentamicin sulfate 40 mg/ml
Dinh dưỡng đường tĩnh mạch (có lipids) 673
Tương thích
Dạng tiêm Gentamicin sulfate 5 mg/ml
Dạng tiêm Fosfomycin 30 mg/ml
Glucose 5% 4055
Lượng mưa ngay lập tức Không tương thích
Dạng tiêm Gentamicin sulfate 10 mg/ml
Dạng tiêm Furosemide 10 mg/ml
789
Lượng mưa ngay lập tức Không tương thích
Dạng tiêm Gentamicin sulfate 1,6 mg/ml
Dạng tiêm Furosemide 0,8 mg/ml
Glucose 5% 367
Lượng mưa ngay lập tức Không tương thích
Dạng tiêm Gentamicin sulfate 1,6 mg/ml
Dạng tiêm Furosemide 0,8 mg/ml
NaCl 0,9% 367
Độ đục ngay lập tức Không tương thích
Dạng tiêm Gentamicin sulfate 6.4 mg/ml
Dạng tiêm Furosemide 5 mg/ml
805
Lượng mưa sau 2 giờ Không tương thích
Dạng tiêm Gentamicin sulfate 8 mg/ml
Dạng tiêm Furosemide 1 mg/ml
NaCl 0,9% 1232
Tương thích
Dạng tiêm Gentamicin sulfate 5 mg/ml
Dạng tiêm Gemcitabine hydrochloride 10 mg/ml
NaCl 0,9% 1423
Tương thích
Dạng tiêm Gentamicin sulfate 1.5 mg/ml
Dạng tiêm Granisetron hydrochloride 1 mg/ml
NaCl 0,9% 57
Tương thích
Dạng tiêm Gentamicin sulfate 1 & 2 mg/ml
Dạng tiêm Heparin sodium 2500 UI/ml
4612
Lượng mưa ngay lập tức Không tương thích
Dạng tiêm Gentamicin sulfate 4 >> 40 mg/ml
Dạng tiêm Heparin sodium 10 >> 40 UI/ml
1258
Lượng mưa ngay lập tức Không tương thích
Dạng tiêm Gentamicin sulfate
Dạng tiêm Heparin sodium
1022
Không tương thích không xác định Không tương thích
Dạng tiêm Gentamicin sulfate 2 mg/ml
Dạng tiêm Heparin sodium 50 UI/ml
Không 317
Không tương thích không xác định Không tương thích
Dạng tiêm Gentamicin sulfate
Dạng tiêm Heparin sodium
3643
Không tương thích không xác định Không tương thích
Dạng tiêm Gentamicin sulfate
Dạng tiêm Heparin sodium
3520
Không tương thích không xác định Không tương thích
Dạng tiêm Gentamicin sulfate
Dạng tiêm Heparin sodium
3540
Độ đục ngay lập tức Không tương thích
Dạng tiêm Gentamicin sulfate 3 mg/ml
Dạng tiêm Heparin sodium 2500 UI/ml
4612
Lượng mưa ngay lập tức Không tương thích
Dạng tiêm Gentamicin sulfate 4 & 5 mg/ml
Dạng tiêm Heparin sodium 2500 UI/ml
4612
Tương thích
Dạng tiêm Gentamicin sulfate 5 mg/ml
Dạng tiêm Hetastarch 60 mg/ml
dung môi cụ thể 1721
Lượng mưa ngay lập tức Không tương thích
Dạng tiêm Gentamicin sulfate 0.8 mg/ml
Dạng tiêm Hetastarch 60 mg/ml
NaCl 0,9% 472
Tương thích
Dạng tiêm Gentamicin sulfate 0.8 mg/ml
Dạng tiêm Hydromorphone hydrochloride 0.2 mg/ml
Glucose 5% 405
Thay đổi màu sắc Không tương thích
Dạng tiêm Gentamicin sulfate 3 mg/ml
Dạng tiêm Idarubicin hydrochloride 1 mg/ml
NaCl 0,9% 491
Lượng mưa ngay lập tức Không tương thích
Dạng tiêm Gentamicin sulfate 1 mg/ml
Dạng tiêm Indomethacin sodium trihydrate 0,5 & 1 mg/ml
Glucose 5% 494
Lượng mưa sau 15 phút Không tương thích
Dạng tiêm Gentamicin sulfate 1 mg/ml
Dạng tiêm Indomethacin sodium trihydrate 0,5 & 1 mg/ml
Glucose 5% 1745
Tương thích
Dạng tiêm Gentamicin sulfate 1.2 >> 2 mg/ml
Dạng tiêm Insulin 0.2 UI/ml
NaCl 0,9% 129
Tương thích
Dạng tiêm Gentamicin sulfate 0.8 mg/ml
Dạng tiêm Iohexol 300 mg I/ml
Không 1085
Lượng mưa ngay lập tức Không tương thích
Dạng tiêm Gentamicin sulfate 0.8 mg/ml
Dạng tiêm Ioxaglate 320 mg I/ml
Không 1085
Tương thích
Dạng tiêm Gentamicin sulfate 5 mg/ml
Dạng tiêm Isavuconazonium sulfate 1.5 mg/ml
Glucose 5% 3829
Tương thích
Dạng tiêm Gentamicin sulfate 5 mg/ml
Dạng tiêm Isavuconazonium sulfate 1.5 mg/ml
NaCl 0,9% 3829
Tương thích
Dạng tiêm Gentamicin sulfate 40 mg/ml
Dạng tiêm Ketamine hydrochloride 50 mg/ml
2109
Tương thích
Dạng tiêm Gentamicin sulfate 0.8 mg/ml
Dạng tiêm Labetalol hydrochloride 1 mg/ml
Glucose 5% 386
Tương thích
Dạng tiêm Gentamicin sulfate 5 mg/ml
Dạng tiêm Lansoprazole 0.55 mg/ml
NaCl 0,9% 1625
Tương thích
Dạng tiêm Gentamicin sulfate 10 mg/ml
Dạng tiêm Levofloxacine 5 mg/ml
Glucose 5% 1072
Tương thích
Dạng tiêm Gentamicin sulfate 0,75 mg/ml
Dạng tiêm Linezolid 1,80 mg/ml
2353
Tương thích
Dạng tiêm Gentamicin sulfate 5 mg/ml
Dạng tiêm Linezolid 2 mg/ml
Không 1925
Tương thích
Dạng tiêm Gentamicin sulfate 3 mg/ml
Dạng tiêm Lorazepam 0.33 mg/ml
NaCl 0,9% 186
Tương thích
Dạng tiêm Gentamicin sulfate 0.8 mg/ml
Dạng tiêm Magnesium sulfate 16.67 >> 100 mg/ml
Glucose 5% 1047
Tương thích
Dạng tiêm Gentamicin sulfate 5 mg/ml
Dạng tiêm Melphalan 0.1 mg/ml
NaCl 0,9% 169
Tương thích
Dạng tiêm Gentamicin sulfate 40 mg/ml
Dạng tiêm Meropenem 50 mg/ml
Nước cất pha tiêm 4319
Tương thích
Dạng tiêm Gentamicin sulfate 0.8 mg/ml
Dạng tiêm Meropenem 1 & 20 mg/ml
NaCl 0,9% 266
Tương thích
Dạng tiêm Gentamicin sulfate 4 mg/ml
Dạng tiêm Meropenem 1 & 50 mg/ml
NaCl 0,9% 266
Tương thích
Dạng tiêm Gentamicin sulfate 30 mg/ml
Dạng tiêm Meropenem 10 mg/ml
NaCl 0,9% 2335
Tương thích
Dạng tiêm Gentamicin sulfate 0,8 & 1,2 mg/ml
Dạng tiêm Metronidazole 5 mg/ml
Không 1243
Tương thích
Dạng tiêm Gentamicin sulfate 0.8 mg/ml
Dạng tiêm Metronidazole 5 mg/ml
Không 1035
Tương thích
Dạng tiêm Gentamicin sulfate
Dạng tiêm Metronidazole
3594
Tương thích
Dạng tiêm Gentamicin sulfate 3 mg/ml
Dạng tiêm Midazolam hydrochloride 5 mg/ml
Không 186
Tương thích
Dạng tiêm Gentamicin sulfate 10 mg/ml
Dạng tiêm Midazolam hydrochloride 1 mg/ml
Glucose 5% 176
Tương thích
Dạng tiêm Gentamicin sulfate 0.8 mg/ml
Dạng tiêm Midazolam hydrochloride 0.05 >> 0.4 mg/ml
NaCl 0,9% 1888
Không tương thích không xác định Không tương thích
Dạng tiêm Gentamicin sulfate
Dạng tiêm Mitomycin
4471
Không ổn định hóa học Không tương thích
Dạng tiêm Gentamicin sulfate
Dạng tiêm Mitomycin
3128
Tương thích
Dạng tiêm Gentamicin sulfate 1.2 & 2 mg/ml
Dạng tiêm Morphine sulfate 1 mg/ml
NaCl 0,9% 406
Tương thích
Dạng tiêm Gentamicin sulfate 0.8 mg/ml
Dạng tiêm Morphine sulfate 1 mg/ml
Glucose 5% 405
Không tương thích không xác định Không tương thích
Dạng tiêm Gentamicin sulfate
Dạng tiêm Moxalactam
3643
Không tương thích không xác định Không tương thích
Dạng tiêm Gentamicin sulfate
Dạng tiêm Moxalactam
3520
Tương thích
Dạng tiêm Gentamicin sulfate 40 mg/ml
Dạng tiêm N-acetylcysteine 200 mg/ml
Không 3766
Không tương thích không xác định Không tương thích
Dạng tiêm Gentamicin sulfate
Dạng tiêm Nadroparin
3643
Không tương thích không xác định Không tương thích
Dạng tiêm Gentamicin sulfate
Dạng tiêm Nafcillin sodium
3643
Không tương thích không xác định Không tương thích
Dạng tiêm Gentamicin sulfate
Dạng tiêm Nafcillin sodium
3520
Tương thích
Dạng tiêm Gentamicin sulfate 40 mg/ml
Dạng tiêm Naloxone hydrochloride 0.4 mg/ml
Không 3408
Tương thích
Dạng tiêm Gentamicin sulfate 4.17 mg/ml
Dạng tiêm Nefopam 0.16 mg/ml
NaCl 0,9% 4254
Tương thích
Dạng tiêm Gentamicin sulfate 4.17 mg/ml
Dạng tiêm Nefopam 0.16 mg/ml
Glucose 5% 4254
Tương thích
Dạng tiêm Gentamicin sulfate 0.8 mg/ml
Dạng tiêm Nicardipine hydrochloride 0.1 mg/ml
Glucose 5% 1490
Tương thích
Dạng tiêm Gentamicin sulfate 0.8 mg/ml
Dạng tiêm Nicardipine hydrochloride 0.1 mg/ml
NaCl 0,9% 1490
Tương thích
Dạng tiêm Gentamicin sulfate 0,8 mg/ml
Dạng tiêm Ofloxacin 2 mg/ml
Không 889
Tương thích
Dạng tiêm Gentamicin sulfate 5 mg/ml
Dạng tiêm Ondansetron hydrochloride 1 mg/ml
NaCl 0,9% 334
Tương thích
Dạng tiêm Gentamicin sulfate 5 mg/ml
Dạng tiêm Oritavancin 0.8 >>2 mg/ml
Glucose 5% 3152
Không tương thích không xác định Không tương thích
Dạng tiêm Gentamicin sulfate
Dạng tiêm Oxacillin sodium
3643
Không tương thích không xác định Không tương thích
Dạng tiêm Gentamicin sulfate
Dạng tiêm Oxacillin sodium
3520
Tương thích
Dạng tiêm Gentamicin sulfate 40 mg/ml
Dạng tiêm Oxycodone hydrochloride 1 mg/ml
NaCl 0,9% 4842
Tương thích
Dạng tiêm Gentamicin sulfate 5 mg/ml
Dạng tiêm Paclitaxel 1.2 mg/ml
Glucose 5% 248
Tương thích
Dạng tiêm Gentamicin sulfate 5 mg/ml
Dạng tiêm Palonosetron hydrochloride 50 µg/ml
Glucose 5% 2228
Tương thích
Dạng tiêm Gentamicin sulfate 2 mg/ml
Dạng tiêm Pancuronium bromide 0.05 mg/ml
Glucose 5% 402
Lượng mưa ngay lập tức Không tương thích
Dạng tiêm Gentamicin sulfate
Dạng tiêm Pantoprazole sodium
2090
Tương thích
Dạng tiêm Gentamicin sulfate 40 mg/ml
Dạng tiêm Paracetamol 10 mg/ml
4742
Lượng mưa ngay lập tức Không tương thích
Dạng tiêm Gentamicin sulfate 5 mg/ml
Dạng tiêm Pemetrexed disodium 20 mg/ml
1953
Không tương thích không xác định Không tương thích
Dạng tiêm Gentamicin sulfate
Dạng tiêm Penicillin G potassium
3643
Không tương thích không xác định Không tương thích
Dạng tiêm Gentamicin sulfate
Dạng tiêm Penicillin G potassium
3520
Không tương thích không xác định Không tương thích
Dạng tiêm Gentamicin sulfate
Dạng tiêm Penicillin G sodium
3643
Không tương thích không xác định Không tương thích
Dạng tiêm Gentamicin sulfate
Dạng tiêm Penicillin G sodium
3520
Tương thích
Dạng tiêm Gentamicin sulfate 10 mg/ml
Dạng tiêm Pentoxifyllin 5 mg/ml
NaCl 0,9% 4543
Tương thích
Dạng tiêm Gentamicin sulfate 0.8 mg/ml
Dạng tiêm Pethidine hydrochloride 10 mg/ml
Glucose 5% 405
Lượng mưa ngay lập tức Không tương thích
Dạng tiêm Gentamicin sulfate 10 mg/ml
Dạng tiêm Phenytoin sodium 50 mg/ml
789
Tương thích
Dạng tiêm Gentamicin sulfate 20 mg/ml
Dạng tiêm Phloroglucinol 2,5 mg/ml
3791
Không tương thích không xác định Không tương thích
Dạng tiêm Gentamicin sulfate
Dạng tiêm Piperacillin sodium
3520
Không tương thích không xác định Không tương thích
Dạng tiêm Gentamicin sulfate
Dạng tiêm Piperacillin sodium
3643
Không tương thích không xác định Không tương thích
Dạng tiêm Gentamicin sulfate
Dạng tiêm Piperacillin sodium / tazobactam
3520
Không ổn định hóa học Không tương thích
Dạng tiêm Gentamicin sulfate
Dạng tiêm Piperacillin sodium / tazobactam
3586
Không tương thích không xác định Không tương thích
Dạng tiêm Gentamicin sulfate
Dạng tiêm Piperacillin sodium / tazobactam
3643
Tương thích
Dạng tiêm Gentamicin sulfate
Dạng tiêm Posaconazole
4380
Tương thích
Dạng tiêm Gentamicin sulfate 30 mg/ml
Dạng tiêm Potassium chloride 20 mEq/l
NaCl 0,45% Glucose 5% 2335
Sự mất ổn định tức thì của nhũ tương Không tương thích
Dạng tiêm Gentamicin sulfate 2 mg/ml
Dạng tiêm Propofol
660
Không tương thích không xác định Không tương thích
Dạng tiêm Gentamicin sulfate 40 mg/ml
Dạng tiêm Propofol
4524
Lượng mưa ngay lập tức Không tương thích
Dạng tiêm Gentamicin sulfate 5 mg/ml
Dạng tiêm Propofol 10 mg/ml
Không 300
Tương thích
Dạng tiêm Gentamicin sulfate 5 mg/ml
Dạng tiêm Remifentanil hydrochloride 25 & 250 µg/ml
NaCl 0,9% 59
Tương thích
Dạng tiêm Gentamicin sulfate 40 mg/ml
Dạng tiêm Salbutamol sulfate 1 mg/ml
Không 3216
Tương thích
Dạng tiêm Gentamicin sulfate 5 mg/ml
Dạng tiêm Sargramostim 10 µg/ml
NaCl 0,9% 335
Tương thích
Dạng tiêm Gentamicin sulfate 10 mg/ml
Dạng tiêm Sildenafil citrate 0,6 mg/ml
Glucose 5% 4845
Tương thích
Dạng tiêm Gentamicin sulfate 2,4 mg/ml
Dạng tiêm Sodium bicarbonate 40 mg/ml
Không 3122
Sản xuất bong bóng khí Không tương thích
Dạng tiêm Gentamicin sulfate
Dạng tiêm Sodium bicarbonate
3643
Tương thích
Dạng tiêm Gentamicin sulfate 2.5 mg/ml
Dạng tiêm Sodium citrate 40 mg/ml
Nước cất pha tiêm 3952
Tương thích
Dạng tiêm Gentamicin sulfate 40 mg/ml
Dạng tiêm Sugammadex 100 mg/ml
Không 3372
Tương thích
Dạng tiêm Gentamicin sulfate 5 mg/ml
Dạng tiêm Sulbactam/durlobactam 15/15 mg/ml
NaCl 0,9% 4801
Tương thích
Dạng tiêm Gentamicin sulfate 4 mg/ml
Dạng tiêm Tacrolimus 1000 µg/ml
NaCl 0,9% 479
Tương thích
Dạng tiêm Gentamicin sulfate
NaCl 0,9% 1704
Tương thích
Dạng tiêm Gentamicin sulfate
NaCl 0,9% 434
Không tương thích không xác định Không tương thích
Dạng tiêm Gentamicin sulfate
Dạng tiêm Sodium bicarbonate
3520
Tương thích
Dạng tiêm Gentamicin sulfate 1 >> 5 mg/ml
Dạng tiêm Sodium citrate 40 mg/ml
Không 2019
Độ đục ngay lập tức Không tương thích
Dạng tiêm Gentamicin sulfate 5 mg/ml
Dạng tiêm Tedizolid phosphate 0.8 mg/ml
NaCl 0,9% 3827
Không tương thích không xác định Không tương thích
Dạng tiêm Gentamicin sulfate
Dạng tiêm Teicoplanine
3656
Tương thích
Dạng tiêm Gentamicin sulfate 5 mg/ml
Dạng tiêm Telavancin hydrochloride 7.5 mg/ml
Dung dịch Ringer’s lactate 3254
Tương thích
Dạng tiêm Gentamicin sulfate 5 mg/ml
Dạng tiêm Telavancin hydrochloride 7.5 mg/ml
NaCl 0,9% 3254
Tương thích
Dạng tiêm Gentamicin sulfate 5 mg/ml
Dạng tiêm Telavancin hydrochloride 7.5 mg/ml
Glucose 5% 3254
Tương thích
Dạng tiêm Gentamicin sulfate 6 mg/ml
Dạng tiêm Temocilline 83.33 mg/ml
Nước cất pha tiêm 2231
Không tương thích không xác định Không tương thích
Dạng tiêm Gentamicin sulfate
Dạng tiêm Temocilline
3643
Không tương thích không xác định Không tương thích
Dạng tiêm Gentamicin sulfate
Dạng tiêm Temocilline
3520
Không tương thích không xác định Không tương thích
Dạng tiêm Gentamicin sulfate
Dạng tiêm Temocilline
2296
Tương thích
Dạng tiêm Gentamicin sulfate 5 mg/ml
Dạng tiêm Teniposide 0.1 mg/ml
Glucose 5% 905
Tương thích
Dạng tiêm Gentamicin sulfate 2 mg/ml
Dạng tiêm Theophylline 4 mg/ml
Không 317
Lượng mưa ngay lập tức Không tương thích
Dạng tiêm Gentamicin sulfate 40 mg/ml
Dạng tiêm Thiopental sodium 25 mg/ml
NaCl 0,9% 3767
Tương thích
Dạng tiêm Gentamicin sulfate 5 mg/ml
Dạng tiêm Thiotepa 1 mg/ml
Glucose 5% 249
Không ổn định hóa học Không tương thích
Dạng tiêm Gentamicin sulfate
Dạng tiêm Ticarcillin / clavulanic acid
3587
Không tương thích không xác định Không tương thích
Dạng tiêm Gentamicin sulfate
Dạng tiêm Ticarcillin / clavulanic acid
3643
Không tương thích không xác định Không tương thích
Dạng tiêm Gentamicin sulfate
Dạng tiêm Ticarcillin / clavulanic acid
3520
Tương thích
Dạng tiêm Gentamicin sulfate
Dạng tiêm Tigecycline
NaCl 0,9% 3332
Tương thích
Dạng tiêm Gentamicin sulfate 6 mg/ml
Dạng tiêm Vancomycin hydrochloride 10 mg/ml
Glucose 5% 3385
Tương thích
Dạng tiêm Gentamicin sulfate 1.2 mg/ml
Dạng tiêm Vasopressin 0.2 UI/ml
NaCl 0,9% 2017
Tương thích
Dạng tiêm Gentamicin sulfate 2 mg/ml
Dạng tiêm Vecuronium bromide 0.1 mg/ml
Glucose 5% 402
Tương thích
Dạng tiêm Gentamicin sulfate 0.16 mg/ml
Dạng tiêm Verapamil hydrochloride 0.08 mg/ml
Glucose 5% 1057
Tương thích
Dạng tiêm Gentamicin sulfate 0.16 mg/ml
Dạng tiêm Verapamil hydrochloride 0.08 mg/ml
NaCl 0,9% 1057
Tương thích
Dạng tiêm Gentamicin sulfate 5 mg/ml
Dạng tiêm Vinorelbine tartrate 1 mg/ml
NaCl 0,9% 84
Độ đục ngay lập tức Không tương thích
Dạng tiêm Gentamicin sulfate 1.6 mg/ml
Dạng tiêm Warfarin sodium 2 mg/ml
Glucose 5% 315
Tương thích
Dạng tiêm Gentamicin sulfate 2 mg/ml
Dạng tiêm Zidovudine 4 mg/ml
Glucose 5% 337

  Mentions Légales