Poslední aktualizace :
18/03/2026
Antibiotikum   Gentamicin sulfate  
injekce
Humbuk
Stabilita roztoků Stabilita směsí Faktory ovlivňující stabilitu Kompatibilita Způsoby aplikace Odkazy pdf
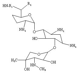
   Chemický vzorec  

Obchodní název   Obchodní název     

Trade names are indicative and excipients composition can be different depending on the country and manufacturers

Azupel Peru
Cidomycin Egypt, Tunisko, Velká Británie
Dabroson ÿecko
Epigent Egypt
Garalone Portugalsko
Garamicina BrazÌlie, Ekvádor, Kolumbie, Mexiko
Garamycin Chorvatsko, Dánsko, Egypt, Indie, Nizozemsko, Norsko, Polsko, Spojené arabské emiráty, Švýcarsko, ÿecko
Genmisin Turecko
Gensif Turecko
Gensumycin Finsko, Norsko, Švédsko
Genta-Gobens äpanÏlsko
Gentalline Maroko
Gentamen Maroko
Genticin Irsko, Spojené arabské emiráty, Velká Británie
Gentreks Turecko
Hexamycin Dánsko
Plurisemina Argentina
Refobacin Egypt, Kolumbie, NÏmecko, Rakousko
Rupegen Argentina
Kompatibilita   injekce   Kompatibilita : Gentamicin sulfate              
Tato obrazovka ukazuje kompatibilitu nebo nekompatibilitu s, v tomto případě, typem nekompatibility (srážení, změna barvy, modifikace emulze atd.). Zde uvedené kompatibility jsou většinou pouze fyzikální, přičemž chemická stabilita každé molekuly je zřídka hodnocena. Hodnocení těchto směsí bylo studováno, aby se zvážila možnost podání Y-místa pacientovi. Tyto údaje nelze použít k přípravě směsí předem v pytlích nebo stříkačkách. Tento typ informací je k dispozici na obrazovce „Stabilita ve směsi“.
SlouËenina RozpouötÏdlo Odkazy
Kompatibilní
injekce Gentamicin sulfate 1.6 mg/ml
injekce Aciclovir sodium 5 mg/ml
GlukÛza 5% 336
Okamžité srážení Nekompatibilní
injekce Gentamicin sulfate 30 mg/ml
injekce Aciclovir sodium 5 mg/ml
Chlorid sodný 0,9% 2335
Srážky po 1 hodině Nekompatibilní
injekce Gentamicin sulfate 5 mg/ml
injekce Allopurinol sodium 3 mg/ml
Chlorid sodný 0,9% 307
Kompatibilní
injekce Gentamicin sulfate 1 mg/ml
injekce Alprostadil 15 µg/ml
3201
Kompatibilní
injekce Gentamicin sulfate 5 mg/ml
injekce Amifostine 10 mg/ml
GlukÛza 5% 3
Kompatibilní
injekce Gentamicin sulfate 0.8 mg/ml
injekce Amiodarone hydrochloride 4 mg/ml
Chlorid sodný 0,9% 385
Kompatibilní
injekce Gentamicin sulfate 0.8 mg/ml
injekce Amiodarone hydrochloride 4 mg/ml
GlukÛza 5% 385
Nespecifikovaná nekompatibilita Nekompatibilní
injekce Gentamicin sulfate
injekce Amoxicillin sodium
3643
Nespecifikovaná nekompatibilita Nekompatibilní
injekce Gentamicin sulfate
injekce Amoxicillin sodium
3520
Chemická nestabilita Nekompatibilní
injekce Gentamicin sulfate
injekce Amoxicillin sodium
3527
Nespecifikovaná nekompatibilita Nekompatibilní
injekce Gentamicin sulfate
injekce Amoxicillin sodium / clavulanic acid
3643
Nespecifikovaná nekompatibilita Nekompatibilní
injekce Gentamicin sulfate
injekce Amoxicillin sodium / clavulanic acid
3545
Nespecifikovaná nekompatibilita Nekompatibilní
injekce Gentamicin sulfate
injekce Amoxicillin sodium / clavulanic acid
3520
Kompatibilní
injekce Gentamicin sulfate 40 mg/ml
injekce Amoxicillin sodium / clavulanic acid 100/10 mg/ml
3824
Okamžité srážení Nekompatibilní
injekce Gentamicin sulfate 5 mg/ml
injekce Amphotericin B cholesteryl sulfate complex 0,83 mg/ml
GlukÛza 5% 921
Nespecifikovaná nekompatibilita Nekompatibilní
injekce Gentamicin sulfate
injekce Ampicillin sodium
3643
Nespecifikovaná nekompatibilita Nekompatibilní
injekce Gentamicin sulfate
injekce Ampicillin sodium
3520
Nespecifikovaná nekompatibilita Nekompatibilní
injekce Gentamicin sulfate
injekce Ampicillin sodium - sulbactam sodium
3643
Nespecifikovaná nekompatibilita Nekompatibilní
injekce Gentamicin sulfate
injekce Ampicillin sodium - sulbactam sodium
3520
Kompatibilní
injekce Gentamicin sulfate 5 mg/ml
injekce Amsacrine 1 mg/ml
GlukÛza 5% 253
Kompatibilní
injekce Gentamicin sulfate 5 mg/ml
injekce Anidulafungin 0.5 mg/ml
GlukÛza 5% 1982
Kompatibilní
injekce Gentamicin sulfate 0,8 mg/ml
injekce Atosiban 0,75 mg/ml
4642
Kompatibilní
injekce Gentamicin sulfate 2 mg/ml
injekce Atracurium besylate 0.5 mg/ml
GlukÛza 5% 402
Okamžité srážení Nekompatibilní
injekce Gentamicin sulfate 21 mg/ml
injekce Azithromycine 2 mg/ml
Chlorid sodný 0,9% 1800
Kompatibilní
injekce Gentamicin sulfate 5 mg/ml
injekce Aztreonam 40 mg/ml
GlukÛza 5% 99
Kompatibilní
injekce Gentamicin sulfate 0.2 & 0.8 mg/ml
injekce Aztreonam 10 & 20 mg/ml
Chlorid sodný 0,9% 19
Kompatibilní
injekce Gentamicin sulfate 0.2 & 0.8 mg/ml
injekce Aztreonam 10 & 20 mg/ml
GlukÛza 5% 19
Kompatibilní
injekce Gentamicin sulfate 5 mg/ml
injekce Bivalirudin 5 mg/ml
GlukÛza 5% 1713
Kompatibilní
injekce Gentamicin sulfate 10 mg/ml
injekce Caffeine 10 mg/ml
Žádné 3964
Kompatibilní
injekce Gentamicin sulfate 10 mg/ml
injekce Caffeine 10 mg/ml
Chlorid sodný 0,9% 4837
Kompatibilní
injekce Gentamicin sulfate 10 mg/ml
injekce Caffeine citrate 20 mg/ml
Chlorid sodný 0,9% 4837
Nespecifikovaná nekompatibilita Nekompatibilní
injekce Gentamicin sulfate
injekce Calcium gluconate
3644
Nekompatibilní
injekce Gentamicin sulfate
injekce Calcium gluconate
4964
Kompatibilní
injekce Gentamicin sulfate 5 mg/ml
injekce Caspofungin acetate 0,7 mg/ml
Chlorid sodný 0,9% 2247
Nespecifikovaná nekompatibilita Nekompatibilní
injekce Gentamicin sulfate
injekce Cefalotin sodium
3520
Nespecifikovaná nekompatibilita Nekompatibilní
injekce Gentamicin sulfate
injekce Cefalotin sodium
3643
Okamžité srážení Nekompatibilní
injekce Gentamicin sulfate
injekce Cefamandole nafate 2 >> 100 mg/ml
GlukÛza 5% 612
Nespecifikovaná nekompatibilita Nekompatibilní
injekce Gentamicin sulfate
injekce Cefamandole nafate
3643
Nespecifikovaná nekompatibilita Nekompatibilní
injekce Gentamicin sulfate
injekce Cefamandole nafate
3520
Nespecifikovaná nekompatibilita Nekompatibilní
injekce Gentamicin sulfate
injekce Cefamandole nafate
3546
Okamžité srážení Nekompatibilní
injekce Gentamicin sulfate
injekce Cefamandole nafate 2 >> 100 mg/ml
Chlorid sodný 0,9% 612
Nespecifikovaná nekompatibilita Nekompatibilní
injekce Gentamicin sulfate
injekce Cefazolin sodium
3520
Nespecifikovaná nekompatibilita Nekompatibilní
injekce Gentamicin sulfate
injekce Cefazolin sodium
3643
Nespecifikovaná nekompatibilita Nekompatibilní
injekce Gentamicin sulfate
injekce Cefepime dihydrochloride
3520
Kompatibilní
injekce Gentamicin sulfate 6 mg/ml
injekce Cefepime dihydrochloride 125 mg/ml
Voda pro injekci 2141
Nespecifikovaná nekompatibilita Nekompatibilní
injekce Gentamicin sulfate
injekce Cefepime dihydrochloride
3548
Nespecifikovaná nekompatibilita Nekompatibilní
injekce Gentamicin sulfate
injekce Cefepime dihydrochloride
3643
Kompatibilní
injekce Gentamicin sulfate 5 mg/ml
injekce Cefiderocol sulfate tosylate 20 mg/mL
GlukÛza 5% 4528
Kompatibilní
injekce Gentamicin sulfate 5 mg/ml
injekce Cefiderocol sulfate tosylate 20 mg/mL
Chlorid sodný 0,9% 4528
Nespecifikovaná nekompatibilita Nekompatibilní
injekce Gentamicin sulfate
injekce Cefmenoxime
3520
Nespecifikovaná nekompatibilita Nekompatibilní
injekce Gentamicin sulfate
injekce Cefmenoxime
3643
Nespecifikovaná nekompatibilita Nekompatibilní
injekce Gentamicin sulfate
injekce Cefmetazole sodium
3520
Nespecifikovaná nekompatibilita Nekompatibilní
injekce Gentamicin sulfate
injekce Cefmetazole sodium
3643
Nespecifikovaná nekompatibilita Nekompatibilní
injekce Gentamicin sulfate
injekce Cefonicid sodium
3643
Nespecifikovaná nekompatibilita Nekompatibilní
injekce Gentamicin sulfate
injekce Cefonicid sodium
3520
Nespecifikovaná nekompatibilita Nekompatibilní
injekce Gentamicin sulfate
injekce Cefoperazone sodium
3544
Nespecifikovaná nekompatibilita Nekompatibilní
injekce Gentamicin sulfate
injekce Cefoperazone sodium
3643
Okamžité srážení Nekompatibilní
injekce Gentamicin sulfate 0.8 mg/ml
injekce Cefoperazone sodium 10 mg/ml
GlukÛza 5% 1206
Nespecifikovaná nekompatibilita Nekompatibilní
injekce Gentamicin sulfate
injekce Cefoperazone sodium
3520
Nespecifikovaná nekompatibilita Nekompatibilní
injekce Gentamicin sulfate
injekce Ceforanide
3643
Nespecifikovaná nekompatibilita Nekompatibilní
injekce Gentamicin sulfate
injekce Ceforanide
3520
Nespecifikovaná nekompatibilita Nekompatibilní
injekce Gentamicin sulfate
injekce Cefotaxime sodium
3520
Nespecifikovaná nekompatibilita Nekompatibilní
injekce Gentamicin sulfate
injekce Cefotaxime sodium
3643
Nespecifikovaná nekompatibilita Nekompatibilní
injekce Gentamicin sulfate
injekce Cefoxitin sodium
3643
Nespecifikovaná nekompatibilita Nekompatibilní
injekce Gentamicin sulfate
injekce Cefoxitin sodium
3520
Kompatibilní
injekce Gentamicin sulfate 1 mg/ml
injekce Cefpirome sulfate 50 mg/ml
Chlorid sodný 0,9% 280
Kompatibilní
injekce Gentamicin sulfate 1 mg/ml
injekce Cefpirome sulfate 50 mg/ml
RingerŐs laktátový roztok 280
Kompatibilní
injekce Gentamicin sulfate 1 mg/ml
injekce Cefpirome sulfate 50 mg/ml
Chlorid sodný 0,45% 280
Nespecifikovaná nekompatibilita Nekompatibilní
injekce Gentamicin sulfate
injekce Cefpirome sulfate
3643
Nespecifikovaná nekompatibilita Nekompatibilní
injekce Gentamicin sulfate
injekce Cefpirome sulfate
3677
Kompatibilní
injekce Gentamicin sulfate 1 mg/ml
injekce Cefpirome sulfate 50 mg/ml
GlukÛza 5% 280
Nespecifikovaná nekompatibilita Nekompatibilní
injekce Gentamicin sulfate
injekce Cefpirome sulfate
3520
Kompatibilní
injekce Gentamicin sulfate 5 mg/ml
injekce Ceftaroline fosamil 2,22 mg/ml
Chlorid sodný 0,9% 3249
Kompatibilní
injekce Gentamicin sulfate 5 mg/ml
injekce Ceftaroline fosamil 2,22 mg/ml
RingerŐs laktátový roztok 3249
Kompatibilní
injekce Gentamicin sulfate 5 mg/ml
injekce Ceftaroline fosamil 2,22 mg/ml
GlukÛza 5% 3249
Nespecifikovaná nekompatibilita Nekompatibilní
injekce Gentamicin sulfate
injekce Ceftaroline fosamil
3643
Nespecifikovaná nekompatibilita Nekompatibilní
injekce Gentamicin sulfate
injekce Ceftaroline fosamil
3520
Nespecifikovaná nekompatibilita Nekompatibilní
injekce Gentamicin sulfate
injekce Ceftazidime
3543
Nespecifikovaná nekompatibilita Nekompatibilní
injekce Gentamicin sulfate
injekce Ceftazidime
3520
Nespecifikovaná nekompatibilita Nekompatibilní
injekce Gentamicin sulfate
injekce Ceftazidime
3643
Kompatibilní
injekce Gentamicin sulfate 6 mg/ml
injekce Ceftazidime 125 mg/ml
Voda pro injekci 2141
Kompatibilní
injekce Gentamicin sulfate 6 mg/ml
injekce Ceftazidime 83.3 mg/ml
1759
Nespecifikovaná nekompatibilita Nekompatibilní
injekce Gentamicin sulfate
injekce Ceftazidime
3883
Nespecifikovaná nekompatibilita Nekompatibilní
injekce Gentamicin sulfate
injekce Ceftazidime Avibactam
3520
Nespecifikovaná nekompatibilita Nekompatibilní
injekce Gentamicin sulfate
injekce Ceftazidime Avibactam
3643
Nespecifikovaná nekompatibilita Nekompatibilní
injekce Gentamicin sulfate
injekce Ceftizoxime sodium
3643
Nespecifikovaná nekompatibilita Nekompatibilní
injekce Gentamicin sulfate
injekce Ceftizoxime sodium
3520
Nespecifikovaná nekompatibilita Nekompatibilní
injekce Gentamicin sulfate
injekce Ceftobiprole medocaril sodium
3643
Nespecifikovaná nekompatibilita Nekompatibilní
injekce Gentamicin sulfate
injekce Ceftobiprole medocaril sodium
4650
Okamžité srážení Nekompatibilní
injekce Gentamicin sulfate 5 mg/ml
injekce Ceftobiprole medocaril sodium 2 mg/ml
GlukÛza 5% 2269
Okamžité srážení Nekompatibilní
injekce Gentamicin sulfate 5 mg/ml
injekce Ceftobiprole medocaril sodium 2 mg/ml
RingerŐs laktátový roztok 2269
Okamžité srážení Nekompatibilní
injekce Gentamicin sulfate 5 mg/ml
injekce Ceftobiprole medocaril sodium 2 mg/ml
Chlorid sodný 0,9% 2269
Nespecifikovaná nekompatibilita Nekompatibilní
injekce Gentamicin sulfate
injekce Ceftobiprole medocaril sodium
3520
Kompatibilní
injekce Gentamicin sulfate 5 mg/ml
injekce Ceftolozane / tazobactam 10/5 mg/ml
GlukÛza 5% 3828
Nespecifikovaná nekompatibilita Nekompatibilní
injekce Gentamicin sulfate
injekce Ceftolozane / tazobactam
3643
Nespecifikovaná nekompatibilita Nekompatibilní
injekce Gentamicin sulfate
injekce Ceftolozane / tazobactam
3520
Kompatibilní
injekce Gentamicin sulfate 5 mg/ml
injekce Ceftolozane / tazobactam 10/5 mg/ml
Chlorid sodný 0,9% 3828
Nespecifikovaná nekompatibilita Nekompatibilní
injekce Gentamicin sulfate
injekce Ceftriaxone disodium
3523
Nespecifikovaná nekompatibilita Nekompatibilní
injekce Gentamicin sulfate
injekce Ceftriaxone disodium
3643
Nespecifikovaná nekompatibilita Nekompatibilní
injekce Gentamicin sulfate
injekce Ceftriaxone disodium
3520
Nespecifikovaná nekompatibilita Nekompatibilní
injekce Gentamicin sulfate
injekce Cefuroxime sodium
3643
Nespecifikovaná nekompatibilita Nekompatibilní
injekce Gentamicin sulfate
injekce Cefuroxime sodium
3520
Nespecifikovaná nekompatibilita Nekompatibilní
injekce Gentamicin sulfate
injekce Cefuroxime sodium
3687
Nespecifikovaná nekompatibilita Nekompatibilní
injekce Gentamicin sulfate
injekce Cefuzonam
3520
Kompatibilní
injekce Gentamicin sulfate 0.8 mg/ml
injekce Cimetidine hydrochloride 3 mg/ml
GlukÛza 5% 1201
Kompatibilní
injekce Gentamicin sulfate 0.08 mg/ml
injekce Cimetidine hydrochloride 1.2 & 5 mg/ml
Chlorid sodný 0,9% 1201
Kompatibilní
injekce Gentamicin sulfate 0.08 mg/ml
injekce Cimetidine hydrochloride 1.2 & 5 mg/ml
GlukÛza 5% 1201
Kompatibilní
injekce Gentamicin sulfate 10 mg/ml
injekce Ciprofloxacin lactate 2 mg/ml
Chlorid sodný 0,9% 289
Kompatibilní
injekce Gentamicin sulfate 1.6 mg/ml
injekce Ciprofloxacin lactate 2 mg/ml
GlukÛza 5% 285
Kompatibilní
injekce Gentamicin sulfate 5 mg/ml
injekce Cisatracurium besylate 0.1 >> 5 mg/ml
GlukÛza 5% 299
Chemická nestabilita Nekompatibilní
injekce Gentamicin sulfate
injekce Cisplatin
3578
Kompatibilní
injekce Gentamicin sulfate 12 mg/ml
injekce Clindamycin phosphate 90 mg/ml
Chlorid sodný 0,9% 639
Kompatibilní
injekce Gentamicin sulfate 0.67 mg/ml
injekce Clindamycin phosphate 6 mg/ml
GlukÛza 5% 423
Kompatibilní
injekce Gentamicin sulfate
GlukÛza 5% 434
Nespecifikovaná nekompatibilita Nekompatibilní
injekce Gentamicin sulfate
injekce Cefuzonam
3643
Kompatibilní
injekce Gentamicin sulfate 1 mg/ml
injekce Ciprofloxacin lactate 1.5 mg/ml
Chlorid sodný 0,9% 434
Kompatibilní
injekce Gentamicin sulfate 1.6 mg/ml
injekce Ciprofloxacin lactate 2 mg/ml
GlukÛza 5% 288
Kompatibilní
injekce Gentamicin sulfate 1.6 mg/ml
injekce Ciprofloxacin lactate 2 mg/ml
Chlorid sodný 0,9% 288
Kompatibilní
injekce Gentamicin sulfate 1 mg/ml
injekce Ciprofloxacin lactate 1.5 mg/ml
GlukÛza 5% 434
Kompatibilní
injekce Gentamicin sulfate
injekce Clindamycin phosphate
Chlorid sodný 0,9% 3526
Okamžité srážení Nekompatibilní
injekce Gentamicin sulfate 40 mg/ml
injekce Cloxacillin sodium 100 mg/ml
Voda pro injekci 3012
Kompatibilní
injekce Gentamicin sulfate 15 mg/ml
injekce Cytarabine 16 mg/ml
Chlorid sodný 0,9% 132
Nekompatibilní
injekce Gentamicin sulfate 2 & 10 mg/ml
Parenterální výživa (lipidy) 4924
Kompatibilní
injekce Gentamicin sulfate
injekce Clindamycin phosphate
GlukÛza 5% 3526
Nespecifikovaná nekompatibilita Nekompatibilní
injekce Gentamicin sulfate
injekce Cloxacillin sodium
3520
Nespecifikovaná nekompatibilita Nekompatibilní
injekce Gentamicin sulfate
injekce Cytarabine
3580
Kompatibilní
injekce Gentamicin sulfate 1,5 mg/ml
injekce Daptomycin 19,2 mg/ml
Chlorid sodný 0,9% 1937
Kompatibilní
injekce Gentamicin sulfate 0,05 mg/ml
Parenterální výživa (binární směs) 4445
Nespecifikovaná nekompatibilita Nekompatibilní
injekce Gentamicin sulfate
injekce Cloxacillin sodium
3643
Nestabilita emulze po 4 hodinách Nekompatibilní
injekce Gentamicin sulfate 2 mg/ml
Parenterální výživa (lipidy) 4507
Nespecifikovaná nekompatibilita Nekompatibilní
injekce Gentamicin sulfate
injekce Dalteparin sodium
3643
Kompatibilní
injekce Gentamicin sulfate
injekce Daptomycin
2271
Kompatibilní
injekce Gentamicin sulfate 10 mg/ml
Parenterální výživa (binární směs) 316
Kompatibilní
injekce Gentamicin sulfate
injekce Dimenhydrinate
2087
Kompatibilní
injekce Gentamicin sulfate 10 & 40 mg/ml
Parenterální výživa (binární směs) 999
Subvisuální nekompatibilita Nekompatibilní
injekce Gentamicin sulfate
injekce Daunorubicin/cytarabine liposomale
4354
Kompatibilní
injekce Gentamicin sulfate 1 mg/ml
Parenterální výživa (binární směs) 939
Okamžitá zákal Nekompatibilní
injekce Gentamicin sulfate
injekce Daunorubicin/cytarabine liposomale 0,4 mg/mL
Chlorid sodný 0,9% 4654
Kompatibilní
injekce Gentamicin sulfate 0.8 mg/ml
injekce Diatrizoate meglumine 283 mg/ml
Žádné 1085
Kompatibilní
injekce Gentamicin sulfate 2.4 & 40 mg/ml
injekce Diltiazem hydrochloride 5 mg/ml
Chlorid sodný 0,9% 198
Kompatibilní
injekce Gentamicin sulfate 5 mg/ml
injekce Docetaxel 0.9 mg/ml
GlukÛza 5% 1754
Nespecifikovaná nekompatibilita Nekompatibilní
injekce Gentamicin sulfate
injekce Dopamine hydrochloride
3638
Kompatibilní
injekce Gentamicin sulfate 5 mg/ml
Parenterální výživa (binární směs) 301
Kompatibilní
injekce Gentamicin sulfate 5 mg/ml
injekce Doripenem 5 mg/ml
Chlorid sodný 0,9% 2262
Nespecifikovaná nekompatibilita Nekompatibilní
injekce Gentamicin sulfate
NaHCO3 3520
Kompatibilní
injekce Gentamicin sulfate 2 mg/ml
injekce Dopamine hydrochloride 0.8 mg/ml
GlukÛza 5% 738
Výroba plynových bublin Nekompatibilní
injekce Gentamicin sulfate
NaHCO3 3643
Kompatibilní
injekce Gentamicin sulfate 5 mg/ml
injekce Dexmedetomidine 4 µg/ml
Chlorid sodný 0,9% 1712
Kompatibilní
injekce Gentamicin sulfate 5 mg/ml
injekce Doripenem 5 mg/ml
GlukÛza 5% 2262
Kompatibilní
injekce Gentamicin sulfate 5 mg/ml
Parenterální výživa (lipidy) 1415
Kompatibilní
injekce Gentamicin sulfate 10 mg/ml
injekce Doxapram hydrochloride 2 mg/ml
GlukÛza 5% 1802
Kompatibilní
injekce Gentamicin sulfate 5 mg/ml
injekce Doxorubicin hydrochloride liposome peg 0.4 mg/ml
GlukÛza 5% 251
Kompatibilní
injekce Gentamicin sulfate 0.8 mg/ml
injekce Enalaprilate 0.05 mg/ml
Chlorid sodný 0,9% 1315
Nespecifikovaná nekompatibilita Nekompatibilní
injekce Gentamicin sulfate
injekce Enoxaparin sodium
3643
Kompatibilní
injekce Gentamicin sulfate 5 mg/ml
injekce Eravacycline 0,6 mg/ml
Chlorid sodný 0,9% 4434
Nespecifikovaná nekompatibilita Nekompatibilní
injekce Gentamicin sulfate
injekce Erythromycin lactobionate
3674
Nespecifikovaná nekompatibilita Nekompatibilní
injekce Gentamicin sulfate
injekce Erythromycin lactobionate
3520
Nespecifikovaná nekompatibilita Nekompatibilní
injekce Gentamicin sulfate
injekce Erythromycin lactobionate
3643
Kompatibilní
injekce Gentamicin sulfate 0,8 mg/ml
injekce Esmolol hydrochloride 10 mg/ml
GlukÛza 5% 384
Kompatibilní
injekce Gentamicin sulfate 5 mg/ml
injekce Etoposide phosphate 5 mg/ml
GlukÛza 5% 1410
Kompatibilní
injekce Gentamicin sulfate 5 mg/ml
injekce Famotidine 2 mg/ml
Chlorid sodný 0,9% 215
Kompatibilní
injekce Gentamicin sulfate 0,8 mg/ml
injekce Famotidine
GlukÛza 5% 397
Kompatibilní
injekce Gentamicin sulfate 5 mg/ml
injekce Fenoldopam mesylate 80 µg/ml
Chlorid sodný 0,9% 1803
Kompatibilní
injekce Gentamicin sulfate 10 mg/ml
injekce Fentanyl citrate 50 µg/ml
GlukÛza 5% 63
Kompatibilní
injekce Gentamicin sulfate 1.6 mg/ml
injekce Filgrastim 40 µg/ml
GlukÛza 5% 104
Kompatibilní
injekce Gentamicin sulfate 5 mg/ml
injekce Filgrastim 30 µg/ml
GlukÛza 5% 244
Nespecifikovaná nekompatibilita Nekompatibilní
injekce Gentamicin sulfate
injekce Flucloxacillin sodium
3643
Okamžité srážení Nekompatibilní
injekce Gentamicin sulfate
injekce Flucloxacillin sodium
3522
Kompatibilní
injekce Gentamicin sulfate 1 mg/ml
injekce Fluconazole 2 mg/ml
Žádné 256
Kompatibilní
injekce Gentamicin sulfate 4 mg/ml
injekce Fluconazole 2 mg/ml
Chlorid sodný 0,9% 496
Kompatibilní
injekce Gentamicin sulfate 5 mg/ml
injekce Fludarabine phosphate 1 mg/ml
GlukÛza 5% 492
Kompatibilní
injekce Gentamicin sulfate 2 mg/ml
injekce Foscarnet sodium 24 mg/ml
Chlorid sodný 0,9% 1135
Kompatibilní
injekce Gentamicin sulfate 2 mg/ml
injekce Foscarnet sodium 24 mg/ml
GlukÛza 5% 1135
Kompatibilní
injekce Gentamicin sulfate 4 mg/ml
injekce Foscarnet sodium 24 mg/ml
Žádné 73
Kompatibilní
injekce Gentamicin sulfate 10 mg/ml
RingerŐs laktátový roztok 4603
Kompatibilní
injekce Gentamicin sulfate 5 mg/ml
injekce Fosfomycin 30 mg/ml
Chlorid sodný 0,9% 4055
Okamžité srážení Nekompatibilní
injekce Gentamicin sulfate 0,4 mg/ml
Parenterální výživa (lipidy) 4440
Kompatibilní
injekce Gentamicin sulfate 40 mg/ml
Parenterální výživa (lipidy) 673
Kompatibilní
injekce Gentamicin sulfate 5 mg/ml
injekce Fosfomycin 30 mg/ml
GlukÛza 5% 4055
Okamžité srážení Nekompatibilní
injekce Gentamicin sulfate 10 mg/ml
injekce Furosemide 10 mg/ml
789
Okamžité srážení Nekompatibilní
injekce Gentamicin sulfate 1,6 mg/ml
injekce Furosemide 0,8 mg/ml
GlukÛza 5% 367
Okamžité srážení Nekompatibilní
injekce Gentamicin sulfate 1,6 mg/ml
injekce Furosemide 0,8 mg/ml
Chlorid sodný 0,9% 367
Okamžitá zákal Nekompatibilní
injekce Gentamicin sulfate 6.4 mg/ml
injekce Furosemide 5 mg/ml
805
Srážky po 2 hodinách Nekompatibilní
injekce Gentamicin sulfate 8 mg/ml
injekce Furosemide 1 mg/ml
Chlorid sodný 0,9% 1232
Kompatibilní
injekce Gentamicin sulfate 5 mg/ml
injekce Gemcitabine hydrochloride 10 mg/ml
Chlorid sodný 0,9% 1423
Kompatibilní
injekce Gentamicin sulfate 1.5 mg/ml
injekce Granisetron hydrochloride 1 mg/ml
Chlorid sodný 0,9% 57
Kompatibilní
injekce Gentamicin sulfate 1 & 2 mg/ml
injekce Heparin sodium 2500 UI/ml
4612
Okamžité srážení Nekompatibilní
injekce Gentamicin sulfate 4 >> 40 mg/ml
injekce Heparin sodium 10 >> 40 UI/ml
1258
Okamžité srážení Nekompatibilní
injekce Gentamicin sulfate
injekce Heparin sodium
1022
Nespecifikovaná nekompatibilita Nekompatibilní
injekce Gentamicin sulfate 2 mg/ml
injekce Heparin sodium 50 UI/ml
Žádné 317
Nespecifikovaná nekompatibilita Nekompatibilní
injekce Gentamicin sulfate
injekce Heparin sodium
3643
Nespecifikovaná nekompatibilita Nekompatibilní
injekce Gentamicin sulfate
injekce Heparin sodium
3520
Nespecifikovaná nekompatibilita Nekompatibilní
injekce Gentamicin sulfate
injekce Heparin sodium
3540
Okamžitá zákal Nekompatibilní
injekce Gentamicin sulfate 3 mg/ml
injekce Heparin sodium 2500 UI/ml
4612
Okamžité srážení Nekompatibilní
injekce Gentamicin sulfate 4 & 5 mg/ml
injekce Heparin sodium 2500 UI/ml
4612
Kompatibilní
injekce Gentamicin sulfate 5 mg/ml
injekce Hetastarch 60 mg/ml
Zvláštní rozpouštědla 1721
Okamžité srážení Nekompatibilní
injekce Gentamicin sulfate 0.8 mg/ml
injekce Hetastarch 60 mg/ml
Chlorid sodný 0,9% 472
Kompatibilní
injekce Gentamicin sulfate 0.8 mg/ml
injekce Hydromorphone hydrochloride 0.2 mg/ml
GlukÛza 5% 405
Změna barvy Nekompatibilní
injekce Gentamicin sulfate 3 mg/ml
injekce Idarubicin hydrochloride 1 mg/ml
Chlorid sodný 0,9% 491
Okamžité srážení Nekompatibilní
injekce Gentamicin sulfate 1 mg/ml
injekce Indomethacin sodium trihydrate 0,5 & 1 mg/ml
GlukÛza 5% 494
Srážení po 15 minutách Nekompatibilní
injekce Gentamicin sulfate 1 mg/ml
injekce Indomethacin sodium trihydrate 0,5 & 1 mg/ml
GlukÛza 5% 1745
Kompatibilní
injekce Gentamicin sulfate 1.2 >> 2 mg/ml
injekce Insulin 0.2 UI/ml
Chlorid sodný 0,9% 129
Kompatibilní
injekce Gentamicin sulfate 0.8 mg/ml
injekce Iohexol 300 mg I/ml
Žádné 1085
Okamžité srážení Nekompatibilní
injekce Gentamicin sulfate 0.8 mg/ml
injekce Ioxaglate 320 mg I/ml
Žádné 1085
Kompatibilní
injekce Gentamicin sulfate 5 mg/ml
injekce Isavuconazonium sulfate 1.5 mg/ml
GlukÛza 5% 3829
Kompatibilní
injekce Gentamicin sulfate 5 mg/ml
injekce Isavuconazonium sulfate 1.5 mg/ml
Chlorid sodný 0,9% 3829
Kompatibilní
injekce Gentamicin sulfate 40 mg/ml
injekce Ketamine hydrochloride 50 mg/ml
2109
Kompatibilní
injekce Gentamicin sulfate 0.8 mg/ml
injekce Labetalol hydrochloride 1 mg/ml
GlukÛza 5% 386
Kompatibilní
injekce Gentamicin sulfate 5 mg/ml
injekce Lansoprazole 0.55 mg/ml
Chlorid sodný 0,9% 1625
Kompatibilní
injekce Gentamicin sulfate 10 mg/ml
injekce Levofloxacine 5 mg/ml
GlukÛza 5% 1072
Kompatibilní
injekce Gentamicin sulfate 0,75 mg/ml
injekce Linezolid 1,80 mg/ml
2353
Kompatibilní
injekce Gentamicin sulfate 5 mg/ml
injekce Linezolid 2 mg/ml
Žádné 1925
Kompatibilní
injekce Gentamicin sulfate 3 mg/ml
injekce Lorazepam 0.33 mg/ml
Chlorid sodný 0,9% 186
Kompatibilní
injekce Gentamicin sulfate 0.8 mg/ml
injekce Magnesium sulfate 16.67 >> 100 mg/ml
GlukÛza 5% 1047
Kompatibilní
injekce Gentamicin sulfate 5 mg/ml
injekce Melphalan 0.1 mg/ml
Chlorid sodný 0,9% 169
Kompatibilní
injekce Gentamicin sulfate 40 mg/ml
injekce Meropenem 50 mg/ml
Voda pro injekci 4319
Kompatibilní
injekce Gentamicin sulfate 0.8 mg/ml
injekce Meropenem 1 & 20 mg/ml
Chlorid sodný 0,9% 266
Kompatibilní
injekce Gentamicin sulfate 4 mg/ml
injekce Meropenem 1 & 50 mg/ml
Chlorid sodný 0,9% 266
Kompatibilní
injekce Gentamicin sulfate 30 mg/ml
injekce Meropenem 10 mg/ml
Chlorid sodný 0,9% 2335
Kompatibilní
injekce Gentamicin sulfate 0,8 & 1,2 mg/ml
injekce Metronidazole 5 mg/ml
Žádné 1243
Kompatibilní
injekce Gentamicin sulfate 0.8 mg/ml
injekce Metronidazole 5 mg/ml
Žádné 1035
Kompatibilní
injekce Gentamicin sulfate
injekce Metronidazole
3594
Kompatibilní
injekce Gentamicin sulfate 3 mg/ml
injekce Midazolam hydrochloride 5 mg/ml
Žádné 186
Kompatibilní
injekce Gentamicin sulfate 10 mg/ml
injekce Midazolam hydrochloride 1 mg/ml
GlukÛza 5% 176
Kompatibilní
injekce Gentamicin sulfate 0.8 mg/ml
injekce Midazolam hydrochloride 0.05 >> 0.4 mg/ml
Chlorid sodný 0,9% 1888
Nespecifikovaná nekompatibilita Nekompatibilní
injekce Gentamicin sulfate
injekce Mitomycin
4471
Chemická nestabilita Nekompatibilní
injekce Gentamicin sulfate
injekce Mitomycin
3128
Kompatibilní
injekce Gentamicin sulfate 1.2 & 2 mg/ml
injekce Morphine sulfate 1 mg/ml
Chlorid sodný 0,9% 406
Kompatibilní
injekce Gentamicin sulfate 0.8 mg/ml
injekce Morphine sulfate 1 mg/ml
GlukÛza 5% 405
Nespecifikovaná nekompatibilita Nekompatibilní
injekce Gentamicin sulfate
injekce Moxalactam
3643
Nespecifikovaná nekompatibilita Nekompatibilní
injekce Gentamicin sulfate
injekce Moxalactam
3520
Kompatibilní
injekce Gentamicin sulfate 40 mg/ml
injekce N-acetylcysteine 200 mg/ml
Žádné 3766
Nespecifikovaná nekompatibilita Nekompatibilní
injekce Gentamicin sulfate
injekce Nadroparin
3643
Nespecifikovaná nekompatibilita Nekompatibilní
injekce Gentamicin sulfate
injekce Nafcillin sodium
3643
Nespecifikovaná nekompatibilita Nekompatibilní
injekce Gentamicin sulfate
injekce Nafcillin sodium
3520
Kompatibilní
injekce Gentamicin sulfate 40 mg/ml
injekce Naloxone hydrochloride 0.4 mg/ml
Žádné 3408
Kompatibilní
injekce Gentamicin sulfate 4.17 mg/ml
injekce Nefopam 0.16 mg/ml
Chlorid sodný 0,9% 4254
Kompatibilní
injekce Gentamicin sulfate 4.17 mg/ml
injekce Nefopam 0.16 mg/ml
GlukÛza 5% 4254
Kompatibilní
injekce Gentamicin sulfate 0.8 mg/ml
injekce Nicardipine hydrochloride 0.1 mg/ml
GlukÛza 5% 1490
Kompatibilní
injekce Gentamicin sulfate 0.8 mg/ml
injekce Nicardipine hydrochloride 0.1 mg/ml
Chlorid sodný 0,9% 1490
Kompatibilní
injekce Gentamicin sulfate 0,8 mg/ml
injekce Ofloxacin 2 mg/ml
Žádné 889
Kompatibilní
injekce Gentamicin sulfate 5 mg/ml
injekce Ondansetron hydrochloride 1 mg/ml
Chlorid sodný 0,9% 334
Kompatibilní
injekce Gentamicin sulfate 5 mg/ml
injekce Oritavancin 0.8 >>2 mg/ml
GlukÛza 5% 3152
Nespecifikovaná nekompatibilita Nekompatibilní
injekce Gentamicin sulfate
injekce Oxacillin sodium
3643
Nespecifikovaná nekompatibilita Nekompatibilní
injekce Gentamicin sulfate
injekce Oxacillin sodium
3520
Kompatibilní
injekce Gentamicin sulfate 40 mg/ml
injekce Oxycodone hydrochloride 1 mg/ml
Chlorid sodný 0,9% 4842
Kompatibilní
injekce Gentamicin sulfate 5 mg/ml
injekce Paclitaxel 1.2 mg/ml
GlukÛza 5% 248
Kompatibilní
injekce Gentamicin sulfate 5 mg/ml
injekce Palonosetron hydrochloride 50 µg/ml
GlukÛza 5% 2228
Kompatibilní
injekce Gentamicin sulfate 2 mg/ml
injekce Pancuronium bromide 0.05 mg/ml
GlukÛza 5% 402
Okamžité srážení Nekompatibilní
injekce Gentamicin sulfate
injekce Pantoprazole sodium
2090
Kompatibilní
injekce Gentamicin sulfate 40 mg/ml
injekce Paracetamol 10 mg/ml
4742
Okamžité srážení Nekompatibilní
injekce Gentamicin sulfate 5 mg/ml
injekce Pemetrexed disodium 20 mg/ml
1953
Nespecifikovaná nekompatibilita Nekompatibilní
injekce Gentamicin sulfate
injekce Penicillin G potassium
3643
Nespecifikovaná nekompatibilita Nekompatibilní
injekce Gentamicin sulfate
injekce Penicillin G potassium
3520
Nespecifikovaná nekompatibilita Nekompatibilní
injekce Gentamicin sulfate
injekce Penicillin G sodium
3643
Nespecifikovaná nekompatibilita Nekompatibilní
injekce Gentamicin sulfate
injekce Penicillin G sodium
3520
Kompatibilní
injekce Gentamicin sulfate 10 mg/ml
injekce Pentoxifyllin 5 mg/ml
Chlorid sodný 0,9% 4543
Kompatibilní
injekce Gentamicin sulfate 0.8 mg/ml
injekce Pethidine hydrochloride 10 mg/ml
GlukÛza 5% 405
Okamžité srážení Nekompatibilní
injekce Gentamicin sulfate 10 mg/ml
injekce Phenytoin sodium 50 mg/ml
789
Kompatibilní
injekce Gentamicin sulfate 20 mg/ml
injekce Phloroglucinol 2,5 mg/ml
3791
Nespecifikovaná nekompatibilita Nekompatibilní
injekce Gentamicin sulfate
injekce Piperacillin sodium
3520
Nespecifikovaná nekompatibilita Nekompatibilní
injekce Gentamicin sulfate
injekce Piperacillin sodium
3643
Nespecifikovaná nekompatibilita Nekompatibilní
injekce Gentamicin sulfate
injekce Piperacillin sodium / tazobactam
3520
Chemická nestabilita Nekompatibilní
injekce Gentamicin sulfate
injekce Piperacillin sodium / tazobactam
3586
Nespecifikovaná nekompatibilita Nekompatibilní
injekce Gentamicin sulfate
injekce Piperacillin sodium / tazobactam
3643
Kompatibilní
injekce Gentamicin sulfate
injekce Posaconazole
4380
Kompatibilní
injekce Gentamicin sulfate 30 mg/ml
injekce Potassium chloride 20 mEq/l
NaCl 0,45% GlukÛza 5% 2335
Okamžitá nestabilita emulze Nekompatibilní
injekce Gentamicin sulfate 2 mg/ml
injekce Propofol
660
Nespecifikovaná nekompatibilita Nekompatibilní
injekce Gentamicin sulfate 40 mg/ml
injekce Propofol
4524
Okamžité srážení Nekompatibilní
injekce Gentamicin sulfate 5 mg/ml
injekce Propofol 10 mg/ml
Žádné 300
Kompatibilní
injekce Gentamicin sulfate 5 mg/ml
injekce Remifentanil hydrochloride 25 & 250 µg/ml
Chlorid sodný 0,9% 59
Kompatibilní
injekce Gentamicin sulfate 40 mg/ml
injekce Salbutamol sulfate 1 mg/ml
Žádné 3216
Kompatibilní
injekce Gentamicin sulfate 5 mg/ml
injekce Sargramostim 10 µg/ml
Chlorid sodný 0,9% 335
Kompatibilní
injekce Gentamicin sulfate 10 mg/ml
injekce Sildenafil citrate 0,6 mg/ml
GlukÛza 5% 4845
Kompatibilní
injekce Gentamicin sulfate 2,4 mg/ml
injekce Sodium bicarbonate 40 mg/ml
Žádné 3122
Výroba plynových bublin Nekompatibilní
injekce Gentamicin sulfate
injekce Sodium bicarbonate
3643
Kompatibilní
injekce Gentamicin sulfate 2.5 mg/ml
injekce Sodium citrate 40 mg/ml
Voda pro injekci 3952
Kompatibilní
injekce Gentamicin sulfate 40 mg/ml
injekce Sugammadex 100 mg/ml
Žádné 3372
Kompatibilní
injekce Gentamicin sulfate 5 mg/ml
injekce Sulbactam/durlobactam 15/15 mg/ml
Chlorid sodný 0,9% 4801
Kompatibilní
injekce Gentamicin sulfate 4 mg/ml
injekce Tacrolimus 1000 µg/ml
Chlorid sodný 0,9% 479
Kompatibilní
injekce Gentamicin sulfate
Chlorid sodný 0,9% 1704
Kompatibilní
injekce Gentamicin sulfate
Chlorid sodný 0,9% 434
Nespecifikovaná nekompatibilita Nekompatibilní
injekce Gentamicin sulfate
injekce Sodium bicarbonate
3520
Kompatibilní
injekce Gentamicin sulfate 1 >> 5 mg/ml
injekce Sodium citrate 40 mg/ml
Žádné 2019
Okamžitá zákal Nekompatibilní
injekce Gentamicin sulfate 5 mg/ml
injekce Tedizolid phosphate 0.8 mg/ml
Chlorid sodný 0,9% 3827
Nespecifikovaná nekompatibilita Nekompatibilní
injekce Gentamicin sulfate
injekce Teicoplanine
3656
Kompatibilní
injekce Gentamicin sulfate 5 mg/ml
injekce Telavancin hydrochloride 7.5 mg/ml
RingerŐs laktátový roztok 3254
Kompatibilní
injekce Gentamicin sulfate 5 mg/ml
injekce Telavancin hydrochloride 7.5 mg/ml
Chlorid sodný 0,9% 3254
Kompatibilní
injekce Gentamicin sulfate 5 mg/ml
injekce Telavancin hydrochloride 7.5 mg/ml
GlukÛza 5% 3254
Kompatibilní
injekce Gentamicin sulfate 6 mg/ml
injekce Temocilline 83.33 mg/ml
Voda pro injekci 2231
Nespecifikovaná nekompatibilita Nekompatibilní
injekce Gentamicin sulfate
injekce Temocilline
3643
Nespecifikovaná nekompatibilita Nekompatibilní
injekce Gentamicin sulfate
injekce Temocilline
3520
Nespecifikovaná nekompatibilita Nekompatibilní
injekce Gentamicin sulfate
injekce Temocilline
2296
Kompatibilní
injekce Gentamicin sulfate 5 mg/ml
injekce Teniposide 0.1 mg/ml
GlukÛza 5% 905
Kompatibilní
injekce Gentamicin sulfate 2 mg/ml
injekce Theophylline 4 mg/ml
Žádné 317
Okamžité srážení Nekompatibilní
injekce Gentamicin sulfate 40 mg/ml
injekce Thiopental sodium 25 mg/ml
Chlorid sodný 0,9% 3767
Kompatibilní
injekce Gentamicin sulfate 5 mg/ml
injekce Thiotepa 1 mg/ml
GlukÛza 5% 249
Chemická nestabilita Nekompatibilní
injekce Gentamicin sulfate
injekce Ticarcillin / clavulanic acid
3587
Nespecifikovaná nekompatibilita Nekompatibilní
injekce Gentamicin sulfate
injekce Ticarcillin / clavulanic acid
3643
Nespecifikovaná nekompatibilita Nekompatibilní
injekce Gentamicin sulfate
injekce Ticarcillin / clavulanic acid
3520
Kompatibilní
injekce Gentamicin sulfate
injekce Tigecycline
Chlorid sodný 0,9% 3332
Kompatibilní
injekce Gentamicin sulfate 6 mg/ml
injekce Vancomycin hydrochloride 10 mg/ml
GlukÛza 5% 3385
Kompatibilní
injekce Gentamicin sulfate 1.2 mg/ml
injekce Vasopressin 0.2 UI/ml
Chlorid sodný 0,9% 2017
Kompatibilní
injekce Gentamicin sulfate 2 mg/ml
injekce Vecuronium bromide 0.1 mg/ml
GlukÛza 5% 402
Kompatibilní
injekce Gentamicin sulfate 0.16 mg/ml
injekce Verapamil hydrochloride 0.08 mg/ml
GlukÛza 5% 1057
Kompatibilní
injekce Gentamicin sulfate 0.16 mg/ml
injekce Verapamil hydrochloride 0.08 mg/ml
Chlorid sodný 0,9% 1057
Kompatibilní
injekce Gentamicin sulfate 5 mg/ml
injekce Vinorelbine tartrate 1 mg/ml
Chlorid sodný 0,9% 84
Okamžitá zákal Nekompatibilní
injekce Gentamicin sulfate 1.6 mg/ml
injekce Warfarin sodium 2 mg/ml
GlukÛza 5% 315
Kompatibilní
injekce Gentamicin sulfate 2 mg/ml
injekce Zidovudine 4 mg/ml
GlukÛza 5% 337

  Mentions Légales