Letztes “update” :
18/03/2026
Antibiotikum   Gentamicin sulfate  
Injektion
Augentropfen
Stabilität der Lösung Gemengestabilität Stabilitätbeeinflussende Faktoren Kompatibilitäten Applikationsart Literaturverzeichnis pdf
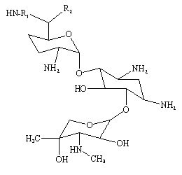
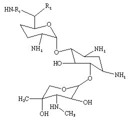
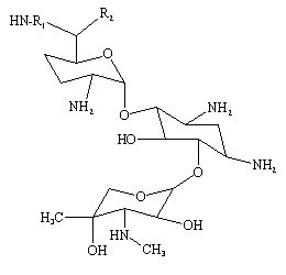
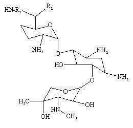
   Chemische Struktur  

Handelsmarke   Handelsmarke     

Handelsnamen sind als beispielhaft anzusehen. Sonstige Bestandteile können je nach Hersteller oder Land verschieden sein

Azupel Peru
Cidomycin Ägypten, Großbritannien, Tunesien
Dabroson Griechenland
Epigent Ägypten
Garalone Portugal
Garamicina Brasilien, Ecuador, Kolumbien, Mexiko
Garamycin Ägypten, Dänemark, Griechenland, Indien, Kroatien, Niederlande, Norwegen, Polen, Schweiz, Vereinigte Arabische Emirate
Genmisin Türkei
Gensif Türkei
Gensumycin Finnland, Norwegen, Schweden
Genta-Gobens Spanien
Gentalline Marokko
Gentamen Marokko
Genticin Großbritannien, Irland, Vereinigte Arabische Emirate
Gentreks Türkei
Hexamycin Dänemark
Plurisemina Argentinien
Refobacin Ägypten, Deutschland, Kolumbien, Österreich
Rupegen Argentinien
Kompatibilitäten   Injektion   Kompatibilitäten : Gentamicin sulfate              
Dieser Bildschirm zeigt die Kompatibilitäten oder Inkompatibilitäten mit der Art der Inkompatibilität (hier: Ausfällung, Farbänderung, Modifikation einer Emulsion usw.) an. Die hier gezeigten Kompatibilitäten sind meist nur physikalisch, wobei die chemische Stabilität jedes Moleküls selten bewertet wird. Die Bewertung dieser Gemische wurde untersucht, um die Möglichkeit einer Verabreichung über eine Y-Verbindung zu berücksichtigen. Diese Daten können daher nicht zur Herstellung von Mischungen im Voraus in Beuteln oder Spritzen verwendet werden. Sie finden diese Informationen auf dem Bildschirm "Stabilität in Mischung».
Molekül Lösungsmittel Literaturverzeichnis
kompatibel
Injektion Gentamicin sulfate 1.6 mg/ml
Injektion Aciclovir sodium 5 mg/ml
5% Glucose 336
Sofortiger Niederschlag nicht kompatibel
Injektion Gentamicin sulfate 30 mg/ml
Injektion Aciclovir sodium 5 mg/ml
0,9% Natriumchlorid 2335
Niederschlag nach 1 Stunde nicht kompatibel
Injektion Gentamicin sulfate 5 mg/ml
Injektion Allopurinol sodium 3 mg/ml
0,9% Natriumchlorid 307
kompatibel
Injektion Gentamicin sulfate 1 mg/ml
Injektion Alprostadil 15 µg/ml
3201
kompatibel
Injektion Gentamicin sulfate 5 mg/ml
Injektion Amifostine 10 mg/ml
5% Glucose 3
kompatibel
Injektion Gentamicin sulfate 0.8 mg/ml
Injektion Amiodarone hydrochloride 4 mg/ml
0,9% Natriumchlorid 385
kompatibel
Injektion Gentamicin sulfate 0.8 mg/ml
Injektion Amiodarone hydrochloride 4 mg/ml
5% Glucose 385
Nicht spezifizierte Inkompatibilität nicht kompatibel
Injektion Gentamicin sulfate
Injektion Amoxicillin sodium
3643
Nicht spezifizierte Inkompatibilität nicht kompatibel
Injektion Gentamicin sulfate
Injektion Amoxicillin sodium
3520
Chemische Instabilität nicht kompatibel
Injektion Gentamicin sulfate
Injektion Amoxicillin sodium
3527
Nicht spezifizierte Inkompatibilität nicht kompatibel
Injektion Gentamicin sulfate
Injektion Amoxicillin sodium / clavulanic acid
3643
Nicht spezifizierte Inkompatibilität nicht kompatibel
Injektion Gentamicin sulfate
Injektion Amoxicillin sodium / clavulanic acid
3545
Nicht spezifizierte Inkompatibilität nicht kompatibel
Injektion Gentamicin sulfate
Injektion Amoxicillin sodium / clavulanic acid
3520
kompatibel
Injektion Gentamicin sulfate 40 mg/ml
Injektion Amoxicillin sodium / clavulanic acid 100/10 mg/ml
3824
Sofortiger Niederschlag nicht kompatibel
Injektion Gentamicin sulfate 5 mg/ml
Injektion Amphotericin B cholesteryl sulfate complex 0,83 mg/ml
5% Glucose 921
Nicht spezifizierte Inkompatibilität nicht kompatibel
Injektion Gentamicin sulfate
Injektion Ampicillin sodium
3643
Nicht spezifizierte Inkompatibilität nicht kompatibel
Injektion Gentamicin sulfate
Injektion Ampicillin sodium
3520
Nicht spezifizierte Inkompatibilität nicht kompatibel
Injektion Gentamicin sulfate
Injektion Ampicillin sodium - sulbactam sodium
3643
Nicht spezifizierte Inkompatibilität nicht kompatibel
Injektion Gentamicin sulfate
Injektion Ampicillin sodium - sulbactam sodium
3520
kompatibel
Injektion Gentamicin sulfate 5 mg/ml
Injektion Amsacrine 1 mg/ml
5% Glucose 253
kompatibel
Injektion Gentamicin sulfate 5 mg/ml
Injektion Anidulafungin 0.5 mg/ml
5% Glucose 1982
kompatibel
Injektion Gentamicin sulfate 0,8 mg/ml
Injektion Atosiban 0,75 mg/ml
4642
kompatibel
Injektion Gentamicin sulfate 2 mg/ml
Injektion Atracurium besylate 0.5 mg/ml
5% Glucose 402
Sofortiger Niederschlag nicht kompatibel
Injektion Gentamicin sulfate 21 mg/ml
Injektion Azithromycine 2 mg/ml
0,9% Natriumchlorid 1800
kompatibel
Injektion Gentamicin sulfate 5 mg/ml
Injektion Aztreonam 40 mg/ml
5% Glucose 99
kompatibel
Injektion Gentamicin sulfate 0.2 & 0.8 mg/ml
Injektion Aztreonam 10 & 20 mg/ml
0,9% Natriumchlorid 19
kompatibel
Injektion Gentamicin sulfate 0.2 & 0.8 mg/ml
Injektion Aztreonam 10 & 20 mg/ml
5% Glucose 19
kompatibel
Injektion Gentamicin sulfate 5 mg/ml
Injektion Bivalirudin 5 mg/ml
5% Glucose 1713
kompatibel
Injektion Gentamicin sulfate 10 mg/ml
Injektion Caffeine 10 mg/ml
Kein 3964
kompatibel
Injektion Gentamicin sulfate 10 mg/ml
Injektion Caffeine 10 mg/ml
0,9% Natriumchlorid 4837
kompatibel
Injektion Gentamicin sulfate 10 mg/ml
Injektion Caffeine citrate 20 mg/ml
0,9% Natriumchlorid 4837
Nicht spezifizierte Inkompatibilität nicht kompatibel
Injektion Gentamicin sulfate
Injektion Calcium gluconate
3644
nicht kompatibel
Injektion Gentamicin sulfate
Injektion Calcium gluconate
4964
kompatibel
Injektion Gentamicin sulfate 5 mg/ml
Injektion Caspofungin acetate 0,7 mg/ml
0,9% Natriumchlorid 2247
Nicht spezifizierte Inkompatibilität nicht kompatibel
Injektion Gentamicin sulfate
Injektion Cefalotin sodium
3520
Nicht spezifizierte Inkompatibilität nicht kompatibel
Injektion Gentamicin sulfate
Injektion Cefalotin sodium
3643
Sofortiger Niederschlag nicht kompatibel
Injektion Gentamicin sulfate
Injektion Cefamandole nafate 2 >> 100 mg/ml
5% Glucose 612
Nicht spezifizierte Inkompatibilität nicht kompatibel
Injektion Gentamicin sulfate
Injektion Cefamandole nafate
3643
Nicht spezifizierte Inkompatibilität nicht kompatibel
Injektion Gentamicin sulfate
Injektion Cefamandole nafate
3520
Nicht spezifizierte Inkompatibilität nicht kompatibel
Injektion Gentamicin sulfate
Injektion Cefamandole nafate
3546
Sofortiger Niederschlag nicht kompatibel
Injektion Gentamicin sulfate
Injektion Cefamandole nafate 2 >> 100 mg/ml
0,9% Natriumchlorid 612
Nicht spezifizierte Inkompatibilität nicht kompatibel
Injektion Gentamicin sulfate
Injektion Cefazolin sodium
3520
Nicht spezifizierte Inkompatibilität nicht kompatibel
Injektion Gentamicin sulfate
Injektion Cefazolin sodium
3643
Nicht spezifizierte Inkompatibilität nicht kompatibel
Injektion Gentamicin sulfate
Injektion Cefepime dihydrochloride
3520
kompatibel
Injektion Gentamicin sulfate 6 mg/ml
Injektion Cefepime dihydrochloride 125 mg/ml
Wasser für injektable präparate 2141
Nicht spezifizierte Inkompatibilität nicht kompatibel
Injektion Gentamicin sulfate
Injektion Cefepime dihydrochloride
3548
Nicht spezifizierte Inkompatibilität nicht kompatibel
Injektion Gentamicin sulfate
Injektion Cefepime dihydrochloride
3643
kompatibel
Injektion Gentamicin sulfate 5 mg/ml
Injektion Cefiderocol sulfate tosylate 20 mg/mL
5% Glucose 4528
kompatibel
Injektion Gentamicin sulfate 5 mg/ml
Injektion Cefiderocol sulfate tosylate 20 mg/mL
0,9% Natriumchlorid 4528
Nicht spezifizierte Inkompatibilität nicht kompatibel
Injektion Gentamicin sulfate
Injektion Cefmenoxime
3520
Nicht spezifizierte Inkompatibilität nicht kompatibel
Injektion Gentamicin sulfate
Injektion Cefmenoxime
3643
Nicht spezifizierte Inkompatibilität nicht kompatibel
Injektion Gentamicin sulfate
Injektion Cefmetazole sodium
3520
Nicht spezifizierte Inkompatibilität nicht kompatibel
Injektion Gentamicin sulfate
Injektion Cefmetazole sodium
3643
Nicht spezifizierte Inkompatibilität nicht kompatibel
Injektion Gentamicin sulfate
Injektion Cefonicid sodium
3643
Nicht spezifizierte Inkompatibilität nicht kompatibel
Injektion Gentamicin sulfate
Injektion Cefonicid sodium
3520
Nicht spezifizierte Inkompatibilität nicht kompatibel
Injektion Gentamicin sulfate
Injektion Cefoperazone sodium
3544
Nicht spezifizierte Inkompatibilität nicht kompatibel
Injektion Gentamicin sulfate
Injektion Cefoperazone sodium
3643
Sofortiger Niederschlag nicht kompatibel
Injektion Gentamicin sulfate 0.8 mg/ml
Injektion Cefoperazone sodium 10 mg/ml
5% Glucose 1206
Nicht spezifizierte Inkompatibilität nicht kompatibel
Injektion Gentamicin sulfate
Injektion Cefoperazone sodium
3520
Nicht spezifizierte Inkompatibilität nicht kompatibel
Injektion Gentamicin sulfate
Injektion Ceforanide
3643
Nicht spezifizierte Inkompatibilität nicht kompatibel
Injektion Gentamicin sulfate
Injektion Ceforanide
3520
Nicht spezifizierte Inkompatibilität nicht kompatibel
Injektion Gentamicin sulfate
Injektion Cefotaxime sodium
3520
Nicht spezifizierte Inkompatibilität nicht kompatibel
Injektion Gentamicin sulfate
Injektion Cefotaxime sodium
3643
Nicht spezifizierte Inkompatibilität nicht kompatibel
Injektion Gentamicin sulfate
Injektion Cefoxitin sodium
3643
Nicht spezifizierte Inkompatibilität nicht kompatibel
Injektion Gentamicin sulfate
Injektion Cefoxitin sodium
3520
kompatibel
Injektion Gentamicin sulfate 1 mg/ml
Injektion Cefpirome sulfate 50 mg/ml
0,9% Natriumchlorid 280
kompatibel
Injektion Gentamicin sulfate 1 mg/ml
Injektion Cefpirome sulfate 50 mg/ml
Ringer Lactat - Lösung 280
kompatibel
Injektion Gentamicin sulfate 1 mg/ml
Injektion Cefpirome sulfate 50 mg/ml
0,45% Natriumchlorid 280
Nicht spezifizierte Inkompatibilität nicht kompatibel
Injektion Gentamicin sulfate
Injektion Cefpirome sulfate
3643
Nicht spezifizierte Inkompatibilität nicht kompatibel
Injektion Gentamicin sulfate
Injektion Cefpirome sulfate
3677
kompatibel
Injektion Gentamicin sulfate 1 mg/ml
Injektion Cefpirome sulfate 50 mg/ml
5% Glucose 280
Nicht spezifizierte Inkompatibilität nicht kompatibel
Injektion Gentamicin sulfate
Injektion Cefpirome sulfate
3520
kompatibel
Injektion Gentamicin sulfate 5 mg/ml
Injektion Ceftaroline fosamil 2,22 mg/ml
0,9% Natriumchlorid 3249
kompatibel
Injektion Gentamicin sulfate 5 mg/ml
Injektion Ceftaroline fosamil 2,22 mg/ml
Ringer Lactat - Lösung 3249
kompatibel
Injektion Gentamicin sulfate 5 mg/ml
Injektion Ceftaroline fosamil 2,22 mg/ml
5% Glucose 3249
Nicht spezifizierte Inkompatibilität nicht kompatibel
Injektion Gentamicin sulfate
Injektion Ceftaroline fosamil
3643
Nicht spezifizierte Inkompatibilität nicht kompatibel
Injektion Gentamicin sulfate
Injektion Ceftaroline fosamil
3520
Nicht spezifizierte Inkompatibilität nicht kompatibel
Injektion Gentamicin sulfate
Injektion Ceftazidime
3543
Nicht spezifizierte Inkompatibilität nicht kompatibel
Injektion Gentamicin sulfate
Injektion Ceftazidime
3520
Nicht spezifizierte Inkompatibilität nicht kompatibel
Injektion Gentamicin sulfate
Injektion Ceftazidime
3643
kompatibel
Injektion Gentamicin sulfate 6 mg/ml
Injektion Ceftazidime 125 mg/ml
Wasser für injektable präparate 2141
kompatibel
Injektion Gentamicin sulfate 6 mg/ml
Injektion Ceftazidime 83.3 mg/ml
1759
Nicht spezifizierte Inkompatibilität nicht kompatibel
Injektion Gentamicin sulfate
Injektion Ceftazidime
3883
Nicht spezifizierte Inkompatibilität nicht kompatibel
Injektion Gentamicin sulfate
Injektion Ceftazidime Avibactam
3520
Nicht spezifizierte Inkompatibilität nicht kompatibel
Injektion Gentamicin sulfate
Injektion Ceftazidime Avibactam
3643
Nicht spezifizierte Inkompatibilität nicht kompatibel
Injektion Gentamicin sulfate
Injektion Ceftizoxime sodium
3643
Nicht spezifizierte Inkompatibilität nicht kompatibel
Injektion Gentamicin sulfate
Injektion Ceftizoxime sodium
3520
Nicht spezifizierte Inkompatibilität nicht kompatibel
Injektion Gentamicin sulfate
Injektion Ceftobiprole medocaril sodium
3643
Nicht spezifizierte Inkompatibilität nicht kompatibel
Injektion Gentamicin sulfate
Injektion Ceftobiprole medocaril sodium
4650
Sofortiger Niederschlag nicht kompatibel
Injektion Gentamicin sulfate 5 mg/ml
Injektion Ceftobiprole medocaril sodium 2 mg/ml
5% Glucose 2269
Sofortiger Niederschlag nicht kompatibel
Injektion Gentamicin sulfate 5 mg/ml
Injektion Ceftobiprole medocaril sodium 2 mg/ml
Ringer Lactat - Lösung 2269
Sofortiger Niederschlag nicht kompatibel
Injektion Gentamicin sulfate 5 mg/ml
Injektion Ceftobiprole medocaril sodium 2 mg/ml
0,9% Natriumchlorid 2269
Nicht spezifizierte Inkompatibilität nicht kompatibel
Injektion Gentamicin sulfate
Injektion Ceftobiprole medocaril sodium
3520
kompatibel
Injektion Gentamicin sulfate 5 mg/ml
Injektion Ceftolozane / tazobactam 10/5 mg/ml
5% Glucose 3828
Nicht spezifizierte Inkompatibilität nicht kompatibel
Injektion Gentamicin sulfate
Injektion Ceftolozane / tazobactam
3643
Nicht spezifizierte Inkompatibilität nicht kompatibel
Injektion Gentamicin sulfate
Injektion Ceftolozane / tazobactam
3520
kompatibel
Injektion Gentamicin sulfate 5 mg/ml
Injektion Ceftolozane / tazobactam 10/5 mg/ml
0,9% Natriumchlorid 3828
Nicht spezifizierte Inkompatibilität nicht kompatibel
Injektion Gentamicin sulfate
Injektion Ceftriaxone disodium
3523
Nicht spezifizierte Inkompatibilität nicht kompatibel
Injektion Gentamicin sulfate
Injektion Ceftriaxone disodium
3643
Nicht spezifizierte Inkompatibilität nicht kompatibel
Injektion Gentamicin sulfate
Injektion Ceftriaxone disodium
3520
Nicht spezifizierte Inkompatibilität nicht kompatibel
Injektion Gentamicin sulfate
Injektion Cefuroxime sodium
3643
Nicht spezifizierte Inkompatibilität nicht kompatibel
Injektion Gentamicin sulfate
Injektion Cefuroxime sodium
3520
Nicht spezifizierte Inkompatibilität nicht kompatibel
Injektion Gentamicin sulfate
Injektion Cefuroxime sodium
3687
Nicht spezifizierte Inkompatibilität nicht kompatibel
Injektion Gentamicin sulfate
Injektion Cefuzonam
3520
kompatibel
Injektion Gentamicin sulfate 0.8 mg/ml
Injektion Cimetidine hydrochloride 3 mg/ml
5% Glucose 1201
kompatibel
Injektion Gentamicin sulfate 0.08 mg/ml
Injektion Cimetidine hydrochloride 1.2 & 5 mg/ml
0,9% Natriumchlorid 1201
kompatibel
Injektion Gentamicin sulfate 0.08 mg/ml
Injektion Cimetidine hydrochloride 1.2 & 5 mg/ml
5% Glucose 1201
kompatibel
Injektion Gentamicin sulfate 10 mg/ml
Injektion Ciprofloxacin lactate 2 mg/ml
0,9% Natriumchlorid 289
kompatibel
Injektion Gentamicin sulfate 1.6 mg/ml
Injektion Ciprofloxacin lactate 2 mg/ml
5% Glucose 285
kompatibel
Injektion Gentamicin sulfate 5 mg/ml
Injektion Cisatracurium besylate 0.1 >> 5 mg/ml
5% Glucose 299
Chemische Instabilität nicht kompatibel
Injektion Gentamicin sulfate
Injektion Cisplatin
3578
kompatibel
Injektion Gentamicin sulfate 12 mg/ml
Injektion Clindamycin phosphate 90 mg/ml
0,9% Natriumchlorid 639
kompatibel
Injektion Gentamicin sulfate 0.67 mg/ml
Injektion Clindamycin phosphate 6 mg/ml
5% Glucose 423
kompatibel
Injektion Gentamicin sulfate
5% Glucose 434
Nicht spezifizierte Inkompatibilität nicht kompatibel
Injektion Gentamicin sulfate
Injektion Cefuzonam
3643
kompatibel
Injektion Gentamicin sulfate 1 mg/ml
Injektion Ciprofloxacin lactate 1.5 mg/ml
0,9% Natriumchlorid 434
kompatibel
Injektion Gentamicin sulfate 1.6 mg/ml
Injektion Ciprofloxacin lactate 2 mg/ml
5% Glucose 288
kompatibel
Injektion Gentamicin sulfate 1.6 mg/ml
Injektion Ciprofloxacin lactate 2 mg/ml
0,9% Natriumchlorid 288
kompatibel
Injektion Gentamicin sulfate 1 mg/ml
Injektion Ciprofloxacin lactate 1.5 mg/ml
5% Glucose 434
kompatibel
Injektion Gentamicin sulfate
Injektion Clindamycin phosphate
0,9% Natriumchlorid 3526
Sofortiger Niederschlag nicht kompatibel
Injektion Gentamicin sulfate 40 mg/ml
Injektion Cloxacillin sodium 100 mg/ml
Wasser für injektable präparate 3012
kompatibel
Injektion Gentamicin sulfate 15 mg/ml
Injektion Cytarabine 16 mg/ml
0,9% Natriumchlorid 132
nicht kompatibel
Injektion Gentamicin sulfate 2 & 10 mg/ml
Parenterale Ernährung (mit Lipiden) 4924
kompatibel
Injektion Gentamicin sulfate
Injektion Clindamycin phosphate
5% Glucose 3526
Nicht spezifizierte Inkompatibilität nicht kompatibel
Injektion Gentamicin sulfate
Injektion Cloxacillin sodium
3520
Nicht spezifizierte Inkompatibilität nicht kompatibel
Injektion Gentamicin sulfate
Injektion Cytarabine
3580
kompatibel
Injektion Gentamicin sulfate 1,5 mg/ml
Injektion Daptomycin 19,2 mg/ml
0,9% Natriumchlorid 1937
kompatibel
Injektion Gentamicin sulfate 0,05 mg/ml
Parenterale Ernährung (Lipid-frei) 4445
Nicht spezifizierte Inkompatibilität nicht kompatibel
Injektion Gentamicin sulfate
Injektion Cloxacillin sodium
3643
Instabilität der Emulsion nach 4 Stunden nicht kompatibel
Injektion Gentamicin sulfate 2 mg/ml
Parenterale Ernährung (mit Lipiden) 4507
Nicht spezifizierte Inkompatibilität nicht kompatibel
Injektion Gentamicin sulfate
Injektion Dalteparin sodium
3643
kompatibel
Injektion Gentamicin sulfate
Injektion Daptomycin
2271
kompatibel
Injektion Gentamicin sulfate 10 mg/ml
Parenterale Ernährung (Lipid-frei) 316
kompatibel
Injektion Gentamicin sulfate
Injektion Dimenhydrinate
2087
kompatibel
Injektion Gentamicin sulfate 10 & 40 mg/ml
Parenterale Ernährung (Lipid-frei) 999
Subvisuelle Inkompatibilität nicht kompatibel
Injektion Gentamicin sulfate
Injektion Daunorubicin/cytarabine liposomale
4354
kompatibel
Injektion Gentamicin sulfate 1 mg/ml
Parenterale Ernährung (Lipid-frei) 939
Sofortige Trübung nicht kompatibel
Injektion Gentamicin sulfate
Injektion Daunorubicin/cytarabine liposomale 0,4 mg/mL
0,9% Natriumchlorid 4654
kompatibel
Injektion Gentamicin sulfate 0.8 mg/ml
Injektion Diatrizoate meglumine 283 mg/ml
Kein 1085
kompatibel
Injektion Gentamicin sulfate 2.4 & 40 mg/ml
Injektion Diltiazem hydrochloride 5 mg/ml
0,9% Natriumchlorid 198
kompatibel
Injektion Gentamicin sulfate 5 mg/ml
Injektion Docetaxel 0.9 mg/ml
5% Glucose 1754
Nicht spezifizierte Inkompatibilität nicht kompatibel
Injektion Gentamicin sulfate
Injektion Dopamine hydrochloride
3638
kompatibel
Injektion Gentamicin sulfate 5 mg/ml
Parenterale Ernährung (Lipid-frei) 301
kompatibel
Injektion Gentamicin sulfate 5 mg/ml
Injektion Doripenem 5 mg/ml
0,9% Natriumchlorid 2262
Nicht spezifizierte Inkompatibilität nicht kompatibel
Injektion Gentamicin sulfate
NaHCO3 3520
kompatibel
Injektion Gentamicin sulfate 2 mg/ml
Injektion Dopamine hydrochloride 0.8 mg/ml
5% Glucose 738
Produktion von Gasblasen nicht kompatibel
Injektion Gentamicin sulfate
NaHCO3 3643
kompatibel
Injektion Gentamicin sulfate 5 mg/ml
Injektion Dexmedetomidine 4 µg/ml
0,9% Natriumchlorid 1712
kompatibel
Injektion Gentamicin sulfate 5 mg/ml
Injektion Doripenem 5 mg/ml
5% Glucose 2262
kompatibel
Injektion Gentamicin sulfate 5 mg/ml
Parenterale Ernährung (mit Lipiden) 1415
kompatibel
Injektion Gentamicin sulfate 10 mg/ml
Injektion Doxapram hydrochloride 2 mg/ml
5% Glucose 1802
kompatibel
Injektion Gentamicin sulfate 5 mg/ml
Injektion Doxorubicin hydrochloride liposome peg 0.4 mg/ml
5% Glucose 251
kompatibel
Injektion Gentamicin sulfate 0.8 mg/ml
Injektion Enalaprilate 0.05 mg/ml
0,9% Natriumchlorid 1315
Nicht spezifizierte Inkompatibilität nicht kompatibel
Injektion Gentamicin sulfate
Injektion Enoxaparin sodium
3643
kompatibel
Injektion Gentamicin sulfate 5 mg/ml
Injektion Eravacycline 0,6 mg/ml
0,9% Natriumchlorid 4434
Nicht spezifizierte Inkompatibilität nicht kompatibel
Injektion Gentamicin sulfate
Injektion Erythromycin lactobionate
3674
Nicht spezifizierte Inkompatibilität nicht kompatibel
Injektion Gentamicin sulfate
Injektion Erythromycin lactobionate
3520
Nicht spezifizierte Inkompatibilität nicht kompatibel
Injektion Gentamicin sulfate
Injektion Erythromycin lactobionate
3643
kompatibel
Injektion Gentamicin sulfate 0,8 mg/ml
Injektion Esmolol hydrochloride 10 mg/ml
5% Glucose 384
kompatibel
Injektion Gentamicin sulfate 5 mg/ml
Injektion Etoposide phosphate 5 mg/ml
5% Glucose 1410
kompatibel
Injektion Gentamicin sulfate 5 mg/ml
Injektion Famotidine 2 mg/ml
0,9% Natriumchlorid 215
kompatibel
Injektion Gentamicin sulfate 0,8 mg/ml
Injektion Famotidine
5% Glucose 397
kompatibel
Injektion Gentamicin sulfate 5 mg/ml
Injektion Fenoldopam mesylate 80 µg/ml
0,9% Natriumchlorid 1803
kompatibel
Injektion Gentamicin sulfate 10 mg/ml
Injektion Fentanyl citrate 50 µg/ml
5% Glucose 63
kompatibel
Injektion Gentamicin sulfate 1.6 mg/ml
Injektion Filgrastim 40 µg/ml
5% Glucose 104
kompatibel
Injektion Gentamicin sulfate 5 mg/ml
Injektion Filgrastim 30 µg/ml
5% Glucose 244
Nicht spezifizierte Inkompatibilität nicht kompatibel
Injektion Gentamicin sulfate
Injektion Flucloxacillin sodium
3643
Sofortiger Niederschlag nicht kompatibel
Injektion Gentamicin sulfate
Injektion Flucloxacillin sodium
3522
kompatibel
Injektion Gentamicin sulfate 1 mg/ml
Injektion Fluconazole 2 mg/ml
Kein 256
kompatibel
Injektion Gentamicin sulfate 4 mg/ml
Injektion Fluconazole 2 mg/ml
0,9% Natriumchlorid 496
kompatibel
Injektion Gentamicin sulfate 5 mg/ml
Injektion Fludarabine phosphate 1 mg/ml
5% Glucose 492
kompatibel
Injektion Gentamicin sulfate 2 mg/ml
Injektion Foscarnet sodium 24 mg/ml
0,9% Natriumchlorid 1135
kompatibel
Injektion Gentamicin sulfate 2 mg/ml
Injektion Foscarnet sodium 24 mg/ml
5% Glucose 1135
kompatibel
Injektion Gentamicin sulfate 4 mg/ml
Injektion Foscarnet sodium 24 mg/ml
Kein 73
kompatibel
Injektion Gentamicin sulfate 10 mg/ml
Ringer Lactat - Lösung 4603
kompatibel
Injektion Gentamicin sulfate 5 mg/ml
Injektion Fosfomycin 30 mg/ml
0,9% Natriumchlorid 4055
Sofortiger Niederschlag nicht kompatibel
Injektion Gentamicin sulfate 0,4 mg/ml
Parenterale Ernährung (mit Lipiden) 4440
kompatibel
Injektion Gentamicin sulfate 40 mg/ml
Parenterale Ernährung (mit Lipiden) 673
kompatibel
Injektion Gentamicin sulfate 5 mg/ml
Injektion Fosfomycin 30 mg/ml
5% Glucose 4055
Sofortiger Niederschlag nicht kompatibel
Injektion Gentamicin sulfate 10 mg/ml
Injektion Furosemide 10 mg/ml
789
Sofortiger Niederschlag nicht kompatibel
Injektion Gentamicin sulfate 1,6 mg/ml
Injektion Furosemide 0,8 mg/ml
5% Glucose 367
Sofortiger Niederschlag nicht kompatibel
Injektion Gentamicin sulfate 1,6 mg/ml
Injektion Furosemide 0,8 mg/ml
0,9% Natriumchlorid 367
Sofortige Trübung nicht kompatibel
Injektion Gentamicin sulfate 6.4 mg/ml
Injektion Furosemide 5 mg/ml
805
Niederschlag nach 2 Stunden nicht kompatibel
Injektion Gentamicin sulfate 8 mg/ml
Injektion Furosemide 1 mg/ml
0,9% Natriumchlorid 1232
kompatibel
Injektion Gentamicin sulfate 5 mg/ml
Injektion Gemcitabine hydrochloride 10 mg/ml
0,9% Natriumchlorid 1423
kompatibel
Injektion Gentamicin sulfate 1.5 mg/ml
Injektion Granisetron hydrochloride 1 mg/ml
0,9% Natriumchlorid 57
kompatibel
Injektion Gentamicin sulfate 1 & 2 mg/ml
Injektion Heparin sodium 2500 UI/ml
4612
Sofortiger Niederschlag nicht kompatibel
Injektion Gentamicin sulfate 4 >> 40 mg/ml
Injektion Heparin sodium 10 >> 40 UI/ml
1258
Sofortiger Niederschlag nicht kompatibel
Injektion Gentamicin sulfate
Injektion Heparin sodium
1022
Nicht spezifizierte Inkompatibilität nicht kompatibel
Injektion Gentamicin sulfate 2 mg/ml
Injektion Heparin sodium 50 UI/ml
Kein 317
Nicht spezifizierte Inkompatibilität nicht kompatibel
Injektion Gentamicin sulfate
Injektion Heparin sodium
3643
Nicht spezifizierte Inkompatibilität nicht kompatibel
Injektion Gentamicin sulfate
Injektion Heparin sodium
3520
Nicht spezifizierte Inkompatibilität nicht kompatibel
Injektion Gentamicin sulfate
Injektion Heparin sodium
3540
Sofortige Trübung nicht kompatibel
Injektion Gentamicin sulfate 3 mg/ml
Injektion Heparin sodium 2500 UI/ml
4612
Sofortiger Niederschlag nicht kompatibel
Injektion Gentamicin sulfate 4 & 5 mg/ml
Injektion Heparin sodium 2500 UI/ml
4612
kompatibel
Injektion Gentamicin sulfate 5 mg/ml
Injektion Hetastarch 60 mg/ml
spezifische Lösungsmittel 1721
Sofortiger Niederschlag nicht kompatibel
Injektion Gentamicin sulfate 0.8 mg/ml
Injektion Hetastarch 60 mg/ml
0,9% Natriumchlorid 472
kompatibel
Injektion Gentamicin sulfate 0.8 mg/ml
Injektion Hydromorphone hydrochloride 0.2 mg/ml
5% Glucose 405
Farbwechsel nicht kompatibel
Injektion Gentamicin sulfate 3 mg/ml
Injektion Idarubicin hydrochloride 1 mg/ml
0,9% Natriumchlorid 491
Sofortiger Niederschlag nicht kompatibel
Injektion Gentamicin sulfate 1 mg/ml
Injektion Indomethacin sodium trihydrate 0,5 & 1 mg/ml
5% Glucose 494
Niederschlag nach 15 Minuten nicht kompatibel
Injektion Gentamicin sulfate 1 mg/ml
Injektion Indomethacin sodium trihydrate 0,5 & 1 mg/ml
5% Glucose 1745
kompatibel
Injektion Gentamicin sulfate 1.2 >> 2 mg/ml
Injektion Insulin 0.2 UI/ml
0,9% Natriumchlorid 129
kompatibel
Injektion Gentamicin sulfate 0.8 mg/ml
Injektion Iohexol 300 mg I/ml
Kein 1085
Sofortiger Niederschlag nicht kompatibel
Injektion Gentamicin sulfate 0.8 mg/ml
Injektion Ioxaglate 320 mg I/ml
Kein 1085
kompatibel
Injektion Gentamicin sulfate 5 mg/ml
Injektion Isavuconazonium sulfate 1.5 mg/ml
5% Glucose 3829
kompatibel
Injektion Gentamicin sulfate 5 mg/ml
Injektion Isavuconazonium sulfate 1.5 mg/ml
0,9% Natriumchlorid 3829
kompatibel
Injektion Gentamicin sulfate 40 mg/ml
Injektion Ketamine hydrochloride 50 mg/ml
2109
kompatibel
Injektion Gentamicin sulfate 0.8 mg/ml
Injektion Labetalol hydrochloride 1 mg/ml
5% Glucose 386
kompatibel
Injektion Gentamicin sulfate 5 mg/ml
Injektion Lansoprazole 0.55 mg/ml
0,9% Natriumchlorid 1625
kompatibel
Injektion Gentamicin sulfate 10 mg/ml
Injektion Levofloxacine 5 mg/ml
5% Glucose 1072
kompatibel
Injektion Gentamicin sulfate 0,75 mg/ml
Injektion Linezolid 1,80 mg/ml
2353
kompatibel
Injektion Gentamicin sulfate 5 mg/ml
Injektion Linezolid 2 mg/ml
Kein 1925
kompatibel
Injektion Gentamicin sulfate 3 mg/ml
Injektion Lorazepam 0.33 mg/ml
0,9% Natriumchlorid 186
kompatibel
Injektion Gentamicin sulfate 0.8 mg/ml
Injektion Magnesium sulfate 16.67 >> 100 mg/ml
5% Glucose 1047
kompatibel
Injektion Gentamicin sulfate 5 mg/ml
Injektion Melphalan 0.1 mg/ml
0,9% Natriumchlorid 169
kompatibel
Injektion Gentamicin sulfate 40 mg/ml
Injektion Meropenem 50 mg/ml
Wasser für injektable präparate 4319
kompatibel
Injektion Gentamicin sulfate 0.8 mg/ml
Injektion Meropenem 1 & 20 mg/ml
0,9% Natriumchlorid 266
kompatibel
Injektion Gentamicin sulfate 4 mg/ml
Injektion Meropenem 1 & 50 mg/ml
0,9% Natriumchlorid 266
kompatibel
Injektion Gentamicin sulfate 30 mg/ml
Injektion Meropenem 10 mg/ml
0,9% Natriumchlorid 2335
kompatibel
Injektion Gentamicin sulfate 0,8 & 1,2 mg/ml
Injektion Metronidazole 5 mg/ml
Kein 1243
kompatibel
Injektion Gentamicin sulfate 0.8 mg/ml
Injektion Metronidazole 5 mg/ml
Kein 1035
kompatibel
Injektion Gentamicin sulfate
Injektion Metronidazole
3594
kompatibel
Injektion Gentamicin sulfate 3 mg/ml
Injektion Midazolam hydrochloride 5 mg/ml
Kein 186
kompatibel
Injektion Gentamicin sulfate 10 mg/ml
Injektion Midazolam hydrochloride 1 mg/ml
5% Glucose 176
kompatibel
Injektion Gentamicin sulfate 0.8 mg/ml
Injektion Midazolam hydrochloride 0.05 >> 0.4 mg/ml
0,9% Natriumchlorid 1888
Nicht spezifizierte Inkompatibilität nicht kompatibel
Injektion Gentamicin sulfate
Injektion Mitomycin
4471
Chemische Instabilität nicht kompatibel
Injektion Gentamicin sulfate
Injektion Mitomycin
3128
kompatibel
Injektion Gentamicin sulfate 1.2 & 2 mg/ml
Injektion Morphine sulfate 1 mg/ml
0,9% Natriumchlorid 406
kompatibel
Injektion Gentamicin sulfate 0.8 mg/ml
Injektion Morphine sulfate 1 mg/ml
5% Glucose 405
Nicht spezifizierte Inkompatibilität nicht kompatibel
Injektion Gentamicin sulfate
Injektion Moxalactam
3643
Nicht spezifizierte Inkompatibilität nicht kompatibel
Injektion Gentamicin sulfate
Injektion Moxalactam
3520
kompatibel
Injektion Gentamicin sulfate 40 mg/ml
Injektion N-acetylcysteine 200 mg/ml
Kein 3766
Nicht spezifizierte Inkompatibilität nicht kompatibel
Injektion Gentamicin sulfate
Injektion Nadroparin
3643
Nicht spezifizierte Inkompatibilität nicht kompatibel
Injektion Gentamicin sulfate
Injektion Nafcillin sodium
3643
Nicht spezifizierte Inkompatibilität nicht kompatibel
Injektion Gentamicin sulfate
Injektion Nafcillin sodium
3520
kompatibel
Injektion Gentamicin sulfate 40 mg/ml
Injektion Naloxone hydrochloride 0.4 mg/ml
Kein 3408
kompatibel
Injektion Gentamicin sulfate 4.17 mg/ml
Injektion Nefopam 0.16 mg/ml
0,9% Natriumchlorid 4254
kompatibel
Injektion Gentamicin sulfate 4.17 mg/ml
Injektion Nefopam 0.16 mg/ml
5% Glucose 4254
kompatibel
Injektion Gentamicin sulfate 0.8 mg/ml
Injektion Nicardipine hydrochloride 0.1 mg/ml
5% Glucose 1490
kompatibel
Injektion Gentamicin sulfate 0.8 mg/ml
Injektion Nicardipine hydrochloride 0.1 mg/ml
0,9% Natriumchlorid 1490
kompatibel
Injektion Gentamicin sulfate 0,8 mg/ml
Injektion Ofloxacin 2 mg/ml
Kein 889
kompatibel
Injektion Gentamicin sulfate 5 mg/ml
Injektion Ondansetron hydrochloride 1 mg/ml
0,9% Natriumchlorid 334
kompatibel
Injektion Gentamicin sulfate 5 mg/ml
Injektion Oritavancin 0.8 >>2 mg/ml
5% Glucose 3152
Nicht spezifizierte Inkompatibilität nicht kompatibel
Injektion Gentamicin sulfate
Injektion Oxacillin sodium
3643
Nicht spezifizierte Inkompatibilität nicht kompatibel
Injektion Gentamicin sulfate
Injektion Oxacillin sodium
3520
kompatibel
Injektion Gentamicin sulfate 40 mg/ml
Injektion Oxycodone hydrochloride 1 mg/ml
0,9% Natriumchlorid 4842
kompatibel
Injektion Gentamicin sulfate 5 mg/ml
Injektion Paclitaxel 1.2 mg/ml
5% Glucose 248
kompatibel
Injektion Gentamicin sulfate 5 mg/ml
Injektion Palonosetron hydrochloride 50 µg/ml
5% Glucose 2228
kompatibel
Injektion Gentamicin sulfate 2 mg/ml
Injektion Pancuronium bromide 0.05 mg/ml
5% Glucose 402
Sofortiger Niederschlag nicht kompatibel
Injektion Gentamicin sulfate
Injektion Pantoprazole sodium
2090
kompatibel
Injektion Gentamicin sulfate 40 mg/ml
Injektion Paracetamol 10 mg/ml
4742
Sofortiger Niederschlag nicht kompatibel
Injektion Gentamicin sulfate 5 mg/ml
Injektion Pemetrexed disodium 20 mg/ml
1953
Nicht spezifizierte Inkompatibilität nicht kompatibel
Injektion Gentamicin sulfate
Injektion Penicillin G potassium
3643
Nicht spezifizierte Inkompatibilität nicht kompatibel
Injektion Gentamicin sulfate
Injektion Penicillin G potassium
3520
Nicht spezifizierte Inkompatibilität nicht kompatibel
Injektion Gentamicin sulfate
Injektion Penicillin G sodium
3643
Nicht spezifizierte Inkompatibilität nicht kompatibel
Injektion Gentamicin sulfate
Injektion Penicillin G sodium
3520
kompatibel
Injektion Gentamicin sulfate 10 mg/ml
Injektion Pentoxifyllin 5 mg/ml
0,9% Natriumchlorid 4543
kompatibel
Injektion Gentamicin sulfate 0.8 mg/ml
Injektion Pethidine hydrochloride 10 mg/ml
5% Glucose 405
Sofortiger Niederschlag nicht kompatibel
Injektion Gentamicin sulfate 10 mg/ml
Injektion Phenytoin sodium 50 mg/ml
789
kompatibel
Injektion Gentamicin sulfate 20 mg/ml
Injektion Phloroglucinol 2,5 mg/ml
3791
Nicht spezifizierte Inkompatibilität nicht kompatibel
Injektion Gentamicin sulfate
Injektion Piperacillin sodium
3520
Nicht spezifizierte Inkompatibilität nicht kompatibel
Injektion Gentamicin sulfate
Injektion Piperacillin sodium
3643
Nicht spezifizierte Inkompatibilität nicht kompatibel
Injektion Gentamicin sulfate
Injektion Piperacillin sodium / tazobactam
3520
Chemische Instabilität nicht kompatibel
Injektion Gentamicin sulfate
Injektion Piperacillin sodium / tazobactam
3586
Nicht spezifizierte Inkompatibilität nicht kompatibel
Injektion Gentamicin sulfate
Injektion Piperacillin sodium / tazobactam
3643
kompatibel
Injektion Gentamicin sulfate
Injektion Posaconazole
4380
kompatibel
Injektion Gentamicin sulfate 30 mg/ml
Injektion Potassium chloride 20 mEq/l
0,45 NaCl  5% Glucose 2335
Sofortige Instabilität der Emulsion nicht kompatibel
Injektion Gentamicin sulfate 2 mg/ml
Injektion Propofol
660
Nicht spezifizierte Inkompatibilität nicht kompatibel
Injektion Gentamicin sulfate 40 mg/ml
Injektion Propofol
4524
Sofortiger Niederschlag nicht kompatibel
Injektion Gentamicin sulfate 5 mg/ml
Injektion Propofol 10 mg/ml
Kein 300
kompatibel
Injektion Gentamicin sulfate 5 mg/ml
Injektion Remifentanil hydrochloride 25 & 250 µg/ml
0,9% Natriumchlorid 59
kompatibel
Injektion Gentamicin sulfate 40 mg/ml
Injektion Salbutamol sulfate 1 mg/ml
Kein 3216
kompatibel
Injektion Gentamicin sulfate 5 mg/ml
Injektion Sargramostim 10 µg/ml
0,9% Natriumchlorid 335
kompatibel
Injektion Gentamicin sulfate 10 mg/ml
Injektion Sildenafil citrate 0,6 mg/ml
5% Glucose 4845
kompatibel
Injektion Gentamicin sulfate 2,4 mg/ml
Injektion Sodium bicarbonate 40 mg/ml
Kein 3122
Produktion von Gasblasen nicht kompatibel
Injektion Gentamicin sulfate
Injektion Sodium bicarbonate
3643
kompatibel
Injektion Gentamicin sulfate 2.5 mg/ml
Injektion Sodium citrate 40 mg/ml
Wasser für injektable präparate 3952
kompatibel
Injektion Gentamicin sulfate 40 mg/ml
Injektion Sugammadex 100 mg/ml
Kein 3372
kompatibel
Injektion Gentamicin sulfate 5 mg/ml
Injektion Sulbactam/durlobactam 15/15 mg/ml
0,9% Natriumchlorid 4801
kompatibel
Injektion Gentamicin sulfate 4 mg/ml
Injektion Tacrolimus 1000 µg/ml
0,9% Natriumchlorid 479
kompatibel
Injektion Gentamicin sulfate
0,9% Natriumchlorid 1704
kompatibel
Injektion Gentamicin sulfate
0,9% Natriumchlorid 434
Nicht spezifizierte Inkompatibilität nicht kompatibel
Injektion Gentamicin sulfate
Injektion Sodium bicarbonate
3520
kompatibel
Injektion Gentamicin sulfate 1 >> 5 mg/ml
Injektion Sodium citrate 40 mg/ml
Kein 2019
Sofortige Trübung nicht kompatibel
Injektion Gentamicin sulfate 5 mg/ml
Injektion Tedizolid phosphate 0.8 mg/ml
0,9% Natriumchlorid 3827
Nicht spezifizierte Inkompatibilität nicht kompatibel
Injektion Gentamicin sulfate
Injektion Teicoplanine
3656
kompatibel
Injektion Gentamicin sulfate 5 mg/ml
Injektion Telavancin hydrochloride 7.5 mg/ml
Ringer Lactat - Lösung 3254
kompatibel
Injektion Gentamicin sulfate 5 mg/ml
Injektion Telavancin hydrochloride 7.5 mg/ml
0,9% Natriumchlorid 3254
kompatibel
Injektion Gentamicin sulfate 5 mg/ml
Injektion Telavancin hydrochloride 7.5 mg/ml
5% Glucose 3254
kompatibel
Injektion Gentamicin sulfate 6 mg/ml
Injektion Temocilline 83.33 mg/ml
Wasser für injektable präparate 2231
Nicht spezifizierte Inkompatibilität nicht kompatibel
Injektion Gentamicin sulfate
Injektion Temocilline
3643
Nicht spezifizierte Inkompatibilität nicht kompatibel
Injektion Gentamicin sulfate
Injektion Temocilline
3520
Nicht spezifizierte Inkompatibilität nicht kompatibel
Injektion Gentamicin sulfate
Injektion Temocilline
2296
kompatibel
Injektion Gentamicin sulfate 5 mg/ml
Injektion Teniposide 0.1 mg/ml
5% Glucose 905
kompatibel
Injektion Gentamicin sulfate 2 mg/ml
Injektion Theophylline 4 mg/ml
Kein 317
Sofortiger Niederschlag nicht kompatibel
Injektion Gentamicin sulfate 40 mg/ml
Injektion Thiopental sodium 25 mg/ml
0,9% Natriumchlorid 3767
kompatibel
Injektion Gentamicin sulfate 5 mg/ml
Injektion Thiotepa 1 mg/ml
5% Glucose 249
Chemische Instabilität nicht kompatibel
Injektion Gentamicin sulfate
Injektion Ticarcillin / clavulanic acid
3587
Nicht spezifizierte Inkompatibilität nicht kompatibel
Injektion Gentamicin sulfate
Injektion Ticarcillin / clavulanic acid
3643
Nicht spezifizierte Inkompatibilität nicht kompatibel
Injektion Gentamicin sulfate
Injektion Ticarcillin / clavulanic acid
3520
kompatibel
Injektion Gentamicin sulfate
Injektion Tigecycline
0,9% Natriumchlorid 3332
kompatibel
Injektion Gentamicin sulfate 6 mg/ml
Injektion Vancomycin hydrochloride 10 mg/ml
5% Glucose 3385
kompatibel
Injektion Gentamicin sulfate 1.2 mg/ml
Injektion Vasopressin 0.2 UI/ml
0,9% Natriumchlorid 2017
kompatibel
Injektion Gentamicin sulfate 2 mg/ml
Injektion Vecuronium bromide 0.1 mg/ml
5% Glucose 402
kompatibel
Injektion Gentamicin sulfate 0.16 mg/ml
Injektion Verapamil hydrochloride 0.08 mg/ml
5% Glucose 1057
kompatibel
Injektion Gentamicin sulfate 0.16 mg/ml
Injektion Verapamil hydrochloride 0.08 mg/ml
0,9% Natriumchlorid 1057
kompatibel
Injektion Gentamicin sulfate 5 mg/ml
Injektion Vinorelbine tartrate 1 mg/ml
0,9% Natriumchlorid 84
Sofortige Trübung nicht kompatibel
Injektion Gentamicin sulfate 1.6 mg/ml
Injektion Warfarin sodium 2 mg/ml
5% Glucose 315
kompatibel
Injektion Gentamicin sulfate 2 mg/ml
Injektion Zidovudine 4 mg/ml
5% Glucose 337

  Mentions Légales