最新更新 :
18/03/2026
抗生素   Gentamicin sulfate  
注射液
眼药水
溶液稳定性 混合物稳定性 影响稳定性的因素 兼容性 用药途径 引用文献 PDF
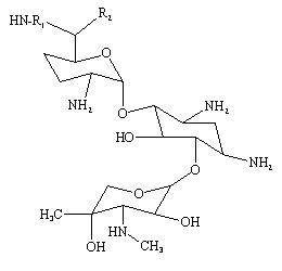
   化学式  

商品名   商品名     

商品名仅供参考, 药品所用的辅料可能依国家或厂商不同有所不同。

Azupel 秘鲁
Cidomycin 埃及, 突尼斯, 英国
Dabroson 希腊
Epigent 埃及
Garalone 葡萄牙
Garamicina 厄瓜多尔, 哥伦比亚, 墨西哥, 巴西
Garamycin 丹麦, 克罗地亚, 印度, 埃及, 希腊, 挪威, 波兰, 瑞士, 荷兰, 阿联酋
Genmisin 土耳其
Gensif 土耳其
Gensumycin 挪威, 瑞典, 芬兰
Genta-Gobens 西班牙
Gentalline 摩洛哥
Gentamen 摩洛哥
Genticin 爱尔兰, 英国, 阿联酋
Gentreks 土耳其
Hexamycin 丹麦
Plurisemina 阿根廷
Refobacin 哥伦比亚, 埃及, 奥地利, 德国
Rupegen 阿根廷
兼容性   注射液   兼容性 : Gentamicin sulfate              
This screen indicates the compatibilities or incompatibilities with, in this case, the type of incompatibility (precipitation, color change, modification of an emulsion, etc.). The compatibilities shown here are mostly physical only, with the chemical stability of each molecule rarely being assessed. The evaluation of these mixtures was studied to consider the possibility of Y-site administration to the patient. These data cannot be used for making mixtures in advance in bags or syringes. This type of information is available in the screen "Stability in mixture ».
分子 溶剂 引用文献
兼容
注射液 Gentamicin sulfate 1.6 mg/ml
注射液 Aciclovir sodium 5 mg/ml
葡萄糖5% 336
立即沉澱 不相容
注射液 Gentamicin sulfate 30 mg/ml
注射液 Aciclovir sodium 5 mg/ml
NaCl 0,9% 2335
1小時後析出 不相容
注射液 Gentamicin sulfate 5 mg/ml
注射液 Allopurinol sodium 3 mg/ml
NaCl 0,9% 307
兼容
注射液 Gentamicin sulfate 1 mg/ml
注射液 Alprostadil 15 µg/ml
3201
兼容
注射液 Gentamicin sulfate 5 mg/ml
注射液 Amifostine 10 mg/ml
葡萄糖5% 3
兼容
注射液 Gentamicin sulfate 0.8 mg/ml
注射液 Amiodarone hydrochloride 4 mg/ml
NaCl 0,9% 385
兼容
注射液 Gentamicin sulfate 0.8 mg/ml
注射液 Amiodarone hydrochloride 4 mg/ml
葡萄糖5% 385
未指定的不兼容性 不相容
注射液 Gentamicin sulfate
注射液 Amoxicillin sodium
3643
未指定的不兼容性 不相容
注射液 Gentamicin sulfate
注射液 Amoxicillin sodium
3520
化學不穩定性 不相容
注射液 Gentamicin sulfate
注射液 Amoxicillin sodium
3527
未指定的不兼容性 不相容
注射液 Gentamicin sulfate
注射液 Amoxicillin sodium / clavulanic acid
3643
未指定的不兼容性 不相容
注射液 Gentamicin sulfate
注射液 Amoxicillin sodium / clavulanic acid
3545
未指定的不兼容性 不相容
注射液 Gentamicin sulfate
注射液 Amoxicillin sodium / clavulanic acid
3520
兼容
注射液 Gentamicin sulfate 40 mg/ml
注射液 Amoxicillin sodium / clavulanic acid 100/10 mg/ml
3824
立即沉澱 不相容
注射液 Gentamicin sulfate 5 mg/ml
注射液 Amphotericin B cholesteryl sulfate complex 0,83 mg/ml
葡萄糖5% 921
未指定的不兼容性 不相容
注射液 Gentamicin sulfate
注射液 Ampicillin sodium
3643
未指定的不兼容性 不相容
注射液 Gentamicin sulfate
注射液 Ampicillin sodium
3520
未指定的不兼容性 不相容
注射液 Gentamicin sulfate
注射液 Ampicillin sodium - sulbactam sodium
3643
未指定的不兼容性 不相容
注射液 Gentamicin sulfate
注射液 Ampicillin sodium - sulbactam sodium
3520
兼容
注射液 Gentamicin sulfate 5 mg/ml
注射液 Amsacrine 1 mg/ml
葡萄糖5% 253
兼容
注射液 Gentamicin sulfate 5 mg/ml
注射液 Anidulafungin 0.5 mg/ml
葡萄糖5% 1982
兼容
注射液 Gentamicin sulfate 0,8 mg/ml
注射液 Atosiban 0,75 mg/ml
4642
兼容
注射液 Gentamicin sulfate 2 mg/ml
注射液 Atracurium besylate 0.5 mg/ml
葡萄糖5% 402
立即沉澱 不相容
注射液 Gentamicin sulfate 21 mg/ml
注射液 Azithromycine 2 mg/ml
NaCl 0,9% 1800
兼容
注射液 Gentamicin sulfate 5 mg/ml
注射液 Aztreonam 40 mg/ml
葡萄糖5% 99
兼容
注射液 Gentamicin sulfate 0.2 & 0.8 mg/ml
注射液 Aztreonam 10 & 20 mg/ml
NaCl 0,9% 19
兼容
注射液 Gentamicin sulfate 0.2 & 0.8 mg/ml
注射液 Aztreonam 10 & 20 mg/ml
葡萄糖5% 19
兼容
注射液 Gentamicin sulfate 5 mg/ml
注射液 Bivalirudin 5 mg/ml
葡萄糖5% 1713
兼容
注射液 Gentamicin sulfate 10 mg/ml
注射液 Caffeine 10 mg/ml
无 3964
兼容
注射液 Gentamicin sulfate 10 mg/ml
注射液 Caffeine 10 mg/ml
NaCl 0,9% 4837
兼容
注射液 Gentamicin sulfate 10 mg/ml
注射液 Caffeine citrate 20 mg/ml
NaCl 0,9% 4837
未指定的不兼容性 不相容
注射液 Gentamicin sulfate
注射液 Calcium gluconate
3644
不相容
注射液 Gentamicin sulfate
注射液 Calcium gluconate
4964
兼容
注射液 Gentamicin sulfate 5 mg/ml
注射液 Caspofungin acetate 0,7 mg/ml
NaCl 0,9% 2247
未指定的不兼容性 不相容
注射液 Gentamicin sulfate
注射液 Cefalotin sodium
3520
未指定的不兼容性 不相容
注射液 Gentamicin sulfate
注射液 Cefalotin sodium
3643
立即沉澱 不相容
注射液 Gentamicin sulfate
注射液 Cefamandole nafate 2 >> 100 mg/ml
葡萄糖5% 612
未指定的不兼容性 不相容
注射液 Gentamicin sulfate
注射液 Cefamandole nafate
3643
未指定的不兼容性 不相容
注射液 Gentamicin sulfate
注射液 Cefamandole nafate
3520
未指定的不兼容性 不相容
注射液 Gentamicin sulfate
注射液 Cefamandole nafate
3546
立即沉澱 不相容
注射液 Gentamicin sulfate
注射液 Cefamandole nafate 2 >> 100 mg/ml
NaCl 0,9% 612
未指定的不兼容性 不相容
注射液 Gentamicin sulfate
注射液 Cefazolin sodium
3520
未指定的不兼容性 不相容
注射液 Gentamicin sulfate
注射液 Cefazolin sodium
3643
未指定的不兼容性 不相容
注射液 Gentamicin sulfate
注射液 Cefepime dihydrochloride
3520
兼容
注射液 Gentamicin sulfate 6 mg/ml
注射液 Cefepime dihydrochloride 125 mg/ml
注射用水 2141
未指定的不兼容性 不相容
注射液 Gentamicin sulfate
注射液 Cefepime dihydrochloride
3548
未指定的不兼容性 不相容
注射液 Gentamicin sulfate
注射液 Cefepime dihydrochloride
3643
兼容
注射液 Gentamicin sulfate 5 mg/ml
注射液 Cefiderocol sulfate tosylate 20 mg/mL
葡萄糖5% 4528
兼容
注射液 Gentamicin sulfate 5 mg/ml
注射液 Cefiderocol sulfate tosylate 20 mg/mL
NaCl 0,9% 4528
未指定的不兼容性 不相容
注射液 Gentamicin sulfate
注射液 Cefmenoxime
3520
未指定的不兼容性 不相容
注射液 Gentamicin sulfate
注射液 Cefmenoxime
3643
未指定的不兼容性 不相容
注射液 Gentamicin sulfate
注射液 Cefmetazole sodium
3520
未指定的不兼容性 不相容
注射液 Gentamicin sulfate
注射液 Cefmetazole sodium
3643
未指定的不兼容性 不相容
注射液 Gentamicin sulfate
注射液 Cefonicid sodium
3643
未指定的不兼容性 不相容
注射液 Gentamicin sulfate
注射液 Cefonicid sodium
3520
未指定的不兼容性 不相容
注射液 Gentamicin sulfate
注射液 Cefoperazone sodium
3544
未指定的不兼容性 不相容
注射液 Gentamicin sulfate
注射液 Cefoperazone sodium
3643
立即沉澱 不相容
注射液 Gentamicin sulfate 0.8 mg/ml
注射液 Cefoperazone sodium 10 mg/ml
葡萄糖5% 1206
未指定的不兼容性 不相容
注射液 Gentamicin sulfate
注射液 Cefoperazone sodium
3520
未指定的不兼容性 不相容
注射液 Gentamicin sulfate
注射液 Ceforanide
3643
未指定的不兼容性 不相容
注射液 Gentamicin sulfate
注射液 Ceforanide
3520
未指定的不兼容性 不相容
注射液 Gentamicin sulfate
注射液 Cefotaxime sodium
3520
未指定的不兼容性 不相容
注射液 Gentamicin sulfate
注射液 Cefotaxime sodium
3643
未指定的不兼容性 不相容
注射液 Gentamicin sulfate
注射液 Cefoxitin sodium
3643
未指定的不兼容性 不相容
注射液 Gentamicin sulfate
注射液 Cefoxitin sodium
3520
兼容
注射液 Gentamicin sulfate 1 mg/ml
注射液 Cefpirome sulfate 50 mg/ml
NaCl 0,9% 280
兼容
注射液 Gentamicin sulfate 1 mg/ml
注射液 Cefpirome sulfate 50 mg/ml
Ringer乳酸溶液 280
兼容
注射液 Gentamicin sulfate 1 mg/ml
注射液 Cefpirome sulfate 50 mg/ml
NaCl 0.45% 280
未指定的不兼容性 不相容
注射液 Gentamicin sulfate
注射液 Cefpirome sulfate
3643
未指定的不兼容性 不相容
注射液 Gentamicin sulfate
注射液 Cefpirome sulfate
3677
兼容
注射液 Gentamicin sulfate 1 mg/ml
注射液 Cefpirome sulfate 50 mg/ml
葡萄糖5% 280
未指定的不兼容性 不相容
注射液 Gentamicin sulfate
注射液 Cefpirome sulfate
3520
兼容
注射液 Gentamicin sulfate 5 mg/ml
注射液 Ceftaroline fosamil 2,22 mg/ml
NaCl 0,9% 3249
兼容
注射液 Gentamicin sulfate 5 mg/ml
注射液 Ceftaroline fosamil 2,22 mg/ml
Ringer乳酸溶液 3249
兼容
注射液 Gentamicin sulfate 5 mg/ml
注射液 Ceftaroline fosamil 2,22 mg/ml
葡萄糖5% 3249
未指定的不兼容性 不相容
注射液 Gentamicin sulfate
注射液 Ceftaroline fosamil
3643
未指定的不兼容性 不相容
注射液 Gentamicin sulfate
注射液 Ceftaroline fosamil
3520
未指定的不兼容性 不相容
注射液 Gentamicin sulfate
注射液 Ceftazidime
3543
未指定的不兼容性 不相容
注射液 Gentamicin sulfate
注射液 Ceftazidime
3520
未指定的不兼容性 不相容
注射液 Gentamicin sulfate
注射液 Ceftazidime
3643
兼容
注射液 Gentamicin sulfate 6 mg/ml
注射液 Ceftazidime 125 mg/ml
注射用水 2141
兼容
注射液 Gentamicin sulfate 6 mg/ml
注射液 Ceftazidime 83.3 mg/ml
1759
未指定的不兼容性 不相容
注射液 Gentamicin sulfate
注射液 Ceftazidime
3883
未指定的不兼容性 不相容
注射液 Gentamicin sulfate
注射液 Ceftazidime Avibactam
3520
未指定的不兼容性 不相容
注射液 Gentamicin sulfate
注射液 Ceftazidime Avibactam
3643
未指定的不兼容性 不相容
注射液 Gentamicin sulfate
注射液 Ceftizoxime sodium
3643
未指定的不兼容性 不相容
注射液 Gentamicin sulfate
注射液 Ceftizoxime sodium
3520
未指定的不兼容性 不相容
注射液 Gentamicin sulfate
注射液 Ceftobiprole medocaril sodium
3643
未指定的不兼容性 不相容
注射液 Gentamicin sulfate
注射液 Ceftobiprole medocaril sodium
4650
立即沉澱 不相容
注射液 Gentamicin sulfate 5 mg/ml
注射液 Ceftobiprole medocaril sodium 2 mg/ml
葡萄糖5% 2269
立即沉澱 不相容
注射液 Gentamicin sulfate 5 mg/ml
注射液 Ceftobiprole medocaril sodium 2 mg/ml
Ringer乳酸溶液 2269
立即沉澱 不相容
注射液 Gentamicin sulfate 5 mg/ml
注射液 Ceftobiprole medocaril sodium 2 mg/ml
NaCl 0,9% 2269
未指定的不兼容性 不相容
注射液 Gentamicin sulfate
注射液 Ceftobiprole medocaril sodium
3520
兼容
注射液 Gentamicin sulfate 5 mg/ml
注射液 Ceftolozane / tazobactam 10/5 mg/ml
葡萄糖5% 3828
未指定的不兼容性 不相容
注射液 Gentamicin sulfate
注射液 Ceftolozane / tazobactam
3643
未指定的不兼容性 不相容
注射液 Gentamicin sulfate
注射液 Ceftolozane / tazobactam
3520
兼容
注射液 Gentamicin sulfate 5 mg/ml
注射液 Ceftolozane / tazobactam 10/5 mg/ml
NaCl 0,9% 3828
未指定的不兼容性 不相容
注射液 Gentamicin sulfate
注射液 Ceftriaxone disodium
3523
未指定的不兼容性 不相容
注射液 Gentamicin sulfate
注射液 Ceftriaxone disodium
3643
未指定的不兼容性 不相容
注射液 Gentamicin sulfate
注射液 Ceftriaxone disodium
3520
未指定的不兼容性 不相容
注射液 Gentamicin sulfate
注射液 Cefuroxime sodium
3643
未指定的不兼容性 不相容
注射液 Gentamicin sulfate
注射液 Cefuroxime sodium
3520
未指定的不兼容性 不相容
注射液 Gentamicin sulfate
注射液 Cefuroxime sodium
3687
未指定的不兼容性 不相容
注射液 Gentamicin sulfate
注射液 Cefuzonam
3520
兼容
注射液 Gentamicin sulfate 0.8 mg/ml
注射液 Cimetidine hydrochloride 3 mg/ml
葡萄糖5% 1201
兼容
注射液 Gentamicin sulfate 0.08 mg/ml
注射液 Cimetidine hydrochloride 1.2 & 5 mg/ml
NaCl 0,9% 1201
兼容
注射液 Gentamicin sulfate 0.08 mg/ml
注射液 Cimetidine hydrochloride 1.2 & 5 mg/ml
葡萄糖5% 1201
兼容
注射液 Gentamicin sulfate 10 mg/ml
注射液 Ciprofloxacin lactate 2 mg/ml
NaCl 0,9% 289
兼容
注射液 Gentamicin sulfate 1.6 mg/ml
注射液 Ciprofloxacin lactate 2 mg/ml
葡萄糖5% 285
兼容
注射液 Gentamicin sulfate 5 mg/ml
注射液 Cisatracurium besylate 0.1 >> 5 mg/ml
葡萄糖5% 299
化學不穩定性 不相容
注射液 Gentamicin sulfate
注射液 Cisplatin
3578
兼容
注射液 Gentamicin sulfate 12 mg/ml
注射液 Clindamycin phosphate 90 mg/ml
NaCl 0,9% 639
兼容
注射液 Gentamicin sulfate 0.67 mg/ml
注射液 Clindamycin phosphate 6 mg/ml
葡萄糖5% 423
兼容
注射液 Gentamicin sulfate
葡萄糖5% 434
未指定的不兼容性 不相容
注射液 Gentamicin sulfate
注射液 Cefuzonam
3643
兼容
注射液 Gentamicin sulfate 1 mg/ml
注射液 Ciprofloxacin lactate 1.5 mg/ml
NaCl 0,9% 434
兼容
注射液 Gentamicin sulfate 1.6 mg/ml
注射液 Ciprofloxacin lactate 2 mg/ml
葡萄糖5% 288
兼容
注射液 Gentamicin sulfate 1.6 mg/ml
注射液 Ciprofloxacin lactate 2 mg/ml
NaCl 0,9% 288
兼容
注射液 Gentamicin sulfate 1 mg/ml
注射液 Ciprofloxacin lactate 1.5 mg/ml
葡萄糖5% 434
兼容
注射液 Gentamicin sulfate
注射液 Clindamycin phosphate
NaCl 0,9% 3526
立即沉澱 不相容
注射液 Gentamicin sulfate 40 mg/ml
注射液 Cloxacillin sodium 100 mg/ml
注射用水 3012
兼容
注射液 Gentamicin sulfate 15 mg/ml
注射液 Cytarabine 16 mg/ml
NaCl 0,9% 132
不相容
注射液 Gentamicin sulfate 2 & 10 mg/ml
肠外营养(含脂肪) 4924
兼容
注射液 Gentamicin sulfate
注射液 Clindamycin phosphate
葡萄糖5% 3526
未指定的不兼容性 不相容
注射液 Gentamicin sulfate
注射液 Cloxacillin sodium
3520
未指定的不兼容性 不相容
注射液 Gentamicin sulfate
注射液 Cytarabine
3580
兼容
注射液 Gentamicin sulfate 1,5 mg/ml
注射液 Daptomycin 19,2 mg/ml
NaCl 0,9% 1937
兼容
注射液 Gentamicin sulfate 0,05 mg/ml
肠外营养(二种混合物) 4445
未指定的不兼容性 不相容
注射液 Gentamicin sulfate
注射液 Cloxacillin sodium
3643
4小時後乳液的不穩定性 不相容
注射液 Gentamicin sulfate 2 mg/ml
肠外营养(含脂肪) 4507
未指定的不兼容性 不相容
注射液 Gentamicin sulfate
注射液 Dalteparin sodium
3643
兼容
注射液 Gentamicin sulfate
注射液 Daptomycin
2271
兼容
注射液 Gentamicin sulfate 10 mg/ml
肠外营养(二种混合物) 316
兼容
注射液 Gentamicin sulfate
注射液 Dimenhydrinate
2087
兼容
注射液 Gentamicin sulfate 10 & 40 mg/ml
肠外营养(二种混合物) 999
亞視覺不兼容 不相容
注射液 Gentamicin sulfate
注射液 Daunorubicin/cytarabine liposomale
4354
兼容
注射液 Gentamicin sulfate 1 mg/ml
肠外营养(二种混合物) 939
立即渾濁 不相容
注射液 Gentamicin sulfate
注射液 Daunorubicin/cytarabine liposomale 0,4 mg/mL
NaCl 0,9% 4654
兼容
注射液 Gentamicin sulfate 0.8 mg/ml
注射液 Diatrizoate meglumine 283 mg/ml
无 1085
兼容
注射液 Gentamicin sulfate 2.4 & 40 mg/ml
注射液 Diltiazem hydrochloride 5 mg/ml
NaCl 0,9% 198
兼容
注射液 Gentamicin sulfate 5 mg/ml
注射液 Docetaxel 0.9 mg/ml
葡萄糖5% 1754
未指定的不兼容性 不相容
注射液 Gentamicin sulfate
注射液 Dopamine hydrochloride
3638
兼容
注射液 Gentamicin sulfate 5 mg/ml
肠外营养(二种混合物) 301
兼容
注射液 Gentamicin sulfate 5 mg/ml
注射液 Doripenem 5 mg/ml
NaCl 0,9% 2262
未指定的不兼容性 不相容
注射液 Gentamicin sulfate
NaHCO3 3520
兼容
注射液 Gentamicin sulfate 2 mg/ml
注射液 Dopamine hydrochloride 0.8 mg/ml
葡萄糖5% 738
產生氣泡 不相容
注射液 Gentamicin sulfate
NaHCO3 3643
兼容
注射液 Gentamicin sulfate 5 mg/ml
注射液 Dexmedetomidine 4 µg/ml
NaCl 0,9% 1712
兼容
注射液 Gentamicin sulfate 5 mg/ml
注射液 Doripenem 5 mg/ml
葡萄糖5% 2262
兼容
注射液 Gentamicin sulfate 5 mg/ml
肠外营养(含脂肪) 1415
兼容
注射液 Gentamicin sulfate 10 mg/ml
注射液 Doxapram hydrochloride 2 mg/ml
葡萄糖5% 1802
兼容
注射液 Gentamicin sulfate 5 mg/ml
注射液 Doxorubicin hydrochloride liposome peg 0.4 mg/ml
葡萄糖5% 251
兼容
注射液 Gentamicin sulfate 0.8 mg/ml
注射液 Enalaprilate 0.05 mg/ml
NaCl 0,9% 1315
未指定的不兼容性 不相容
注射液 Gentamicin sulfate
注射液 Enoxaparin sodium
3643
兼容
注射液 Gentamicin sulfate 5 mg/ml
注射液 Eravacycline 0,6 mg/ml
NaCl 0,9% 4434
未指定的不兼容性 不相容
注射液 Gentamicin sulfate
注射液 Erythromycin lactobionate
3674
未指定的不兼容性 不相容
注射液 Gentamicin sulfate
注射液 Erythromycin lactobionate
3520
未指定的不兼容性 不相容
注射液 Gentamicin sulfate
注射液 Erythromycin lactobionate
3643
兼容
注射液 Gentamicin sulfate 0,8 mg/ml
注射液 Esmolol hydrochloride 10 mg/ml
葡萄糖5% 384
兼容
注射液 Gentamicin sulfate 5 mg/ml
注射液 Etoposide phosphate 5 mg/ml
葡萄糖5% 1410
兼容
注射液 Gentamicin sulfate 5 mg/ml
注射液 Famotidine 2 mg/ml
NaCl 0,9% 215
兼容
注射液 Gentamicin sulfate 0,8 mg/ml
注射液 Famotidine
葡萄糖5% 397
兼容
注射液 Gentamicin sulfate 5 mg/ml
注射液 Fenoldopam mesylate 80 µg/ml
NaCl 0,9% 1803
兼容
注射液 Gentamicin sulfate 10 mg/ml
注射液 Fentanyl citrate 50 µg/ml
葡萄糖5% 63
兼容
注射液 Gentamicin sulfate 1.6 mg/ml
注射液 Filgrastim 40 µg/ml
葡萄糖5% 104
兼容
注射液 Gentamicin sulfate 5 mg/ml
注射液 Filgrastim 30 µg/ml
葡萄糖5% 244
未指定的不兼容性 不相容
注射液 Gentamicin sulfate
注射液 Flucloxacillin sodium
3643
立即沉澱 不相容
注射液 Gentamicin sulfate
注射液 Flucloxacillin sodium
3522
兼容
注射液 Gentamicin sulfate 1 mg/ml
注射液 Fluconazole 2 mg/ml
无 256
兼容
注射液 Gentamicin sulfate 4 mg/ml
注射液 Fluconazole 2 mg/ml
NaCl 0,9% 496
兼容
注射液 Gentamicin sulfate 5 mg/ml
注射液 Fludarabine phosphate 1 mg/ml
葡萄糖5% 492
兼容
注射液 Gentamicin sulfate 2 mg/ml
注射液 Foscarnet sodium 24 mg/ml
NaCl 0,9% 1135
兼容
注射液 Gentamicin sulfate 2 mg/ml
注射液 Foscarnet sodium 24 mg/ml
葡萄糖5% 1135
兼容
注射液 Gentamicin sulfate 4 mg/ml
注射液 Foscarnet sodium 24 mg/ml
无 73
兼容
注射液 Gentamicin sulfate 10 mg/ml
Ringer乳酸溶液 4603
兼容
注射液 Gentamicin sulfate 5 mg/ml
注射液 Fosfomycin 30 mg/ml
NaCl 0,9% 4055
立即沉澱 不相容
注射液 Gentamicin sulfate 0,4 mg/ml
肠外营养(含脂肪) 4440
兼容
注射液 Gentamicin sulfate 40 mg/ml
肠外营养(含脂肪) 673
兼容
注射液 Gentamicin sulfate 5 mg/ml
注射液 Fosfomycin 30 mg/ml
葡萄糖5% 4055
立即沉澱 不相容
注射液 Gentamicin sulfate 10 mg/ml
注射液 Furosemide 10 mg/ml
789
立即沉澱 不相容
注射液 Gentamicin sulfate 1,6 mg/ml
注射液 Furosemide 0,8 mg/ml
葡萄糖5% 367
立即沉澱 不相容
注射液 Gentamicin sulfate 1,6 mg/ml
注射液 Furosemide 0,8 mg/ml
NaCl 0,9% 367
立即渾濁 不相容
注射液 Gentamicin sulfate 6.4 mg/ml
注射液 Furosemide 5 mg/ml
805
2小時後出現沉澱 不相容
注射液 Gentamicin sulfate 8 mg/ml
注射液 Furosemide 1 mg/ml
NaCl 0,9% 1232
兼容
注射液 Gentamicin sulfate 5 mg/ml
注射液 Gemcitabine hydrochloride 10 mg/ml
NaCl 0,9% 1423
兼容
注射液 Gentamicin sulfate 1.5 mg/ml
注射液 Granisetron hydrochloride 1 mg/ml
NaCl 0,9% 57
兼容
注射液 Gentamicin sulfate 1 & 2 mg/ml
注射液 Heparin sodium 2500 UI/ml
4612
立即沉澱 不相容
注射液 Gentamicin sulfate 4 >> 40 mg/ml
注射液 Heparin sodium 10 >> 40 UI/ml
1258
立即沉澱 不相容
注射液 Gentamicin sulfate
注射液 Heparin sodium
1022
未指定的不兼容性 不相容
注射液 Gentamicin sulfate 2 mg/ml
注射液 Heparin sodium 50 UI/ml
无 317
未指定的不兼容性 不相容
注射液 Gentamicin sulfate
注射液 Heparin sodium
3643
未指定的不兼容性 不相容
注射液 Gentamicin sulfate
注射液 Heparin sodium
3520
未指定的不兼容性 不相容
注射液 Gentamicin sulfate
注射液 Heparin sodium
3540
立即渾濁 不相容
注射液 Gentamicin sulfate 3 mg/ml
注射液 Heparin sodium 2500 UI/ml
4612
立即沉澱 不相容
注射液 Gentamicin sulfate 4 & 5 mg/ml
注射液 Heparin sodium 2500 UI/ml
4612
兼容
注射液 Gentamicin sulfate 5 mg/ml
注射液 Hetastarch 60 mg/ml
特定溶液 1721
立即沉澱 不相容
注射液 Gentamicin sulfate 0.8 mg/ml
注射液 Hetastarch 60 mg/ml
NaCl 0,9% 472
兼容
注射液 Gentamicin sulfate 0.8 mg/ml
注射液 Hydromorphone hydrochloride 0.2 mg/ml
葡萄糖5% 405
顏色變化 不相容
注射液 Gentamicin sulfate 3 mg/ml
注射液 Idarubicin hydrochloride 1 mg/ml
NaCl 0,9% 491
立即沉澱 不相容
注射液 Gentamicin sulfate 1 mg/ml
注射液 Indomethacin sodium trihydrate 0,5 & 1 mg/ml
葡萄糖5% 494
15分鐘後析出 不相容
注射液 Gentamicin sulfate 1 mg/ml
注射液 Indomethacin sodium trihydrate 0,5 & 1 mg/ml
葡萄糖5% 1745
兼容
注射液 Gentamicin sulfate 1.2 >> 2 mg/ml
注射液 Insulin 0.2 UI/ml
NaCl 0,9% 129
兼容
注射液 Gentamicin sulfate 0.8 mg/ml
注射液 Iohexol 300 mg I/ml
无 1085
立即沉澱 不相容
注射液 Gentamicin sulfate 0.8 mg/ml
注射液 Ioxaglate 320 mg I/ml
无 1085
兼容
注射液 Gentamicin sulfate 5 mg/ml
注射液 Isavuconazonium sulfate 1.5 mg/ml
葡萄糖5% 3829
兼容
注射液 Gentamicin sulfate 5 mg/ml
注射液 Isavuconazonium sulfate 1.5 mg/ml
NaCl 0,9% 3829
兼容
注射液 Gentamicin sulfate 40 mg/ml
注射液 Ketamine hydrochloride 50 mg/ml
2109
兼容
注射液 Gentamicin sulfate 0.8 mg/ml
注射液 Labetalol hydrochloride 1 mg/ml
葡萄糖5% 386
兼容
注射液 Gentamicin sulfate 5 mg/ml
注射液 Lansoprazole 0.55 mg/ml
NaCl 0,9% 1625
兼容
注射液 Gentamicin sulfate 10 mg/ml
注射液 Levofloxacine 5 mg/ml
葡萄糖5% 1072
兼容
注射液 Gentamicin sulfate 0,75 mg/ml
注射液 Linezolid 1,80 mg/ml
2353
兼容
注射液 Gentamicin sulfate 5 mg/ml
注射液 Linezolid 2 mg/ml
无 1925
兼容
注射液 Gentamicin sulfate 3 mg/ml
注射液 Lorazepam 0.33 mg/ml
NaCl 0,9% 186
兼容
注射液 Gentamicin sulfate 0.8 mg/ml
注射液 Magnesium sulfate 16.67 >> 100 mg/ml
葡萄糖5% 1047
兼容
注射液 Gentamicin sulfate 5 mg/ml
注射液 Melphalan 0.1 mg/ml
NaCl 0,9% 169
兼容
注射液 Gentamicin sulfate 40 mg/ml
注射液 Meropenem 50 mg/ml
注射用水 4319
兼容
注射液 Gentamicin sulfate 0.8 mg/ml
注射液 Meropenem 1 & 20 mg/ml
NaCl 0,9% 266
兼容
注射液 Gentamicin sulfate 4 mg/ml
注射液 Meropenem 1 & 50 mg/ml
NaCl 0,9% 266
兼容
注射液 Gentamicin sulfate 30 mg/ml
注射液 Meropenem 10 mg/ml
NaCl 0,9% 2335
兼容
注射液 Gentamicin sulfate 0,8 & 1,2 mg/ml
注射液 Metronidazole 5 mg/ml
无 1243
兼容
注射液 Gentamicin sulfate 0.8 mg/ml
注射液 Metronidazole 5 mg/ml
无 1035
兼容
注射液 Gentamicin sulfate
注射液 Metronidazole
3594
兼容
注射液 Gentamicin sulfate 3 mg/ml
注射液 Midazolam hydrochloride 5 mg/ml
无 186
兼容
注射液 Gentamicin sulfate 10 mg/ml
注射液 Midazolam hydrochloride 1 mg/ml
葡萄糖5% 176
兼容
注射液 Gentamicin sulfate 0.8 mg/ml
注射液 Midazolam hydrochloride 0.05 >> 0.4 mg/ml
NaCl 0,9% 1888
未指定的不兼容性 不相容
注射液 Gentamicin sulfate
注射液 Mitomycin
4471
化學不穩定性 不相容
注射液 Gentamicin sulfate
注射液 Mitomycin
3128
兼容
注射液 Gentamicin sulfate 1.2 & 2 mg/ml
注射液 Morphine sulfate 1 mg/ml
NaCl 0,9% 406
兼容
注射液 Gentamicin sulfate 0.8 mg/ml
注射液 Morphine sulfate 1 mg/ml
葡萄糖5% 405
未指定的不兼容性 不相容
注射液 Gentamicin sulfate
注射液 Moxalactam
3643
未指定的不兼容性 不相容
注射液 Gentamicin sulfate
注射液 Moxalactam
3520
兼容
注射液 Gentamicin sulfate 40 mg/ml
注射液 N-acetylcysteine 200 mg/ml
无 3766
未指定的不兼容性 不相容
注射液 Gentamicin sulfate
注射液 Nadroparin
3643
未指定的不兼容性 不相容
注射液 Gentamicin sulfate
注射液 Nafcillin sodium
3643
未指定的不兼容性 不相容
注射液 Gentamicin sulfate
注射液 Nafcillin sodium
3520
兼容
注射液 Gentamicin sulfate 40 mg/ml
注射液 Naloxone hydrochloride 0.4 mg/ml
无 3408
兼容
注射液 Gentamicin sulfate 4.17 mg/ml
注射液 Nefopam 0.16 mg/ml
NaCl 0,9% 4254
兼容
注射液 Gentamicin sulfate 4.17 mg/ml
注射液 Nefopam 0.16 mg/ml
葡萄糖5% 4254
兼容
注射液 Gentamicin sulfate 0.8 mg/ml
注射液 Nicardipine hydrochloride 0.1 mg/ml
葡萄糖5% 1490
兼容
注射液 Gentamicin sulfate 0.8 mg/ml
注射液 Nicardipine hydrochloride 0.1 mg/ml
NaCl 0,9% 1490
兼容
注射液 Gentamicin sulfate 0,8 mg/ml
注射液 Ofloxacin 2 mg/ml
无 889
兼容
注射液 Gentamicin sulfate 5 mg/ml
注射液 Ondansetron hydrochloride 1 mg/ml
NaCl 0,9% 334
兼容
注射液 Gentamicin sulfate 5 mg/ml
注射液 Oritavancin 0.8 >>2 mg/ml
葡萄糖5% 3152
未指定的不兼容性 不相容
注射液 Gentamicin sulfate
注射液 Oxacillin sodium
3643
未指定的不兼容性 不相容
注射液 Gentamicin sulfate
注射液 Oxacillin sodium
3520
兼容
注射液 Gentamicin sulfate 40 mg/ml
注射液 Oxycodone hydrochloride 1 mg/ml
NaCl 0,9% 4842
兼容
注射液 Gentamicin sulfate 5 mg/ml
注射液 Paclitaxel 1.2 mg/ml
葡萄糖5% 248
兼容
注射液 Gentamicin sulfate 5 mg/ml
注射液 Palonosetron hydrochloride 50 µg/ml
葡萄糖5% 2228
兼容
注射液 Gentamicin sulfate 2 mg/ml
注射液 Pancuronium bromide 0.05 mg/ml
葡萄糖5% 402
立即沉澱 不相容
注射液 Gentamicin sulfate
注射液 Pantoprazole sodium
2090
兼容
注射液 Gentamicin sulfate 40 mg/ml
注射液 Paracetamol 10 mg/ml
4742
立即沉澱 不相容
注射液 Gentamicin sulfate 5 mg/ml
注射液 Pemetrexed disodium 20 mg/ml
1953
未指定的不兼容性 不相容
注射液 Gentamicin sulfate
注射液 Penicillin G potassium
3643
未指定的不兼容性 不相容
注射液 Gentamicin sulfate
注射液 Penicillin G potassium
3520
未指定的不兼容性 不相容
注射液 Gentamicin sulfate
注射液 Penicillin G sodium
3643
未指定的不兼容性 不相容
注射液 Gentamicin sulfate
注射液 Penicillin G sodium
3520
兼容
注射液 Gentamicin sulfate 10 mg/ml
注射液 Pentoxifyllin 5 mg/ml
NaCl 0,9% 4543
兼容
注射液 Gentamicin sulfate 0.8 mg/ml
注射液 Pethidine hydrochloride 10 mg/ml
葡萄糖5% 405
立即沉澱 不相容
注射液 Gentamicin sulfate 10 mg/ml
注射液 Phenytoin sodium 50 mg/ml
789
兼容
注射液 Gentamicin sulfate 20 mg/ml
注射液 Phloroglucinol 2,5 mg/ml
3791
未指定的不兼容性 不相容
注射液 Gentamicin sulfate
注射液 Piperacillin sodium
3520
未指定的不兼容性 不相容
注射液 Gentamicin sulfate
注射液 Piperacillin sodium
3643
未指定的不兼容性 不相容
注射液 Gentamicin sulfate
注射液 Piperacillin sodium / tazobactam
3520
化學不穩定性 不相容
注射液 Gentamicin sulfate
注射液 Piperacillin sodium / tazobactam
3586
未指定的不兼容性 不相容
注射液 Gentamicin sulfate
注射液 Piperacillin sodium / tazobactam
3643
兼容
注射液 Gentamicin sulfate
注射液 Posaconazole
4380
兼容
注射液 Gentamicin sulfate 30 mg/ml
注射液 Potassium chloride 20 mEq/l
NaCl 0,45% 葡萄糖 5% 2335
乳液立即不穩定 不相容
注射液 Gentamicin sulfate 2 mg/ml
注射液 Propofol
660
未指定的不兼容性 不相容
注射液 Gentamicin sulfate 40 mg/ml
注射液 Propofol
4524
立即沉澱 不相容
注射液 Gentamicin sulfate 5 mg/ml
注射液 Propofol 10 mg/ml
无 300
兼容
注射液 Gentamicin sulfate 5 mg/ml
注射液 Remifentanil hydrochloride 25 & 250 µg/ml
NaCl 0,9% 59
兼容
注射液 Gentamicin sulfate 40 mg/ml
注射液 Salbutamol sulfate 1 mg/ml
无 3216
兼容
注射液 Gentamicin sulfate 5 mg/ml
注射液 Sargramostim 10 µg/ml
NaCl 0,9% 335
兼容
注射液 Gentamicin sulfate 10 mg/ml
注射液 Sildenafil citrate 0,6 mg/ml
葡萄糖5% 4845
兼容
注射液 Gentamicin sulfate 2,4 mg/ml
注射液 Sodium bicarbonate 40 mg/ml
无 3122
產生氣泡 不相容
注射液 Gentamicin sulfate
注射液 Sodium bicarbonate
3643
兼容
注射液 Gentamicin sulfate 2.5 mg/ml
注射液 Sodium citrate 40 mg/ml
注射用水 3952
兼容
注射液 Gentamicin sulfate 40 mg/ml
注射液 Sugammadex 100 mg/ml
无 3372
兼容
注射液 Gentamicin sulfate 5 mg/ml
注射液 Sulbactam/durlobactam 15/15 mg/ml
NaCl 0,9% 4801
兼容
注射液 Gentamicin sulfate 4 mg/ml
注射液 Tacrolimus 1000 µg/ml
NaCl 0,9% 479
兼容
注射液 Gentamicin sulfate
NaCl 0,9% 1704
兼容
注射液 Gentamicin sulfate
NaCl 0,9% 434
未指定的不兼容性 不相容
注射液 Gentamicin sulfate
注射液 Sodium bicarbonate
3520
兼容
注射液 Gentamicin sulfate 1 >> 5 mg/ml
注射液 Sodium citrate 40 mg/ml
无 2019
立即渾濁 不相容
注射液 Gentamicin sulfate 5 mg/ml
注射液 Tedizolid phosphate 0.8 mg/ml
NaCl 0,9% 3827
未指定的不兼容性 不相容
注射液 Gentamicin sulfate
注射液 Teicoplanine
3656
兼容
注射液 Gentamicin sulfate 5 mg/ml
注射液 Telavancin hydrochloride 7.5 mg/ml
Ringer乳酸溶液 3254
兼容
注射液 Gentamicin sulfate 5 mg/ml
注射液 Telavancin hydrochloride 7.5 mg/ml
NaCl 0,9% 3254
兼容
注射液 Gentamicin sulfate 5 mg/ml
注射液 Telavancin hydrochloride 7.5 mg/ml
葡萄糖5% 3254
兼容
注射液 Gentamicin sulfate 6 mg/ml
注射液 Temocilline 83.33 mg/ml
注射用水 2231
未指定的不兼容性 不相容
注射液 Gentamicin sulfate
注射液 Temocilline
3643
未指定的不兼容性 不相容
注射液 Gentamicin sulfate
注射液 Temocilline
3520
未指定的不兼容性 不相容
注射液 Gentamicin sulfate
注射液 Temocilline
2296
兼容
注射液 Gentamicin sulfate 5 mg/ml
注射液 Teniposide 0.1 mg/ml
葡萄糖5% 905
兼容
注射液 Gentamicin sulfate 2 mg/ml
注射液 Theophylline 4 mg/ml
无 317
立即沉澱 不相容
注射液 Gentamicin sulfate 40 mg/ml
注射液 Thiopental sodium 25 mg/ml
NaCl 0,9% 3767
兼容
注射液 Gentamicin sulfate 5 mg/ml
注射液 Thiotepa 1 mg/ml
葡萄糖5% 249
化學不穩定性 不相容
注射液 Gentamicin sulfate
注射液 Ticarcillin / clavulanic acid
3587
未指定的不兼容性 不相容
注射液 Gentamicin sulfate
注射液 Ticarcillin / clavulanic acid
3643
未指定的不兼容性 不相容
注射液 Gentamicin sulfate
注射液 Ticarcillin / clavulanic acid
3520
兼容
注射液 Gentamicin sulfate
注射液 Tigecycline
NaCl 0,9% 3332
兼容
注射液 Gentamicin sulfate 6 mg/ml
注射液 Vancomycin hydrochloride 10 mg/ml
葡萄糖5% 3385
兼容
注射液 Gentamicin sulfate 1.2 mg/ml
注射液 Vasopressin 0.2 UI/ml
NaCl 0,9% 2017
兼容
注射液 Gentamicin sulfate 2 mg/ml
注射液 Vecuronium bromide 0.1 mg/ml
葡萄糖5% 402
兼容
注射液 Gentamicin sulfate 0.16 mg/ml
注射液 Verapamil hydrochloride 0.08 mg/ml
葡萄糖5% 1057
兼容
注射液 Gentamicin sulfate 0.16 mg/ml
注射液 Verapamil hydrochloride 0.08 mg/ml
NaCl 0,9% 1057
兼容
注射液 Gentamicin sulfate 5 mg/ml
注射液 Vinorelbine tartrate 1 mg/ml
NaCl 0,9% 84
立即渾濁 不相容
注射液 Gentamicin sulfate 1.6 mg/ml
注射液 Warfarin sodium 2 mg/ml
葡萄糖5% 315
兼容
注射液 Gentamicin sulfate 2 mg/ml
注射液 Zidovudine 4 mg/ml
葡萄糖5% 337

  Mentions Légales