Siste oppdatering :
18/03/2026
Antibiotika   Gentamicin sulfate  
Injeksjon
Øyedråper
Oppløsningsstabilitet Stabilitet i blandinger Faktorer som påvirker stabiliteten Kompatibilitet Administrasjonsmåte Referanser pdf
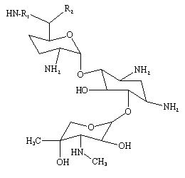
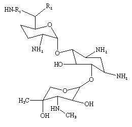
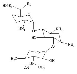
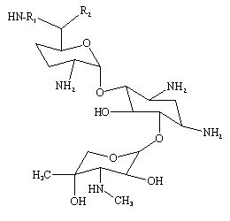
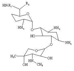
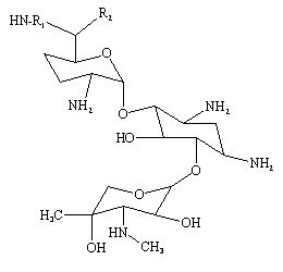
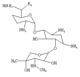
   Kjemisk struktur  

Handelsnavn   Handelsnavn     

Handelsnavn er veiledende og sammensetning av hjelpestoffer kan være forskjellig avhengig av land og produsent

Azupel Peru
Cidomycin Egypt, Storbritannia, Tunisia
Dabroson Hellas
Epigent Egypt
Garalone Portugal
Garamicina Brasil, Colombia, Ecuador, Mexico
Garamycin Danmark, De forente arabiske emirater, Egypt, Hellas, India, Kroatia, Nederland, Norge, Polen, Sveits
Genmisin Tyrkia
Gensif Tyrkia
Gensumycin Finland, Norge, Sverige
Genta-Gobens Spania
Gentalline Marokko
Gentamen Marokko
Genticin De forente arabiske emirater, Irland, Storbritannia
Gentreks Tyrkia
Hexamycin Danmark
Plurisemina Argentina
Refobacin Colombia, Egypt, Tyskland, Østerrike
Rupegen Argentina
Kompatibilitet   Injeksjon   Kompatibilitet : Gentamicin sulfate              
Dette skjermbildet viser kompatibilitet eller inkompatibilitet med, i dette tilfellet, typen inkompatibilitet (nedbør, fargeendring, modifisering av en emulsjon, etc.). Kompatibilitetene som er vist her, er for det meste bare fysiske, og den kjemiske stabiliteten til hvert molekyl blir sjelden vurdert. Evalueringen av disse blandingene ble studert for å vurdere muligheten for Y-stedadministrasjon til pasienten. Disse dataene kan ikke brukes til å lage blandinger på forhånd i poser eller sprøyter. Denne typen informasjon er tilgjengelig på skjermen "Stabilitet i blanding".
Legemiddel Oppløsningsmiddel Referanser
Kompatibel
Injeksjon Gentamicin sulfate 1.6 mg/ml
Injeksjon Aciclovir sodium 5 mg/ml
Glukose 5 % 336
Umiddelbar nedbør Uforenlig
Injeksjon Gentamicin sulfate 30 mg/ml
Injeksjon Aciclovir sodium 5 mg/ml
Natriumklorid 0,9 % 2335
Nedbør etter 1 time Uforenlig
Injeksjon Gentamicin sulfate 5 mg/ml
Injeksjon Allopurinol sodium 3 mg/ml
Natriumklorid 0,9 % 307
Kompatibel
Injeksjon Gentamicin sulfate 1 mg/ml
Injeksjon Alprostadil 15 µg/ml
3201
Kompatibel
Injeksjon Gentamicin sulfate 5 mg/ml
Injeksjon Amifostine 10 mg/ml
Glukose 5 % 3
Kompatibel
Injeksjon Gentamicin sulfate 0.8 mg/ml
Injeksjon Amiodarone hydrochloride 4 mg/ml
Natriumklorid 0,9 % 385
Kompatibel
Injeksjon Gentamicin sulfate 0.8 mg/ml
Injeksjon Amiodarone hydrochloride 4 mg/ml
Glukose 5 % 385
Uspesifisert inkompatibilitet Uforenlig
Injeksjon Gentamicin sulfate
Injeksjon Amoxicillin sodium
3643
Uspesifisert inkompatibilitet Uforenlig
Injeksjon Gentamicin sulfate
Injeksjon Amoxicillin sodium
3520
Kjemisk ustabilitet Uforenlig
Injeksjon Gentamicin sulfate
Injeksjon Amoxicillin sodium
3527
Uspesifisert inkompatibilitet Uforenlig
Injeksjon Gentamicin sulfate
Injeksjon Amoxicillin sodium / clavulanic acid
3643
Uspesifisert inkompatibilitet Uforenlig
Injeksjon Gentamicin sulfate
Injeksjon Amoxicillin sodium / clavulanic acid
3545
Uspesifisert inkompatibilitet Uforenlig
Injeksjon Gentamicin sulfate
Injeksjon Amoxicillin sodium / clavulanic acid
3520
Kompatibel
Injeksjon Gentamicin sulfate 40 mg/ml
Injeksjon Amoxicillin sodium / clavulanic acid 100/10 mg/ml
3824
Umiddelbar nedbør Uforenlig
Injeksjon Gentamicin sulfate 5 mg/ml
Injeksjon Amphotericin B cholesteryl sulfate complex 0,83 mg/ml
Glukose 5 % 921
Uspesifisert inkompatibilitet Uforenlig
Injeksjon Gentamicin sulfate
Injeksjon Ampicillin sodium
3643
Uspesifisert inkompatibilitet Uforenlig
Injeksjon Gentamicin sulfate
Injeksjon Ampicillin sodium
3520
Uspesifisert inkompatibilitet Uforenlig
Injeksjon Gentamicin sulfate
Injeksjon Ampicillin sodium - sulbactam sodium
3643
Uspesifisert inkompatibilitet Uforenlig
Injeksjon Gentamicin sulfate
Injeksjon Ampicillin sodium - sulbactam sodium
3520
Kompatibel
Injeksjon Gentamicin sulfate 5 mg/ml
Injeksjon Amsacrine 1 mg/ml
Glukose 5 % 253
Kompatibel
Injeksjon Gentamicin sulfate 5 mg/ml
Injeksjon Anidulafungin 0.5 mg/ml
Glukose 5 % 1982
Kompatibel
Injeksjon Gentamicin sulfate 0,8 mg/ml
Injeksjon Atosiban 0,75 mg/ml
4642
Kompatibel
Injeksjon Gentamicin sulfate 2 mg/ml
Injeksjon Atracurium besylate 0.5 mg/ml
Glukose 5 % 402
Umiddelbar nedbør Uforenlig
Injeksjon Gentamicin sulfate 21 mg/ml
Injeksjon Azithromycine 2 mg/ml
Natriumklorid 0,9 % 1800
Kompatibel
Injeksjon Gentamicin sulfate 5 mg/ml
Injeksjon Aztreonam 40 mg/ml
Glukose 5 % 99
Kompatibel
Injeksjon Gentamicin sulfate 0.2 & 0.8 mg/ml
Injeksjon Aztreonam 10 & 20 mg/ml
Natriumklorid 0,9 % 19
Kompatibel
Injeksjon Gentamicin sulfate 0.2 & 0.8 mg/ml
Injeksjon Aztreonam 10 & 20 mg/ml
Glukose 5 % 19
Kompatibel
Injeksjon Gentamicin sulfate 5 mg/ml
Injeksjon Bivalirudin 5 mg/ml
Glukose 5 % 1713
Kompatibel
Injeksjon Gentamicin sulfate 10 mg/ml
Injeksjon Caffeine 10 mg/ml
Ingen 3964
Kompatibel
Injeksjon Gentamicin sulfate 10 mg/ml
Injeksjon Caffeine 10 mg/ml
Natriumklorid 0,9 % 4837
Kompatibel
Injeksjon Gentamicin sulfate 10 mg/ml
Injeksjon Caffeine citrate 20 mg/ml
Natriumklorid 0,9 % 4837
Uspesifisert inkompatibilitet Uforenlig
Injeksjon Gentamicin sulfate
Injeksjon Calcium gluconate
3644
Uforenlig
Injeksjon Gentamicin sulfate
Injeksjon Calcium gluconate
4964
Kompatibel
Injeksjon Gentamicin sulfate 5 mg/ml
Injeksjon Caspofungin acetate 0,7 mg/ml
Natriumklorid 0,9 % 2247
Uspesifisert inkompatibilitet Uforenlig
Injeksjon Gentamicin sulfate
Injeksjon Cefalotin sodium
3520
Uspesifisert inkompatibilitet Uforenlig
Injeksjon Gentamicin sulfate
Injeksjon Cefalotin sodium
3643
Umiddelbar nedbør Uforenlig
Injeksjon Gentamicin sulfate
Injeksjon Cefamandole nafate 2 >> 100 mg/ml
Glukose 5 % 612
Uspesifisert inkompatibilitet Uforenlig
Injeksjon Gentamicin sulfate
Injeksjon Cefamandole nafate
3643
Uspesifisert inkompatibilitet Uforenlig
Injeksjon Gentamicin sulfate
Injeksjon Cefamandole nafate
3520
Uspesifisert inkompatibilitet Uforenlig
Injeksjon Gentamicin sulfate
Injeksjon Cefamandole nafate
3546
Umiddelbar nedbør Uforenlig
Injeksjon Gentamicin sulfate
Injeksjon Cefamandole nafate 2 >> 100 mg/ml
Natriumklorid 0,9 % 612
Uspesifisert inkompatibilitet Uforenlig
Injeksjon Gentamicin sulfate
Injeksjon Cefazolin sodium
3520
Uspesifisert inkompatibilitet Uforenlig
Injeksjon Gentamicin sulfate
Injeksjon Cefazolin sodium
3643
Uspesifisert inkompatibilitet Uforenlig
Injeksjon Gentamicin sulfate
Injeksjon Cefepime dihydrochloride
3520
Kompatibel
Injeksjon Gentamicin sulfate 6 mg/ml
Injeksjon Cefepime dihydrochloride 125 mg/ml
Vann til injeksjon 2141
Uspesifisert inkompatibilitet Uforenlig
Injeksjon Gentamicin sulfate
Injeksjon Cefepime dihydrochloride
3548
Uspesifisert inkompatibilitet Uforenlig
Injeksjon Gentamicin sulfate
Injeksjon Cefepime dihydrochloride
3643
Kompatibel
Injeksjon Gentamicin sulfate 5 mg/ml
Injeksjon Cefiderocol sulfate tosylate 20 mg/mL
Glukose 5 % 4528
Kompatibel
Injeksjon Gentamicin sulfate 5 mg/ml
Injeksjon Cefiderocol sulfate tosylate 20 mg/mL
Natriumklorid 0,9 % 4528
Uspesifisert inkompatibilitet Uforenlig
Injeksjon Gentamicin sulfate
Injeksjon Cefmenoxime
3520
Uspesifisert inkompatibilitet Uforenlig
Injeksjon Gentamicin sulfate
Injeksjon Cefmenoxime
3643
Uspesifisert inkompatibilitet Uforenlig
Injeksjon Gentamicin sulfate
Injeksjon Cefmetazole sodium
3520
Uspesifisert inkompatibilitet Uforenlig
Injeksjon Gentamicin sulfate
Injeksjon Cefmetazole sodium
3643
Uspesifisert inkompatibilitet Uforenlig
Injeksjon Gentamicin sulfate
Injeksjon Cefonicid sodium
3643
Uspesifisert inkompatibilitet Uforenlig
Injeksjon Gentamicin sulfate
Injeksjon Cefonicid sodium
3520
Uspesifisert inkompatibilitet Uforenlig
Injeksjon Gentamicin sulfate
Injeksjon Cefoperazone sodium
3544
Uspesifisert inkompatibilitet Uforenlig
Injeksjon Gentamicin sulfate
Injeksjon Cefoperazone sodium
3643
Umiddelbar nedbør Uforenlig
Injeksjon Gentamicin sulfate 0.8 mg/ml
Injeksjon Cefoperazone sodium 10 mg/ml
Glukose 5 % 1206
Uspesifisert inkompatibilitet Uforenlig
Injeksjon Gentamicin sulfate
Injeksjon Cefoperazone sodium
3520
Uspesifisert inkompatibilitet Uforenlig
Injeksjon Gentamicin sulfate
Injeksjon Ceforanide
3643
Uspesifisert inkompatibilitet Uforenlig
Injeksjon Gentamicin sulfate
Injeksjon Ceforanide
3520
Uspesifisert inkompatibilitet Uforenlig
Injeksjon Gentamicin sulfate
Injeksjon Cefotaxime sodium
3520
Uspesifisert inkompatibilitet Uforenlig
Injeksjon Gentamicin sulfate
Injeksjon Cefotaxime sodium
3643
Uspesifisert inkompatibilitet Uforenlig
Injeksjon Gentamicin sulfate
Injeksjon Cefoxitin sodium
3643
Uspesifisert inkompatibilitet Uforenlig
Injeksjon Gentamicin sulfate
Injeksjon Cefoxitin sodium
3520
Kompatibel
Injeksjon Gentamicin sulfate 1 mg/ml
Injeksjon Cefpirome sulfate 50 mg/ml
Natriumklorid 0,9 % 280
Kompatibel
Injeksjon Gentamicin sulfate 1 mg/ml
Injeksjon Cefpirome sulfate 50 mg/ml
Ringers laktatoppløsning 280
Kompatibel
Injeksjon Gentamicin sulfate 1 mg/ml
Injeksjon Cefpirome sulfate 50 mg/ml
Natriumklorid 0,45 % 280
Uspesifisert inkompatibilitet Uforenlig
Injeksjon Gentamicin sulfate
Injeksjon Cefpirome sulfate
3643
Uspesifisert inkompatibilitet Uforenlig
Injeksjon Gentamicin sulfate
Injeksjon Cefpirome sulfate
3677
Kompatibel
Injeksjon Gentamicin sulfate 1 mg/ml
Injeksjon Cefpirome sulfate 50 mg/ml
Glukose 5 % 280
Uspesifisert inkompatibilitet Uforenlig
Injeksjon Gentamicin sulfate
Injeksjon Cefpirome sulfate
3520
Kompatibel
Injeksjon Gentamicin sulfate 5 mg/ml
Injeksjon Ceftaroline fosamil 2,22 mg/ml
Natriumklorid 0,9 % 3249
Kompatibel
Injeksjon Gentamicin sulfate 5 mg/ml
Injeksjon Ceftaroline fosamil 2,22 mg/ml
Ringers laktatoppløsning 3249
Kompatibel
Injeksjon Gentamicin sulfate 5 mg/ml
Injeksjon Ceftaroline fosamil 2,22 mg/ml
Glukose 5 % 3249
Uspesifisert inkompatibilitet Uforenlig
Injeksjon Gentamicin sulfate
Injeksjon Ceftaroline fosamil
3643
Uspesifisert inkompatibilitet Uforenlig
Injeksjon Gentamicin sulfate
Injeksjon Ceftaroline fosamil
3520
Uspesifisert inkompatibilitet Uforenlig
Injeksjon Gentamicin sulfate
Injeksjon Ceftazidime
3543
Uspesifisert inkompatibilitet Uforenlig
Injeksjon Gentamicin sulfate
Injeksjon Ceftazidime
3520
Uspesifisert inkompatibilitet Uforenlig
Injeksjon Gentamicin sulfate
Injeksjon Ceftazidime
3643
Kompatibel
Injeksjon Gentamicin sulfate 6 mg/ml
Injeksjon Ceftazidime 125 mg/ml
Vann til injeksjon 2141
Kompatibel
Injeksjon Gentamicin sulfate 6 mg/ml
Injeksjon Ceftazidime 83.3 mg/ml
1759
Uspesifisert inkompatibilitet Uforenlig
Injeksjon Gentamicin sulfate
Injeksjon Ceftazidime
3883
Uspesifisert inkompatibilitet Uforenlig
Injeksjon Gentamicin sulfate
Injeksjon Ceftazidime Avibactam
3520
Uspesifisert inkompatibilitet Uforenlig
Injeksjon Gentamicin sulfate
Injeksjon Ceftazidime Avibactam
3643
Uspesifisert inkompatibilitet Uforenlig
Injeksjon Gentamicin sulfate
Injeksjon Ceftizoxime sodium
3643
Uspesifisert inkompatibilitet Uforenlig
Injeksjon Gentamicin sulfate
Injeksjon Ceftizoxime sodium
3520
Uspesifisert inkompatibilitet Uforenlig
Injeksjon Gentamicin sulfate
Injeksjon Ceftobiprole medocaril sodium
3643
Uspesifisert inkompatibilitet Uforenlig
Injeksjon Gentamicin sulfate
Injeksjon Ceftobiprole medocaril sodium
4650
Umiddelbar nedbør Uforenlig
Injeksjon Gentamicin sulfate 5 mg/ml
Injeksjon Ceftobiprole medocaril sodium 2 mg/ml
Glukose 5 % 2269
Umiddelbar nedbør Uforenlig
Injeksjon Gentamicin sulfate 5 mg/ml
Injeksjon Ceftobiprole medocaril sodium 2 mg/ml
Ringers laktatoppløsning 2269
Umiddelbar nedbør Uforenlig
Injeksjon Gentamicin sulfate 5 mg/ml
Injeksjon Ceftobiprole medocaril sodium 2 mg/ml
Natriumklorid 0,9 % 2269
Uspesifisert inkompatibilitet Uforenlig
Injeksjon Gentamicin sulfate
Injeksjon Ceftobiprole medocaril sodium
3520
Kompatibel
Injeksjon Gentamicin sulfate 5 mg/ml
Injeksjon Ceftolozane / tazobactam 10/5 mg/ml
Glukose 5 % 3828
Uspesifisert inkompatibilitet Uforenlig
Injeksjon Gentamicin sulfate
Injeksjon Ceftolozane / tazobactam
3643
Uspesifisert inkompatibilitet Uforenlig
Injeksjon Gentamicin sulfate
Injeksjon Ceftolozane / tazobactam
3520
Kompatibel
Injeksjon Gentamicin sulfate 5 mg/ml
Injeksjon Ceftolozane / tazobactam 10/5 mg/ml
Natriumklorid 0,9 % 3828
Uspesifisert inkompatibilitet Uforenlig
Injeksjon Gentamicin sulfate
Injeksjon Ceftriaxone disodium
3523
Uspesifisert inkompatibilitet Uforenlig
Injeksjon Gentamicin sulfate
Injeksjon Ceftriaxone disodium
3643
Uspesifisert inkompatibilitet Uforenlig
Injeksjon Gentamicin sulfate
Injeksjon Ceftriaxone disodium
3520
Uspesifisert inkompatibilitet Uforenlig
Injeksjon Gentamicin sulfate
Injeksjon Cefuroxime sodium
3643
Uspesifisert inkompatibilitet Uforenlig
Injeksjon Gentamicin sulfate
Injeksjon Cefuroxime sodium
3520
Uspesifisert inkompatibilitet Uforenlig
Injeksjon Gentamicin sulfate
Injeksjon Cefuroxime sodium
3687
Uspesifisert inkompatibilitet Uforenlig
Injeksjon Gentamicin sulfate
Injeksjon Cefuzonam
3520
Kompatibel
Injeksjon Gentamicin sulfate 0.8 mg/ml
Injeksjon Cimetidine hydrochloride 3 mg/ml
Glukose 5 % 1201
Kompatibel
Injeksjon Gentamicin sulfate 0.08 mg/ml
Injeksjon Cimetidine hydrochloride 1.2 & 5 mg/ml
Natriumklorid 0,9 % 1201
Kompatibel
Injeksjon Gentamicin sulfate 0.08 mg/ml
Injeksjon Cimetidine hydrochloride 1.2 & 5 mg/ml
Glukose 5 % 1201
Kompatibel
Injeksjon Gentamicin sulfate 10 mg/ml
Injeksjon Ciprofloxacin lactate 2 mg/ml
Natriumklorid 0,9 % 289
Kompatibel
Injeksjon Gentamicin sulfate 1.6 mg/ml
Injeksjon Ciprofloxacin lactate 2 mg/ml
Glukose 5 % 285
Kompatibel
Injeksjon Gentamicin sulfate 5 mg/ml
Injeksjon Cisatracurium besylate 0.1 >> 5 mg/ml
Glukose 5 % 299
Kjemisk ustabilitet Uforenlig
Injeksjon Gentamicin sulfate
Injeksjon Cisplatin
3578
Kompatibel
Injeksjon Gentamicin sulfate 12 mg/ml
Injeksjon Clindamycin phosphate 90 mg/ml
Natriumklorid 0,9 % 639
Kompatibel
Injeksjon Gentamicin sulfate 0.67 mg/ml
Injeksjon Clindamycin phosphate 6 mg/ml
Glukose 5 % 423
Kompatibel
Injeksjon Gentamicin sulfate
Glukose 5 % 434
Uspesifisert inkompatibilitet Uforenlig
Injeksjon Gentamicin sulfate
Injeksjon Cefuzonam
3643
Kompatibel
Injeksjon Gentamicin sulfate 1 mg/ml
Injeksjon Ciprofloxacin lactate 1.5 mg/ml
Natriumklorid 0,9 % 434
Kompatibel
Injeksjon Gentamicin sulfate 1.6 mg/ml
Injeksjon Ciprofloxacin lactate 2 mg/ml
Glukose 5 % 288
Kompatibel
Injeksjon Gentamicin sulfate 1.6 mg/ml
Injeksjon Ciprofloxacin lactate 2 mg/ml
Natriumklorid 0,9 % 288
Kompatibel
Injeksjon Gentamicin sulfate 1 mg/ml
Injeksjon Ciprofloxacin lactate 1.5 mg/ml
Glukose 5 % 434
Kompatibel
Injeksjon Gentamicin sulfate
Injeksjon Clindamycin phosphate
Natriumklorid 0,9 % 3526
Umiddelbar nedbør Uforenlig
Injeksjon Gentamicin sulfate 40 mg/ml
Injeksjon Cloxacillin sodium 100 mg/ml
Vann til injeksjon 3012
Kompatibel
Injeksjon Gentamicin sulfate 15 mg/ml
Injeksjon Cytarabine 16 mg/ml
Natriumklorid 0,9 % 132
Uforenlig
Injeksjon Gentamicin sulfate 2 & 10 mg/ml
Parenteral ernæring (med lipider) 4924
Kompatibel
Injeksjon Gentamicin sulfate
Injeksjon Clindamycin phosphate
Glukose 5 % 3526
Uspesifisert inkompatibilitet Uforenlig
Injeksjon Gentamicin sulfate
Injeksjon Cloxacillin sodium
3520
Uspesifisert inkompatibilitet Uforenlig
Injeksjon Gentamicin sulfate
Injeksjon Cytarabine
3580
Kompatibel
Injeksjon Gentamicin sulfate 1,5 mg/ml
Injeksjon Daptomycin 19,2 mg/ml
Natriumklorid 0,9 % 1937
Kompatibel
Injeksjon Gentamicin sulfate 0,05 mg/ml
Parenteral ernæring(lipid-free) 4445
Uspesifisert inkompatibilitet Uforenlig
Injeksjon Gentamicin sulfate
Injeksjon Cloxacillin sodium
3643
Ustabilitet av emulsjonen etter 4 timer Uforenlig
Injeksjon Gentamicin sulfate 2 mg/ml
Parenteral ernæring (med lipider) 4507
Uspesifisert inkompatibilitet Uforenlig
Injeksjon Gentamicin sulfate
Injeksjon Dalteparin sodium
3643
Kompatibel
Injeksjon Gentamicin sulfate
Injeksjon Daptomycin
2271
Kompatibel
Injeksjon Gentamicin sulfate 10 mg/ml
Parenteral ernæring(lipid-free) 316
Kompatibel
Injeksjon Gentamicin sulfate
Injeksjon Dimenhydrinate
2087
Kompatibel
Injeksjon Gentamicin sulfate 10 & 40 mg/ml
Parenteral ernæring(lipid-free) 999
Subvisuell inkompatibilitet Uforenlig
Injeksjon Gentamicin sulfate
Injeksjon Daunorubicin/cytarabine liposomale
4354
Kompatibel
Injeksjon Gentamicin sulfate 1 mg/ml
Parenteral ernæring(lipid-free) 939
Umiddelbar turbiditet Uforenlig
Injeksjon Gentamicin sulfate
Injeksjon Daunorubicin/cytarabine liposomale 0,4 mg/mL
Natriumklorid 0,9 % 4654
Kompatibel
Injeksjon Gentamicin sulfate 0.8 mg/ml
Injeksjon Diatrizoate meglumine 283 mg/ml
Ingen 1085
Kompatibel
Injeksjon Gentamicin sulfate 2.4 & 40 mg/ml
Injeksjon Diltiazem hydrochloride 5 mg/ml
Natriumklorid 0,9 % 198
Kompatibel
Injeksjon Gentamicin sulfate 5 mg/ml
Injeksjon Docetaxel 0.9 mg/ml
Glukose 5 % 1754
Uspesifisert inkompatibilitet Uforenlig
Injeksjon Gentamicin sulfate
Injeksjon Dopamine hydrochloride
3638
Kompatibel
Injeksjon Gentamicin sulfate 5 mg/ml
Parenteral ernæring(lipid-free) 301
Kompatibel
Injeksjon Gentamicin sulfate 5 mg/ml
Injeksjon Doripenem 5 mg/ml
Natriumklorid 0,9 % 2262
Uspesifisert inkompatibilitet Uforenlig
Injeksjon Gentamicin sulfate
NaHCO3 3520
Kompatibel
Injeksjon Gentamicin sulfate 2 mg/ml
Injeksjon Dopamine hydrochloride 0.8 mg/ml
Glukose 5 % 738
Produksjon av gassbobler Uforenlig
Injeksjon Gentamicin sulfate
NaHCO3 3643
Kompatibel
Injeksjon Gentamicin sulfate 5 mg/ml
Injeksjon Dexmedetomidine 4 µg/ml
Natriumklorid 0,9 % 1712
Kompatibel
Injeksjon Gentamicin sulfate 5 mg/ml
Injeksjon Doripenem 5 mg/ml
Glukose 5 % 2262
Kompatibel
Injeksjon Gentamicin sulfate 5 mg/ml
Parenteral ernæring (med lipider) 1415
Kompatibel
Injeksjon Gentamicin sulfate 10 mg/ml
Injeksjon Doxapram hydrochloride 2 mg/ml
Glukose 5 % 1802
Kompatibel
Injeksjon Gentamicin sulfate 5 mg/ml
Injeksjon Doxorubicin hydrochloride liposome peg 0.4 mg/ml
Glukose 5 % 251
Kompatibel
Injeksjon Gentamicin sulfate 0.8 mg/ml
Injeksjon Enalaprilate 0.05 mg/ml
Natriumklorid 0,9 % 1315
Uspesifisert inkompatibilitet Uforenlig
Injeksjon Gentamicin sulfate
Injeksjon Enoxaparin sodium
3643
Kompatibel
Injeksjon Gentamicin sulfate 5 mg/ml
Injeksjon Eravacycline 0,6 mg/ml
Natriumklorid 0,9 % 4434
Uspesifisert inkompatibilitet Uforenlig
Injeksjon Gentamicin sulfate
Injeksjon Erythromycin lactobionate
3674
Uspesifisert inkompatibilitet Uforenlig
Injeksjon Gentamicin sulfate
Injeksjon Erythromycin lactobionate
3520
Uspesifisert inkompatibilitet Uforenlig
Injeksjon Gentamicin sulfate
Injeksjon Erythromycin lactobionate
3643
Kompatibel
Injeksjon Gentamicin sulfate 0,8 mg/ml
Injeksjon Esmolol hydrochloride 10 mg/ml
Glukose 5 % 384
Kompatibel
Injeksjon Gentamicin sulfate 5 mg/ml
Injeksjon Etoposide phosphate 5 mg/ml
Glukose 5 % 1410
Kompatibel
Injeksjon Gentamicin sulfate 5 mg/ml
Injeksjon Famotidine 2 mg/ml
Natriumklorid 0,9 % 215
Kompatibel
Injeksjon Gentamicin sulfate 0,8 mg/ml
Injeksjon Famotidine
Glukose 5 % 397
Kompatibel
Injeksjon Gentamicin sulfate 5 mg/ml
Injeksjon Fenoldopam mesylate 80 µg/ml
Natriumklorid 0,9 % 1803
Kompatibel
Injeksjon Gentamicin sulfate 10 mg/ml
Injeksjon Fentanyl citrate 50 µg/ml
Glukose 5 % 63
Kompatibel
Injeksjon Gentamicin sulfate 1.6 mg/ml
Injeksjon Filgrastim 40 µg/ml
Glukose 5 % 104
Kompatibel
Injeksjon Gentamicin sulfate 5 mg/ml
Injeksjon Filgrastim 30 µg/ml
Glukose 5 % 244
Uspesifisert inkompatibilitet Uforenlig
Injeksjon Gentamicin sulfate
Injeksjon Flucloxacillin sodium
3643
Umiddelbar nedbør Uforenlig
Injeksjon Gentamicin sulfate
Injeksjon Flucloxacillin sodium
3522
Kompatibel
Injeksjon Gentamicin sulfate 1 mg/ml
Injeksjon Fluconazole 2 mg/ml
Ingen 256
Kompatibel
Injeksjon Gentamicin sulfate 4 mg/ml
Injeksjon Fluconazole 2 mg/ml
Natriumklorid 0,9 % 496
Kompatibel
Injeksjon Gentamicin sulfate 5 mg/ml
Injeksjon Fludarabine phosphate 1 mg/ml
Glukose 5 % 492
Kompatibel
Injeksjon Gentamicin sulfate 2 mg/ml
Injeksjon Foscarnet sodium 24 mg/ml
Natriumklorid 0,9 % 1135
Kompatibel
Injeksjon Gentamicin sulfate 2 mg/ml
Injeksjon Foscarnet sodium 24 mg/ml
Glukose 5 % 1135
Kompatibel
Injeksjon Gentamicin sulfate 4 mg/ml
Injeksjon Foscarnet sodium 24 mg/ml
Ingen 73
Kompatibel
Injeksjon Gentamicin sulfate 10 mg/ml
Ringers laktatoppløsning 4603
Kompatibel
Injeksjon Gentamicin sulfate 5 mg/ml
Injeksjon Fosfomycin 30 mg/ml
Natriumklorid 0,9 % 4055
Umiddelbar nedbør Uforenlig
Injeksjon Gentamicin sulfate 0,4 mg/ml
Parenteral ernæring (med lipider) 4440
Kompatibel
Injeksjon Gentamicin sulfate 40 mg/ml
Parenteral ernæring (med lipider) 673
Kompatibel
Injeksjon Gentamicin sulfate 5 mg/ml
Injeksjon Fosfomycin 30 mg/ml
Glukose 5 % 4055
Umiddelbar nedbør Uforenlig
Injeksjon Gentamicin sulfate 10 mg/ml
Injeksjon Furosemide 10 mg/ml
789
Umiddelbar nedbør Uforenlig
Injeksjon Gentamicin sulfate 1,6 mg/ml
Injeksjon Furosemide 0,8 mg/ml
Glukose 5 % 367
Umiddelbar nedbør Uforenlig
Injeksjon Gentamicin sulfate 1,6 mg/ml
Injeksjon Furosemide 0,8 mg/ml
Natriumklorid 0,9 % 367
Umiddelbar turbiditet Uforenlig
Injeksjon Gentamicin sulfate 6.4 mg/ml
Injeksjon Furosemide 5 mg/ml
805
Nedbør etter 2 timer Uforenlig
Injeksjon Gentamicin sulfate 8 mg/ml
Injeksjon Furosemide 1 mg/ml
Natriumklorid 0,9 % 1232
Kompatibel
Injeksjon Gentamicin sulfate 5 mg/ml
Injeksjon Gemcitabine hydrochloride 10 mg/ml
Natriumklorid 0,9 % 1423
Kompatibel
Injeksjon Gentamicin sulfate 1.5 mg/ml
Injeksjon Granisetron hydrochloride 1 mg/ml
Natriumklorid 0,9 % 57
Kompatibel
Injeksjon Gentamicin sulfate 1 & 2 mg/ml
Injeksjon Heparin sodium 2500 UI/ml
4612
Umiddelbar nedbør Uforenlig
Injeksjon Gentamicin sulfate 4 >> 40 mg/ml
Injeksjon Heparin sodium 10 >> 40 UI/ml
1258
Umiddelbar nedbør Uforenlig
Injeksjon Gentamicin sulfate
Injeksjon Heparin sodium
1022
Uspesifisert inkompatibilitet Uforenlig
Injeksjon Gentamicin sulfate 2 mg/ml
Injeksjon Heparin sodium 50 UI/ml
Ingen 317
Uspesifisert inkompatibilitet Uforenlig
Injeksjon Gentamicin sulfate
Injeksjon Heparin sodium
3643
Uspesifisert inkompatibilitet Uforenlig
Injeksjon Gentamicin sulfate
Injeksjon Heparin sodium
3520
Uspesifisert inkompatibilitet Uforenlig
Injeksjon Gentamicin sulfate
Injeksjon Heparin sodium
3540
Umiddelbar turbiditet Uforenlig
Injeksjon Gentamicin sulfate 3 mg/ml
Injeksjon Heparin sodium 2500 UI/ml
4612
Umiddelbar nedbør Uforenlig
Injeksjon Gentamicin sulfate 4 & 5 mg/ml
Injeksjon Heparin sodium 2500 UI/ml
4612
Kompatibel
Injeksjon Gentamicin sulfate 5 mg/ml
Injeksjon Hetastarch 60 mg/ml
spesifikk løsemiddel 1721
Umiddelbar nedbør Uforenlig
Injeksjon Gentamicin sulfate 0.8 mg/ml
Injeksjon Hetastarch 60 mg/ml
Natriumklorid 0,9 % 472
Kompatibel
Injeksjon Gentamicin sulfate 0.8 mg/ml
Injeksjon Hydromorphone hydrochloride 0.2 mg/ml
Glukose 5 % 405
Fargeendring Uforenlig
Injeksjon Gentamicin sulfate 3 mg/ml
Injeksjon Idarubicin hydrochloride 1 mg/ml
Natriumklorid 0,9 % 491
Umiddelbar nedbør Uforenlig
Injeksjon Gentamicin sulfate 1 mg/ml
Injeksjon Indomethacin sodium trihydrate 0,5 & 1 mg/ml
Glukose 5 % 494
Nedbør etter 15 minutter Uforenlig
Injeksjon Gentamicin sulfate 1 mg/ml
Injeksjon Indomethacin sodium trihydrate 0,5 & 1 mg/ml
Glukose 5 % 1745
Kompatibel
Injeksjon Gentamicin sulfate 1.2 >> 2 mg/ml
Injeksjon Insulin 0.2 UI/ml
Natriumklorid 0,9 % 129
Kompatibel
Injeksjon Gentamicin sulfate 0.8 mg/ml
Injeksjon Iohexol 300 mg I/ml
Ingen 1085
Umiddelbar nedbør Uforenlig
Injeksjon Gentamicin sulfate 0.8 mg/ml
Injeksjon Ioxaglate 320 mg I/ml
Ingen 1085
Kompatibel
Injeksjon Gentamicin sulfate 5 mg/ml
Injeksjon Isavuconazonium sulfate 1.5 mg/ml
Glukose 5 % 3829
Kompatibel
Injeksjon Gentamicin sulfate 5 mg/ml
Injeksjon Isavuconazonium sulfate 1.5 mg/ml
Natriumklorid 0,9 % 3829
Kompatibel
Injeksjon Gentamicin sulfate 40 mg/ml
Injeksjon Ketamine hydrochloride 50 mg/ml
2109
Kompatibel
Injeksjon Gentamicin sulfate 0.8 mg/ml
Injeksjon Labetalol hydrochloride 1 mg/ml
Glukose 5 % 386
Kompatibel
Injeksjon Gentamicin sulfate 5 mg/ml
Injeksjon Lansoprazole 0.55 mg/ml
Natriumklorid 0,9 % 1625
Kompatibel
Injeksjon Gentamicin sulfate 10 mg/ml
Injeksjon Levofloxacine 5 mg/ml
Glukose 5 % 1072
Kompatibel
Injeksjon Gentamicin sulfate 0,75 mg/ml
Injeksjon Linezolid 1,80 mg/ml
2353
Kompatibel
Injeksjon Gentamicin sulfate 5 mg/ml
Injeksjon Linezolid 2 mg/ml
Ingen 1925
Kompatibel
Injeksjon Gentamicin sulfate 3 mg/ml
Injeksjon Lorazepam 0.33 mg/ml
Natriumklorid 0,9 % 186
Kompatibel
Injeksjon Gentamicin sulfate 0.8 mg/ml
Injeksjon Magnesium sulfate 16.67 >> 100 mg/ml
Glukose 5 % 1047
Kompatibel
Injeksjon Gentamicin sulfate 5 mg/ml
Injeksjon Melphalan 0.1 mg/ml
Natriumklorid 0,9 % 169
Kompatibel
Injeksjon Gentamicin sulfate 40 mg/ml
Injeksjon Meropenem 50 mg/ml
Vann til injeksjon 4319
Kompatibel
Injeksjon Gentamicin sulfate 0.8 mg/ml
Injeksjon Meropenem 1 & 20 mg/ml
Natriumklorid 0,9 % 266
Kompatibel
Injeksjon Gentamicin sulfate 4 mg/ml
Injeksjon Meropenem 1 & 50 mg/ml
Natriumklorid 0,9 % 266
Kompatibel
Injeksjon Gentamicin sulfate 30 mg/ml
Injeksjon Meropenem 10 mg/ml
Natriumklorid 0,9 % 2335
Kompatibel
Injeksjon Gentamicin sulfate 0,8 & 1,2 mg/ml
Injeksjon Metronidazole 5 mg/ml
Ingen 1243
Kompatibel
Injeksjon Gentamicin sulfate 0.8 mg/ml
Injeksjon Metronidazole 5 mg/ml
Ingen 1035
Kompatibel
Injeksjon Gentamicin sulfate
Injeksjon Metronidazole
3594
Kompatibel
Injeksjon Gentamicin sulfate 3 mg/ml
Injeksjon Midazolam hydrochloride 5 mg/ml
Ingen 186
Kompatibel
Injeksjon Gentamicin sulfate 10 mg/ml
Injeksjon Midazolam hydrochloride 1 mg/ml
Glukose 5 % 176
Kompatibel
Injeksjon Gentamicin sulfate 0.8 mg/ml
Injeksjon Midazolam hydrochloride 0.05 >> 0.4 mg/ml
Natriumklorid 0,9 % 1888
Uspesifisert inkompatibilitet Uforenlig
Injeksjon Gentamicin sulfate
Injeksjon Mitomycin
4471
Kjemisk ustabilitet Uforenlig
Injeksjon Gentamicin sulfate
Injeksjon Mitomycin
3128
Kompatibel
Injeksjon Gentamicin sulfate 1.2 & 2 mg/ml
Injeksjon Morphine sulfate 1 mg/ml
Natriumklorid 0,9 % 406
Kompatibel
Injeksjon Gentamicin sulfate 0.8 mg/ml
Injeksjon Morphine sulfate 1 mg/ml
Glukose 5 % 405
Uspesifisert inkompatibilitet Uforenlig
Injeksjon Gentamicin sulfate
Injeksjon Moxalactam
3643
Uspesifisert inkompatibilitet Uforenlig
Injeksjon Gentamicin sulfate
Injeksjon Moxalactam
3520
Kompatibel
Injeksjon Gentamicin sulfate 40 mg/ml
Injeksjon N-acetylcysteine 200 mg/ml
Ingen 3766
Uspesifisert inkompatibilitet Uforenlig
Injeksjon Gentamicin sulfate
Injeksjon Nadroparin
3643
Uspesifisert inkompatibilitet Uforenlig
Injeksjon Gentamicin sulfate
Injeksjon Nafcillin sodium
3643
Uspesifisert inkompatibilitet Uforenlig
Injeksjon Gentamicin sulfate
Injeksjon Nafcillin sodium
3520
Kompatibel
Injeksjon Gentamicin sulfate 40 mg/ml
Injeksjon Naloxone hydrochloride 0.4 mg/ml
Ingen 3408
Kompatibel
Injeksjon Gentamicin sulfate 4.17 mg/ml
Injeksjon Nefopam 0.16 mg/ml
Natriumklorid 0,9 % 4254
Kompatibel
Injeksjon Gentamicin sulfate 4.17 mg/ml
Injeksjon Nefopam 0.16 mg/ml
Glukose 5 % 4254
Kompatibel
Injeksjon Gentamicin sulfate 0.8 mg/ml
Injeksjon Nicardipine hydrochloride 0.1 mg/ml
Glukose 5 % 1490
Kompatibel
Injeksjon Gentamicin sulfate 0.8 mg/ml
Injeksjon Nicardipine hydrochloride 0.1 mg/ml
Natriumklorid 0,9 % 1490
Kompatibel
Injeksjon Gentamicin sulfate 0,8 mg/ml
Injeksjon Ofloxacin 2 mg/ml
Ingen 889
Kompatibel
Injeksjon Gentamicin sulfate 5 mg/ml
Injeksjon Ondansetron hydrochloride 1 mg/ml
Natriumklorid 0,9 % 334
Kompatibel
Injeksjon Gentamicin sulfate 5 mg/ml
Injeksjon Oritavancin 0.8 >>2 mg/ml
Glukose 5 % 3152
Uspesifisert inkompatibilitet Uforenlig
Injeksjon Gentamicin sulfate
Injeksjon Oxacillin sodium
3643
Uspesifisert inkompatibilitet Uforenlig
Injeksjon Gentamicin sulfate
Injeksjon Oxacillin sodium
3520
Kompatibel
Injeksjon Gentamicin sulfate 40 mg/ml
Injeksjon Oxycodone hydrochloride 1 mg/ml
Natriumklorid 0,9 % 4842
Kompatibel
Injeksjon Gentamicin sulfate 5 mg/ml
Injeksjon Paclitaxel 1.2 mg/ml
Glukose 5 % 248
Kompatibel
Injeksjon Gentamicin sulfate 5 mg/ml
Injeksjon Palonosetron hydrochloride 50 µg/ml
Glukose 5 % 2228
Kompatibel
Injeksjon Gentamicin sulfate 2 mg/ml
Injeksjon Pancuronium bromide 0.05 mg/ml
Glukose 5 % 402
Umiddelbar nedbør Uforenlig
Injeksjon Gentamicin sulfate
Injeksjon Pantoprazole sodium
2090
Kompatibel
Injeksjon Gentamicin sulfate 40 mg/ml
Injeksjon Paracetamol 10 mg/ml
4742
Umiddelbar nedbør Uforenlig
Injeksjon Gentamicin sulfate 5 mg/ml
Injeksjon Pemetrexed disodium 20 mg/ml
1953
Uspesifisert inkompatibilitet Uforenlig
Injeksjon Gentamicin sulfate
Injeksjon Penicillin G potassium
3643
Uspesifisert inkompatibilitet Uforenlig
Injeksjon Gentamicin sulfate
Injeksjon Penicillin G potassium
3520
Uspesifisert inkompatibilitet Uforenlig
Injeksjon Gentamicin sulfate
Injeksjon Penicillin G sodium
3643
Uspesifisert inkompatibilitet Uforenlig
Injeksjon Gentamicin sulfate
Injeksjon Penicillin G sodium
3520
Kompatibel
Injeksjon Gentamicin sulfate 10 mg/ml
Injeksjon Pentoxifyllin 5 mg/ml
Natriumklorid 0,9 % 4543
Kompatibel
Injeksjon Gentamicin sulfate 0.8 mg/ml
Injeksjon Pethidine hydrochloride 10 mg/ml
Glukose 5 % 405
Umiddelbar nedbør Uforenlig
Injeksjon Gentamicin sulfate 10 mg/ml
Injeksjon Phenytoin sodium 50 mg/ml
789
Kompatibel
Injeksjon Gentamicin sulfate 20 mg/ml
Injeksjon Phloroglucinol 2,5 mg/ml
3791
Uspesifisert inkompatibilitet Uforenlig
Injeksjon Gentamicin sulfate
Injeksjon Piperacillin sodium
3520
Uspesifisert inkompatibilitet Uforenlig
Injeksjon Gentamicin sulfate
Injeksjon Piperacillin sodium
3643
Uspesifisert inkompatibilitet Uforenlig
Injeksjon Gentamicin sulfate
Injeksjon Piperacillin sodium / tazobactam
3520
Kjemisk ustabilitet Uforenlig
Injeksjon Gentamicin sulfate
Injeksjon Piperacillin sodium / tazobactam
3586
Uspesifisert inkompatibilitet Uforenlig
Injeksjon Gentamicin sulfate
Injeksjon Piperacillin sodium / tazobactam
3643
Kompatibel
Injeksjon Gentamicin sulfate
Injeksjon Posaconazole
4380
Kompatibel
Injeksjon Gentamicin sulfate 30 mg/ml
Injeksjon Potassium chloride 20 mEq/l
NaCl 0,45 % Glukose 5 % 2335
Umiddelbar ustabilitet av emulsjonen Uforenlig
Injeksjon Gentamicin sulfate 2 mg/ml
Injeksjon Propofol
660
Uspesifisert inkompatibilitet Uforenlig
Injeksjon Gentamicin sulfate 40 mg/ml
Injeksjon Propofol
4524
Umiddelbar nedbør Uforenlig
Injeksjon Gentamicin sulfate 5 mg/ml
Injeksjon Propofol 10 mg/ml
Ingen 300
Kompatibel
Injeksjon Gentamicin sulfate 5 mg/ml
Injeksjon Remifentanil hydrochloride 25 & 250 µg/ml
Natriumklorid 0,9 % 59
Kompatibel
Injeksjon Gentamicin sulfate 40 mg/ml
Injeksjon Salbutamol sulfate 1 mg/ml
Ingen 3216
Kompatibel
Injeksjon Gentamicin sulfate 5 mg/ml
Injeksjon Sargramostim 10 µg/ml
Natriumklorid 0,9 % 335
Kompatibel
Injeksjon Gentamicin sulfate 10 mg/ml
Injeksjon Sildenafil citrate 0,6 mg/ml
Glukose 5 % 4845
Kompatibel
Injeksjon Gentamicin sulfate 2,4 mg/ml
Injeksjon Sodium bicarbonate 40 mg/ml
Ingen 3122
Produksjon av gassbobler Uforenlig
Injeksjon Gentamicin sulfate
Injeksjon Sodium bicarbonate
3643
Kompatibel
Injeksjon Gentamicin sulfate 2.5 mg/ml
Injeksjon Sodium citrate 40 mg/ml
Vann til injeksjon 3952
Kompatibel
Injeksjon Gentamicin sulfate 40 mg/ml
Injeksjon Sugammadex 100 mg/ml
Ingen 3372
Kompatibel
Injeksjon Gentamicin sulfate 5 mg/ml
Injeksjon Sulbactam/durlobactam 15/15 mg/ml
Natriumklorid 0,9 % 4801
Kompatibel
Injeksjon Gentamicin sulfate 4 mg/ml
Injeksjon Tacrolimus 1000 µg/ml
Natriumklorid 0,9 % 479
Kompatibel
Injeksjon Gentamicin sulfate
Natriumklorid 0,9 % 1704
Kompatibel
Injeksjon Gentamicin sulfate
Natriumklorid 0,9 % 434
Uspesifisert inkompatibilitet Uforenlig
Injeksjon Gentamicin sulfate
Injeksjon Sodium bicarbonate
3520
Kompatibel
Injeksjon Gentamicin sulfate 1 >> 5 mg/ml
Injeksjon Sodium citrate 40 mg/ml
Ingen 2019
Umiddelbar turbiditet Uforenlig
Injeksjon Gentamicin sulfate 5 mg/ml
Injeksjon Tedizolid phosphate 0.8 mg/ml
Natriumklorid 0,9 % 3827
Uspesifisert inkompatibilitet Uforenlig
Injeksjon Gentamicin sulfate
Injeksjon Teicoplanine
3656
Kompatibel
Injeksjon Gentamicin sulfate 5 mg/ml
Injeksjon Telavancin hydrochloride 7.5 mg/ml
Ringers laktatoppløsning 3254
Kompatibel
Injeksjon Gentamicin sulfate 5 mg/ml
Injeksjon Telavancin hydrochloride 7.5 mg/ml
Natriumklorid 0,9 % 3254
Kompatibel
Injeksjon Gentamicin sulfate 5 mg/ml
Injeksjon Telavancin hydrochloride 7.5 mg/ml
Glukose 5 % 3254
Kompatibel
Injeksjon Gentamicin sulfate 6 mg/ml
Injeksjon Temocilline 83.33 mg/ml
Vann til injeksjon 2231
Uspesifisert inkompatibilitet Uforenlig
Injeksjon Gentamicin sulfate
Injeksjon Temocilline
3643
Uspesifisert inkompatibilitet Uforenlig
Injeksjon Gentamicin sulfate
Injeksjon Temocilline
3520
Uspesifisert inkompatibilitet Uforenlig
Injeksjon Gentamicin sulfate
Injeksjon Temocilline
2296
Kompatibel
Injeksjon Gentamicin sulfate 5 mg/ml
Injeksjon Teniposide 0.1 mg/ml
Glukose 5 % 905
Kompatibel
Injeksjon Gentamicin sulfate 2 mg/ml
Injeksjon Theophylline 4 mg/ml
Ingen 317
Umiddelbar nedbør Uforenlig
Injeksjon Gentamicin sulfate 40 mg/ml
Injeksjon Thiopental sodium 25 mg/ml
Natriumklorid 0,9 % 3767
Kompatibel
Injeksjon Gentamicin sulfate 5 mg/ml
Injeksjon Thiotepa 1 mg/ml
Glukose 5 % 249
Kjemisk ustabilitet Uforenlig
Injeksjon Gentamicin sulfate
Injeksjon Ticarcillin / clavulanic acid
3587
Uspesifisert inkompatibilitet Uforenlig
Injeksjon Gentamicin sulfate
Injeksjon Ticarcillin / clavulanic acid
3643
Uspesifisert inkompatibilitet Uforenlig
Injeksjon Gentamicin sulfate
Injeksjon Ticarcillin / clavulanic acid
3520
Kompatibel
Injeksjon Gentamicin sulfate
Injeksjon Tigecycline
Natriumklorid 0,9 % 3332
Kompatibel
Injeksjon Gentamicin sulfate 6 mg/ml
Injeksjon Vancomycin hydrochloride 10 mg/ml
Glukose 5 % 3385
Kompatibel
Injeksjon Gentamicin sulfate 1.2 mg/ml
Injeksjon Vasopressin 0.2 UI/ml
Natriumklorid 0,9 % 2017
Kompatibel
Injeksjon Gentamicin sulfate 2 mg/ml
Injeksjon Vecuronium bromide 0.1 mg/ml
Glukose 5 % 402
Kompatibel
Injeksjon Gentamicin sulfate 0.16 mg/ml
Injeksjon Verapamil hydrochloride 0.08 mg/ml
Glukose 5 % 1057
Kompatibel
Injeksjon Gentamicin sulfate 0.16 mg/ml
Injeksjon Verapamil hydrochloride 0.08 mg/ml
Natriumklorid 0,9 % 1057
Kompatibel
Injeksjon Gentamicin sulfate 5 mg/ml
Injeksjon Vinorelbine tartrate 1 mg/ml
Natriumklorid 0,9 % 84
Umiddelbar turbiditet Uforenlig
Injeksjon Gentamicin sulfate 1.6 mg/ml
Injeksjon Warfarin sodium 2 mg/ml
Glukose 5 % 315
Kompatibel
Injeksjon Gentamicin sulfate 2 mg/ml
Injeksjon Zidovudine 4 mg/ml
Glukose 5 % 337

  Mentions Légales