آخر تحديث :
18/03/2026
مضاد حيوي   Gentamicin sulfate  
حقن
قطرات العين
الاستقرار في حلول استقرار مخاليط العوامل التي تؤثر على الاستقرار التوافق طريقة التعاطي مراجع pdf
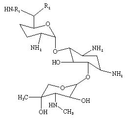
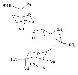
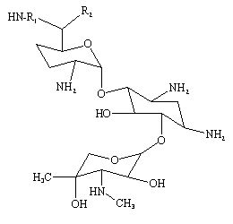
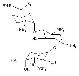
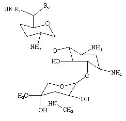
   التركيب الكيميائي  

حجز الاسم التجاري   حجز الاسم التجاري     

تحذير الأسماء التجاريه المختلفه قد تحتوي علي محتوي إضافات مختلفة حسب الدوله و المعمل

Azupel بيرو
Cidomycin بريطانيا العظمي, تونس, مصر
Dabroson يونان
Epigent مصر
Garalone البرتغال
Garamicina الإكوادور, البرازيل, المكسيك, كولومبيا
Garamycin الإمارات العربية المتحدة, الدنمارك, النرويج, الهند, بولندا, سويسرا, كرواتيا, مصر, هولندا, يونان
Genmisin تركيا
Gensif تركيا
Gensumycin السويد, النرويج, فنلندا
Genta-Gobens إسبانيا
Gentalline المغرب
Gentamen المغرب
Genticin الإمارات العربية المتحدة, ايرلندا, بريطانيا العظمي
Gentreks تركيا
Hexamycin الدنمارك
Plurisemina الأرجنتين
Refobacin ألمانيا, النمسا, كولومبيا, مصر
Rupegen الأرجنتين
التوافق   حقن   التوافق : Gentamicin sulfate              
This screen indicates the compatibilities or incompatibilities with, in this case, the type of incompatibility (precipitation, color change, modification of an emulsion, etc.). The compatibilities shown here are mostly physical only, with the chemical stability of each molecule rarely being assessed. The evaluation of these mixtures was studied to consider the possibility of Y-site administration to the patient. These data cannot be used for making mixtures in advance in bags or syringes. This type of information is available in the screen "Stability in mixture ».
مركب مذيب مراجع
kompatibel
حقن Gentamicin sulfate 1.6 mg/ml
حقن Aciclovir sodium 5 mg/ml
الجلوكوز %5 336
هطول فوري غير متوافق
حقن Gentamicin sulfate 30 mg/ml
حقن Aciclovir sodium 5 mg/ml
كلوريد الصوديوم 0.9% 2335
هطول الأمطار بعد 1 ساعة غير متوافق
حقن Gentamicin sulfate 5 mg/ml
حقن Allopurinol sodium 3 mg/ml
كلوريد الصوديوم 0.9% 307
kompatibel
حقن Gentamicin sulfate 1 mg/ml
حقن Alprostadil 15 µg/ml
3201
kompatibel
حقن Gentamicin sulfate 5 mg/ml
حقن Amifostine 10 mg/ml
الجلوكوز %5 3
kompatibel
حقن Gentamicin sulfate 0.8 mg/ml
حقن Amiodarone hydrochloride 4 mg/ml
كلوريد الصوديوم 0.9% 385
kompatibel
حقن Gentamicin sulfate 0.8 mg/ml
حقن Amiodarone hydrochloride 4 mg/ml
الجلوكوز %5 385
عدم توافق غير محدد غير متوافق
حقن Gentamicin sulfate
حقن Amoxicillin sodium
3643
عدم توافق غير محدد غير متوافق
حقن Gentamicin sulfate
حقن Amoxicillin sodium
3520
عدم الاستقرار الكيميائي غير متوافق
حقن Gentamicin sulfate
حقن Amoxicillin sodium
3527
عدم توافق غير محدد غير متوافق
حقن Gentamicin sulfate
حقن Amoxicillin sodium / clavulanic acid
3643
عدم توافق غير محدد غير متوافق
حقن Gentamicin sulfate
حقن Amoxicillin sodium / clavulanic acid
3545
عدم توافق غير محدد غير متوافق
حقن Gentamicin sulfate
حقن Amoxicillin sodium / clavulanic acid
3520
kompatibel
حقن Gentamicin sulfate 40 mg/ml
حقن Amoxicillin sodium / clavulanic acid 100/10 mg/ml
3824
هطول فوري غير متوافق
حقن Gentamicin sulfate 5 mg/ml
حقن Amphotericin B cholesteryl sulfate complex 0,83 mg/ml
الجلوكوز %5 921
عدم توافق غير محدد غير متوافق
حقن Gentamicin sulfate
حقن Ampicillin sodium
3643
عدم توافق غير محدد غير متوافق
حقن Gentamicin sulfate
حقن Ampicillin sodium
3520
عدم توافق غير محدد غير متوافق
حقن Gentamicin sulfate
حقن Ampicillin sodium - sulbactam sodium
3643
عدم توافق غير محدد غير متوافق
حقن Gentamicin sulfate
حقن Ampicillin sodium - sulbactam sodium
3520
kompatibel
حقن Gentamicin sulfate 5 mg/ml
حقن Amsacrine 1 mg/ml
الجلوكوز %5 253
kompatibel
حقن Gentamicin sulfate 5 mg/ml
حقن Anidulafungin 0.5 mg/ml
الجلوكوز %5 1982
kompatibel
حقن Gentamicin sulfate 0,8 mg/ml
حقن Atosiban 0,75 mg/ml
4642
kompatibel
حقن Gentamicin sulfate 2 mg/ml
حقن Atracurium besylate 0.5 mg/ml
الجلوكوز %5 402
هطول فوري غير متوافق
حقن Gentamicin sulfate 21 mg/ml
حقن Azithromycine 2 mg/ml
كلوريد الصوديوم 0.9% 1800
kompatibel
حقن Gentamicin sulfate 5 mg/ml
حقن Aztreonam 40 mg/ml
الجلوكوز %5 99
kompatibel
حقن Gentamicin sulfate 0.2 & 0.8 mg/ml
حقن Aztreonam 10 & 20 mg/ml
كلوريد الصوديوم 0.9% 19
kompatibel
حقن Gentamicin sulfate 0.2 & 0.8 mg/ml
حقن Aztreonam 10 & 20 mg/ml
الجلوكوز %5 19
kompatibel
حقن Gentamicin sulfate 5 mg/ml
حقن Bivalirudin 5 mg/ml
الجلوكوز %5 1713
kompatibel
حقن Gentamicin sulfate 10 mg/ml
حقن Caffeine 10 mg/ml
لا شيء 3964
kompatibel
حقن Gentamicin sulfate 10 mg/ml
حقن Caffeine 10 mg/ml
كلوريد الصوديوم 0.9% 4837
kompatibel
حقن Gentamicin sulfate 10 mg/ml
حقن Caffeine citrate 20 mg/ml
كلوريد الصوديوم 0.9% 4837
عدم توافق غير محدد غير متوافق
حقن Gentamicin sulfate
حقن Calcium gluconate
3644
غير متوافق
حقن Gentamicin sulfate
حقن Calcium gluconate
4964
kompatibel
حقن Gentamicin sulfate 5 mg/ml
حقن Caspofungin acetate 0,7 mg/ml
كلوريد الصوديوم 0.9% 2247
عدم توافق غير محدد غير متوافق
حقن Gentamicin sulfate
حقن Cefalotin sodium
3520
عدم توافق غير محدد غير متوافق
حقن Gentamicin sulfate
حقن Cefalotin sodium
3643
هطول فوري غير متوافق
حقن Gentamicin sulfate
حقن Cefamandole nafate 2 >> 100 mg/ml
الجلوكوز %5 612
عدم توافق غير محدد غير متوافق
حقن Gentamicin sulfate
حقن Cefamandole nafate
3643
عدم توافق غير محدد غير متوافق
حقن Gentamicin sulfate
حقن Cefamandole nafate
3520
عدم توافق غير محدد غير متوافق
حقن Gentamicin sulfate
حقن Cefamandole nafate
3546
هطول فوري غير متوافق
حقن Gentamicin sulfate
حقن Cefamandole nafate 2 >> 100 mg/ml
كلوريد الصوديوم 0.9% 612
عدم توافق غير محدد غير متوافق
حقن Gentamicin sulfate
حقن Cefazolin sodium
3520
عدم توافق غير محدد غير متوافق
حقن Gentamicin sulfate
حقن Cefazolin sodium
3643
عدم توافق غير محدد غير متوافق
حقن Gentamicin sulfate
حقن Cefepime dihydrochloride
3520
kompatibel
حقن Gentamicin sulfate 6 mg/ml
حقن Cefepime dihydrochloride 125 mg/ml
حقن المياه لل 2141
عدم توافق غير محدد غير متوافق
حقن Gentamicin sulfate
حقن Cefepime dihydrochloride
3548
عدم توافق غير محدد غير متوافق
حقن Gentamicin sulfate
حقن Cefepime dihydrochloride
3643
kompatibel
حقن Gentamicin sulfate 5 mg/ml
حقن Cefiderocol sulfate tosylate 20 mg/mL
الجلوكوز %5 4528
kompatibel
حقن Gentamicin sulfate 5 mg/ml
حقن Cefiderocol sulfate tosylate 20 mg/mL
كلوريد الصوديوم 0.9% 4528
عدم توافق غير محدد غير متوافق
حقن Gentamicin sulfate
حقن Cefmenoxime
3520
عدم توافق غير محدد غير متوافق
حقن Gentamicin sulfate
حقن Cefmenoxime
3643
عدم توافق غير محدد غير متوافق
حقن Gentamicin sulfate
حقن Cefmetazole sodium
3520
عدم توافق غير محدد غير متوافق
حقن Gentamicin sulfate
حقن Cefmetazole sodium
3643
عدم توافق غير محدد غير متوافق
حقن Gentamicin sulfate
حقن Cefonicid sodium
3643
عدم توافق غير محدد غير متوافق
حقن Gentamicin sulfate
حقن Cefonicid sodium
3520
عدم توافق غير محدد غير متوافق
حقن Gentamicin sulfate
حقن Cefoperazone sodium
3544
عدم توافق غير محدد غير متوافق
حقن Gentamicin sulfate
حقن Cefoperazone sodium
3643
هطول فوري غير متوافق
حقن Gentamicin sulfate 0.8 mg/ml
حقن Cefoperazone sodium 10 mg/ml
الجلوكوز %5 1206
عدم توافق غير محدد غير متوافق
حقن Gentamicin sulfate
حقن Cefoperazone sodium
3520
عدم توافق غير محدد غير متوافق
حقن Gentamicin sulfate
حقن Ceforanide
3643
عدم توافق غير محدد غير متوافق
حقن Gentamicin sulfate
حقن Ceforanide
3520
عدم توافق غير محدد غير متوافق
حقن Gentamicin sulfate
حقن Cefotaxime sodium
3520
عدم توافق غير محدد غير متوافق
حقن Gentamicin sulfate
حقن Cefotaxime sodium
3643
عدم توافق غير محدد غير متوافق
حقن Gentamicin sulfate
حقن Cefoxitin sodium
3643
عدم توافق غير محدد غير متوافق
حقن Gentamicin sulfate
حقن Cefoxitin sodium
3520
kompatibel
حقن Gentamicin sulfate 1 mg/ml
حقن Cefpirome sulfate 50 mg/ml
كلوريد الصوديوم 0.9% 280
kompatibel
حقن Gentamicin sulfate 1 mg/ml
حقن Cefpirome sulfate 50 mg/ml
محلول رينجر  اللاكتات 280
kompatibel
حقن Gentamicin sulfate 1 mg/ml
حقن Cefpirome sulfate 50 mg/ml
كلوريد الصوديوم 0.45% 280
عدم توافق غير محدد غير متوافق
حقن Gentamicin sulfate
حقن Cefpirome sulfate
3643
عدم توافق غير محدد غير متوافق
حقن Gentamicin sulfate
حقن Cefpirome sulfate
3677
kompatibel
حقن Gentamicin sulfate 1 mg/ml
حقن Cefpirome sulfate 50 mg/ml
الجلوكوز %5 280
عدم توافق غير محدد غير متوافق
حقن Gentamicin sulfate
حقن Cefpirome sulfate
3520
kompatibel
حقن Gentamicin sulfate 5 mg/ml
حقن Ceftaroline fosamil 2,22 mg/ml
كلوريد الصوديوم 0.9% 3249
kompatibel
حقن Gentamicin sulfate 5 mg/ml
حقن Ceftaroline fosamil 2,22 mg/ml
محلول رينجر  اللاكتات 3249
kompatibel
حقن Gentamicin sulfate 5 mg/ml
حقن Ceftaroline fosamil 2,22 mg/ml
الجلوكوز %5 3249
عدم توافق غير محدد غير متوافق
حقن Gentamicin sulfate
حقن Ceftaroline fosamil
3643
عدم توافق غير محدد غير متوافق
حقن Gentamicin sulfate
حقن Ceftaroline fosamil
3520
عدم توافق غير محدد غير متوافق
حقن Gentamicin sulfate
حقن Ceftazidime
3543
عدم توافق غير محدد غير متوافق
حقن Gentamicin sulfate
حقن Ceftazidime
3520
عدم توافق غير محدد غير متوافق
حقن Gentamicin sulfate
حقن Ceftazidime
3643
kompatibel
حقن Gentamicin sulfate 6 mg/ml
حقن Ceftazidime 125 mg/ml
حقن المياه لل 2141
kompatibel
حقن Gentamicin sulfate 6 mg/ml
حقن Ceftazidime 83.3 mg/ml
1759
عدم توافق غير محدد غير متوافق
حقن Gentamicin sulfate
حقن Ceftazidime
3883
عدم توافق غير محدد غير متوافق
حقن Gentamicin sulfate
حقن Ceftazidime Avibactam
3520
عدم توافق غير محدد غير متوافق
حقن Gentamicin sulfate
حقن Ceftazidime Avibactam
3643
عدم توافق غير محدد غير متوافق
حقن Gentamicin sulfate
حقن Ceftizoxime sodium
3643
عدم توافق غير محدد غير متوافق
حقن Gentamicin sulfate
حقن Ceftizoxime sodium
3520
عدم توافق غير محدد غير متوافق
حقن Gentamicin sulfate
حقن Ceftobiprole medocaril sodium
3643
عدم توافق غير محدد غير متوافق
حقن Gentamicin sulfate
حقن Ceftobiprole medocaril sodium
4650
هطول فوري غير متوافق
حقن Gentamicin sulfate 5 mg/ml
حقن Ceftobiprole medocaril sodium 2 mg/ml
الجلوكوز %5 2269
هطول فوري غير متوافق
حقن Gentamicin sulfate 5 mg/ml
حقن Ceftobiprole medocaril sodium 2 mg/ml
محلول رينجر  اللاكتات 2269
هطول فوري غير متوافق
حقن Gentamicin sulfate 5 mg/ml
حقن Ceftobiprole medocaril sodium 2 mg/ml
كلوريد الصوديوم 0.9% 2269
عدم توافق غير محدد غير متوافق
حقن Gentamicin sulfate
حقن Ceftobiprole medocaril sodium
3520
kompatibel
حقن Gentamicin sulfate 5 mg/ml
حقن Ceftolozane / tazobactam 10/5 mg/ml
الجلوكوز %5 3828
عدم توافق غير محدد غير متوافق
حقن Gentamicin sulfate
حقن Ceftolozane / tazobactam
3643
عدم توافق غير محدد غير متوافق
حقن Gentamicin sulfate
حقن Ceftolozane / tazobactam
3520
kompatibel
حقن Gentamicin sulfate 5 mg/ml
حقن Ceftolozane / tazobactam 10/5 mg/ml
كلوريد الصوديوم 0.9% 3828
عدم توافق غير محدد غير متوافق
حقن Gentamicin sulfate
حقن Ceftriaxone disodium
3523
عدم توافق غير محدد غير متوافق
حقن Gentamicin sulfate
حقن Ceftriaxone disodium
3643
عدم توافق غير محدد غير متوافق
حقن Gentamicin sulfate
حقن Ceftriaxone disodium
3520
عدم توافق غير محدد غير متوافق
حقن Gentamicin sulfate
حقن Cefuroxime sodium
3643
عدم توافق غير محدد غير متوافق
حقن Gentamicin sulfate
حقن Cefuroxime sodium
3520
عدم توافق غير محدد غير متوافق
حقن Gentamicin sulfate
حقن Cefuroxime sodium
3687
عدم توافق غير محدد غير متوافق
حقن Gentamicin sulfate
حقن Cefuzonam
3520
kompatibel
حقن Gentamicin sulfate 0.8 mg/ml
حقن Cimetidine hydrochloride 3 mg/ml
الجلوكوز %5 1201
kompatibel
حقن Gentamicin sulfate 0.08 mg/ml
حقن Cimetidine hydrochloride 1.2 & 5 mg/ml
كلوريد الصوديوم 0.9% 1201
kompatibel
حقن Gentamicin sulfate 0.08 mg/ml
حقن Cimetidine hydrochloride 1.2 & 5 mg/ml
الجلوكوز %5 1201
kompatibel
حقن Gentamicin sulfate 10 mg/ml
حقن Ciprofloxacin lactate 2 mg/ml
كلوريد الصوديوم 0.9% 289
kompatibel
حقن Gentamicin sulfate 1.6 mg/ml
حقن Ciprofloxacin lactate 2 mg/ml
الجلوكوز %5 285
kompatibel
حقن Gentamicin sulfate 5 mg/ml
حقن Cisatracurium besylate 0.1 >> 5 mg/ml
الجلوكوز %5 299
عدم الاستقرار الكيميائي غير متوافق
حقن Gentamicin sulfate
حقن Cisplatin
3578
kompatibel
حقن Gentamicin sulfate 12 mg/ml
حقن Clindamycin phosphate 90 mg/ml
كلوريد الصوديوم 0.9% 639
kompatibel
حقن Gentamicin sulfate 0.67 mg/ml
حقن Clindamycin phosphate 6 mg/ml
الجلوكوز %5 423
kompatibel
حقن Gentamicin sulfate
الجلوكوز %5 434
عدم توافق غير محدد غير متوافق
حقن Gentamicin sulfate
حقن Cefuzonam
3643
kompatibel
حقن Gentamicin sulfate 1 mg/ml
حقن Ciprofloxacin lactate 1.5 mg/ml
كلوريد الصوديوم 0.9% 434
kompatibel
حقن Gentamicin sulfate 1.6 mg/ml
حقن Ciprofloxacin lactate 2 mg/ml
الجلوكوز %5 288
kompatibel
حقن Gentamicin sulfate 1.6 mg/ml
حقن Ciprofloxacin lactate 2 mg/ml
كلوريد الصوديوم 0.9% 288
kompatibel
حقن Gentamicin sulfate 1 mg/ml
حقن Ciprofloxacin lactate 1.5 mg/ml
الجلوكوز %5 434
kompatibel
حقن Gentamicin sulfate
حقن Clindamycin phosphate
كلوريد الصوديوم 0.9% 3526
هطول فوري غير متوافق
حقن Gentamicin sulfate 40 mg/ml
حقن Cloxacillin sodium 100 mg/ml
حقن المياه لل 3012
kompatibel
حقن Gentamicin sulfate 15 mg/ml
حقن Cytarabine 16 mg/ml
كلوريد الصوديوم 0.9% 132
غير متوافق
حقن Gentamicin sulfate 2 & 10 mg/ml
التغذية الوريدية (مع الدهون) 4924
kompatibel
حقن Gentamicin sulfate
حقن Clindamycin phosphate
الجلوكوز %5 3526
عدم توافق غير محدد غير متوافق
حقن Gentamicin sulfate
حقن Cloxacillin sodium
3520
عدم توافق غير محدد غير متوافق
حقن Gentamicin sulfate
حقن Cytarabine
3580
kompatibel
حقن Gentamicin sulfate 1,5 mg/ml
حقن Daptomycin 19,2 mg/ml
كلوريد الصوديوم 0.9% 1937
kompatibel
حقن Gentamicin sulfate 0,05 mg/ml
 التغذية الوريدية (خالية من الدهن) 4445
عدم توافق غير محدد غير متوافق
حقن Gentamicin sulfate
حقن Cloxacillin sodium
3643
عدم ثبات المستحلب بعد 4 ساعة غير متوافق
حقن Gentamicin sulfate 2 mg/ml
التغذية الوريدية (مع الدهون) 4507
عدم توافق غير محدد غير متوافق
حقن Gentamicin sulfate
حقن Dalteparin sodium
3643
kompatibel
حقن Gentamicin sulfate
حقن Daptomycin
2271
kompatibel
حقن Gentamicin sulfate 10 mg/ml
 التغذية الوريدية (خالية من الدهن) 316
kompatibel
حقن Gentamicin sulfate
حقن Dimenhydrinate
2087
kompatibel
حقن Gentamicin sulfate 10 & 40 mg/ml
 التغذية الوريدية (خالية من الدهن) 999
عدم التوافق المرئي غير متوافق
حقن Gentamicin sulfate
حقن Daunorubicin/cytarabine liposomale
4354
kompatibel
حقن Gentamicin sulfate 1 mg/ml
 التغذية الوريدية (خالية من الدهن) 939
التعكر الفوري غير متوافق
حقن Gentamicin sulfate
حقن Daunorubicin/cytarabine liposomale 0,4 mg/mL
كلوريد الصوديوم 0.9% 4654
kompatibel
حقن Gentamicin sulfate 0.8 mg/ml
حقن Diatrizoate meglumine 283 mg/ml
لا شيء 1085
kompatibel
حقن Gentamicin sulfate 2.4 & 40 mg/ml
حقن Diltiazem hydrochloride 5 mg/ml
كلوريد الصوديوم 0.9% 198
kompatibel
حقن Gentamicin sulfate 5 mg/ml
حقن Docetaxel 0.9 mg/ml
الجلوكوز %5 1754
عدم توافق غير محدد غير متوافق
حقن Gentamicin sulfate
حقن Dopamine hydrochloride
3638
kompatibel
حقن Gentamicin sulfate 5 mg/ml
 التغذية الوريدية (خالية من الدهن) 301
kompatibel
حقن Gentamicin sulfate 5 mg/ml
حقن Doripenem 5 mg/ml
كلوريد الصوديوم 0.9% 2262
عدم توافق غير محدد غير متوافق
حقن Gentamicin sulfate
NaHCO3 3520
kompatibel
حقن Gentamicin sulfate 2 mg/ml
حقن Dopamine hydrochloride 0.8 mg/ml
الجلوكوز %5 738
إنتاج فقاعات الغاز غير متوافق
حقن Gentamicin sulfate
NaHCO3 3643
kompatibel
حقن Gentamicin sulfate 5 mg/ml
حقن Dexmedetomidine 4 µg/ml
كلوريد الصوديوم 0.9% 1712
kompatibel
حقن Gentamicin sulfate 5 mg/ml
حقن Doripenem 5 mg/ml
الجلوكوز %5 2262
kompatibel
حقن Gentamicin sulfate 5 mg/ml
التغذية الوريدية (مع الدهون) 1415
kompatibel
حقن Gentamicin sulfate 10 mg/ml
حقن Doxapram hydrochloride 2 mg/ml
الجلوكوز %5 1802
kompatibel
حقن Gentamicin sulfate 5 mg/ml
حقن Doxorubicin hydrochloride liposome peg 0.4 mg/ml
الجلوكوز %5 251
kompatibel
حقن Gentamicin sulfate 0.8 mg/ml
حقن Enalaprilate 0.05 mg/ml
كلوريد الصوديوم 0.9% 1315
عدم توافق غير محدد غير متوافق
حقن Gentamicin sulfate
حقن Enoxaparin sodium
3643
kompatibel
حقن Gentamicin sulfate 5 mg/ml
حقن Eravacycline 0,6 mg/ml
كلوريد الصوديوم 0.9% 4434
عدم توافق غير محدد غير متوافق
حقن Gentamicin sulfate
حقن Erythromycin lactobionate
3674
عدم توافق غير محدد غير متوافق
حقن Gentamicin sulfate
حقن Erythromycin lactobionate
3520
عدم توافق غير محدد غير متوافق
حقن Gentamicin sulfate
حقن Erythromycin lactobionate
3643
kompatibel
حقن Gentamicin sulfate 0,8 mg/ml
حقن Esmolol hydrochloride 10 mg/ml
الجلوكوز %5 384
kompatibel
حقن Gentamicin sulfate 5 mg/ml
حقن Etoposide phosphate 5 mg/ml
الجلوكوز %5 1410
kompatibel
حقن Gentamicin sulfate 5 mg/ml
حقن Famotidine 2 mg/ml
كلوريد الصوديوم 0.9% 215
kompatibel
حقن Gentamicin sulfate 0,8 mg/ml
حقن Famotidine
الجلوكوز %5 397
kompatibel
حقن Gentamicin sulfate 5 mg/ml
حقن Fenoldopam mesylate 80 µg/ml
كلوريد الصوديوم 0.9% 1803
kompatibel
حقن Gentamicin sulfate 10 mg/ml
حقن Fentanyl citrate 50 µg/ml
الجلوكوز %5 63
kompatibel
حقن Gentamicin sulfate 1.6 mg/ml
حقن Filgrastim 40 µg/ml
الجلوكوز %5 104
kompatibel
حقن Gentamicin sulfate 5 mg/ml
حقن Filgrastim 30 µg/ml
الجلوكوز %5 244
عدم توافق غير محدد غير متوافق
حقن Gentamicin sulfate
حقن Flucloxacillin sodium
3643
هطول فوري غير متوافق
حقن Gentamicin sulfate
حقن Flucloxacillin sodium
3522
kompatibel
حقن Gentamicin sulfate 1 mg/ml
حقن Fluconazole 2 mg/ml
لا شيء 256
kompatibel
حقن Gentamicin sulfate 4 mg/ml
حقن Fluconazole 2 mg/ml
كلوريد الصوديوم 0.9% 496
kompatibel
حقن Gentamicin sulfate 5 mg/ml
حقن Fludarabine phosphate 1 mg/ml
الجلوكوز %5 492
kompatibel
حقن Gentamicin sulfate 2 mg/ml
حقن Foscarnet sodium 24 mg/ml
كلوريد الصوديوم 0.9% 1135
kompatibel
حقن Gentamicin sulfate 2 mg/ml
حقن Foscarnet sodium 24 mg/ml
الجلوكوز %5 1135
kompatibel
حقن Gentamicin sulfate 4 mg/ml
حقن Foscarnet sodium 24 mg/ml
لا شيء 73
kompatibel
حقن Gentamicin sulfate 10 mg/ml
محلول رينجر  اللاكتات 4603
kompatibel
حقن Gentamicin sulfate 5 mg/ml
حقن Fosfomycin 30 mg/ml
كلوريد الصوديوم 0.9% 4055
هطول فوري غير متوافق
حقن Gentamicin sulfate 0,4 mg/ml
التغذية الوريدية (مع الدهون) 4440
kompatibel
حقن Gentamicin sulfate 40 mg/ml
التغذية الوريدية (مع الدهون) 673
kompatibel
حقن Gentamicin sulfate 5 mg/ml
حقن Fosfomycin 30 mg/ml
الجلوكوز %5 4055
هطول فوري غير متوافق
حقن Gentamicin sulfate 10 mg/ml
حقن Furosemide 10 mg/ml
789
هطول فوري غير متوافق
حقن Gentamicin sulfate 1,6 mg/ml
حقن Furosemide 0,8 mg/ml
الجلوكوز %5 367
هطول فوري غير متوافق
حقن Gentamicin sulfate 1,6 mg/ml
حقن Furosemide 0,8 mg/ml
كلوريد الصوديوم 0.9% 367
التعكر الفوري غير متوافق
حقن Gentamicin sulfate 6.4 mg/ml
حقن Furosemide 5 mg/ml
805
هطول الأمطار بعد 2 ساعات غير متوافق
حقن Gentamicin sulfate 8 mg/ml
حقن Furosemide 1 mg/ml
كلوريد الصوديوم 0.9% 1232
kompatibel
حقن Gentamicin sulfate 5 mg/ml
حقن Gemcitabine hydrochloride 10 mg/ml
كلوريد الصوديوم 0.9% 1423
kompatibel
حقن Gentamicin sulfate 1.5 mg/ml
حقن Granisetron hydrochloride 1 mg/ml
كلوريد الصوديوم 0.9% 57
kompatibel
حقن Gentamicin sulfate 1 & 2 mg/ml
حقن Heparin sodium 2500 UI/ml
4612
هطول فوري غير متوافق
حقن Gentamicin sulfate 4 >> 40 mg/ml
حقن Heparin sodium 10 >> 40 UI/ml
1258
هطول فوري غير متوافق
حقن Gentamicin sulfate
حقن Heparin sodium
1022
عدم توافق غير محدد غير متوافق
حقن Gentamicin sulfate 2 mg/ml
حقن Heparin sodium 50 UI/ml
لا شيء 317
عدم توافق غير محدد غير متوافق
حقن Gentamicin sulfate
حقن Heparin sodium
3643
عدم توافق غير محدد غير متوافق
حقن Gentamicin sulfate
حقن Heparin sodium
3520
عدم توافق غير محدد غير متوافق
حقن Gentamicin sulfate
حقن Heparin sodium
3540
التعكر الفوري غير متوافق
حقن Gentamicin sulfate 3 mg/ml
حقن Heparin sodium 2500 UI/ml
4612
هطول فوري غير متوافق
حقن Gentamicin sulfate 4 & 5 mg/ml
حقن Heparin sodium 2500 UI/ml
4612
kompatibel
حقن Gentamicin sulfate 5 mg/ml
حقن Hetastarch 60 mg/ml
مذيب معين 1721
هطول فوري غير متوافق
حقن Gentamicin sulfate 0.8 mg/ml
حقن Hetastarch 60 mg/ml
كلوريد الصوديوم 0.9% 472
kompatibel
حقن Gentamicin sulfate 0.8 mg/ml
حقن Hydromorphone hydrochloride 0.2 mg/ml
الجلوكوز %5 405
تغير اللون غير متوافق
حقن Gentamicin sulfate 3 mg/ml
حقن Idarubicin hydrochloride 1 mg/ml
كلوريد الصوديوم 0.9% 491
هطول فوري غير متوافق
حقن Gentamicin sulfate 1 mg/ml
حقن Indomethacin sodium trihydrate 0,5 & 1 mg/ml
الجلوكوز %5 494
هطول الأمطار بعد 15 دقيقة غير متوافق
حقن Gentamicin sulfate 1 mg/ml
حقن Indomethacin sodium trihydrate 0,5 & 1 mg/ml
الجلوكوز %5 1745
kompatibel
حقن Gentamicin sulfate 1.2 >> 2 mg/ml
حقن Insulin 0.2 UI/ml
كلوريد الصوديوم 0.9% 129
kompatibel
حقن Gentamicin sulfate 0.8 mg/ml
حقن Iohexol 300 mg I/ml
لا شيء 1085
هطول فوري غير متوافق
حقن Gentamicin sulfate 0.8 mg/ml
حقن Ioxaglate 320 mg I/ml
لا شيء 1085
kompatibel
حقن Gentamicin sulfate 5 mg/ml
حقن Isavuconazonium sulfate 1.5 mg/ml
الجلوكوز %5 3829
kompatibel
حقن Gentamicin sulfate 5 mg/ml
حقن Isavuconazonium sulfate 1.5 mg/ml
كلوريد الصوديوم 0.9% 3829
kompatibel
حقن Gentamicin sulfate 40 mg/ml
حقن Ketamine hydrochloride 50 mg/ml
2109
kompatibel
حقن Gentamicin sulfate 0.8 mg/ml
حقن Labetalol hydrochloride 1 mg/ml
الجلوكوز %5 386
kompatibel
حقن Gentamicin sulfate 5 mg/ml
حقن Lansoprazole 0.55 mg/ml
كلوريد الصوديوم 0.9% 1625
kompatibel
حقن Gentamicin sulfate 10 mg/ml
حقن Levofloxacine 5 mg/ml
الجلوكوز %5 1072
kompatibel
حقن Gentamicin sulfate 0,75 mg/ml
حقن Linezolid 1,80 mg/ml
2353
kompatibel
حقن Gentamicin sulfate 5 mg/ml
حقن Linezolid 2 mg/ml
لا شيء 1925
kompatibel
حقن Gentamicin sulfate 3 mg/ml
حقن Lorazepam 0.33 mg/ml
كلوريد الصوديوم 0.9% 186
kompatibel
حقن Gentamicin sulfate 0.8 mg/ml
حقن Magnesium sulfate 16.67 >> 100 mg/ml
الجلوكوز %5 1047
kompatibel
حقن Gentamicin sulfate 5 mg/ml
حقن Melphalan 0.1 mg/ml
كلوريد الصوديوم 0.9% 169
kompatibel
حقن Gentamicin sulfate 40 mg/ml
حقن Meropenem 50 mg/ml
حقن المياه لل 4319
kompatibel
حقن Gentamicin sulfate 0.8 mg/ml
حقن Meropenem 1 & 20 mg/ml
كلوريد الصوديوم 0.9% 266
kompatibel
حقن Gentamicin sulfate 4 mg/ml
حقن Meropenem 1 & 50 mg/ml
كلوريد الصوديوم 0.9% 266
kompatibel
حقن Gentamicin sulfate 30 mg/ml
حقن Meropenem 10 mg/ml
كلوريد الصوديوم 0.9% 2335
kompatibel
حقن Gentamicin sulfate 0,8 & 1,2 mg/ml
حقن Metronidazole 5 mg/ml
لا شيء 1243
kompatibel
حقن Gentamicin sulfate 0.8 mg/ml
حقن Metronidazole 5 mg/ml
لا شيء 1035
kompatibel
حقن Gentamicin sulfate
حقن Metronidazole
3594
kompatibel
حقن Gentamicin sulfate 3 mg/ml
حقن Midazolam hydrochloride 5 mg/ml
لا شيء 186
kompatibel
حقن Gentamicin sulfate 10 mg/ml
حقن Midazolam hydrochloride 1 mg/ml
الجلوكوز %5 176
kompatibel
حقن Gentamicin sulfate 0.8 mg/ml
حقن Midazolam hydrochloride 0.05 >> 0.4 mg/ml
كلوريد الصوديوم 0.9% 1888
عدم توافق غير محدد غير متوافق
حقن Gentamicin sulfate
حقن Mitomycin
4471
عدم الاستقرار الكيميائي غير متوافق
حقن Gentamicin sulfate
حقن Mitomycin
3128
kompatibel
حقن Gentamicin sulfate 1.2 & 2 mg/ml
حقن Morphine sulfate 1 mg/ml
كلوريد الصوديوم 0.9% 406
kompatibel
حقن Gentamicin sulfate 0.8 mg/ml
حقن Morphine sulfate 1 mg/ml
الجلوكوز %5 405
عدم توافق غير محدد غير متوافق
حقن Gentamicin sulfate
حقن Moxalactam
3643
عدم توافق غير محدد غير متوافق
حقن Gentamicin sulfate
حقن Moxalactam
3520
kompatibel
حقن Gentamicin sulfate 40 mg/ml
حقن N-acetylcysteine 200 mg/ml
لا شيء 3766
عدم توافق غير محدد غير متوافق
حقن Gentamicin sulfate
حقن Nadroparin
3643
عدم توافق غير محدد غير متوافق
حقن Gentamicin sulfate
حقن Nafcillin sodium
3643
عدم توافق غير محدد غير متوافق
حقن Gentamicin sulfate
حقن Nafcillin sodium
3520
kompatibel
حقن Gentamicin sulfate 40 mg/ml
حقن Naloxone hydrochloride 0.4 mg/ml
لا شيء 3408
kompatibel
حقن Gentamicin sulfate 4.17 mg/ml
حقن Nefopam 0.16 mg/ml
كلوريد الصوديوم 0.9% 4254
kompatibel
حقن Gentamicin sulfate 4.17 mg/ml
حقن Nefopam 0.16 mg/ml
الجلوكوز %5 4254
kompatibel
حقن Gentamicin sulfate 0.8 mg/ml
حقن Nicardipine hydrochloride 0.1 mg/ml
الجلوكوز %5 1490
kompatibel
حقن Gentamicin sulfate 0.8 mg/ml
حقن Nicardipine hydrochloride 0.1 mg/ml
كلوريد الصوديوم 0.9% 1490
kompatibel
حقن Gentamicin sulfate 0,8 mg/ml
حقن Ofloxacin 2 mg/ml
لا شيء 889
kompatibel
حقن Gentamicin sulfate 5 mg/ml
حقن Ondansetron hydrochloride 1 mg/ml
كلوريد الصوديوم 0.9% 334
kompatibel
حقن Gentamicin sulfate 5 mg/ml
حقن Oritavancin 0.8 >>2 mg/ml
الجلوكوز %5 3152
عدم توافق غير محدد غير متوافق
حقن Gentamicin sulfate
حقن Oxacillin sodium
3643
عدم توافق غير محدد غير متوافق
حقن Gentamicin sulfate
حقن Oxacillin sodium
3520
kompatibel
حقن Gentamicin sulfate 40 mg/ml
حقن Oxycodone hydrochloride 1 mg/ml
كلوريد الصوديوم 0.9% 4842
kompatibel
حقن Gentamicin sulfate 5 mg/ml
حقن Paclitaxel 1.2 mg/ml
الجلوكوز %5 248
kompatibel
حقن Gentamicin sulfate 5 mg/ml
حقن Palonosetron hydrochloride 50 µg/ml
الجلوكوز %5 2228
kompatibel
حقن Gentamicin sulfate 2 mg/ml
حقن Pancuronium bromide 0.05 mg/ml
الجلوكوز %5 402
هطول فوري غير متوافق
حقن Gentamicin sulfate
حقن Pantoprazole sodium
2090
kompatibel
حقن Gentamicin sulfate 40 mg/ml
حقن Paracetamol 10 mg/ml
4742
هطول فوري غير متوافق
حقن Gentamicin sulfate 5 mg/ml
حقن Pemetrexed disodium 20 mg/ml
1953
عدم توافق غير محدد غير متوافق
حقن Gentamicin sulfate
حقن Penicillin G potassium
3643
عدم توافق غير محدد غير متوافق
حقن Gentamicin sulfate
حقن Penicillin G potassium
3520
عدم توافق غير محدد غير متوافق
حقن Gentamicin sulfate
حقن Penicillin G sodium
3643
عدم توافق غير محدد غير متوافق
حقن Gentamicin sulfate
حقن Penicillin G sodium
3520
kompatibel
حقن Gentamicin sulfate 10 mg/ml
حقن Pentoxifyllin 5 mg/ml
كلوريد الصوديوم 0.9% 4543
kompatibel
حقن Gentamicin sulfate 0.8 mg/ml
حقن Pethidine hydrochloride 10 mg/ml
الجلوكوز %5 405
هطول فوري غير متوافق
حقن Gentamicin sulfate 10 mg/ml
حقن Phenytoin sodium 50 mg/ml
789
kompatibel
حقن Gentamicin sulfate 20 mg/ml
حقن Phloroglucinol 2,5 mg/ml
3791
عدم توافق غير محدد غير متوافق
حقن Gentamicin sulfate
حقن Piperacillin sodium
3520
عدم توافق غير محدد غير متوافق
حقن Gentamicin sulfate
حقن Piperacillin sodium
3643
عدم توافق غير محدد غير متوافق
حقن Gentamicin sulfate
حقن Piperacillin sodium / tazobactam
3520
عدم الاستقرار الكيميائي غير متوافق
حقن Gentamicin sulfate
حقن Piperacillin sodium / tazobactam
3586
عدم توافق غير محدد غير متوافق
حقن Gentamicin sulfate
حقن Piperacillin sodium / tazobactam
3643
kompatibel
حقن Gentamicin sulfate
حقن Posaconazole
4380
kompatibel
حقن Gentamicin sulfate 30 mg/ml
حقن Potassium chloride 20 mEq/l
كلوريد الصوديوم 0.45% جلوكوز 5% 2335
عدم استقرار فوري للمستحلب غير متوافق
حقن Gentamicin sulfate 2 mg/ml
حقن Propofol
660
عدم توافق غير محدد غير متوافق
حقن Gentamicin sulfate 40 mg/ml
حقن Propofol
4524
هطول فوري غير متوافق
حقن Gentamicin sulfate 5 mg/ml
حقن Propofol 10 mg/ml
لا شيء 300
kompatibel
حقن Gentamicin sulfate 5 mg/ml
حقن Remifentanil hydrochloride 25 & 250 µg/ml
كلوريد الصوديوم 0.9% 59
kompatibel
حقن Gentamicin sulfate 40 mg/ml
حقن Salbutamol sulfate 1 mg/ml
لا شيء 3216
kompatibel
حقن Gentamicin sulfate 5 mg/ml
حقن Sargramostim 10 µg/ml
كلوريد الصوديوم 0.9% 335
kompatibel
حقن Gentamicin sulfate 10 mg/ml
حقن Sildenafil citrate 0,6 mg/ml
الجلوكوز %5 4845
kompatibel
حقن Gentamicin sulfate 2,4 mg/ml
حقن Sodium bicarbonate 40 mg/ml
لا شيء 3122
إنتاج فقاعات الغاز غير متوافق
حقن Gentamicin sulfate
حقن Sodium bicarbonate
3643
kompatibel
حقن Gentamicin sulfate 2.5 mg/ml
حقن Sodium citrate 40 mg/ml
حقن المياه لل 3952
kompatibel
حقن Gentamicin sulfate 40 mg/ml
حقن Sugammadex 100 mg/ml
لا شيء 3372
kompatibel
حقن Gentamicin sulfate 5 mg/ml
حقن Sulbactam/durlobactam 15/15 mg/ml
كلوريد الصوديوم 0.9% 4801
kompatibel
حقن Gentamicin sulfate 4 mg/ml
حقن Tacrolimus 1000 µg/ml
كلوريد الصوديوم 0.9% 479
kompatibel
حقن Gentamicin sulfate
كلوريد الصوديوم 0.9% 1704
kompatibel
حقن Gentamicin sulfate
كلوريد الصوديوم 0.9% 434
عدم توافق غير محدد غير متوافق
حقن Gentamicin sulfate
حقن Sodium bicarbonate
3520
kompatibel
حقن Gentamicin sulfate 1 >> 5 mg/ml
حقن Sodium citrate 40 mg/ml
لا شيء 2019
التعكر الفوري غير متوافق
حقن Gentamicin sulfate 5 mg/ml
حقن Tedizolid phosphate 0.8 mg/ml
كلوريد الصوديوم 0.9% 3827
عدم توافق غير محدد غير متوافق
حقن Gentamicin sulfate
حقن Teicoplanine
3656
kompatibel
حقن Gentamicin sulfate 5 mg/ml
حقن Telavancin hydrochloride 7.5 mg/ml
محلول رينجر  اللاكتات 3254
kompatibel
حقن Gentamicin sulfate 5 mg/ml
حقن Telavancin hydrochloride 7.5 mg/ml
كلوريد الصوديوم 0.9% 3254
kompatibel
حقن Gentamicin sulfate 5 mg/ml
حقن Telavancin hydrochloride 7.5 mg/ml
الجلوكوز %5 3254
kompatibel
حقن Gentamicin sulfate 6 mg/ml
حقن Temocilline 83.33 mg/ml
حقن المياه لل 2231
عدم توافق غير محدد غير متوافق
حقن Gentamicin sulfate
حقن Temocilline
3643
عدم توافق غير محدد غير متوافق
حقن Gentamicin sulfate
حقن Temocilline
3520
عدم توافق غير محدد غير متوافق
حقن Gentamicin sulfate
حقن Temocilline
2296
kompatibel
حقن Gentamicin sulfate 5 mg/ml
حقن Teniposide 0.1 mg/ml
الجلوكوز %5 905
kompatibel
حقن Gentamicin sulfate 2 mg/ml
حقن Theophylline 4 mg/ml
لا شيء 317
هطول فوري غير متوافق
حقن Gentamicin sulfate 40 mg/ml
حقن Thiopental sodium 25 mg/ml
كلوريد الصوديوم 0.9% 3767
kompatibel
حقن Gentamicin sulfate 5 mg/ml
حقن Thiotepa 1 mg/ml
الجلوكوز %5 249
عدم الاستقرار الكيميائي غير متوافق
حقن Gentamicin sulfate
حقن Ticarcillin / clavulanic acid
3587
عدم توافق غير محدد غير متوافق
حقن Gentamicin sulfate
حقن Ticarcillin / clavulanic acid
3643
عدم توافق غير محدد غير متوافق
حقن Gentamicin sulfate
حقن Ticarcillin / clavulanic acid
3520
kompatibel
حقن Gentamicin sulfate
حقن Tigecycline
كلوريد الصوديوم 0.9% 3332
kompatibel
حقن Gentamicin sulfate 6 mg/ml
حقن Vancomycin hydrochloride 10 mg/ml
الجلوكوز %5 3385
kompatibel
حقن Gentamicin sulfate 1.2 mg/ml
حقن Vasopressin 0.2 UI/ml
كلوريد الصوديوم 0.9% 2017
kompatibel
حقن Gentamicin sulfate 2 mg/ml
حقن Vecuronium bromide 0.1 mg/ml
الجلوكوز %5 402
kompatibel
حقن Gentamicin sulfate 0.16 mg/ml
حقن Verapamil hydrochloride 0.08 mg/ml
الجلوكوز %5 1057
kompatibel
حقن Gentamicin sulfate 0.16 mg/ml
حقن Verapamil hydrochloride 0.08 mg/ml
كلوريد الصوديوم 0.9% 1057
kompatibel
حقن Gentamicin sulfate 5 mg/ml
حقن Vinorelbine tartrate 1 mg/ml
كلوريد الصوديوم 0.9% 84
التعكر الفوري غير متوافق
حقن Gentamicin sulfate 1.6 mg/ml
حقن Warfarin sodium 2 mg/ml
الجلوكوز %5 315
kompatibel
حقن Gentamicin sulfate 2 mg/ml
حقن Zidovudine 4 mg/ml
الجلوكوز %5 337

  Mentions Légales