Son güncelleme :
18/03/2026
Antibiyotik   Gentamicin sulfate  
Enjeksiyon
Göz damlası
Çözeltilerin stabilitesi Karışımlardaki stabilitesi Stabiliteyi etkileyen faktörler Uyumluluk Uygulama yöntemi Kaynaklar pdf
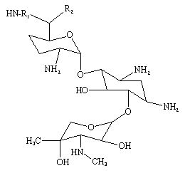
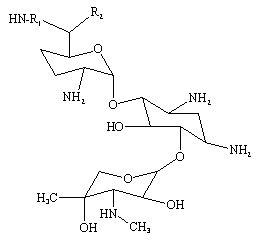
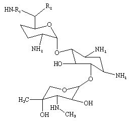
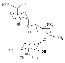
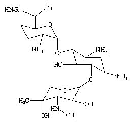
   Kimyasal yapı   

Ticari isim   Ticari isim     

Trade names are indicative and excipients composition can be different depending on the country and manufacturers

Azupel Peru
Cidomycin Büyük Britanya, Mısır, Tunus
Dabroson Yunanistan
Epigent Mısır
Garalone Portekiz
Garamicina Brezilya, Ekvador, Kolombiya, Meksika
Garamycin Birleşik Arap Emirlikleri, Danimarka, Hindistan, Hırvatistan, Hollanda, İsviçre, Mısır, Norveç, Polonya, Yunanistan
Genmisin Türkiye
Gensif Türkiye
Gensumycin Finlandiya, İsveç, Norveç
Genta-Gobens İspanya
Gentalline Fas
Gentamen Fas
Genticin Birleşik Arap Emirlikleri, Büyük Britanya, İrlanda
Gentreks Türkiye
Hexamycin Danimarka
Plurisemina Arjantin
Refobacin Almanya, Avusturya, Kolombiya, Mısır
Rupegen Arjantin
Uyumluluk   Enjeksiyon    Uyumluluk : Gentamicin sulfate              
Bu ekran, bu durumda uyumsuzluk tipiyle (çökelme, renk değişimi, bir emülsiyonun modifikasyonu, vb.) Uyumlulukları veya uyumsuzlukları gösterir. Burada gösterilen uyumluluklar çoğunlukla yalnızca fizikseldir ve her molekülün kimyasal stabilitesi nadiren değerlendirilir. Bu karışımların değerlendirilmesi, hastaya Y bölgesi uygulama olasılığını göz önünde bulundurmak için çalışıldı. Bu veriler önceden torba veya şırıngalarda karışım yapmak için kullanılamaz. Bu tür bilgiler "Karışımda stabilite" ekranında mevcuttur.
Bileşik Çözücü Kaynaklar
Uyumlu
Enjeksiyon Gentamicin sulfate 1.6 mg/ml
Enjeksiyon Aciclovir sodium 5 mg/ml
Glukoz %5 336
Acil yağış uyumsuz
Enjeksiyon Gentamicin sulfate 30 mg/ml
Enjeksiyon Aciclovir sodium 5 mg/ml
Sodyum klorür % 0,9 2335
1 saat sonra yağış uyumsuz
Enjeksiyon Gentamicin sulfate 5 mg/ml
Enjeksiyon Allopurinol sodium 3 mg/ml
Sodyum klorür % 0,9 307
Uyumlu
Enjeksiyon Gentamicin sulfate 1 mg/ml
Enjeksiyon Alprostadil 15 µg/ml
3201
Uyumlu
Enjeksiyon Gentamicin sulfate 5 mg/ml
Enjeksiyon Amifostine 10 mg/ml
Glukoz %5 3
Uyumlu
Enjeksiyon Gentamicin sulfate 0.8 mg/ml
Enjeksiyon Amiodarone hydrochloride 4 mg/ml
Sodyum klorür % 0,9 385
Uyumlu
Enjeksiyon Gentamicin sulfate 0.8 mg/ml
Enjeksiyon Amiodarone hydrochloride 4 mg/ml
Glukoz %5 385
Belirtilmemiş uyumsuzluk uyumsuz
Enjeksiyon Gentamicin sulfate
Enjeksiyon Amoxicillin sodium
3643
Belirtilmemiş uyumsuzluk uyumsuz
Enjeksiyon Gentamicin sulfate
Enjeksiyon Amoxicillin sodium
3520
Kimyasal kararsızlık uyumsuz
Enjeksiyon Gentamicin sulfate
Enjeksiyon Amoxicillin sodium
3527
Belirtilmemiş uyumsuzluk uyumsuz
Enjeksiyon Gentamicin sulfate
Enjeksiyon Amoxicillin sodium / clavulanic acid
3643
Belirtilmemiş uyumsuzluk uyumsuz
Enjeksiyon Gentamicin sulfate
Enjeksiyon Amoxicillin sodium / clavulanic acid
3545
Belirtilmemiş uyumsuzluk uyumsuz
Enjeksiyon Gentamicin sulfate
Enjeksiyon Amoxicillin sodium / clavulanic acid
3520
Uyumlu
Enjeksiyon Gentamicin sulfate 40 mg/ml
Enjeksiyon Amoxicillin sodium / clavulanic acid 100/10 mg/ml
3824
Acil yağış uyumsuz
Enjeksiyon Gentamicin sulfate 5 mg/ml
Enjeksiyon Amphotericin B cholesteryl sulfate complex 0,83 mg/ml
Glukoz %5 921
Belirtilmemiş uyumsuzluk uyumsuz
Enjeksiyon Gentamicin sulfate
Enjeksiyon Ampicillin sodium
3643
Belirtilmemiş uyumsuzluk uyumsuz
Enjeksiyon Gentamicin sulfate
Enjeksiyon Ampicillin sodium
3520
Belirtilmemiş uyumsuzluk uyumsuz
Enjeksiyon Gentamicin sulfate
Enjeksiyon Ampicillin sodium - sulbactam sodium
3643
Belirtilmemiş uyumsuzluk uyumsuz
Enjeksiyon Gentamicin sulfate
Enjeksiyon Ampicillin sodium - sulbactam sodium
3520
Uyumlu
Enjeksiyon Gentamicin sulfate 5 mg/ml
Enjeksiyon Amsacrine 1 mg/ml
Glukoz %5 253
Uyumlu
Enjeksiyon Gentamicin sulfate 5 mg/ml
Enjeksiyon Anidulafungin 0.5 mg/ml
Glukoz %5 1982
Uyumlu
Enjeksiyon Gentamicin sulfate 0,8 mg/ml
Enjeksiyon Atosiban 0,75 mg/ml
4642
Uyumlu
Enjeksiyon Gentamicin sulfate 2 mg/ml
Enjeksiyon Atracurium besylate 0.5 mg/ml
Glukoz %5 402
Acil yağış uyumsuz
Enjeksiyon Gentamicin sulfate 21 mg/ml
Enjeksiyon Azithromycine 2 mg/ml
Sodyum klorür % 0,9 1800
Uyumlu
Enjeksiyon Gentamicin sulfate 5 mg/ml
Enjeksiyon Aztreonam 40 mg/ml
Glukoz %5 99
Uyumlu
Enjeksiyon Gentamicin sulfate 0.2 & 0.8 mg/ml
Enjeksiyon Aztreonam 10 & 20 mg/ml
Sodyum klorür % 0,9 19
Uyumlu
Enjeksiyon Gentamicin sulfate 0.2 & 0.8 mg/ml
Enjeksiyon Aztreonam 10 & 20 mg/ml
Glukoz %5 19
Uyumlu
Enjeksiyon Gentamicin sulfate 5 mg/ml
Enjeksiyon Bivalirudin 5 mg/ml
Glukoz %5 1713
Uyumlu
Enjeksiyon Gentamicin sulfate 10 mg/ml
Enjeksiyon Caffeine 10 mg/ml
Yok 3964
Uyumlu
Enjeksiyon Gentamicin sulfate 10 mg/ml
Enjeksiyon Caffeine 10 mg/ml
Sodyum klorür % 0,9 4837
Uyumlu
Enjeksiyon Gentamicin sulfate 10 mg/ml
Enjeksiyon Caffeine citrate 20 mg/ml
Sodyum klorür % 0,9 4837
Belirtilmemiş uyumsuzluk uyumsuz
Enjeksiyon Gentamicin sulfate
Enjeksiyon Calcium gluconate
3644
uyumsuz
Enjeksiyon Gentamicin sulfate
Enjeksiyon Calcium gluconate
4964
Uyumlu
Enjeksiyon Gentamicin sulfate 5 mg/ml
Enjeksiyon Caspofungin acetate 0,7 mg/ml
Sodyum klorür % 0,9 2247
Belirtilmemiş uyumsuzluk uyumsuz
Enjeksiyon Gentamicin sulfate
Enjeksiyon Cefalotin sodium
3520
Belirtilmemiş uyumsuzluk uyumsuz
Enjeksiyon Gentamicin sulfate
Enjeksiyon Cefalotin sodium
3643
Acil yağış uyumsuz
Enjeksiyon Gentamicin sulfate
Enjeksiyon Cefamandole nafate 2 >> 100 mg/ml
Glukoz %5 612
Belirtilmemiş uyumsuzluk uyumsuz
Enjeksiyon Gentamicin sulfate
Enjeksiyon Cefamandole nafate
3643
Belirtilmemiş uyumsuzluk uyumsuz
Enjeksiyon Gentamicin sulfate
Enjeksiyon Cefamandole nafate
3520
Belirtilmemiş uyumsuzluk uyumsuz
Enjeksiyon Gentamicin sulfate
Enjeksiyon Cefamandole nafate
3546
Acil yağış uyumsuz
Enjeksiyon Gentamicin sulfate
Enjeksiyon Cefamandole nafate 2 >> 100 mg/ml
Sodyum klorür % 0,9 612
Belirtilmemiş uyumsuzluk uyumsuz
Enjeksiyon Gentamicin sulfate
Enjeksiyon Cefazolin sodium
3520
Belirtilmemiş uyumsuzluk uyumsuz
Enjeksiyon Gentamicin sulfate
Enjeksiyon Cefazolin sodium
3643
Belirtilmemiş uyumsuzluk uyumsuz
Enjeksiyon Gentamicin sulfate
Enjeksiyon Cefepime dihydrochloride
3520
Uyumlu
Enjeksiyon Gentamicin sulfate 6 mg/ml
Enjeksiyon Cefepime dihydrochloride 125 mg/ml
Enjeksiyonluk su 2141
Belirtilmemiş uyumsuzluk uyumsuz
Enjeksiyon Gentamicin sulfate
Enjeksiyon Cefepime dihydrochloride
3548
Belirtilmemiş uyumsuzluk uyumsuz
Enjeksiyon Gentamicin sulfate
Enjeksiyon Cefepime dihydrochloride
3643
Uyumlu
Enjeksiyon Gentamicin sulfate 5 mg/ml
Enjeksiyon Cefiderocol sulfate tosylate 20 mg/mL
Glukoz %5 4528
Uyumlu
Enjeksiyon Gentamicin sulfate 5 mg/ml
Enjeksiyon Cefiderocol sulfate tosylate 20 mg/mL
Sodyum klorür % 0,9 4528
Belirtilmemiş uyumsuzluk uyumsuz
Enjeksiyon Gentamicin sulfate
Enjeksiyon Cefmenoxime
3520
Belirtilmemiş uyumsuzluk uyumsuz
Enjeksiyon Gentamicin sulfate
Enjeksiyon Cefmenoxime
3643
Belirtilmemiş uyumsuzluk uyumsuz
Enjeksiyon Gentamicin sulfate
Enjeksiyon Cefmetazole sodium
3520
Belirtilmemiş uyumsuzluk uyumsuz
Enjeksiyon Gentamicin sulfate
Enjeksiyon Cefmetazole sodium
3643
Belirtilmemiş uyumsuzluk uyumsuz
Enjeksiyon Gentamicin sulfate
Enjeksiyon Cefonicid sodium
3643
Belirtilmemiş uyumsuzluk uyumsuz
Enjeksiyon Gentamicin sulfate
Enjeksiyon Cefonicid sodium
3520
Belirtilmemiş uyumsuzluk uyumsuz
Enjeksiyon Gentamicin sulfate
Enjeksiyon Cefoperazone sodium
3544
Belirtilmemiş uyumsuzluk uyumsuz
Enjeksiyon Gentamicin sulfate
Enjeksiyon Cefoperazone sodium
3643
Acil yağış uyumsuz
Enjeksiyon Gentamicin sulfate 0.8 mg/ml
Enjeksiyon Cefoperazone sodium 10 mg/ml
Glukoz %5 1206
Belirtilmemiş uyumsuzluk uyumsuz
Enjeksiyon Gentamicin sulfate
Enjeksiyon Cefoperazone sodium
3520
Belirtilmemiş uyumsuzluk uyumsuz
Enjeksiyon Gentamicin sulfate
Enjeksiyon Ceforanide
3643
Belirtilmemiş uyumsuzluk uyumsuz
Enjeksiyon Gentamicin sulfate
Enjeksiyon Ceforanide
3520
Belirtilmemiş uyumsuzluk uyumsuz
Enjeksiyon Gentamicin sulfate
Enjeksiyon Cefotaxime sodium
3520
Belirtilmemiş uyumsuzluk uyumsuz
Enjeksiyon Gentamicin sulfate
Enjeksiyon Cefotaxime sodium
3643
Belirtilmemiş uyumsuzluk uyumsuz
Enjeksiyon Gentamicin sulfate
Enjeksiyon Cefoxitin sodium
3643
Belirtilmemiş uyumsuzluk uyumsuz
Enjeksiyon Gentamicin sulfate
Enjeksiyon Cefoxitin sodium
3520
Uyumlu
Enjeksiyon Gentamicin sulfate 1 mg/ml
Enjeksiyon Cefpirome sulfate 50 mg/ml
Sodyum klorür % 0,9 280
Uyumlu
Enjeksiyon Gentamicin sulfate 1 mg/ml
Enjeksiyon Cefpirome sulfate 50 mg/ml
Laktatlı ringer 280
Uyumlu
Enjeksiyon Gentamicin sulfate 1 mg/ml
Enjeksiyon Cefpirome sulfate 50 mg/ml
Sodyum klorür % 0,45 280
Belirtilmemiş uyumsuzluk uyumsuz
Enjeksiyon Gentamicin sulfate
Enjeksiyon Cefpirome sulfate
3643
Belirtilmemiş uyumsuzluk uyumsuz
Enjeksiyon Gentamicin sulfate
Enjeksiyon Cefpirome sulfate
3677
Uyumlu
Enjeksiyon Gentamicin sulfate 1 mg/ml
Enjeksiyon Cefpirome sulfate 50 mg/ml
Glukoz %5 280
Belirtilmemiş uyumsuzluk uyumsuz
Enjeksiyon Gentamicin sulfate
Enjeksiyon Cefpirome sulfate
3520
Uyumlu
Enjeksiyon Gentamicin sulfate 5 mg/ml
Enjeksiyon Ceftaroline fosamil 2,22 mg/ml
Sodyum klorür % 0,9 3249
Uyumlu
Enjeksiyon Gentamicin sulfate 5 mg/ml
Enjeksiyon Ceftaroline fosamil 2,22 mg/ml
Laktatlı ringer 3249
Uyumlu
Enjeksiyon Gentamicin sulfate 5 mg/ml
Enjeksiyon Ceftaroline fosamil 2,22 mg/ml
Glukoz %5 3249
Belirtilmemiş uyumsuzluk uyumsuz
Enjeksiyon Gentamicin sulfate
Enjeksiyon Ceftaroline fosamil
3643
Belirtilmemiş uyumsuzluk uyumsuz
Enjeksiyon Gentamicin sulfate
Enjeksiyon Ceftaroline fosamil
3520
Belirtilmemiş uyumsuzluk uyumsuz
Enjeksiyon Gentamicin sulfate
Enjeksiyon Ceftazidime
3543
Belirtilmemiş uyumsuzluk uyumsuz
Enjeksiyon Gentamicin sulfate
Enjeksiyon Ceftazidime
3520
Belirtilmemiş uyumsuzluk uyumsuz
Enjeksiyon Gentamicin sulfate
Enjeksiyon Ceftazidime
3643
Uyumlu
Enjeksiyon Gentamicin sulfate 6 mg/ml
Enjeksiyon Ceftazidime 125 mg/ml
Enjeksiyonluk su 2141
Uyumlu
Enjeksiyon Gentamicin sulfate 6 mg/ml
Enjeksiyon Ceftazidime 83.3 mg/ml
1759
Belirtilmemiş uyumsuzluk uyumsuz
Enjeksiyon Gentamicin sulfate
Enjeksiyon Ceftazidime
3883
Belirtilmemiş uyumsuzluk uyumsuz
Enjeksiyon Gentamicin sulfate
Enjeksiyon Ceftazidime Avibactam
3520
Belirtilmemiş uyumsuzluk uyumsuz
Enjeksiyon Gentamicin sulfate
Enjeksiyon Ceftazidime Avibactam
3643
Belirtilmemiş uyumsuzluk uyumsuz
Enjeksiyon Gentamicin sulfate
Enjeksiyon Ceftizoxime sodium
3643
Belirtilmemiş uyumsuzluk uyumsuz
Enjeksiyon Gentamicin sulfate
Enjeksiyon Ceftizoxime sodium
3520
Belirtilmemiş uyumsuzluk uyumsuz
Enjeksiyon Gentamicin sulfate
Enjeksiyon Ceftobiprole medocaril sodium
3643
Belirtilmemiş uyumsuzluk uyumsuz
Enjeksiyon Gentamicin sulfate
Enjeksiyon Ceftobiprole medocaril sodium
4650
Acil yağış uyumsuz
Enjeksiyon Gentamicin sulfate 5 mg/ml
Enjeksiyon Ceftobiprole medocaril sodium 2 mg/ml
Glukoz %5 2269
Acil yağış uyumsuz
Enjeksiyon Gentamicin sulfate 5 mg/ml
Enjeksiyon Ceftobiprole medocaril sodium 2 mg/ml
Laktatlı ringer 2269
Acil yağış uyumsuz
Enjeksiyon Gentamicin sulfate 5 mg/ml
Enjeksiyon Ceftobiprole medocaril sodium 2 mg/ml
Sodyum klorür % 0,9 2269
Belirtilmemiş uyumsuzluk uyumsuz
Enjeksiyon Gentamicin sulfate
Enjeksiyon Ceftobiprole medocaril sodium
3520
Uyumlu
Enjeksiyon Gentamicin sulfate 5 mg/ml
Enjeksiyon Ceftolozane / tazobactam 10/5 mg/ml
Glukoz %5 3828
Belirtilmemiş uyumsuzluk uyumsuz
Enjeksiyon Gentamicin sulfate
Enjeksiyon Ceftolozane / tazobactam
3643
Belirtilmemiş uyumsuzluk uyumsuz
Enjeksiyon Gentamicin sulfate
Enjeksiyon Ceftolozane / tazobactam
3520
Uyumlu
Enjeksiyon Gentamicin sulfate 5 mg/ml
Enjeksiyon Ceftolozane / tazobactam 10/5 mg/ml
Sodyum klorür % 0,9 3828
Belirtilmemiş uyumsuzluk uyumsuz
Enjeksiyon Gentamicin sulfate
Enjeksiyon Ceftriaxone disodium
3523
Belirtilmemiş uyumsuzluk uyumsuz
Enjeksiyon Gentamicin sulfate
Enjeksiyon Ceftriaxone disodium
3643
Belirtilmemiş uyumsuzluk uyumsuz
Enjeksiyon Gentamicin sulfate
Enjeksiyon Ceftriaxone disodium
3520
Belirtilmemiş uyumsuzluk uyumsuz
Enjeksiyon Gentamicin sulfate
Enjeksiyon Cefuroxime sodium
3643
Belirtilmemiş uyumsuzluk uyumsuz
Enjeksiyon Gentamicin sulfate
Enjeksiyon Cefuroxime sodium
3520
Belirtilmemiş uyumsuzluk uyumsuz
Enjeksiyon Gentamicin sulfate
Enjeksiyon Cefuroxime sodium
3687
Belirtilmemiş uyumsuzluk uyumsuz
Enjeksiyon Gentamicin sulfate
Enjeksiyon Cefuzonam
3520
Uyumlu
Enjeksiyon Gentamicin sulfate 0.8 mg/ml
Enjeksiyon Cimetidine hydrochloride 3 mg/ml
Glukoz %5 1201
Uyumlu
Enjeksiyon Gentamicin sulfate 0.08 mg/ml
Enjeksiyon Cimetidine hydrochloride 1.2 & 5 mg/ml
Sodyum klorür % 0,9 1201
Uyumlu
Enjeksiyon Gentamicin sulfate 0.08 mg/ml
Enjeksiyon Cimetidine hydrochloride 1.2 & 5 mg/ml
Glukoz %5 1201
Uyumlu
Enjeksiyon Gentamicin sulfate 10 mg/ml
Enjeksiyon Ciprofloxacin lactate 2 mg/ml
Sodyum klorür % 0,9 289
Uyumlu
Enjeksiyon Gentamicin sulfate 1.6 mg/ml
Enjeksiyon Ciprofloxacin lactate 2 mg/ml
Glukoz %5 285
Uyumlu
Enjeksiyon Gentamicin sulfate 5 mg/ml
Enjeksiyon Cisatracurium besylate 0.1 >> 5 mg/ml
Glukoz %5 299
Kimyasal kararsızlık uyumsuz
Enjeksiyon Gentamicin sulfate
Enjeksiyon Cisplatin
3578
Uyumlu
Enjeksiyon Gentamicin sulfate 12 mg/ml
Enjeksiyon Clindamycin phosphate 90 mg/ml
Sodyum klorür % 0,9 639
Uyumlu
Enjeksiyon Gentamicin sulfate 0.67 mg/ml
Enjeksiyon Clindamycin phosphate 6 mg/ml
Glukoz %5 423
Uyumlu
Enjeksiyon Gentamicin sulfate
Glukoz %5 434
Belirtilmemiş uyumsuzluk uyumsuz
Enjeksiyon Gentamicin sulfate
Enjeksiyon Cefuzonam
3643
Uyumlu
Enjeksiyon Gentamicin sulfate 1 mg/ml
Enjeksiyon Ciprofloxacin lactate 1.5 mg/ml
Sodyum klorür % 0,9 434
Uyumlu
Enjeksiyon Gentamicin sulfate 1.6 mg/ml
Enjeksiyon Ciprofloxacin lactate 2 mg/ml
Glukoz %5 288
Uyumlu
Enjeksiyon Gentamicin sulfate 1.6 mg/ml
Enjeksiyon Ciprofloxacin lactate 2 mg/ml
Sodyum klorür % 0,9 288
Uyumlu
Enjeksiyon Gentamicin sulfate 1 mg/ml
Enjeksiyon Ciprofloxacin lactate 1.5 mg/ml
Glukoz %5 434
Uyumlu
Enjeksiyon Gentamicin sulfate
Enjeksiyon Clindamycin phosphate
Sodyum klorür % 0,9 3526
Acil yağış uyumsuz
Enjeksiyon Gentamicin sulfate 40 mg/ml
Enjeksiyon Cloxacillin sodium 100 mg/ml
Enjeksiyonluk su 3012
Uyumlu
Enjeksiyon Gentamicin sulfate 15 mg/ml
Enjeksiyon Cytarabine 16 mg/ml
Sodyum klorür % 0,9 132
uyumsuz
Enjeksiyon Gentamicin sulfate 2 & 10 mg/ml
Parenteral beslenme (Lipidler) 4924
Uyumlu
Enjeksiyon Gentamicin sulfate
Enjeksiyon Clindamycin phosphate
Glukoz %5 3526
Belirtilmemiş uyumsuzluk uyumsuz
Enjeksiyon Gentamicin sulfate
Enjeksiyon Cloxacillin sodium
3520
Belirtilmemiş uyumsuzluk uyumsuz
Enjeksiyon Gentamicin sulfate
Enjeksiyon Cytarabine
3580
Uyumlu
Enjeksiyon Gentamicin sulfate 1,5 mg/ml
Enjeksiyon Daptomycin 19,2 mg/ml
Sodyum klorür % 0,9 1937
Uyumlu
Enjeksiyon Gentamicin sulfate 0,05 mg/ml
Parenteral beslenme (ikili karışım) 4445
Belirtilmemiş uyumsuzluk uyumsuz
Enjeksiyon Gentamicin sulfate
Enjeksiyon Cloxacillin sodium
3643
4 saat sonra emülsiyonun kararsızlığı uyumsuz
Enjeksiyon Gentamicin sulfate 2 mg/ml
Parenteral beslenme (Lipidler) 4507
Belirtilmemiş uyumsuzluk uyumsuz
Enjeksiyon Gentamicin sulfate
Enjeksiyon Dalteparin sodium
3643
Uyumlu
Enjeksiyon Gentamicin sulfate
Enjeksiyon Daptomycin
2271
Uyumlu
Enjeksiyon Gentamicin sulfate 10 mg/ml
Parenteral beslenme (ikili karışım) 316
Uyumlu
Enjeksiyon Gentamicin sulfate
Enjeksiyon Dimenhydrinate
2087
Uyumlu
Enjeksiyon Gentamicin sulfate 10 & 40 mg/ml
Parenteral beslenme (ikili karışım) 999
Subvisual uyumsuzluk uyumsuz
Enjeksiyon Gentamicin sulfate
Enjeksiyon Daunorubicin/cytarabine liposomale
4354
Uyumlu
Enjeksiyon Gentamicin sulfate 1 mg/ml
Parenteral beslenme (ikili karışım) 939
Anında bulanıklık uyumsuz
Enjeksiyon Gentamicin sulfate
Enjeksiyon Daunorubicin/cytarabine liposomale 0,4 mg/mL
Sodyum klorür % 0,9 4654
Uyumlu
Enjeksiyon Gentamicin sulfate 0.8 mg/ml
Enjeksiyon Diatrizoate meglumine 283 mg/ml
Yok 1085
Uyumlu
Enjeksiyon Gentamicin sulfate 2.4 & 40 mg/ml
Enjeksiyon Diltiazem hydrochloride 5 mg/ml
Sodyum klorür % 0,9 198
Uyumlu
Enjeksiyon Gentamicin sulfate 5 mg/ml
Enjeksiyon Docetaxel 0.9 mg/ml
Glukoz %5 1754
Belirtilmemiş uyumsuzluk uyumsuz
Enjeksiyon Gentamicin sulfate
Enjeksiyon Dopamine hydrochloride
3638
Uyumlu
Enjeksiyon Gentamicin sulfate 5 mg/ml
Parenteral beslenme (ikili karışım) 301
Uyumlu
Enjeksiyon Gentamicin sulfate 5 mg/ml
Enjeksiyon Doripenem 5 mg/ml
Sodyum klorür % 0,9 2262
Belirtilmemiş uyumsuzluk uyumsuz
Enjeksiyon Gentamicin sulfate
NaHCO3 3520
Uyumlu
Enjeksiyon Gentamicin sulfate 2 mg/ml
Enjeksiyon Dopamine hydrochloride 0.8 mg/ml
Glukoz %5 738
Gaz kabarcığı üretimi uyumsuz
Enjeksiyon Gentamicin sulfate
NaHCO3 3643
Uyumlu
Enjeksiyon Gentamicin sulfate 5 mg/ml
Enjeksiyon Dexmedetomidine 4 µg/ml
Sodyum klorür % 0,9 1712
Uyumlu
Enjeksiyon Gentamicin sulfate 5 mg/ml
Enjeksiyon Doripenem 5 mg/ml
Glukoz %5 2262
Uyumlu
Enjeksiyon Gentamicin sulfate 5 mg/ml
Parenteral beslenme (Lipidler) 1415
Uyumlu
Enjeksiyon Gentamicin sulfate 10 mg/ml
Enjeksiyon Doxapram hydrochloride 2 mg/ml
Glukoz %5 1802
Uyumlu
Enjeksiyon Gentamicin sulfate 5 mg/ml
Enjeksiyon Doxorubicin hydrochloride liposome peg 0.4 mg/ml
Glukoz %5 251
Uyumlu
Enjeksiyon Gentamicin sulfate 0.8 mg/ml
Enjeksiyon Enalaprilate 0.05 mg/ml
Sodyum klorür % 0,9 1315
Belirtilmemiş uyumsuzluk uyumsuz
Enjeksiyon Gentamicin sulfate
Enjeksiyon Enoxaparin sodium
3643
Uyumlu
Enjeksiyon Gentamicin sulfate 5 mg/ml
Enjeksiyon Eravacycline 0,6 mg/ml
Sodyum klorür % 0,9 4434
Belirtilmemiş uyumsuzluk uyumsuz
Enjeksiyon Gentamicin sulfate
Enjeksiyon Erythromycin lactobionate
3674
Belirtilmemiş uyumsuzluk uyumsuz
Enjeksiyon Gentamicin sulfate
Enjeksiyon Erythromycin lactobionate
3520
Belirtilmemiş uyumsuzluk uyumsuz
Enjeksiyon Gentamicin sulfate
Enjeksiyon Erythromycin lactobionate
3643
Uyumlu
Enjeksiyon Gentamicin sulfate 0,8 mg/ml
Enjeksiyon Esmolol hydrochloride 10 mg/ml
Glukoz %5 384
Uyumlu
Enjeksiyon Gentamicin sulfate 5 mg/ml
Enjeksiyon Etoposide phosphate 5 mg/ml
Glukoz %5 1410
Uyumlu
Enjeksiyon Gentamicin sulfate 5 mg/ml
Enjeksiyon Famotidine 2 mg/ml
Sodyum klorür % 0,9 215
Uyumlu
Enjeksiyon Gentamicin sulfate 0,8 mg/ml
Enjeksiyon Famotidine
Glukoz %5 397
Uyumlu
Enjeksiyon Gentamicin sulfate 5 mg/ml
Enjeksiyon Fenoldopam mesylate 80 µg/ml
Sodyum klorür % 0,9 1803
Uyumlu
Enjeksiyon Gentamicin sulfate 10 mg/ml
Enjeksiyon Fentanyl citrate 50 µg/ml
Glukoz %5 63
Uyumlu
Enjeksiyon Gentamicin sulfate 1.6 mg/ml
Enjeksiyon Filgrastim 40 µg/ml
Glukoz %5 104
Uyumlu
Enjeksiyon Gentamicin sulfate 5 mg/ml
Enjeksiyon Filgrastim 30 µg/ml
Glukoz %5 244
Belirtilmemiş uyumsuzluk uyumsuz
Enjeksiyon Gentamicin sulfate
Enjeksiyon Flucloxacillin sodium
3643
Acil yağış uyumsuz
Enjeksiyon Gentamicin sulfate
Enjeksiyon Flucloxacillin sodium
3522
Uyumlu
Enjeksiyon Gentamicin sulfate 1 mg/ml
Enjeksiyon Fluconazole 2 mg/ml
Yok 256
Uyumlu
Enjeksiyon Gentamicin sulfate 4 mg/ml
Enjeksiyon Fluconazole 2 mg/ml
Sodyum klorür % 0,9 496
Uyumlu
Enjeksiyon Gentamicin sulfate 5 mg/ml
Enjeksiyon Fludarabine phosphate 1 mg/ml
Glukoz %5 492
Uyumlu
Enjeksiyon Gentamicin sulfate 2 mg/ml
Enjeksiyon Foscarnet sodium 24 mg/ml
Sodyum klorür % 0,9 1135
Uyumlu
Enjeksiyon Gentamicin sulfate 2 mg/ml
Enjeksiyon Foscarnet sodium 24 mg/ml
Glukoz %5 1135
Uyumlu
Enjeksiyon Gentamicin sulfate 4 mg/ml
Enjeksiyon Foscarnet sodium 24 mg/ml
Yok 73
Uyumlu
Enjeksiyon Gentamicin sulfate 10 mg/ml
Laktatlı ringer 4603
Uyumlu
Enjeksiyon Gentamicin sulfate 5 mg/ml
Enjeksiyon Fosfomycin 30 mg/ml
Sodyum klorür % 0,9 4055
Acil yağış uyumsuz
Enjeksiyon Gentamicin sulfate 0,4 mg/ml
Parenteral beslenme (Lipidler) 4440
Uyumlu
Enjeksiyon Gentamicin sulfate 40 mg/ml
Parenteral beslenme (Lipidler) 673
Uyumlu
Enjeksiyon Gentamicin sulfate 5 mg/ml
Enjeksiyon Fosfomycin 30 mg/ml
Glukoz %5 4055
Acil yağış uyumsuz
Enjeksiyon Gentamicin sulfate 10 mg/ml
Enjeksiyon Furosemide 10 mg/ml
789
Acil yağış uyumsuz
Enjeksiyon Gentamicin sulfate 1,6 mg/ml
Enjeksiyon Furosemide 0,8 mg/ml
Glukoz %5 367
Acil yağış uyumsuz
Enjeksiyon Gentamicin sulfate 1,6 mg/ml
Enjeksiyon Furosemide 0,8 mg/ml
Sodyum klorür % 0,9 367
Anında bulanıklık uyumsuz
Enjeksiyon Gentamicin sulfate 6.4 mg/ml
Enjeksiyon Furosemide 5 mg/ml
805
2 saat sonra yağış uyumsuz
Enjeksiyon Gentamicin sulfate 8 mg/ml
Enjeksiyon Furosemide 1 mg/ml
Sodyum klorür % 0,9 1232
Uyumlu
Enjeksiyon Gentamicin sulfate 5 mg/ml
Enjeksiyon Gemcitabine hydrochloride 10 mg/ml
Sodyum klorür % 0,9 1423
Uyumlu
Enjeksiyon Gentamicin sulfate 1.5 mg/ml
Enjeksiyon Granisetron hydrochloride 1 mg/ml
Sodyum klorür % 0,9 57
Uyumlu
Enjeksiyon Gentamicin sulfate 1 & 2 mg/ml
Enjeksiyon Heparin sodium 2500 UI/ml
4612
Acil yağış uyumsuz
Enjeksiyon Gentamicin sulfate 4 >> 40 mg/ml
Enjeksiyon Heparin sodium 10 >> 40 UI/ml
1258
Acil yağış uyumsuz
Enjeksiyon Gentamicin sulfate
Enjeksiyon Heparin sodium
1022
Belirtilmemiş uyumsuzluk uyumsuz
Enjeksiyon Gentamicin sulfate 2 mg/ml
Enjeksiyon Heparin sodium 50 UI/ml
Yok 317
Belirtilmemiş uyumsuzluk uyumsuz
Enjeksiyon Gentamicin sulfate
Enjeksiyon Heparin sodium
3643
Belirtilmemiş uyumsuzluk uyumsuz
Enjeksiyon Gentamicin sulfate
Enjeksiyon Heparin sodium
3520
Belirtilmemiş uyumsuzluk uyumsuz
Enjeksiyon Gentamicin sulfate
Enjeksiyon Heparin sodium
3540
Anında bulanıklık uyumsuz
Enjeksiyon Gentamicin sulfate 3 mg/ml
Enjeksiyon Heparin sodium 2500 UI/ml
4612
Acil yağış uyumsuz
Enjeksiyon Gentamicin sulfate 4 & 5 mg/ml
Enjeksiyon Heparin sodium 2500 UI/ml
4612
Uyumlu
Enjeksiyon Gentamicin sulfate 5 mg/ml
Enjeksiyon Hetastarch 60 mg/ml
çözücü Özgül 1721
Acil yağış uyumsuz
Enjeksiyon Gentamicin sulfate 0.8 mg/ml
Enjeksiyon Hetastarch 60 mg/ml
Sodyum klorür % 0,9 472
Uyumlu
Enjeksiyon Gentamicin sulfate 0.8 mg/ml
Enjeksiyon Hydromorphone hydrochloride 0.2 mg/ml
Glukoz %5 405
Renk değişimi uyumsuz
Enjeksiyon Gentamicin sulfate 3 mg/ml
Enjeksiyon Idarubicin hydrochloride 1 mg/ml
Sodyum klorür % 0,9 491
Acil yağış uyumsuz
Enjeksiyon Gentamicin sulfate 1 mg/ml
Enjeksiyon Indomethacin sodium trihydrate 0,5 & 1 mg/ml
Glukoz %5 494
15 dakika sonra yağış uyumsuz
Enjeksiyon Gentamicin sulfate 1 mg/ml
Enjeksiyon Indomethacin sodium trihydrate 0,5 & 1 mg/ml
Glukoz %5 1745
Uyumlu
Enjeksiyon Gentamicin sulfate 1.2 >> 2 mg/ml
Enjeksiyon Insulin 0.2 UI/ml
Sodyum klorür % 0,9 129
Uyumlu
Enjeksiyon Gentamicin sulfate 0.8 mg/ml
Enjeksiyon Iohexol 300 mg I/ml
Yok 1085
Acil yağış uyumsuz
Enjeksiyon Gentamicin sulfate 0.8 mg/ml
Enjeksiyon Ioxaglate 320 mg I/ml
Yok 1085
Uyumlu
Enjeksiyon Gentamicin sulfate 5 mg/ml
Enjeksiyon Isavuconazonium sulfate 1.5 mg/ml
Glukoz %5 3829
Uyumlu
Enjeksiyon Gentamicin sulfate 5 mg/ml
Enjeksiyon Isavuconazonium sulfate 1.5 mg/ml
Sodyum klorür % 0,9 3829
Uyumlu
Enjeksiyon Gentamicin sulfate 40 mg/ml
Enjeksiyon Ketamine hydrochloride 50 mg/ml
2109
Uyumlu
Enjeksiyon Gentamicin sulfate 0.8 mg/ml
Enjeksiyon Labetalol hydrochloride 1 mg/ml
Glukoz %5 386
Uyumlu
Enjeksiyon Gentamicin sulfate 5 mg/ml
Enjeksiyon Lansoprazole 0.55 mg/ml
Sodyum klorür % 0,9 1625
Uyumlu
Enjeksiyon Gentamicin sulfate 10 mg/ml
Enjeksiyon Levofloxacine 5 mg/ml
Glukoz %5 1072
Uyumlu
Enjeksiyon Gentamicin sulfate 0,75 mg/ml
Enjeksiyon Linezolid 1,80 mg/ml
2353
Uyumlu
Enjeksiyon Gentamicin sulfate 5 mg/ml
Enjeksiyon Linezolid 2 mg/ml
Yok 1925
Uyumlu
Enjeksiyon Gentamicin sulfate 3 mg/ml
Enjeksiyon Lorazepam 0.33 mg/ml
Sodyum klorür % 0,9 186
Uyumlu
Enjeksiyon Gentamicin sulfate 0.8 mg/ml
Enjeksiyon Magnesium sulfate 16.67 >> 100 mg/ml
Glukoz %5 1047
Uyumlu
Enjeksiyon Gentamicin sulfate 5 mg/ml
Enjeksiyon Melphalan 0.1 mg/ml
Sodyum klorür % 0,9 169
Uyumlu
Enjeksiyon Gentamicin sulfate 40 mg/ml
Enjeksiyon Meropenem 50 mg/ml
Enjeksiyonluk su 4319
Uyumlu
Enjeksiyon Gentamicin sulfate 0.8 mg/ml
Enjeksiyon Meropenem 1 & 20 mg/ml
Sodyum klorür % 0,9 266
Uyumlu
Enjeksiyon Gentamicin sulfate 4 mg/ml
Enjeksiyon Meropenem 1 & 50 mg/ml
Sodyum klorür % 0,9 266
Uyumlu
Enjeksiyon Gentamicin sulfate 30 mg/ml
Enjeksiyon Meropenem 10 mg/ml
Sodyum klorür % 0,9 2335
Uyumlu
Enjeksiyon Gentamicin sulfate 0,8 & 1,2 mg/ml
Enjeksiyon Metronidazole 5 mg/ml
Yok 1243
Uyumlu
Enjeksiyon Gentamicin sulfate 0.8 mg/ml
Enjeksiyon Metronidazole 5 mg/ml
Yok 1035
Uyumlu
Enjeksiyon Gentamicin sulfate
Enjeksiyon Metronidazole
3594
Uyumlu
Enjeksiyon Gentamicin sulfate 3 mg/ml
Enjeksiyon Midazolam hydrochloride 5 mg/ml
Yok 186
Uyumlu
Enjeksiyon Gentamicin sulfate 10 mg/ml
Enjeksiyon Midazolam hydrochloride 1 mg/ml
Glukoz %5 176
Uyumlu
Enjeksiyon Gentamicin sulfate 0.8 mg/ml
Enjeksiyon Midazolam hydrochloride 0.05 >> 0.4 mg/ml
Sodyum klorür % 0,9 1888
Belirtilmemiş uyumsuzluk uyumsuz
Enjeksiyon Gentamicin sulfate
Enjeksiyon Mitomycin
4471
Kimyasal kararsızlık uyumsuz
Enjeksiyon Gentamicin sulfate
Enjeksiyon Mitomycin
3128
Uyumlu
Enjeksiyon Gentamicin sulfate 1.2 & 2 mg/ml
Enjeksiyon Morphine sulfate 1 mg/ml
Sodyum klorür % 0,9 406
Uyumlu
Enjeksiyon Gentamicin sulfate 0.8 mg/ml
Enjeksiyon Morphine sulfate 1 mg/ml
Glukoz %5 405
Belirtilmemiş uyumsuzluk uyumsuz
Enjeksiyon Gentamicin sulfate
Enjeksiyon Moxalactam
3643
Belirtilmemiş uyumsuzluk uyumsuz
Enjeksiyon Gentamicin sulfate
Enjeksiyon Moxalactam
3520
Uyumlu
Enjeksiyon Gentamicin sulfate 40 mg/ml
Enjeksiyon N-acetylcysteine 200 mg/ml
Yok 3766
Belirtilmemiş uyumsuzluk uyumsuz
Enjeksiyon Gentamicin sulfate
Enjeksiyon Nadroparin
3643
Belirtilmemiş uyumsuzluk uyumsuz
Enjeksiyon Gentamicin sulfate
Enjeksiyon Nafcillin sodium
3643
Belirtilmemiş uyumsuzluk uyumsuz
Enjeksiyon Gentamicin sulfate
Enjeksiyon Nafcillin sodium
3520
Uyumlu
Enjeksiyon Gentamicin sulfate 40 mg/ml
Enjeksiyon Naloxone hydrochloride 0.4 mg/ml
Yok 3408
Uyumlu
Enjeksiyon Gentamicin sulfate 4.17 mg/ml
Enjeksiyon Nefopam 0.16 mg/ml
Sodyum klorür % 0,9 4254
Uyumlu
Enjeksiyon Gentamicin sulfate 4.17 mg/ml
Enjeksiyon Nefopam 0.16 mg/ml
Glukoz %5 4254
Uyumlu
Enjeksiyon Gentamicin sulfate 0.8 mg/ml
Enjeksiyon Nicardipine hydrochloride 0.1 mg/ml
Glukoz %5 1490
Uyumlu
Enjeksiyon Gentamicin sulfate 0.8 mg/ml
Enjeksiyon Nicardipine hydrochloride 0.1 mg/ml
Sodyum klorür % 0,9 1490
Uyumlu
Enjeksiyon Gentamicin sulfate 0,8 mg/ml
Enjeksiyon Ofloxacin 2 mg/ml
Yok 889
Uyumlu
Enjeksiyon Gentamicin sulfate 5 mg/ml
Enjeksiyon Ondansetron hydrochloride 1 mg/ml
Sodyum klorür % 0,9 334
Uyumlu
Enjeksiyon Gentamicin sulfate 5 mg/ml
Enjeksiyon Oritavancin 0.8 >>2 mg/ml
Glukoz %5 3152
Belirtilmemiş uyumsuzluk uyumsuz
Enjeksiyon Gentamicin sulfate
Enjeksiyon Oxacillin sodium
3643
Belirtilmemiş uyumsuzluk uyumsuz
Enjeksiyon Gentamicin sulfate
Enjeksiyon Oxacillin sodium
3520
Uyumlu
Enjeksiyon Gentamicin sulfate 40 mg/ml
Enjeksiyon Oxycodone hydrochloride 1 mg/ml
Sodyum klorür % 0,9 4842
Uyumlu
Enjeksiyon Gentamicin sulfate 5 mg/ml
Enjeksiyon Paclitaxel 1.2 mg/ml
Glukoz %5 248
Uyumlu
Enjeksiyon Gentamicin sulfate 5 mg/ml
Enjeksiyon Palonosetron hydrochloride 50 µg/ml
Glukoz %5 2228
Uyumlu
Enjeksiyon Gentamicin sulfate 2 mg/ml
Enjeksiyon Pancuronium bromide 0.05 mg/ml
Glukoz %5 402
Acil yağış uyumsuz
Enjeksiyon Gentamicin sulfate
Enjeksiyon Pantoprazole sodium
2090
Uyumlu
Enjeksiyon Gentamicin sulfate 40 mg/ml
Enjeksiyon Paracetamol 10 mg/ml
4742
Acil yağış uyumsuz
Enjeksiyon Gentamicin sulfate 5 mg/ml
Enjeksiyon Pemetrexed disodium 20 mg/ml
1953
Belirtilmemiş uyumsuzluk uyumsuz
Enjeksiyon Gentamicin sulfate
Enjeksiyon Penicillin G potassium
3643
Belirtilmemiş uyumsuzluk uyumsuz
Enjeksiyon Gentamicin sulfate
Enjeksiyon Penicillin G potassium
3520
Belirtilmemiş uyumsuzluk uyumsuz
Enjeksiyon Gentamicin sulfate
Enjeksiyon Penicillin G sodium
3643
Belirtilmemiş uyumsuzluk uyumsuz
Enjeksiyon Gentamicin sulfate
Enjeksiyon Penicillin G sodium
3520
Uyumlu
Enjeksiyon Gentamicin sulfate 10 mg/ml
Enjeksiyon Pentoxifyllin 5 mg/ml
Sodyum klorür % 0,9 4543
Uyumlu
Enjeksiyon Gentamicin sulfate 0.8 mg/ml
Enjeksiyon Pethidine hydrochloride 10 mg/ml
Glukoz %5 405
Acil yağış uyumsuz
Enjeksiyon Gentamicin sulfate 10 mg/ml
Enjeksiyon Phenytoin sodium 50 mg/ml
789
Uyumlu
Enjeksiyon Gentamicin sulfate 20 mg/ml
Enjeksiyon Phloroglucinol 2,5 mg/ml
3791
Belirtilmemiş uyumsuzluk uyumsuz
Enjeksiyon Gentamicin sulfate
Enjeksiyon Piperacillin sodium
3520
Belirtilmemiş uyumsuzluk uyumsuz
Enjeksiyon Gentamicin sulfate
Enjeksiyon Piperacillin sodium
3643
Belirtilmemiş uyumsuzluk uyumsuz
Enjeksiyon Gentamicin sulfate
Enjeksiyon Piperacillin sodium / tazobactam
3520
Kimyasal kararsızlık uyumsuz
Enjeksiyon Gentamicin sulfate
Enjeksiyon Piperacillin sodium / tazobactam
3586
Belirtilmemiş uyumsuzluk uyumsuz
Enjeksiyon Gentamicin sulfate
Enjeksiyon Piperacillin sodium / tazobactam
3643
Uyumlu
Enjeksiyon Gentamicin sulfate
Enjeksiyon Posaconazole
4380
Uyumlu
Enjeksiyon Gentamicin sulfate 30 mg/ml
Enjeksiyon Potassium chloride 20 mEq/l
NaCl %0,45 Glukoz %5 2335
Emülsiyonun anında dengesizliği uyumsuz
Enjeksiyon Gentamicin sulfate 2 mg/ml
Enjeksiyon Propofol
660
Belirtilmemiş uyumsuzluk uyumsuz
Enjeksiyon Gentamicin sulfate 40 mg/ml
Enjeksiyon Propofol
4524
Acil yağış uyumsuz
Enjeksiyon Gentamicin sulfate 5 mg/ml
Enjeksiyon Propofol 10 mg/ml
Yok 300
Uyumlu
Enjeksiyon Gentamicin sulfate 5 mg/ml
Enjeksiyon Remifentanil hydrochloride 25 & 250 µg/ml
Sodyum klorür % 0,9 59
Uyumlu
Enjeksiyon Gentamicin sulfate 40 mg/ml
Enjeksiyon Salbutamol sulfate 1 mg/ml
Yok 3216
Uyumlu
Enjeksiyon Gentamicin sulfate 5 mg/ml
Enjeksiyon Sargramostim 10 µg/ml
Sodyum klorür % 0,9 335
Uyumlu
Enjeksiyon Gentamicin sulfate 10 mg/ml
Enjeksiyon Sildenafil citrate 0,6 mg/ml
Glukoz %5 4845
Uyumlu
Enjeksiyon Gentamicin sulfate 2,4 mg/ml
Enjeksiyon Sodium bicarbonate 40 mg/ml
Yok 3122
Gaz kabarcığı üretimi uyumsuz
Enjeksiyon Gentamicin sulfate
Enjeksiyon Sodium bicarbonate
3643
Uyumlu
Enjeksiyon Gentamicin sulfate 2.5 mg/ml
Enjeksiyon Sodium citrate 40 mg/ml
Enjeksiyonluk su 3952
Uyumlu
Enjeksiyon Gentamicin sulfate 40 mg/ml
Enjeksiyon Sugammadex 100 mg/ml
Yok 3372
Uyumlu
Enjeksiyon Gentamicin sulfate 5 mg/ml
Enjeksiyon Sulbactam/durlobactam 15/15 mg/ml
Sodyum klorür % 0,9 4801
Uyumlu
Enjeksiyon Gentamicin sulfate 4 mg/ml
Enjeksiyon Tacrolimus 1000 µg/ml
Sodyum klorür % 0,9 479
Uyumlu
Enjeksiyon Gentamicin sulfate
Sodyum klorür % 0,9 1704
Uyumlu
Enjeksiyon Gentamicin sulfate
Sodyum klorür % 0,9 434
Belirtilmemiş uyumsuzluk uyumsuz
Enjeksiyon Gentamicin sulfate
Enjeksiyon Sodium bicarbonate
3520
Uyumlu
Enjeksiyon Gentamicin sulfate 1 >> 5 mg/ml
Enjeksiyon Sodium citrate 40 mg/ml
Yok 2019
Anında bulanıklık uyumsuz
Enjeksiyon Gentamicin sulfate 5 mg/ml
Enjeksiyon Tedizolid phosphate 0.8 mg/ml
Sodyum klorür % 0,9 3827
Belirtilmemiş uyumsuzluk uyumsuz
Enjeksiyon Gentamicin sulfate
Enjeksiyon Teicoplanine
3656
Uyumlu
Enjeksiyon Gentamicin sulfate 5 mg/ml
Enjeksiyon Telavancin hydrochloride 7.5 mg/ml
Laktatlı ringer 3254
Uyumlu
Enjeksiyon Gentamicin sulfate 5 mg/ml
Enjeksiyon Telavancin hydrochloride 7.5 mg/ml
Sodyum klorür % 0,9 3254
Uyumlu
Enjeksiyon Gentamicin sulfate 5 mg/ml
Enjeksiyon Telavancin hydrochloride 7.5 mg/ml
Glukoz %5 3254
Uyumlu
Enjeksiyon Gentamicin sulfate 6 mg/ml
Enjeksiyon Temocilline 83.33 mg/ml
Enjeksiyonluk su 2231
Belirtilmemiş uyumsuzluk uyumsuz
Enjeksiyon Gentamicin sulfate
Enjeksiyon Temocilline
3643
Belirtilmemiş uyumsuzluk uyumsuz
Enjeksiyon Gentamicin sulfate
Enjeksiyon Temocilline
3520
Belirtilmemiş uyumsuzluk uyumsuz
Enjeksiyon Gentamicin sulfate
Enjeksiyon Temocilline
2296
Uyumlu
Enjeksiyon Gentamicin sulfate 5 mg/ml
Enjeksiyon Teniposide 0.1 mg/ml
Glukoz %5 905
Uyumlu
Enjeksiyon Gentamicin sulfate 2 mg/ml
Enjeksiyon Theophylline 4 mg/ml
Yok 317
Acil yağış uyumsuz
Enjeksiyon Gentamicin sulfate 40 mg/ml
Enjeksiyon Thiopental sodium 25 mg/ml
Sodyum klorür % 0,9 3767
Uyumlu
Enjeksiyon Gentamicin sulfate 5 mg/ml
Enjeksiyon Thiotepa 1 mg/ml
Glukoz %5 249
Kimyasal kararsızlık uyumsuz
Enjeksiyon Gentamicin sulfate
Enjeksiyon Ticarcillin / clavulanic acid
3587
Belirtilmemiş uyumsuzluk uyumsuz
Enjeksiyon Gentamicin sulfate
Enjeksiyon Ticarcillin / clavulanic acid
3643
Belirtilmemiş uyumsuzluk uyumsuz
Enjeksiyon Gentamicin sulfate
Enjeksiyon Ticarcillin / clavulanic acid
3520
Uyumlu
Enjeksiyon Gentamicin sulfate
Enjeksiyon Tigecycline
Sodyum klorür % 0,9 3332
Uyumlu
Enjeksiyon Gentamicin sulfate 6 mg/ml
Enjeksiyon Vancomycin hydrochloride 10 mg/ml
Glukoz %5 3385
Uyumlu
Enjeksiyon Gentamicin sulfate 1.2 mg/ml
Enjeksiyon Vasopressin 0.2 UI/ml
Sodyum klorür % 0,9 2017
Uyumlu
Enjeksiyon Gentamicin sulfate 2 mg/ml
Enjeksiyon Vecuronium bromide 0.1 mg/ml
Glukoz %5 402
Uyumlu
Enjeksiyon Gentamicin sulfate 0.16 mg/ml
Enjeksiyon Verapamil hydrochloride 0.08 mg/ml
Glukoz %5 1057
Uyumlu
Enjeksiyon Gentamicin sulfate 0.16 mg/ml
Enjeksiyon Verapamil hydrochloride 0.08 mg/ml
Sodyum klorür % 0,9 1057
Uyumlu
Enjeksiyon Gentamicin sulfate 5 mg/ml
Enjeksiyon Vinorelbine tartrate 1 mg/ml
Sodyum klorür % 0,9 84
Anında bulanıklık uyumsuz
Enjeksiyon Gentamicin sulfate 1.6 mg/ml
Enjeksiyon Warfarin sodium 2 mg/ml
Glukoz %5 315
Uyumlu
Enjeksiyon Gentamicin sulfate 2 mg/ml
Enjeksiyon Zidovudine 4 mg/ml
Glukoz %5 337

  Mentions Légales