Dernière mise à jour :
18/03/2026
Antibiotique   Gentamicin sulfate  
injectable
Collyre
Stabilité des solutions Stabilité en mélange Facteur influençant la stabilité Compatibilités Voie d’administration Bibliographie pdf
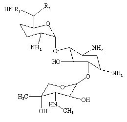
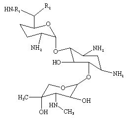
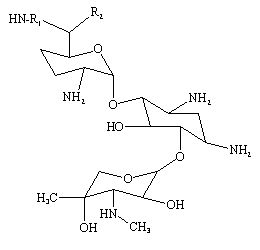
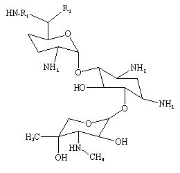
   Structure chimique  

Noms commerciaux   Noms commerciaux     

Les noms commerciaux sont donnés à titre indicatif et la composition en excipients peut être différente selon les pays et selon les laboratoires

Azupel Pérou
Cidomycin Egypte, Grande Bretagne, Tunisie
Dabroson Grèce
Epigent Egypte
Garalone Portugal
Garamicina Brésil, Colombie, Equateur, Mexique
Garamycin Croatie, Danemark, Egypte, Emirats Arabes Unis , Grèce, Inde, Norvège, Pays bas, Pologne, Suisse
Genmisin Turquie
Gensif Turquie
Gensumycin Finlande, Norvège, Suède
Genta-Gobens Espagne
Gentalline Maroc
Gentamen Maroc
Genticin Emirats Arabes Unis , Grande Bretagne, Irlande
Gentreks Turquie
Hexamycin Danemark
Plurisemina Argentine
Refobacin Allemagne, Autriche, Colombie, Egypte
Rupegen Argentine
Compatibilités   injectable   Compatibilités : Gentamicin sulfate              
Cet écran indique les compatibilités ou incompatibilités avec, dans ce cas, le type d'incompatibilité (précipitation, changement de couleur, modification d'une émulsion, etc.). Les compatibilités présentées ici sont pour la plupart uniquement physiques, la stabilité chimique de chaque molécule étant rarement évaluée. L'évaluation de ces mélanges a été étudiée pour envisager la possibilité d'une administration en site Y au patient. Ces données ne peuvent pas être utilisées pour préparer des mélanges à l'avance dans des poches de perfusion ou des seringues. Ce type d'informations est disponible dans l'écran « Stabilité en mélange ».
Molécule Solvant Bibliographie
Compatible
injectable Gentamicin sulfate 1.6 mg/ml
injectable Aciclovir sodium 5 mg/ml
Glucose 5% 336
Précipitation immédiate Incompatible
injectable Gentamicin sulfate 30 mg/ml
injectable Aciclovir sodium 5 mg/ml
Chlorure de sodium 0,9% 2335
Précipitation en 1 heure Incompatible
injectable Gentamicin sulfate 5 mg/ml
injectable Allopurinol sodium 3 mg/ml
Chlorure de sodium 0,9% 307
Compatible
injectable Gentamicin sulfate 1 mg/ml
injectable Alprostadil 15 µg/ml
3201
Compatible
injectable Gentamicin sulfate 5 mg/ml
injectable Amifostine 10 mg/ml
Glucose 5% 3
Compatible
injectable Gentamicin sulfate 0.8 mg/ml
injectable Amiodarone hydrochloride 4 mg/ml
Chlorure de sodium 0,9% 385
Compatible
injectable Gentamicin sulfate 0.8 mg/ml
injectable Amiodarone hydrochloride 4 mg/ml
Glucose 5% 385
Incompatibilité non précisée Incompatible
injectable Gentamicin sulfate
injectable Amoxicillin sodium
3643
Incompatibilité non précisée Incompatible
injectable Gentamicin sulfate
injectable Amoxicillin sodium
3520
Instabilité chimique Incompatible
injectable Gentamicin sulfate
injectable Amoxicillin sodium
3527
Incompatibilité non précisée Incompatible
injectable Gentamicin sulfate
injectable Amoxicillin sodium / clavulanic acid
3643
Incompatibilité non précisée Incompatible
injectable Gentamicin sulfate
injectable Amoxicillin sodium / clavulanic acid
3545
Incompatibilité non précisée Incompatible
injectable Gentamicin sulfate
injectable Amoxicillin sodium / clavulanic acid
3520
Compatible
injectable Gentamicin sulfate 40 mg/ml
injectable Amoxicillin sodium / clavulanic acid 100/10 mg/ml
3824
Précipitation immédiate Incompatible
injectable Gentamicin sulfate 5 mg/ml
injectable Amphotericin B cholesteryl sulfate complex 0,83 mg/ml
Glucose 5% 921
Incompatibilité non précisée Incompatible
injectable Gentamicin sulfate
injectable Ampicillin sodium
3643
Incompatibilité non précisée Incompatible
injectable Gentamicin sulfate
injectable Ampicillin sodium
3520
Incompatibilité non précisée Incompatible
injectable Gentamicin sulfate
injectable Ampicillin sodium - sulbactam sodium
3643
Incompatibilité non précisée Incompatible
injectable Gentamicin sulfate
injectable Ampicillin sodium - sulbactam sodium
3520
Compatible
injectable Gentamicin sulfate 5 mg/ml
injectable Amsacrine 1 mg/ml
Glucose 5% 253
Compatible
injectable Gentamicin sulfate 5 mg/ml
injectable Anidulafungin 0.5 mg/ml
Glucose 5% 1982
Compatible
injectable Gentamicin sulfate 0,8 mg/ml
injectable Atosiban 0,75 mg/ml
4642
Compatible
injectable Gentamicin sulfate 2 mg/ml
injectable Atracurium besylate 0.5 mg/ml
Glucose 5% 402
Précipitation immédiate Incompatible
injectable Gentamicin sulfate 21 mg/ml
injectable Azithromycine 2 mg/ml
Chlorure de sodium 0,9% 1800
Compatible
injectable Gentamicin sulfate 5 mg/ml
injectable Aztreonam 40 mg/ml
Glucose 5% 99
Compatible
injectable Gentamicin sulfate 0.2 & 0.8 mg/ml
injectable Aztreonam 10 & 20 mg/ml
Chlorure de sodium 0,9% 19
Compatible
injectable Gentamicin sulfate 0.2 & 0.8 mg/ml
injectable Aztreonam 10 & 20 mg/ml
Glucose 5% 19
Compatible
injectable Gentamicin sulfate 5 mg/ml
injectable Bivalirudin 5 mg/ml
Glucose 5% 1713
Compatible
injectable Gentamicin sulfate 10 mg/ml
injectable Caffeine 10 mg/ml
Aucun 3964
Compatible
injectable Gentamicin sulfate 10 mg/ml
injectable Caffeine 10 mg/ml
Chlorure de sodium 0,9% 4837
Compatible
injectable Gentamicin sulfate 10 mg/ml
injectable Caffeine citrate 20 mg/ml
Chlorure de sodium 0,9% 4837
Incompatibilité non précisée Incompatible
injectable Gentamicin sulfate
injectable Calcium gluconate
3644
Incompatible
injectable Gentamicin sulfate
injectable Calcium gluconate
4964
Compatible
injectable Gentamicin sulfate 5 mg/ml
injectable Caspofungin acetate 0,7 mg/ml
Chlorure de sodium 0,9% 2247
Incompatibilité non précisée Incompatible
injectable Gentamicin sulfate
injectable Cefalotin sodium
3520
Incompatibilité non précisée Incompatible
injectable Gentamicin sulfate
injectable Cefalotin sodium
3643
Précipitation immédiate Incompatible
injectable Gentamicin sulfate
injectable Cefamandole nafate 2 >> 100 mg/ml
Glucose 5% 612
Incompatibilité non précisée Incompatible
injectable Gentamicin sulfate
injectable Cefamandole nafate
3643
Incompatibilité non précisée Incompatible
injectable Gentamicin sulfate
injectable Cefamandole nafate
3520
Incompatibilité non précisée Incompatible
injectable Gentamicin sulfate
injectable Cefamandole nafate
3546
Précipitation immédiate Incompatible
injectable Gentamicin sulfate
injectable Cefamandole nafate 2 >> 100 mg/ml
Chlorure de sodium 0,9% 612
Incompatibilité non précisée Incompatible
injectable Gentamicin sulfate
injectable Cefazolin sodium
3520
Incompatibilité non précisée Incompatible
injectable Gentamicin sulfate
injectable Cefazolin sodium
3643
Incompatibilité non précisée Incompatible
injectable Gentamicin sulfate
injectable Cefepime dihydrochloride
3520
Compatible
injectable Gentamicin sulfate 6 mg/ml
injectable Cefepime dihydrochloride 125 mg/ml
Eau pour préparation injectable 2141
Incompatibilité non précisée Incompatible
injectable Gentamicin sulfate
injectable Cefepime dihydrochloride
3548
Incompatibilité non précisée Incompatible
injectable Gentamicin sulfate
injectable Cefepime dihydrochloride
3643
Compatible
injectable Gentamicin sulfate 5 mg/ml
injectable Cefiderocol sulfate tosylate 20 mg/mL
Glucose 5% 4528
Compatible
injectable Gentamicin sulfate 5 mg/ml
injectable Cefiderocol sulfate tosylate 20 mg/mL
Chlorure de sodium 0,9% 4528
Incompatibilité non précisée Incompatible
injectable Gentamicin sulfate
injectable Cefmenoxime
3520
Incompatibilité non précisée Incompatible
injectable Gentamicin sulfate
injectable Cefmenoxime
3643
Incompatibilité non précisée Incompatible
injectable Gentamicin sulfate
injectable Cefmetazole sodium
3520
Incompatibilité non précisée Incompatible
injectable Gentamicin sulfate
injectable Cefmetazole sodium
3643
Incompatibilité non précisée Incompatible
injectable Gentamicin sulfate
injectable Cefonicid sodium
3643
Incompatibilité non précisée Incompatible
injectable Gentamicin sulfate
injectable Cefonicid sodium
3520
Incompatibilité non précisée Incompatible
injectable Gentamicin sulfate
injectable Cefoperazone sodium
3544
Incompatibilité non précisée Incompatible
injectable Gentamicin sulfate
injectable Cefoperazone sodium
3643
Précipitation immédiate Incompatible
injectable Gentamicin sulfate 0.8 mg/ml
injectable Cefoperazone sodium 10 mg/ml
Glucose 5% 1206
Incompatibilité non précisée Incompatible
injectable Gentamicin sulfate
injectable Cefoperazone sodium
3520
Incompatibilité non précisée Incompatible
injectable Gentamicin sulfate
injectable Ceforanide
3643
Incompatibilité non précisée Incompatible
injectable Gentamicin sulfate
injectable Ceforanide
3520
Incompatibilité non précisée Incompatible
injectable Gentamicin sulfate
injectable Cefotaxime sodium
3520
Incompatibilité non précisée Incompatible
injectable Gentamicin sulfate
injectable Cefotaxime sodium
3643
Incompatibilité non précisée Incompatible
injectable Gentamicin sulfate
injectable Cefoxitin sodium
3643
Incompatibilité non précisée Incompatible
injectable Gentamicin sulfate
injectable Cefoxitin sodium
3520
Compatible
injectable Gentamicin sulfate 1 mg/ml
injectable Cefpirome sulfate 50 mg/ml
Chlorure de sodium 0,9% 280
Compatible
injectable Gentamicin sulfate 1 mg/ml
injectable Cefpirome sulfate 50 mg/ml
Ringer lactate 280
Compatible
injectable Gentamicin sulfate 1 mg/ml
injectable Cefpirome sulfate 50 mg/ml
Chlorure de sodium 0,45% 280
Incompatibilité non précisée Incompatible
injectable Gentamicin sulfate
injectable Cefpirome sulfate
3643
Incompatibilité non précisée Incompatible
injectable Gentamicin sulfate
injectable Cefpirome sulfate
3677
Compatible
injectable Gentamicin sulfate 1 mg/ml
injectable Cefpirome sulfate 50 mg/ml
Glucose 5% 280
Incompatibilité non précisée Incompatible
injectable Gentamicin sulfate
injectable Cefpirome sulfate
3520
Compatible
injectable Gentamicin sulfate 5 mg/ml
injectable Ceftaroline fosamil 2,22 mg/ml
Chlorure de sodium 0,9% 3249
Compatible
injectable Gentamicin sulfate 5 mg/ml
injectable Ceftaroline fosamil 2,22 mg/ml
Ringer lactate 3249
Compatible
injectable Gentamicin sulfate 5 mg/ml
injectable Ceftaroline fosamil 2,22 mg/ml
Glucose 5% 3249
Incompatibilité non précisée Incompatible
injectable Gentamicin sulfate
injectable Ceftaroline fosamil
3643
Incompatibilité non précisée Incompatible
injectable Gentamicin sulfate
injectable Ceftaroline fosamil
3520
Incompatibilité non précisée Incompatible
injectable Gentamicin sulfate
injectable Ceftazidime
3543
Incompatibilité non précisée Incompatible
injectable Gentamicin sulfate
injectable Ceftazidime
3520
Incompatibilité non précisée Incompatible
injectable Gentamicin sulfate
injectable Ceftazidime
3643
Compatible
injectable Gentamicin sulfate 6 mg/ml
injectable Ceftazidime 125 mg/ml
Eau pour préparation injectable 2141
Compatible
injectable Gentamicin sulfate 6 mg/ml
injectable Ceftazidime 83.3 mg/ml
1759
Incompatibilité non précisée Incompatible
injectable Gentamicin sulfate
injectable Ceftazidime
3883
Incompatibilité non précisée Incompatible
injectable Gentamicin sulfate
injectable Ceftazidime Avibactam
3520
Incompatibilité non précisée Incompatible
injectable Gentamicin sulfate
injectable Ceftazidime Avibactam
3643
Incompatibilité non précisée Incompatible
injectable Gentamicin sulfate
injectable Ceftizoxime sodium
3643
Incompatibilité non précisée Incompatible
injectable Gentamicin sulfate
injectable Ceftizoxime sodium
3520
Incompatibilité non précisée Incompatible
injectable Gentamicin sulfate
injectable Ceftobiprole medocaril sodium
3643
Incompatibilité non précisée Incompatible
injectable Gentamicin sulfate
injectable Ceftobiprole medocaril sodium
4650
Précipitation immédiate Incompatible
injectable Gentamicin sulfate 5 mg/ml
injectable Ceftobiprole medocaril sodium 2 mg/ml
Glucose 5% 2269
Précipitation immédiate Incompatible
injectable Gentamicin sulfate 5 mg/ml
injectable Ceftobiprole medocaril sodium 2 mg/ml
Ringer lactate 2269
Précipitation immédiate Incompatible
injectable Gentamicin sulfate 5 mg/ml
injectable Ceftobiprole medocaril sodium 2 mg/ml
Chlorure de sodium 0,9% 2269
Incompatibilité non précisée Incompatible
injectable Gentamicin sulfate
injectable Ceftobiprole medocaril sodium
3520
Compatible
injectable Gentamicin sulfate 5 mg/ml
injectable Ceftolozane / tazobactam 10/5 mg/ml
Glucose 5% 3828
Incompatibilité non précisée Incompatible
injectable Gentamicin sulfate
injectable Ceftolozane / tazobactam
3643
Incompatibilité non précisée Incompatible
injectable Gentamicin sulfate
injectable Ceftolozane / tazobactam
3520
Compatible
injectable Gentamicin sulfate 5 mg/ml
injectable Ceftolozane / tazobactam 10/5 mg/ml
Chlorure de sodium 0,9% 3828
Incompatibilité non précisée Incompatible
injectable Gentamicin sulfate
injectable Ceftriaxone disodium
3523
Incompatibilité non précisée Incompatible
injectable Gentamicin sulfate
injectable Ceftriaxone disodium
3643
Incompatibilité non précisée Incompatible
injectable Gentamicin sulfate
injectable Ceftriaxone disodium
3520
Incompatibilité non précisée Incompatible
injectable Gentamicin sulfate
injectable Cefuroxime sodium
3643
Incompatibilité non précisée Incompatible
injectable Gentamicin sulfate
injectable Cefuroxime sodium
3520
Incompatibilité non précisée Incompatible
injectable Gentamicin sulfate
injectable Cefuroxime sodium
3687
Incompatibilité non précisée Incompatible
injectable Gentamicin sulfate
injectable Cefuzonam
3520
Compatible
injectable Gentamicin sulfate 0.8 mg/ml
injectable Cimetidine hydrochloride 3 mg/ml
Glucose 5% 1201
Compatible
injectable Gentamicin sulfate 0.08 mg/ml
injectable Cimetidine hydrochloride 1.2 & 5 mg/ml
Chlorure de sodium 0,9% 1201
Compatible
injectable Gentamicin sulfate 0.08 mg/ml
injectable Cimetidine hydrochloride 1.2 & 5 mg/ml
Glucose 5% 1201
Compatible
injectable Gentamicin sulfate 10 mg/ml
injectable Ciprofloxacin lactate 2 mg/ml
Chlorure de sodium 0,9% 289
Compatible
injectable Gentamicin sulfate 1.6 mg/ml
injectable Ciprofloxacin lactate 2 mg/ml
Glucose 5% 285
Compatible
injectable Gentamicin sulfate 5 mg/ml
injectable Cisatracurium besylate 0.1 >> 5 mg/ml
Glucose 5% 299
Instabilité chimique Incompatible
injectable Gentamicin sulfate
injectable Cisplatin
3578
Compatible
injectable Gentamicin sulfate 12 mg/ml
injectable Clindamycin phosphate 90 mg/ml
Chlorure de sodium 0,9% 639
Compatible
injectable Gentamicin sulfate 0.67 mg/ml
injectable Clindamycin phosphate 6 mg/ml
Glucose 5% 423
Compatible
injectable Gentamicin sulfate
Glucose 5% 434
Incompatibilité non précisée Incompatible
injectable Gentamicin sulfate
injectable Cefuzonam
3643
Compatible
injectable Gentamicin sulfate 1 mg/ml
injectable Ciprofloxacin lactate 1.5 mg/ml
Chlorure de sodium 0,9% 434
Compatible
injectable Gentamicin sulfate 1.6 mg/ml
injectable Ciprofloxacin lactate 2 mg/ml
Glucose 5% 288
Compatible
injectable Gentamicin sulfate 1.6 mg/ml
injectable Ciprofloxacin lactate 2 mg/ml
Chlorure de sodium 0,9% 288
Compatible
injectable Gentamicin sulfate 1 mg/ml
injectable Ciprofloxacin lactate 1.5 mg/ml
Glucose 5% 434
Compatible
injectable Gentamicin sulfate
injectable Clindamycin phosphate
Chlorure de sodium 0,9% 3526
Précipitation immédiate Incompatible
injectable Gentamicin sulfate 40 mg/ml
injectable Cloxacillin sodium 100 mg/ml
Eau pour préparation injectable 3012
Compatible
injectable Gentamicin sulfate 15 mg/ml
injectable Cytarabine 16 mg/ml
Chlorure de sodium 0,9% 132
Incompatible
injectable Gentamicin sulfate 2 & 10 mg/ml
Nutrition parentérale (mélange ternaire) 4924
Compatible
injectable Gentamicin sulfate
injectable Clindamycin phosphate
Glucose 5% 3526
Incompatibilité non précisée Incompatible
injectable Gentamicin sulfate
injectable Cloxacillin sodium
3520
Incompatibilité non précisée Incompatible
injectable Gentamicin sulfate
injectable Cytarabine
3580
Compatible
injectable Gentamicin sulfate 1,5 mg/ml
injectable Daptomycin 19,2 mg/ml
Chlorure de sodium 0,9% 1937
Compatible
injectable Gentamicin sulfate 0,05 mg/ml
Nutrition parentérale (mélange binaire) 4445
Incompatibilité non précisée Incompatible
injectable Gentamicin sulfate
injectable Cloxacillin sodium
3643
Instabilité de l'émulsion à 4 heures Incompatible
injectable Gentamicin sulfate 2 mg/ml
Nutrition parentérale (mélange ternaire) 4507
Incompatibilité non précisée Incompatible
injectable Gentamicin sulfate
injectable Dalteparin sodium
3643
Compatible
injectable Gentamicin sulfate
injectable Daptomycin
2271
Compatible
injectable Gentamicin sulfate 10 mg/ml
Nutrition parentérale (mélange binaire) 316
Compatible
injectable Gentamicin sulfate
injectable Dimenhydrinate
2087
Compatible
injectable Gentamicin sulfate 10 & 40 mg/ml
Nutrition parentérale (mélange binaire) 999
Incompatibilité subvisuelle Incompatible
injectable Gentamicin sulfate
injectable Daunorubicin/cytarabine liposomale
4354
Compatible
injectable Gentamicin sulfate 1 mg/ml
Nutrition parentérale (mélange binaire) 939
Turbidité immédiate Incompatible
injectable Gentamicin sulfate
injectable Daunorubicin/cytarabine liposomale 0,4 mg/mL
Chlorure de sodium 0,9% 4654
Compatible
injectable Gentamicin sulfate 0.8 mg/ml
injectable Diatrizoate meglumine 283 mg/ml
Aucun 1085
Compatible
injectable Gentamicin sulfate 2.4 & 40 mg/ml
injectable Diltiazem hydrochloride 5 mg/ml
Chlorure de sodium 0,9% 198
Compatible
injectable Gentamicin sulfate 5 mg/ml
injectable Docetaxel 0.9 mg/ml
Glucose 5% 1754
Incompatibilité non précisée Incompatible
injectable Gentamicin sulfate
injectable Dopamine hydrochloride
3638
Compatible
injectable Gentamicin sulfate 5 mg/ml
Nutrition parentérale (mélange binaire) 301
Compatible
injectable Gentamicin sulfate 5 mg/ml
injectable Doripenem 5 mg/ml
Chlorure de sodium 0,9% 2262
Incompatibilité non précisée Incompatible
injectable Gentamicin sulfate
NaHCO3 3520
Compatible
injectable Gentamicin sulfate 2 mg/ml
injectable Dopamine hydrochloride 0.8 mg/ml
Glucose 5% 738
Dégagement gazeux Incompatible
injectable Gentamicin sulfate
NaHCO3 3643
Compatible
injectable Gentamicin sulfate 5 mg/ml
injectable Dexmedetomidine 4 µg/ml
Chlorure de sodium 0,9% 1712
Compatible
injectable Gentamicin sulfate 5 mg/ml
injectable Doripenem 5 mg/ml
Glucose 5% 2262
Compatible
injectable Gentamicin sulfate 5 mg/ml
Nutrition parentérale (mélange ternaire) 1415
Compatible
injectable Gentamicin sulfate 10 mg/ml
injectable Doxapram hydrochloride 2 mg/ml
Glucose 5% 1802
Compatible
injectable Gentamicin sulfate 5 mg/ml
injectable Doxorubicin hydrochloride liposome peg 0.4 mg/ml
Glucose 5% 251
Compatible
injectable Gentamicin sulfate 0.8 mg/ml
injectable Enalaprilate 0.05 mg/ml
Chlorure de sodium 0,9% 1315
Incompatibilité non précisée Incompatible
injectable Gentamicin sulfate
injectable Enoxaparin sodium
3643
Compatible
injectable Gentamicin sulfate 5 mg/ml
injectable Eravacycline 0,6 mg/ml
Chlorure de sodium 0,9% 4434
Incompatibilité non précisée Incompatible
injectable Gentamicin sulfate
injectable Erythromycin lactobionate
3674
Incompatibilité non précisée Incompatible
injectable Gentamicin sulfate
injectable Erythromycin lactobionate
3520
Incompatibilité non précisée Incompatible
injectable Gentamicin sulfate
injectable Erythromycin lactobionate
3643
Compatible
injectable Gentamicin sulfate 0,8 mg/ml
injectable Esmolol hydrochloride 10 mg/ml
Glucose 5% 384
Compatible
injectable Gentamicin sulfate 5 mg/ml
injectable Etoposide phosphate 5 mg/ml
Glucose 5% 1410
Compatible
injectable Gentamicin sulfate 5 mg/ml
injectable Famotidine 2 mg/ml
Chlorure de sodium 0,9% 215
Compatible
injectable Gentamicin sulfate 0,8 mg/ml
injectable Famotidine
Glucose 5% 397
Compatible
injectable Gentamicin sulfate 5 mg/ml
injectable Fenoldopam mesylate 80 µg/ml
Chlorure de sodium 0,9% 1803
Compatible
injectable Gentamicin sulfate 10 mg/ml
injectable Fentanyl citrate 50 µg/ml
Glucose 5% 63
Compatible
injectable Gentamicin sulfate 1.6 mg/ml
injectable Filgrastim 40 µg/ml
Glucose 5% 104
Compatible
injectable Gentamicin sulfate 5 mg/ml
injectable Filgrastim 30 µg/ml
Glucose 5% 244
Incompatibilité non précisée Incompatible
injectable Gentamicin sulfate
injectable Flucloxacillin sodium
3643
Précipitation immédiate Incompatible
injectable Gentamicin sulfate
injectable Flucloxacillin sodium
3522
Compatible
injectable Gentamicin sulfate 1 mg/ml
injectable Fluconazole 2 mg/ml
Aucun 256
Compatible
injectable Gentamicin sulfate 4 mg/ml
injectable Fluconazole 2 mg/ml
Chlorure de sodium 0,9% 496
Compatible
injectable Gentamicin sulfate 5 mg/ml
injectable Fludarabine phosphate 1 mg/ml
Glucose 5% 492
Compatible
injectable Gentamicin sulfate 2 mg/ml
injectable Foscarnet sodium 24 mg/ml
Chlorure de sodium 0,9% 1135
Compatible
injectable Gentamicin sulfate 2 mg/ml
injectable Foscarnet sodium 24 mg/ml
Glucose 5% 1135
Compatible
injectable Gentamicin sulfate 4 mg/ml
injectable Foscarnet sodium 24 mg/ml
Aucun 73
Compatible
injectable Gentamicin sulfate 10 mg/ml
Ringer lactate 4603
Compatible
injectable Gentamicin sulfate 5 mg/ml
injectable Fosfomycin 30 mg/ml
Chlorure de sodium 0,9% 4055
Précipitation immédiate Incompatible
injectable Gentamicin sulfate 0,4 mg/ml
Nutrition parentérale (mélange ternaire) 4440
Compatible
injectable Gentamicin sulfate 40 mg/ml
Nutrition parentérale (mélange ternaire) 673
Compatible
injectable Gentamicin sulfate 5 mg/ml
injectable Fosfomycin 30 mg/ml
Glucose 5% 4055
Précipitation immédiate Incompatible
injectable Gentamicin sulfate 10 mg/ml
injectable Furosemide 10 mg/ml
789
Précipitation immédiate Incompatible
injectable Gentamicin sulfate 1,6 mg/ml
injectable Furosemide 0,8 mg/ml
Glucose 5% 367
Précipitation immédiate Incompatible
injectable Gentamicin sulfate 1,6 mg/ml
injectable Furosemide 0,8 mg/ml
Chlorure de sodium 0,9% 367
Turbidité immédiate Incompatible
injectable Gentamicin sulfate 6.4 mg/ml
injectable Furosemide 5 mg/ml
805
Précipitation en 2 heures Incompatible
injectable Gentamicin sulfate 8 mg/ml
injectable Furosemide 1 mg/ml
Chlorure de sodium 0,9% 1232
Compatible
injectable Gentamicin sulfate 5 mg/ml
injectable Gemcitabine hydrochloride 10 mg/ml
Chlorure de sodium 0,9% 1423
Compatible
injectable Gentamicin sulfate 1.5 mg/ml
injectable Granisetron hydrochloride 1 mg/ml
Chlorure de sodium 0,9% 57
Compatible
injectable Gentamicin sulfate 1 & 2 mg/ml
injectable Heparin sodium 2500 UI/ml
4612
Précipitation immédiate Incompatible
injectable Gentamicin sulfate 4 >> 40 mg/ml
injectable Heparin sodium 10 >> 40 UI/ml
1258
Précipitation immédiate Incompatible
injectable Gentamicin sulfate
injectable Heparin sodium
1022
Incompatibilité non précisée Incompatible
injectable Gentamicin sulfate 2 mg/ml
injectable Heparin sodium 50 UI/ml
Aucun 317
Incompatibilité non précisée Incompatible
injectable Gentamicin sulfate
injectable Heparin sodium
3643
Incompatibilité non précisée Incompatible
injectable Gentamicin sulfate
injectable Heparin sodium
3520
Incompatibilité non précisée Incompatible
injectable Gentamicin sulfate
injectable Heparin sodium
3540
Turbidité immédiate Incompatible
injectable Gentamicin sulfate 3 mg/ml
injectable Heparin sodium 2500 UI/ml
4612
Précipitation immédiate Incompatible
injectable Gentamicin sulfate 4 & 5 mg/ml
injectable Heparin sodium 2500 UI/ml
4612
Compatible
injectable Gentamicin sulfate 5 mg/ml
injectable Hetastarch 60 mg/ml
Solvant spécifique 1721
Précipitation immédiate Incompatible
injectable Gentamicin sulfate 0.8 mg/ml
injectable Hetastarch 60 mg/ml
Chlorure de sodium 0,9% 472
Compatible
injectable Gentamicin sulfate 0.8 mg/ml
injectable Hydromorphone hydrochloride 0.2 mg/ml
Glucose 5% 405
Changement de couleur Incompatible
injectable Gentamicin sulfate 3 mg/ml
injectable Idarubicin hydrochloride 1 mg/ml
Chlorure de sodium 0,9% 491
Précipitation immédiate Incompatible
injectable Gentamicin sulfate 1 mg/ml
injectable Indomethacin sodium trihydrate 0,5 & 1 mg/ml
Glucose 5% 494
Précipitation en 15 minutes Incompatible
injectable Gentamicin sulfate 1 mg/ml
injectable Indomethacin sodium trihydrate 0,5 & 1 mg/ml
Glucose 5% 1745
Compatible
injectable Gentamicin sulfate 1.2 >> 2 mg/ml
injectable Insulin 0.2 UI/ml
Chlorure de sodium 0,9% 129
Compatible
injectable Gentamicin sulfate 0.8 mg/ml
injectable Iohexol 300 mg I/ml
Aucun 1085
Précipitation immédiate Incompatible
injectable Gentamicin sulfate 0.8 mg/ml
injectable Ioxaglate 320 mg I/ml
Aucun 1085
Compatible
injectable Gentamicin sulfate 5 mg/ml
injectable Isavuconazonium sulfate 1.5 mg/ml
Glucose 5% 3829
Compatible
injectable Gentamicin sulfate 5 mg/ml
injectable Isavuconazonium sulfate 1.5 mg/ml
Chlorure de sodium 0,9% 3829
Compatible
injectable Gentamicin sulfate 40 mg/ml
injectable Ketamine hydrochloride 50 mg/ml
2109
Compatible
injectable Gentamicin sulfate 0.8 mg/ml
injectable Labetalol hydrochloride 1 mg/ml
Glucose 5% 386
Compatible
injectable Gentamicin sulfate 5 mg/ml
injectable Lansoprazole 0.55 mg/ml
Chlorure de sodium 0,9% 1625
Compatible
injectable Gentamicin sulfate 10 mg/ml
injectable Levofloxacine 5 mg/ml
Glucose 5% 1072
Compatible
injectable Gentamicin sulfate 0,75 mg/ml
injectable Linezolid 1,80 mg/ml
2353
Compatible
injectable Gentamicin sulfate 5 mg/ml
injectable Linezolid 2 mg/ml
Aucun 1925
Compatible
injectable Gentamicin sulfate 3 mg/ml
injectable Lorazepam 0.33 mg/ml
Chlorure de sodium 0,9% 186
Compatible
injectable Gentamicin sulfate 0.8 mg/ml
injectable Magnesium sulfate 16.67 >> 100 mg/ml
Glucose 5% 1047
Compatible
injectable Gentamicin sulfate 5 mg/ml
injectable Melphalan 0.1 mg/ml
Chlorure de sodium 0,9% 169
Compatible
injectable Gentamicin sulfate 40 mg/ml
injectable Meropenem 50 mg/ml
Eau pour préparation injectable 4319
Compatible
injectable Gentamicin sulfate 0.8 mg/ml
injectable Meropenem 1 & 20 mg/ml
Chlorure de sodium 0,9% 266
Compatible
injectable Gentamicin sulfate 4 mg/ml
injectable Meropenem 1 & 50 mg/ml
Chlorure de sodium 0,9% 266
Compatible
injectable Gentamicin sulfate 30 mg/ml
injectable Meropenem 10 mg/ml
Chlorure de sodium 0,9% 2335
Compatible
injectable Gentamicin sulfate 0,8 & 1,2 mg/ml
injectable Metronidazole 5 mg/ml
Aucun 1243
Compatible
injectable Gentamicin sulfate 0.8 mg/ml
injectable Metronidazole 5 mg/ml
Aucun 1035
Compatible
injectable Gentamicin sulfate
injectable Metronidazole
3594
Compatible
injectable Gentamicin sulfate 3 mg/ml
injectable Midazolam hydrochloride 5 mg/ml
Aucun 186
Compatible
injectable Gentamicin sulfate 10 mg/ml
injectable Midazolam hydrochloride 1 mg/ml
Glucose 5% 176
Compatible
injectable Gentamicin sulfate 0.8 mg/ml
injectable Midazolam hydrochloride 0.05 >> 0.4 mg/ml
Chlorure de sodium 0,9% 1888
Incompatibilité non précisée Incompatible
injectable Gentamicin sulfate
injectable Mitomycin
4471
Instabilité chimique Incompatible
injectable Gentamicin sulfate
injectable Mitomycin
3128
Compatible
injectable Gentamicin sulfate 1.2 & 2 mg/ml
injectable Morphine sulfate 1 mg/ml
Chlorure de sodium 0,9% 406
Compatible
injectable Gentamicin sulfate 0.8 mg/ml
injectable Morphine sulfate 1 mg/ml
Glucose 5% 405
Incompatibilité non précisée Incompatible
injectable Gentamicin sulfate
injectable Moxalactam
3643
Incompatibilité non précisée Incompatible
injectable Gentamicin sulfate
injectable Moxalactam
3520
Compatible
injectable Gentamicin sulfate 40 mg/ml
injectable N-acetylcysteine 200 mg/ml
Aucun 3766
Incompatibilité non précisée Incompatible
injectable Gentamicin sulfate
injectable Nadroparin
3643
Incompatibilité non précisée Incompatible
injectable Gentamicin sulfate
injectable Nafcillin sodium
3643
Incompatibilité non précisée Incompatible
injectable Gentamicin sulfate
injectable Nafcillin sodium
3520
Compatible
injectable Gentamicin sulfate 40 mg/ml
injectable Naloxone hydrochloride 0.4 mg/ml
Aucun 3408
Compatible
injectable Gentamicin sulfate 4.17 mg/ml
injectable Nefopam 0.16 mg/ml
Chlorure de sodium 0,9% 4254
Compatible
injectable Gentamicin sulfate 4.17 mg/ml
injectable Nefopam 0.16 mg/ml
Glucose 5% 4254
Compatible
injectable Gentamicin sulfate 0.8 mg/ml
injectable Nicardipine hydrochloride 0.1 mg/ml
Glucose 5% 1490
Compatible
injectable Gentamicin sulfate 0.8 mg/ml
injectable Nicardipine hydrochloride 0.1 mg/ml
Chlorure de sodium 0,9% 1490
Compatible
injectable Gentamicin sulfate 0,8 mg/ml
injectable Ofloxacin 2 mg/ml
Aucun 889
Compatible
injectable Gentamicin sulfate 5 mg/ml
injectable Ondansetron hydrochloride 1 mg/ml
Chlorure de sodium 0,9% 334
Compatible
injectable Gentamicin sulfate 5 mg/ml
injectable Oritavancin 0.8 >>2 mg/ml
Glucose 5% 3152
Incompatibilité non précisée Incompatible
injectable Gentamicin sulfate
injectable Oxacillin sodium
3643
Incompatibilité non précisée Incompatible
injectable Gentamicin sulfate
injectable Oxacillin sodium
3520
Compatible
injectable Gentamicin sulfate 40 mg/ml
injectable Oxycodone hydrochloride 1 mg/ml
Chlorure de sodium 0,9% 4842
Compatible
injectable Gentamicin sulfate 5 mg/ml
injectable Paclitaxel 1.2 mg/ml
Glucose 5% 248
Compatible
injectable Gentamicin sulfate 5 mg/ml
injectable Palonosetron hydrochloride 50 µg/ml
Glucose 5% 2228
Compatible
injectable Gentamicin sulfate 2 mg/ml
injectable Pancuronium bromide 0.05 mg/ml
Glucose 5% 402
Précipitation immédiate Incompatible
injectable Gentamicin sulfate
injectable Pantoprazole sodium
2090
Compatible
injectable Gentamicin sulfate 40 mg/ml
injectable Paracetamol 10 mg/ml
4742
Précipitation immédiate Incompatible
injectable Gentamicin sulfate 5 mg/ml
injectable Pemetrexed disodium 20 mg/ml
1953
Incompatibilité non précisée Incompatible
injectable Gentamicin sulfate
injectable Penicillin G potassium
3643
Incompatibilité non précisée Incompatible
injectable Gentamicin sulfate
injectable Penicillin G potassium
3520
Incompatibilité non précisée Incompatible
injectable Gentamicin sulfate
injectable Penicillin G sodium
3643
Incompatibilité non précisée Incompatible
injectable Gentamicin sulfate
injectable Penicillin G sodium
3520
Compatible
injectable Gentamicin sulfate 10 mg/ml
injectable Pentoxifyllin 5 mg/ml
Chlorure de sodium 0,9% 4543
Compatible
injectable Gentamicin sulfate 0.8 mg/ml
injectable Pethidine hydrochloride 10 mg/ml
Glucose 5% 405
Précipitation immédiate Incompatible
injectable Gentamicin sulfate 10 mg/ml
injectable Phenytoin sodium 50 mg/ml
789
Compatible
injectable Gentamicin sulfate 20 mg/ml
injectable Phloroglucinol 2,5 mg/ml
3791
Incompatibilité non précisée Incompatible
injectable Gentamicin sulfate
injectable Piperacillin sodium
3520
Incompatibilité non précisée Incompatible
injectable Gentamicin sulfate
injectable Piperacillin sodium
3643
Incompatibilité non précisée Incompatible
injectable Gentamicin sulfate
injectable Piperacillin sodium / tazobactam
3520
Instabilité chimique Incompatible
injectable Gentamicin sulfate
injectable Piperacillin sodium / tazobactam
3586
Incompatibilité non précisée Incompatible
injectable Gentamicin sulfate
injectable Piperacillin sodium / tazobactam
3643
Compatible
injectable Gentamicin sulfate
injectable Posaconazole
4380
Compatible
injectable Gentamicin sulfate 30 mg/ml
injectable Potassium chloride 20 mEq/l
NaCl 0,45% Glucose 5% 2335
Instabilité de l'émulsion immédiate Incompatible
injectable Gentamicin sulfate 2 mg/ml
injectable Propofol
660
Incompatibilité non précisée Incompatible
injectable Gentamicin sulfate 40 mg/ml
injectable Propofol
4524
Précipitation immédiate Incompatible
injectable Gentamicin sulfate 5 mg/ml
injectable Propofol 10 mg/ml
Aucun 300
Compatible
injectable Gentamicin sulfate 5 mg/ml
injectable Remifentanil hydrochloride 25 & 250 µg/ml
Chlorure de sodium 0,9% 59
Compatible
injectable Gentamicin sulfate 40 mg/ml
injectable Salbutamol sulfate 1 mg/ml
Aucun 3216
Compatible
injectable Gentamicin sulfate 5 mg/ml
injectable Sargramostim 10 µg/ml
Chlorure de sodium 0,9% 335
Compatible
injectable Gentamicin sulfate 10 mg/ml
injectable Sildenafil citrate 0,6 mg/ml
Glucose 5% 4845
Compatible
injectable Gentamicin sulfate 2,4 mg/ml
injectable Sodium bicarbonate 40 mg/ml
Aucun 3122
Dégagement gazeux Incompatible
injectable Gentamicin sulfate
injectable Sodium bicarbonate
3643
Compatible
injectable Gentamicin sulfate 2.5 mg/ml
injectable Sodium citrate 40 mg/ml
Eau pour préparation injectable 3952
Compatible
injectable Gentamicin sulfate 40 mg/ml
injectable Sugammadex 100 mg/ml
Aucun 3372
Compatible
injectable Gentamicin sulfate 5 mg/ml
injectable Sulbactam/durlobactam 15/15 mg/ml
Chlorure de sodium 0,9% 4801
Compatible
injectable Gentamicin sulfate 4 mg/ml
injectable Tacrolimus 1000 µg/ml
Chlorure de sodium 0,9% 479
Compatible
injectable Gentamicin sulfate
Chlorure de sodium 0,9% 1704
Compatible
injectable Gentamicin sulfate
Chlorure de sodium 0,9% 434
Incompatibilité non précisée Incompatible
injectable Gentamicin sulfate
injectable Sodium bicarbonate
3520
Compatible
injectable Gentamicin sulfate 1 >> 5 mg/ml
injectable Sodium citrate 40 mg/ml
Aucun 2019
Turbidité immédiate Incompatible
injectable Gentamicin sulfate 5 mg/ml
injectable Tedizolid phosphate 0.8 mg/ml
Chlorure de sodium 0,9% 3827
Incompatibilité non précisée Incompatible
injectable Gentamicin sulfate
injectable Teicoplanine
3656
Compatible
injectable Gentamicin sulfate 5 mg/ml
injectable Telavancin hydrochloride 7.5 mg/ml
Ringer lactate 3254
Compatible
injectable Gentamicin sulfate 5 mg/ml
injectable Telavancin hydrochloride 7.5 mg/ml
Chlorure de sodium 0,9% 3254
Compatible
injectable Gentamicin sulfate 5 mg/ml
injectable Telavancin hydrochloride 7.5 mg/ml
Glucose 5% 3254
Compatible
injectable Gentamicin sulfate 6 mg/ml
injectable Temocilline 83.33 mg/ml
Eau pour préparation injectable 2231
Incompatibilité non précisée Incompatible
injectable Gentamicin sulfate
injectable Temocilline
3643
Incompatibilité non précisée Incompatible
injectable Gentamicin sulfate
injectable Temocilline
3520
Incompatibilité non précisée Incompatible
injectable Gentamicin sulfate
injectable Temocilline
2296
Compatible
injectable Gentamicin sulfate 5 mg/ml
injectable Teniposide 0.1 mg/ml
Glucose 5% 905
Compatible
injectable Gentamicin sulfate 2 mg/ml
injectable Theophylline 4 mg/ml
Aucun 317
Précipitation immédiate Incompatible
injectable Gentamicin sulfate 40 mg/ml
injectable Thiopental sodium 25 mg/ml
Chlorure de sodium 0,9% 3767
Compatible
injectable Gentamicin sulfate 5 mg/ml
injectable Thiotepa 1 mg/ml
Glucose 5% 249
Instabilité chimique Incompatible
injectable Gentamicin sulfate
injectable Ticarcillin / clavulanic acid
3587
Incompatibilité non précisée Incompatible
injectable Gentamicin sulfate
injectable Ticarcillin / clavulanic acid
3643
Incompatibilité non précisée Incompatible
injectable Gentamicin sulfate
injectable Ticarcillin / clavulanic acid
3520
Compatible
injectable Gentamicin sulfate
injectable Tigecycline
Chlorure de sodium 0,9% 3332
Compatible
injectable Gentamicin sulfate 6 mg/ml
injectable Vancomycin hydrochloride 10 mg/ml
Glucose 5% 3385
Compatible
injectable Gentamicin sulfate 1.2 mg/ml
injectable Vasopressin 0.2 UI/ml
Chlorure de sodium 0,9% 2017
Compatible
injectable Gentamicin sulfate 2 mg/ml
injectable Vecuronium bromide 0.1 mg/ml
Glucose 5% 402
Compatible
injectable Gentamicin sulfate 0.16 mg/ml
injectable Verapamil hydrochloride 0.08 mg/ml
Glucose 5% 1057
Compatible
injectable Gentamicin sulfate 0.16 mg/ml
injectable Verapamil hydrochloride 0.08 mg/ml
Chlorure de sodium 0,9% 1057
Compatible
injectable Gentamicin sulfate 5 mg/ml
injectable Vinorelbine tartrate 1 mg/ml
Chlorure de sodium 0,9% 84
Turbidité immédiate Incompatible
injectable Gentamicin sulfate 1.6 mg/ml
injectable Warfarin sodium 2 mg/ml
Glucose 5% 315
Compatible
injectable Gentamicin sulfate 2 mg/ml
injectable Zidovudine 4 mg/ml
Glucose 5% 337

  Mentions Légales