Viimeisin päivitys :
18/03/2026
Antibiootit   Gentamicin sulfate  
Injektioneste
Silmätipat
Stabilius liuoksessa Stabilius seoksissa Tekijät, jotka vaikuttavat stabiliuteen Yhteensopivuus Antotapa Viitteet pdf
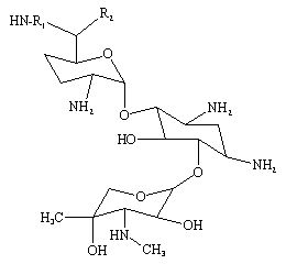
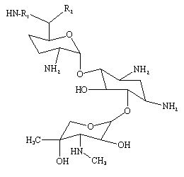
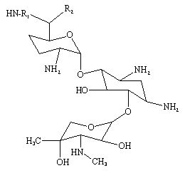
   Kemiallinen rakenne  

Kauppanimi   Kauppanimi     

Trade names are indicative and excipients composition can be different depending on the country and manufacturers

Azupel Marokko
Cidomycin Egypti, Iso-Britannia, Tunisia
Dabroson Kreikka
Epigent Egypti
Garalone Portugali
Garamicina Brasilia, Ecuador, Kolumbia, Meksiko
Garamycin Egypti, Hollanti, Intia, Kreikka, Kroatia, Norja, Puola, Sveitsi, Tanska, Yhdistyneet arabiemiirikunnat
Genmisin Turkki
Gensif Turkki
Gensumycin Norja, Ruotsi, Suomi
Genta-Gobens Espanja
Gentalline Marokko
Gentamen Marokko
Genticin Irlanti, Iso-Britannia, Yhdistyneet arabiemiirikunnat
Gentreks Turkki
Hexamycin Tanska
Plurisemina Argentiina
Refobacin Egypti, Itävalta, Kolumbia, Saksa
Rupegen Argentiina
Yhteensopivuus   Injektioneste   Yhteensopivuus : Gentamicin sulfate              
Tämä näyttö osoittaa yhteensopivuuden tai yhteensopimattomuuden yhteensopimattomuuden tyypin kanssa (saostuminen, värinmuutos, emulsiomuutos jne.). Tässä esitetty yhteensopivuus on useimmissa tapauksissa vain fysikaalinen, ja kunkin molekyylin kemiallista stabiilisuutta arvioidaan harvoin. Näiden seosten arviointia tutkittiin mahdollisuuden antaa Y-kohta potilaalle. Näitä tietoja ei voida käyttää seosten valmistamiseen etukäteen pusseissa tai ruiskuissa. Tämäntyyppiset tiedot ovat saatavilla "Stabiilisuus seoksessa" -näytössä.
Yhdiste Liuotin Viitteet
Yhteensopiva
Injektioneste Gentamicin sulfate 1.6 mg/ml
Injektioneste Aciclovir sodium 5 mg/ml
Glukoosi 5% 336
Välittömät sateet yhteensopimaton
Injektioneste Gentamicin sulfate 30 mg/ml
Injektioneste Aciclovir sodium 5 mg/ml
Natriumkloridi 0,9% 2335
Sade 1 tunnin kuluttua yhteensopimaton
Injektioneste Gentamicin sulfate 5 mg/ml
Injektioneste Allopurinol sodium 3 mg/ml
Natriumkloridi 0,9% 307
Yhteensopiva
Injektioneste Gentamicin sulfate 1 mg/ml
Injektioneste Alprostadil 15 µg/ml
3201
Yhteensopiva
Injektioneste Gentamicin sulfate 5 mg/ml
Injektioneste Amifostine 10 mg/ml
Glukoosi 5% 3
Yhteensopiva
Injektioneste Gentamicin sulfate 0.8 mg/ml
Injektioneste Amiodarone hydrochloride 4 mg/ml
Natriumkloridi 0,9% 385
Yhteensopiva
Injektioneste Gentamicin sulfate 0.8 mg/ml
Injektioneste Amiodarone hydrochloride 4 mg/ml
Glukoosi 5% 385
Määrittelemätön yhteensopimattomuus yhteensopimaton
Injektioneste Gentamicin sulfate
Injektioneste Amoxicillin sodium
3643
Määrittelemätön yhteensopimattomuus yhteensopimaton
Injektioneste Gentamicin sulfate
Injektioneste Amoxicillin sodium
3520
Kemiallinen epävakaus yhteensopimaton
Injektioneste Gentamicin sulfate
Injektioneste Amoxicillin sodium
3527
Määrittelemätön yhteensopimattomuus yhteensopimaton
Injektioneste Gentamicin sulfate
Injektioneste Amoxicillin sodium / clavulanic acid
3643
Määrittelemätön yhteensopimattomuus yhteensopimaton
Injektioneste Gentamicin sulfate
Injektioneste Amoxicillin sodium / clavulanic acid
3545
Määrittelemätön yhteensopimattomuus yhteensopimaton
Injektioneste Gentamicin sulfate
Injektioneste Amoxicillin sodium / clavulanic acid
3520
Yhteensopiva
Injektioneste Gentamicin sulfate 40 mg/ml
Injektioneste Amoxicillin sodium / clavulanic acid 100/10 mg/ml
3824
Välittömät sateet yhteensopimaton
Injektioneste Gentamicin sulfate 5 mg/ml
Injektioneste Amphotericin B cholesteryl sulfate complex 0,83 mg/ml
Glukoosi 5% 921
Määrittelemätön yhteensopimattomuus yhteensopimaton
Injektioneste Gentamicin sulfate
Injektioneste Ampicillin sodium
3643
Määrittelemätön yhteensopimattomuus yhteensopimaton
Injektioneste Gentamicin sulfate
Injektioneste Ampicillin sodium
3520
Määrittelemätön yhteensopimattomuus yhteensopimaton
Injektioneste Gentamicin sulfate
Injektioneste Ampicillin sodium - sulbactam sodium
3643
Määrittelemätön yhteensopimattomuus yhteensopimaton
Injektioneste Gentamicin sulfate
Injektioneste Ampicillin sodium - sulbactam sodium
3520
Yhteensopiva
Injektioneste Gentamicin sulfate 5 mg/ml
Injektioneste Amsacrine 1 mg/ml
Glukoosi 5% 253
Yhteensopiva
Injektioneste Gentamicin sulfate 5 mg/ml
Injektioneste Anidulafungin 0.5 mg/ml
Glukoosi 5% 1982
Yhteensopiva
Injektioneste Gentamicin sulfate 0,8 mg/ml
Injektioneste Atosiban 0,75 mg/ml
4642
Yhteensopiva
Injektioneste Gentamicin sulfate 2 mg/ml
Injektioneste Atracurium besylate 0.5 mg/ml
Glukoosi 5% 402
Välittömät sateet yhteensopimaton
Injektioneste Gentamicin sulfate 21 mg/ml
Injektioneste Azithromycine 2 mg/ml
Natriumkloridi 0,9% 1800
Yhteensopiva
Injektioneste Gentamicin sulfate 5 mg/ml
Injektioneste Aztreonam 40 mg/ml
Glukoosi 5% 99
Yhteensopiva
Injektioneste Gentamicin sulfate 0.2 & 0.8 mg/ml
Injektioneste Aztreonam 10 & 20 mg/ml
Natriumkloridi 0,9% 19
Yhteensopiva
Injektioneste Gentamicin sulfate 0.2 & 0.8 mg/ml
Injektioneste Aztreonam 10 & 20 mg/ml
Glukoosi 5% 19
Yhteensopiva
Injektioneste Gentamicin sulfate 5 mg/ml
Injektioneste Bivalirudin 5 mg/ml
Glukoosi 5% 1713
Yhteensopiva
Injektioneste Gentamicin sulfate 10 mg/ml
Injektioneste Caffeine 10 mg/ml
Ei mikään 3964
Yhteensopiva
Injektioneste Gentamicin sulfate 10 mg/ml
Injektioneste Caffeine 10 mg/ml
Natriumkloridi 0,9% 4837
Yhteensopiva
Injektioneste Gentamicin sulfate 10 mg/ml
Injektioneste Caffeine citrate 20 mg/ml
Natriumkloridi 0,9% 4837
Määrittelemätön yhteensopimattomuus yhteensopimaton
Injektioneste Gentamicin sulfate
Injektioneste Calcium gluconate
3644
yhteensopimaton
Injektioneste Gentamicin sulfate
Injektioneste Calcium gluconate
4964
Yhteensopiva
Injektioneste Gentamicin sulfate 5 mg/ml
Injektioneste Caspofungin acetate 0,7 mg/ml
Natriumkloridi 0,9% 2247
Määrittelemätön yhteensopimattomuus yhteensopimaton
Injektioneste Gentamicin sulfate
Injektioneste Cefalotin sodium
3520
Määrittelemätön yhteensopimattomuus yhteensopimaton
Injektioneste Gentamicin sulfate
Injektioneste Cefalotin sodium
3643
Välittömät sateet yhteensopimaton
Injektioneste Gentamicin sulfate
Injektioneste Cefamandole nafate 2 >> 100 mg/ml
Glukoosi 5% 612
Määrittelemätön yhteensopimattomuus yhteensopimaton
Injektioneste Gentamicin sulfate
Injektioneste Cefamandole nafate
3643
Määrittelemätön yhteensopimattomuus yhteensopimaton
Injektioneste Gentamicin sulfate
Injektioneste Cefamandole nafate
3520
Määrittelemätön yhteensopimattomuus yhteensopimaton
Injektioneste Gentamicin sulfate
Injektioneste Cefamandole nafate
3546
Välittömät sateet yhteensopimaton
Injektioneste Gentamicin sulfate
Injektioneste Cefamandole nafate 2 >> 100 mg/ml
Natriumkloridi 0,9% 612
Määrittelemätön yhteensopimattomuus yhteensopimaton
Injektioneste Gentamicin sulfate
Injektioneste Cefazolin sodium
3520
Määrittelemätön yhteensopimattomuus yhteensopimaton
Injektioneste Gentamicin sulfate
Injektioneste Cefazolin sodium
3643
Määrittelemätön yhteensopimattomuus yhteensopimaton
Injektioneste Gentamicin sulfate
Injektioneste Cefepime dihydrochloride
3520
Yhteensopiva
Injektioneste Gentamicin sulfate 6 mg/ml
Injektioneste Cefepime dihydrochloride 125 mg/ml
Injektionesteisiin käytettävä vesi 2141
Määrittelemätön yhteensopimattomuus yhteensopimaton
Injektioneste Gentamicin sulfate
Injektioneste Cefepime dihydrochloride
3548
Määrittelemätön yhteensopimattomuus yhteensopimaton
Injektioneste Gentamicin sulfate
Injektioneste Cefepime dihydrochloride
3643
Yhteensopiva
Injektioneste Gentamicin sulfate 5 mg/ml
Injektioneste Cefiderocol sulfate tosylate 20 mg/mL
Glukoosi 5% 4528
Yhteensopiva
Injektioneste Gentamicin sulfate 5 mg/ml
Injektioneste Cefiderocol sulfate tosylate 20 mg/mL
Natriumkloridi 0,9% 4528
Määrittelemätön yhteensopimattomuus yhteensopimaton
Injektioneste Gentamicin sulfate
Injektioneste Cefmenoxime
3520
Määrittelemätön yhteensopimattomuus yhteensopimaton
Injektioneste Gentamicin sulfate
Injektioneste Cefmenoxime
3643
Määrittelemätön yhteensopimattomuus yhteensopimaton
Injektioneste Gentamicin sulfate
Injektioneste Cefmetazole sodium
3520
Määrittelemätön yhteensopimattomuus yhteensopimaton
Injektioneste Gentamicin sulfate
Injektioneste Cefmetazole sodium
3643
Määrittelemätön yhteensopimattomuus yhteensopimaton
Injektioneste Gentamicin sulfate
Injektioneste Cefonicid sodium
3643
Määrittelemätön yhteensopimattomuus yhteensopimaton
Injektioneste Gentamicin sulfate
Injektioneste Cefonicid sodium
3520
Määrittelemätön yhteensopimattomuus yhteensopimaton
Injektioneste Gentamicin sulfate
Injektioneste Cefoperazone sodium
3544
Määrittelemätön yhteensopimattomuus yhteensopimaton
Injektioneste Gentamicin sulfate
Injektioneste Cefoperazone sodium
3643
Välittömät sateet yhteensopimaton
Injektioneste Gentamicin sulfate 0.8 mg/ml
Injektioneste Cefoperazone sodium 10 mg/ml
Glukoosi 5% 1206
Määrittelemätön yhteensopimattomuus yhteensopimaton
Injektioneste Gentamicin sulfate
Injektioneste Cefoperazone sodium
3520
Määrittelemätön yhteensopimattomuus yhteensopimaton
Injektioneste Gentamicin sulfate
Injektioneste Ceforanide
3643
Määrittelemätön yhteensopimattomuus yhteensopimaton
Injektioneste Gentamicin sulfate
Injektioneste Ceforanide
3520
Määrittelemätön yhteensopimattomuus yhteensopimaton
Injektioneste Gentamicin sulfate
Injektioneste Cefotaxime sodium
3520
Määrittelemätön yhteensopimattomuus yhteensopimaton
Injektioneste Gentamicin sulfate
Injektioneste Cefotaxime sodium
3643
Määrittelemätön yhteensopimattomuus yhteensopimaton
Injektioneste Gentamicin sulfate
Injektioneste Cefoxitin sodium
3643
Määrittelemätön yhteensopimattomuus yhteensopimaton
Injektioneste Gentamicin sulfate
Injektioneste Cefoxitin sodium
3520
Yhteensopiva
Injektioneste Gentamicin sulfate 1 mg/ml
Injektioneste Cefpirome sulfate 50 mg/ml
Natriumkloridi 0,9% 280
Yhteensopiva
Injektioneste Gentamicin sulfate 1 mg/ml
Injektioneste Cefpirome sulfate 50 mg/ml
Ringerlaktaattiliuos 280
Yhteensopiva
Injektioneste Gentamicin sulfate 1 mg/ml
Injektioneste Cefpirome sulfate 50 mg/ml
Natriumkloridi 0,45% 280
Määrittelemätön yhteensopimattomuus yhteensopimaton
Injektioneste Gentamicin sulfate
Injektioneste Cefpirome sulfate
3643
Määrittelemätön yhteensopimattomuus yhteensopimaton
Injektioneste Gentamicin sulfate
Injektioneste Cefpirome sulfate
3677
Yhteensopiva
Injektioneste Gentamicin sulfate 1 mg/ml
Injektioneste Cefpirome sulfate 50 mg/ml
Glukoosi 5% 280
Määrittelemätön yhteensopimattomuus yhteensopimaton
Injektioneste Gentamicin sulfate
Injektioneste Cefpirome sulfate
3520
Yhteensopiva
Injektioneste Gentamicin sulfate 5 mg/ml
Injektioneste Ceftaroline fosamil 2,22 mg/ml
Natriumkloridi 0,9% 3249
Yhteensopiva
Injektioneste Gentamicin sulfate 5 mg/ml
Injektioneste Ceftaroline fosamil 2,22 mg/ml
Ringerlaktaattiliuos 3249
Yhteensopiva
Injektioneste Gentamicin sulfate 5 mg/ml
Injektioneste Ceftaroline fosamil 2,22 mg/ml
Glukoosi 5% 3249
Määrittelemätön yhteensopimattomuus yhteensopimaton
Injektioneste Gentamicin sulfate
Injektioneste Ceftaroline fosamil
3643
Määrittelemätön yhteensopimattomuus yhteensopimaton
Injektioneste Gentamicin sulfate
Injektioneste Ceftaroline fosamil
3520
Määrittelemätön yhteensopimattomuus yhteensopimaton
Injektioneste Gentamicin sulfate
Injektioneste Ceftazidime
3543
Määrittelemätön yhteensopimattomuus yhteensopimaton
Injektioneste Gentamicin sulfate
Injektioneste Ceftazidime
3520
Määrittelemätön yhteensopimattomuus yhteensopimaton
Injektioneste Gentamicin sulfate
Injektioneste Ceftazidime
3643
Yhteensopiva
Injektioneste Gentamicin sulfate 6 mg/ml
Injektioneste Ceftazidime 125 mg/ml
Injektionesteisiin käytettävä vesi 2141
Yhteensopiva
Injektioneste Gentamicin sulfate 6 mg/ml
Injektioneste Ceftazidime 83.3 mg/ml
1759
Määrittelemätön yhteensopimattomuus yhteensopimaton
Injektioneste Gentamicin sulfate
Injektioneste Ceftazidime
3883
Määrittelemätön yhteensopimattomuus yhteensopimaton
Injektioneste Gentamicin sulfate
Injektioneste Ceftazidime Avibactam
3520
Määrittelemätön yhteensopimattomuus yhteensopimaton
Injektioneste Gentamicin sulfate
Injektioneste Ceftazidime Avibactam
3643
Määrittelemätön yhteensopimattomuus yhteensopimaton
Injektioneste Gentamicin sulfate
Injektioneste Ceftizoxime sodium
3643
Määrittelemätön yhteensopimattomuus yhteensopimaton
Injektioneste Gentamicin sulfate
Injektioneste Ceftizoxime sodium
3520
Määrittelemätön yhteensopimattomuus yhteensopimaton
Injektioneste Gentamicin sulfate
Injektioneste Ceftobiprole medocaril sodium
3643
Määrittelemätön yhteensopimattomuus yhteensopimaton
Injektioneste Gentamicin sulfate
Injektioneste Ceftobiprole medocaril sodium
4650
Välittömät sateet yhteensopimaton
Injektioneste Gentamicin sulfate 5 mg/ml
Injektioneste Ceftobiprole medocaril sodium 2 mg/ml
Glukoosi 5% 2269
Välittömät sateet yhteensopimaton
Injektioneste Gentamicin sulfate 5 mg/ml
Injektioneste Ceftobiprole medocaril sodium 2 mg/ml
Ringerlaktaattiliuos 2269
Välittömät sateet yhteensopimaton
Injektioneste Gentamicin sulfate 5 mg/ml
Injektioneste Ceftobiprole medocaril sodium 2 mg/ml
Natriumkloridi 0,9% 2269
Määrittelemätön yhteensopimattomuus yhteensopimaton
Injektioneste Gentamicin sulfate
Injektioneste Ceftobiprole medocaril sodium
3520
Yhteensopiva
Injektioneste Gentamicin sulfate 5 mg/ml
Injektioneste Ceftolozane / tazobactam 10/5 mg/ml
Glukoosi 5% 3828
Määrittelemätön yhteensopimattomuus yhteensopimaton
Injektioneste Gentamicin sulfate
Injektioneste Ceftolozane / tazobactam
3643
Määrittelemätön yhteensopimattomuus yhteensopimaton
Injektioneste Gentamicin sulfate
Injektioneste Ceftolozane / tazobactam
3520
Yhteensopiva
Injektioneste Gentamicin sulfate 5 mg/ml
Injektioneste Ceftolozane / tazobactam 10/5 mg/ml
Natriumkloridi 0,9% 3828
Määrittelemätön yhteensopimattomuus yhteensopimaton
Injektioneste Gentamicin sulfate
Injektioneste Ceftriaxone disodium
3523
Määrittelemätön yhteensopimattomuus yhteensopimaton
Injektioneste Gentamicin sulfate
Injektioneste Ceftriaxone disodium
3643
Määrittelemätön yhteensopimattomuus yhteensopimaton
Injektioneste Gentamicin sulfate
Injektioneste Ceftriaxone disodium
3520
Määrittelemätön yhteensopimattomuus yhteensopimaton
Injektioneste Gentamicin sulfate
Injektioneste Cefuroxime sodium
3643
Määrittelemätön yhteensopimattomuus yhteensopimaton
Injektioneste Gentamicin sulfate
Injektioneste Cefuroxime sodium
3520
Määrittelemätön yhteensopimattomuus yhteensopimaton
Injektioneste Gentamicin sulfate
Injektioneste Cefuroxime sodium
3687
Määrittelemätön yhteensopimattomuus yhteensopimaton
Injektioneste Gentamicin sulfate
Injektioneste Cefuzonam
3520
Yhteensopiva
Injektioneste Gentamicin sulfate 0.8 mg/ml
Injektioneste Cimetidine hydrochloride 3 mg/ml
Glukoosi 5% 1201
Yhteensopiva
Injektioneste Gentamicin sulfate 0.08 mg/ml
Injektioneste Cimetidine hydrochloride 1.2 & 5 mg/ml
Natriumkloridi 0,9% 1201
Yhteensopiva
Injektioneste Gentamicin sulfate 0.08 mg/ml
Injektioneste Cimetidine hydrochloride 1.2 & 5 mg/ml
Glukoosi 5% 1201
Yhteensopiva
Injektioneste Gentamicin sulfate 10 mg/ml
Injektioneste Ciprofloxacin lactate 2 mg/ml
Natriumkloridi 0,9% 289
Yhteensopiva
Injektioneste Gentamicin sulfate 1.6 mg/ml
Injektioneste Ciprofloxacin lactate 2 mg/ml
Glukoosi 5% 285
Yhteensopiva
Injektioneste Gentamicin sulfate 5 mg/ml
Injektioneste Cisatracurium besylate 0.1 >> 5 mg/ml
Glukoosi 5% 299
Kemiallinen epävakaus yhteensopimaton
Injektioneste Gentamicin sulfate
Injektioneste Cisplatin
3578
Yhteensopiva
Injektioneste Gentamicin sulfate 12 mg/ml
Injektioneste Clindamycin phosphate 90 mg/ml
Natriumkloridi 0,9% 639
Yhteensopiva
Injektioneste Gentamicin sulfate 0.67 mg/ml
Injektioneste Clindamycin phosphate 6 mg/ml
Glukoosi 5% 423
Yhteensopiva
Injektioneste Gentamicin sulfate
Glukoosi 5% 434
Määrittelemätön yhteensopimattomuus yhteensopimaton
Injektioneste Gentamicin sulfate
Injektioneste Cefuzonam
3643
Yhteensopiva
Injektioneste Gentamicin sulfate 1 mg/ml
Injektioneste Ciprofloxacin lactate 1.5 mg/ml
Natriumkloridi 0,9% 434
Yhteensopiva
Injektioneste Gentamicin sulfate 1.6 mg/ml
Injektioneste Ciprofloxacin lactate 2 mg/ml
Glukoosi 5% 288
Yhteensopiva
Injektioneste Gentamicin sulfate 1.6 mg/ml
Injektioneste Ciprofloxacin lactate 2 mg/ml
Natriumkloridi 0,9% 288
Yhteensopiva
Injektioneste Gentamicin sulfate 1 mg/ml
Injektioneste Ciprofloxacin lactate 1.5 mg/ml
Glukoosi 5% 434
Yhteensopiva
Injektioneste Gentamicin sulfate
Injektioneste Clindamycin phosphate
Natriumkloridi 0,9% 3526
Välittömät sateet yhteensopimaton
Injektioneste Gentamicin sulfate 40 mg/ml
Injektioneste Cloxacillin sodium 100 mg/ml
Injektionesteisiin käytettävä vesi 3012
Yhteensopiva
Injektioneste Gentamicin sulfate 15 mg/ml
Injektioneste Cytarabine 16 mg/ml
Natriumkloridi 0,9% 132
yhteensopimaton
Injektioneste Gentamicin sulfate 2 & 10 mg/ml
Parenteraalinen (lipidien) 4924
Yhteensopiva
Injektioneste Gentamicin sulfate
Injektioneste Clindamycin phosphate
Glukoosi 5% 3526
Määrittelemätön yhteensopimattomuus yhteensopimaton
Injektioneste Gentamicin sulfate
Injektioneste Cloxacillin sodium
3520
Määrittelemätön yhteensopimattomuus yhteensopimaton
Injektioneste Gentamicin sulfate
Injektioneste Cytarabine
3580
Yhteensopiva
Injektioneste Gentamicin sulfate 1,5 mg/ml
Injektioneste Daptomycin 19,2 mg/ml
Natriumkloridi 0,9% 1937
Yhteensopiva
Injektioneste Gentamicin sulfate 0,05 mg/ml
Parenteraalisesti (rasva-free) 4445
Määrittelemätön yhteensopimattomuus yhteensopimaton
Injektioneste Gentamicin sulfate
Injektioneste Cloxacillin sodium
3643
Emulsion epästabiilisuus 4 tunnin kuluttua yhteensopimaton
Injektioneste Gentamicin sulfate 2 mg/ml
Parenteraalinen (lipidien) 4507
Määrittelemätön yhteensopimattomuus yhteensopimaton
Injektioneste Gentamicin sulfate
Injektioneste Dalteparin sodium
3643
Yhteensopiva
Injektioneste Gentamicin sulfate
Injektioneste Daptomycin
2271
Yhteensopiva
Injektioneste Gentamicin sulfate 10 mg/ml
Parenteraalisesti (rasva-free) 316
Yhteensopiva
Injektioneste Gentamicin sulfate
Injektioneste Dimenhydrinate
2087
Yhteensopiva
Injektioneste Gentamicin sulfate 10 & 40 mg/ml
Parenteraalisesti (rasva-free) 999
Subvisuaalinen yhteensopimattomuus yhteensopimaton
Injektioneste Gentamicin sulfate
Injektioneste Daunorubicin/cytarabine liposomale
4354
Yhteensopiva
Injektioneste Gentamicin sulfate 1 mg/ml
Parenteraalisesti (rasva-free) 939
Välitön sameus yhteensopimaton
Injektioneste Gentamicin sulfate
Injektioneste Daunorubicin/cytarabine liposomale 0,4 mg/mL
Natriumkloridi 0,9% 4654
Yhteensopiva
Injektioneste Gentamicin sulfate 0.8 mg/ml
Injektioneste Diatrizoate meglumine 283 mg/ml
Ei mikään 1085
Yhteensopiva
Injektioneste Gentamicin sulfate 2.4 & 40 mg/ml
Injektioneste Diltiazem hydrochloride 5 mg/ml
Natriumkloridi 0,9% 198
Yhteensopiva
Injektioneste Gentamicin sulfate 5 mg/ml
Injektioneste Docetaxel 0.9 mg/ml
Glukoosi 5% 1754
Määrittelemätön yhteensopimattomuus yhteensopimaton
Injektioneste Gentamicin sulfate
Injektioneste Dopamine hydrochloride
3638
Yhteensopiva
Injektioneste Gentamicin sulfate 5 mg/ml
Parenteraalisesti (rasva-free) 301
Yhteensopiva
Injektioneste Gentamicin sulfate 5 mg/ml
Injektioneste Doripenem 5 mg/ml
Natriumkloridi 0,9% 2262
Määrittelemätön yhteensopimattomuus yhteensopimaton
Injektioneste Gentamicin sulfate
NaHCO3 3520
Yhteensopiva
Injektioneste Gentamicin sulfate 2 mg/ml
Injektioneste Dopamine hydrochloride 0.8 mg/ml
Glukoosi 5% 738
Kaasukuplien tuotanto yhteensopimaton
Injektioneste Gentamicin sulfate
NaHCO3 3643
Yhteensopiva
Injektioneste Gentamicin sulfate 5 mg/ml
Injektioneste Dexmedetomidine 4 µg/ml
Natriumkloridi 0,9% 1712
Yhteensopiva
Injektioneste Gentamicin sulfate 5 mg/ml
Injektioneste Doripenem 5 mg/ml
Glukoosi 5% 2262
Yhteensopiva
Injektioneste Gentamicin sulfate 5 mg/ml
Parenteraalinen (lipidien) 1415
Yhteensopiva
Injektioneste Gentamicin sulfate 10 mg/ml
Injektioneste Doxapram hydrochloride 2 mg/ml
Glukoosi 5% 1802
Yhteensopiva
Injektioneste Gentamicin sulfate 5 mg/ml
Injektioneste Doxorubicin hydrochloride liposome peg 0.4 mg/ml
Glukoosi 5% 251
Yhteensopiva
Injektioneste Gentamicin sulfate 0.8 mg/ml
Injektioneste Enalaprilate 0.05 mg/ml
Natriumkloridi 0,9% 1315
Määrittelemätön yhteensopimattomuus yhteensopimaton
Injektioneste Gentamicin sulfate
Injektioneste Enoxaparin sodium
3643
Yhteensopiva
Injektioneste Gentamicin sulfate 5 mg/ml
Injektioneste Eravacycline 0,6 mg/ml
Natriumkloridi 0,9% 4434
Määrittelemätön yhteensopimattomuus yhteensopimaton
Injektioneste Gentamicin sulfate
Injektioneste Erythromycin lactobionate
3674
Määrittelemätön yhteensopimattomuus yhteensopimaton
Injektioneste Gentamicin sulfate
Injektioneste Erythromycin lactobionate
3520
Määrittelemätön yhteensopimattomuus yhteensopimaton
Injektioneste Gentamicin sulfate
Injektioneste Erythromycin lactobionate
3643
Yhteensopiva
Injektioneste Gentamicin sulfate 0,8 mg/ml
Injektioneste Esmolol hydrochloride 10 mg/ml
Glukoosi 5% 384
Yhteensopiva
Injektioneste Gentamicin sulfate 5 mg/ml
Injektioneste Etoposide phosphate 5 mg/ml
Glukoosi 5% 1410
Yhteensopiva
Injektioneste Gentamicin sulfate 5 mg/ml
Injektioneste Famotidine 2 mg/ml
Natriumkloridi 0,9% 215
Yhteensopiva
Injektioneste Gentamicin sulfate 0,8 mg/ml
Injektioneste Famotidine
Glukoosi 5% 397
Yhteensopiva
Injektioneste Gentamicin sulfate 5 mg/ml
Injektioneste Fenoldopam mesylate 80 µg/ml
Natriumkloridi 0,9% 1803
Yhteensopiva
Injektioneste Gentamicin sulfate 10 mg/ml
Injektioneste Fentanyl citrate 50 µg/ml
Glukoosi 5% 63
Yhteensopiva
Injektioneste Gentamicin sulfate 1.6 mg/ml
Injektioneste Filgrastim 40 µg/ml
Glukoosi 5% 104
Yhteensopiva
Injektioneste Gentamicin sulfate 5 mg/ml
Injektioneste Filgrastim 30 µg/ml
Glukoosi 5% 244
Määrittelemätön yhteensopimattomuus yhteensopimaton
Injektioneste Gentamicin sulfate
Injektioneste Flucloxacillin sodium
3643
Välittömät sateet yhteensopimaton
Injektioneste Gentamicin sulfate
Injektioneste Flucloxacillin sodium
3522
Yhteensopiva
Injektioneste Gentamicin sulfate 1 mg/ml
Injektioneste Fluconazole 2 mg/ml
Ei mikään 256
Yhteensopiva
Injektioneste Gentamicin sulfate 4 mg/ml
Injektioneste Fluconazole 2 mg/ml
Natriumkloridi 0,9% 496
Yhteensopiva
Injektioneste Gentamicin sulfate 5 mg/ml
Injektioneste Fludarabine phosphate 1 mg/ml
Glukoosi 5% 492
Yhteensopiva
Injektioneste Gentamicin sulfate 2 mg/ml
Injektioneste Foscarnet sodium 24 mg/ml
Natriumkloridi 0,9% 1135
Yhteensopiva
Injektioneste Gentamicin sulfate 2 mg/ml
Injektioneste Foscarnet sodium 24 mg/ml
Glukoosi 5% 1135
Yhteensopiva
Injektioneste Gentamicin sulfate 4 mg/ml
Injektioneste Foscarnet sodium 24 mg/ml
Ei mikään 73
Yhteensopiva
Injektioneste Gentamicin sulfate 10 mg/ml
Ringerlaktaattiliuos 4603
Yhteensopiva
Injektioneste Gentamicin sulfate 5 mg/ml
Injektioneste Fosfomycin 30 mg/ml
Natriumkloridi 0,9% 4055
Välittömät sateet yhteensopimaton
Injektioneste Gentamicin sulfate 0,4 mg/ml
Parenteraalinen (lipidien) 4440
Yhteensopiva
Injektioneste Gentamicin sulfate 40 mg/ml
Parenteraalinen (lipidien) 673
Yhteensopiva
Injektioneste Gentamicin sulfate 5 mg/ml
Injektioneste Fosfomycin 30 mg/ml
Glukoosi 5% 4055
Välittömät sateet yhteensopimaton
Injektioneste Gentamicin sulfate 10 mg/ml
Injektioneste Furosemide 10 mg/ml
789
Välittömät sateet yhteensopimaton
Injektioneste Gentamicin sulfate 1,6 mg/ml
Injektioneste Furosemide 0,8 mg/ml
Glukoosi 5% 367
Välittömät sateet yhteensopimaton
Injektioneste Gentamicin sulfate 1,6 mg/ml
Injektioneste Furosemide 0,8 mg/ml
Natriumkloridi 0,9% 367
Välitön sameus yhteensopimaton
Injektioneste Gentamicin sulfate 6.4 mg/ml
Injektioneste Furosemide 5 mg/ml
805
Sade 2 tunnin kuluttua yhteensopimaton
Injektioneste Gentamicin sulfate 8 mg/ml
Injektioneste Furosemide 1 mg/ml
Natriumkloridi 0,9% 1232
Yhteensopiva
Injektioneste Gentamicin sulfate 5 mg/ml
Injektioneste Gemcitabine hydrochloride 10 mg/ml
Natriumkloridi 0,9% 1423
Yhteensopiva
Injektioneste Gentamicin sulfate 1.5 mg/ml
Injektioneste Granisetron hydrochloride 1 mg/ml
Natriumkloridi 0,9% 57
Yhteensopiva
Injektioneste Gentamicin sulfate 1 & 2 mg/ml
Injektioneste Heparin sodium 2500 UI/ml
4612
Välittömät sateet yhteensopimaton
Injektioneste Gentamicin sulfate 4 >> 40 mg/ml
Injektioneste Heparin sodium 10 >> 40 UI/ml
1258
Välittömät sateet yhteensopimaton
Injektioneste Gentamicin sulfate
Injektioneste Heparin sodium
1022
Määrittelemätön yhteensopimattomuus yhteensopimaton
Injektioneste Gentamicin sulfate 2 mg/ml
Injektioneste Heparin sodium 50 UI/ml
Ei mikään 317
Määrittelemätön yhteensopimattomuus yhteensopimaton
Injektioneste Gentamicin sulfate
Injektioneste Heparin sodium
3643
Määrittelemätön yhteensopimattomuus yhteensopimaton
Injektioneste Gentamicin sulfate
Injektioneste Heparin sodium
3520
Määrittelemätön yhteensopimattomuus yhteensopimaton
Injektioneste Gentamicin sulfate
Injektioneste Heparin sodium
3540
Välitön sameus yhteensopimaton
Injektioneste Gentamicin sulfate 3 mg/ml
Injektioneste Heparin sodium 2500 UI/ml
4612
Välittömät sateet yhteensopimaton
Injektioneste Gentamicin sulfate 4 & 5 mg/ml
Injektioneste Heparin sodium 2500 UI/ml
4612
Yhteensopiva
Injektioneste Gentamicin sulfate 5 mg/ml
Injektioneste Hetastarch 60 mg/ml
spesifiseen liuottimeen 1721
Välittömät sateet yhteensopimaton
Injektioneste Gentamicin sulfate 0.8 mg/ml
Injektioneste Hetastarch 60 mg/ml
Natriumkloridi 0,9% 472
Yhteensopiva
Injektioneste Gentamicin sulfate 0.8 mg/ml
Injektioneste Hydromorphone hydrochloride 0.2 mg/ml
Glukoosi 5% 405
Värinvaihto yhteensopimaton
Injektioneste Gentamicin sulfate 3 mg/ml
Injektioneste Idarubicin hydrochloride 1 mg/ml
Natriumkloridi 0,9% 491
Välittömät sateet yhteensopimaton
Injektioneste Gentamicin sulfate 1 mg/ml
Injektioneste Indomethacin sodium trihydrate 0,5 & 1 mg/ml
Glukoosi 5% 494
Sademäärä 15 minuutin kuluttua yhteensopimaton
Injektioneste Gentamicin sulfate 1 mg/ml
Injektioneste Indomethacin sodium trihydrate 0,5 & 1 mg/ml
Glukoosi 5% 1745
Yhteensopiva
Injektioneste Gentamicin sulfate 1.2 >> 2 mg/ml
Injektioneste Insulin 0.2 UI/ml
Natriumkloridi 0,9% 129
Yhteensopiva
Injektioneste Gentamicin sulfate 0.8 mg/ml
Injektioneste Iohexol 300 mg I/ml
Ei mikään 1085
Välittömät sateet yhteensopimaton
Injektioneste Gentamicin sulfate 0.8 mg/ml
Injektioneste Ioxaglate 320 mg I/ml
Ei mikään 1085
Yhteensopiva
Injektioneste Gentamicin sulfate 5 mg/ml
Injektioneste Isavuconazonium sulfate 1.5 mg/ml
Glukoosi 5% 3829
Yhteensopiva
Injektioneste Gentamicin sulfate 5 mg/ml
Injektioneste Isavuconazonium sulfate 1.5 mg/ml
Natriumkloridi 0,9% 3829
Yhteensopiva
Injektioneste Gentamicin sulfate 40 mg/ml
Injektioneste Ketamine hydrochloride 50 mg/ml
2109
Yhteensopiva
Injektioneste Gentamicin sulfate 0.8 mg/ml
Injektioneste Labetalol hydrochloride 1 mg/ml
Glukoosi 5% 386
Yhteensopiva
Injektioneste Gentamicin sulfate 5 mg/ml
Injektioneste Lansoprazole 0.55 mg/ml
Natriumkloridi 0,9% 1625
Yhteensopiva
Injektioneste Gentamicin sulfate 10 mg/ml
Injektioneste Levofloxacine 5 mg/ml
Glukoosi 5% 1072
Yhteensopiva
Injektioneste Gentamicin sulfate 0,75 mg/ml
Injektioneste Linezolid 1,80 mg/ml
2353
Yhteensopiva
Injektioneste Gentamicin sulfate 5 mg/ml
Injektioneste Linezolid 2 mg/ml
Ei mikään 1925
Yhteensopiva
Injektioneste Gentamicin sulfate 3 mg/ml
Injektioneste Lorazepam 0.33 mg/ml
Natriumkloridi 0,9% 186
Yhteensopiva
Injektioneste Gentamicin sulfate 0.8 mg/ml
Injektioneste Magnesium sulfate 16.67 >> 100 mg/ml
Glukoosi 5% 1047
Yhteensopiva
Injektioneste Gentamicin sulfate 5 mg/ml
Injektioneste Melphalan 0.1 mg/ml
Natriumkloridi 0,9% 169
Yhteensopiva
Injektioneste Gentamicin sulfate 40 mg/ml
Injektioneste Meropenem 50 mg/ml
Injektionesteisiin käytettävä vesi 4319
Yhteensopiva
Injektioneste Gentamicin sulfate 0.8 mg/ml
Injektioneste Meropenem 1 & 20 mg/ml
Natriumkloridi 0,9% 266
Yhteensopiva
Injektioneste Gentamicin sulfate 4 mg/ml
Injektioneste Meropenem 1 & 50 mg/ml
Natriumkloridi 0,9% 266
Yhteensopiva
Injektioneste Gentamicin sulfate 30 mg/ml
Injektioneste Meropenem 10 mg/ml
Natriumkloridi 0,9% 2335
Yhteensopiva
Injektioneste Gentamicin sulfate 0,8 & 1,2 mg/ml
Injektioneste Metronidazole 5 mg/ml
Ei mikään 1243
Yhteensopiva
Injektioneste Gentamicin sulfate 0.8 mg/ml
Injektioneste Metronidazole 5 mg/ml
Ei mikään 1035
Yhteensopiva
Injektioneste Gentamicin sulfate
Injektioneste Metronidazole
3594
Yhteensopiva
Injektioneste Gentamicin sulfate 3 mg/ml
Injektioneste Midazolam hydrochloride 5 mg/ml
Ei mikään 186
Yhteensopiva
Injektioneste Gentamicin sulfate 10 mg/ml
Injektioneste Midazolam hydrochloride 1 mg/ml
Glukoosi 5% 176
Yhteensopiva
Injektioneste Gentamicin sulfate 0.8 mg/ml
Injektioneste Midazolam hydrochloride 0.05 >> 0.4 mg/ml
Natriumkloridi 0,9% 1888
Määrittelemätön yhteensopimattomuus yhteensopimaton
Injektioneste Gentamicin sulfate
Injektioneste Mitomycin
4471
Kemiallinen epävakaus yhteensopimaton
Injektioneste Gentamicin sulfate
Injektioneste Mitomycin
3128
Yhteensopiva
Injektioneste Gentamicin sulfate 1.2 & 2 mg/ml
Injektioneste Morphine sulfate 1 mg/ml
Natriumkloridi 0,9% 406
Yhteensopiva
Injektioneste Gentamicin sulfate 0.8 mg/ml
Injektioneste Morphine sulfate 1 mg/ml
Glukoosi 5% 405
Määrittelemätön yhteensopimattomuus yhteensopimaton
Injektioneste Gentamicin sulfate
Injektioneste Moxalactam
3643
Määrittelemätön yhteensopimattomuus yhteensopimaton
Injektioneste Gentamicin sulfate
Injektioneste Moxalactam
3520
Yhteensopiva
Injektioneste Gentamicin sulfate 40 mg/ml
Injektioneste N-acetylcysteine 200 mg/ml
Ei mikään 3766
Määrittelemätön yhteensopimattomuus yhteensopimaton
Injektioneste Gentamicin sulfate
Injektioneste Nadroparin
3643
Määrittelemätön yhteensopimattomuus yhteensopimaton
Injektioneste Gentamicin sulfate
Injektioneste Nafcillin sodium
3643
Määrittelemätön yhteensopimattomuus yhteensopimaton
Injektioneste Gentamicin sulfate
Injektioneste Nafcillin sodium
3520
Yhteensopiva
Injektioneste Gentamicin sulfate 40 mg/ml
Injektioneste Naloxone hydrochloride 0.4 mg/ml
Ei mikään 3408
Yhteensopiva
Injektioneste Gentamicin sulfate 4.17 mg/ml
Injektioneste Nefopam 0.16 mg/ml
Natriumkloridi 0,9% 4254
Yhteensopiva
Injektioneste Gentamicin sulfate 4.17 mg/ml
Injektioneste Nefopam 0.16 mg/ml
Glukoosi 5% 4254
Yhteensopiva
Injektioneste Gentamicin sulfate 0.8 mg/ml
Injektioneste Nicardipine hydrochloride 0.1 mg/ml
Glukoosi 5% 1490
Yhteensopiva
Injektioneste Gentamicin sulfate 0.8 mg/ml
Injektioneste Nicardipine hydrochloride 0.1 mg/ml
Natriumkloridi 0,9% 1490
Yhteensopiva
Injektioneste Gentamicin sulfate 0,8 mg/ml
Injektioneste Ofloxacin 2 mg/ml
Ei mikään 889
Yhteensopiva
Injektioneste Gentamicin sulfate 5 mg/ml
Injektioneste Ondansetron hydrochloride 1 mg/ml
Natriumkloridi 0,9% 334
Yhteensopiva
Injektioneste Gentamicin sulfate 5 mg/ml
Injektioneste Oritavancin 0.8 >>2 mg/ml
Glukoosi 5% 3152
Määrittelemätön yhteensopimattomuus yhteensopimaton
Injektioneste Gentamicin sulfate
Injektioneste Oxacillin sodium
3643
Määrittelemätön yhteensopimattomuus yhteensopimaton
Injektioneste Gentamicin sulfate
Injektioneste Oxacillin sodium
3520
Yhteensopiva
Injektioneste Gentamicin sulfate 40 mg/ml
Injektioneste Oxycodone hydrochloride 1 mg/ml
Natriumkloridi 0,9% 4842
Yhteensopiva
Injektioneste Gentamicin sulfate 5 mg/ml
Injektioneste Paclitaxel 1.2 mg/ml
Glukoosi 5% 248
Yhteensopiva
Injektioneste Gentamicin sulfate 5 mg/ml
Injektioneste Palonosetron hydrochloride 50 µg/ml
Glukoosi 5% 2228
Yhteensopiva
Injektioneste Gentamicin sulfate 2 mg/ml
Injektioneste Pancuronium bromide 0.05 mg/ml
Glukoosi 5% 402
Välittömät sateet yhteensopimaton
Injektioneste Gentamicin sulfate
Injektioneste Pantoprazole sodium
2090
Yhteensopiva
Injektioneste Gentamicin sulfate 40 mg/ml
Injektioneste Paracetamol 10 mg/ml
4742
Välittömät sateet yhteensopimaton
Injektioneste Gentamicin sulfate 5 mg/ml
Injektioneste Pemetrexed disodium 20 mg/ml
1953
Määrittelemätön yhteensopimattomuus yhteensopimaton
Injektioneste Gentamicin sulfate
Injektioneste Penicillin G potassium
3643
Määrittelemätön yhteensopimattomuus yhteensopimaton
Injektioneste Gentamicin sulfate
Injektioneste Penicillin G potassium
3520
Määrittelemätön yhteensopimattomuus yhteensopimaton
Injektioneste Gentamicin sulfate
Injektioneste Penicillin G sodium
3643
Määrittelemätön yhteensopimattomuus yhteensopimaton
Injektioneste Gentamicin sulfate
Injektioneste Penicillin G sodium
3520
Yhteensopiva
Injektioneste Gentamicin sulfate 10 mg/ml
Injektioneste Pentoxifyllin 5 mg/ml
Natriumkloridi 0,9% 4543
Yhteensopiva
Injektioneste Gentamicin sulfate 0.8 mg/ml
Injektioneste Pethidine hydrochloride 10 mg/ml
Glukoosi 5% 405
Välittömät sateet yhteensopimaton
Injektioneste Gentamicin sulfate 10 mg/ml
Injektioneste Phenytoin sodium 50 mg/ml
789
Yhteensopiva
Injektioneste Gentamicin sulfate 20 mg/ml
Injektioneste Phloroglucinol 2,5 mg/ml
3791
Määrittelemätön yhteensopimattomuus yhteensopimaton
Injektioneste Gentamicin sulfate
Injektioneste Piperacillin sodium
3520
Määrittelemätön yhteensopimattomuus yhteensopimaton
Injektioneste Gentamicin sulfate
Injektioneste Piperacillin sodium
3643
Määrittelemätön yhteensopimattomuus yhteensopimaton
Injektioneste Gentamicin sulfate
Injektioneste Piperacillin sodium / tazobactam
3520
Kemiallinen epävakaus yhteensopimaton
Injektioneste Gentamicin sulfate
Injektioneste Piperacillin sodium / tazobactam
3586
Määrittelemätön yhteensopimattomuus yhteensopimaton
Injektioneste Gentamicin sulfate
Injektioneste Piperacillin sodium / tazobactam
3643
Yhteensopiva
Injektioneste Gentamicin sulfate
Injektioneste Posaconazole
4380
Yhteensopiva
Injektioneste Gentamicin sulfate 30 mg/ml
Injektioneste Potassium chloride 20 mEq/l
Natriumkloridi 0,45% Glukoosi 5% 2335
Emulsion välitön epävakaus yhteensopimaton
Injektioneste Gentamicin sulfate 2 mg/ml
Injektioneste Propofol
660
Määrittelemätön yhteensopimattomuus yhteensopimaton
Injektioneste Gentamicin sulfate 40 mg/ml
Injektioneste Propofol
4524
Välittömät sateet yhteensopimaton
Injektioneste Gentamicin sulfate 5 mg/ml
Injektioneste Propofol 10 mg/ml
Ei mikään 300
Yhteensopiva
Injektioneste Gentamicin sulfate 5 mg/ml
Injektioneste Remifentanil hydrochloride 25 & 250 µg/ml
Natriumkloridi 0,9% 59
Yhteensopiva
Injektioneste Gentamicin sulfate 40 mg/ml
Injektioneste Salbutamol sulfate 1 mg/ml
Ei mikään 3216
Yhteensopiva
Injektioneste Gentamicin sulfate 5 mg/ml
Injektioneste Sargramostim 10 µg/ml
Natriumkloridi 0,9% 335
Yhteensopiva
Injektioneste Gentamicin sulfate 10 mg/ml
Injektioneste Sildenafil citrate 0,6 mg/ml
Glukoosi 5% 4845
Yhteensopiva
Injektioneste Gentamicin sulfate 2,4 mg/ml
Injektioneste Sodium bicarbonate 40 mg/ml
Ei mikään 3122
Kaasukuplien tuotanto yhteensopimaton
Injektioneste Gentamicin sulfate
Injektioneste Sodium bicarbonate
3643
Yhteensopiva
Injektioneste Gentamicin sulfate 2.5 mg/ml
Injektioneste Sodium citrate 40 mg/ml
Injektionesteisiin käytettävä vesi 3952
Yhteensopiva
Injektioneste Gentamicin sulfate 40 mg/ml
Injektioneste Sugammadex 100 mg/ml
Ei mikään 3372
Yhteensopiva
Injektioneste Gentamicin sulfate 5 mg/ml
Injektioneste Sulbactam/durlobactam 15/15 mg/ml
Natriumkloridi 0,9% 4801
Yhteensopiva
Injektioneste Gentamicin sulfate 4 mg/ml
Injektioneste Tacrolimus 1000 µg/ml
Natriumkloridi 0,9% 479
Yhteensopiva
Injektioneste Gentamicin sulfate
Natriumkloridi 0,9% 1704
Yhteensopiva
Injektioneste Gentamicin sulfate
Natriumkloridi 0,9% 434
Määrittelemätön yhteensopimattomuus yhteensopimaton
Injektioneste Gentamicin sulfate
Injektioneste Sodium bicarbonate
3520
Yhteensopiva
Injektioneste Gentamicin sulfate 1 >> 5 mg/ml
Injektioneste Sodium citrate 40 mg/ml
Ei mikään 2019
Välitön sameus yhteensopimaton
Injektioneste Gentamicin sulfate 5 mg/ml
Injektioneste Tedizolid phosphate 0.8 mg/ml
Natriumkloridi 0,9% 3827
Määrittelemätön yhteensopimattomuus yhteensopimaton
Injektioneste Gentamicin sulfate
Injektioneste Teicoplanine
3656
Yhteensopiva
Injektioneste Gentamicin sulfate 5 mg/ml
Injektioneste Telavancin hydrochloride 7.5 mg/ml
Ringerlaktaattiliuos 3254
Yhteensopiva
Injektioneste Gentamicin sulfate 5 mg/ml
Injektioneste Telavancin hydrochloride 7.5 mg/ml
Natriumkloridi 0,9% 3254
Yhteensopiva
Injektioneste Gentamicin sulfate 5 mg/ml
Injektioneste Telavancin hydrochloride 7.5 mg/ml
Glukoosi 5% 3254
Yhteensopiva
Injektioneste Gentamicin sulfate 6 mg/ml
Injektioneste Temocilline 83.33 mg/ml
Injektionesteisiin käytettävä vesi 2231
Määrittelemätön yhteensopimattomuus yhteensopimaton
Injektioneste Gentamicin sulfate
Injektioneste Temocilline
3643
Määrittelemätön yhteensopimattomuus yhteensopimaton
Injektioneste Gentamicin sulfate
Injektioneste Temocilline
3520
Määrittelemätön yhteensopimattomuus yhteensopimaton
Injektioneste Gentamicin sulfate
Injektioneste Temocilline
2296
Yhteensopiva
Injektioneste Gentamicin sulfate 5 mg/ml
Injektioneste Teniposide 0.1 mg/ml
Glukoosi 5% 905
Yhteensopiva
Injektioneste Gentamicin sulfate 2 mg/ml
Injektioneste Theophylline 4 mg/ml
Ei mikään 317
Välittömät sateet yhteensopimaton
Injektioneste Gentamicin sulfate 40 mg/ml
Injektioneste Thiopental sodium 25 mg/ml
Natriumkloridi 0,9% 3767
Yhteensopiva
Injektioneste Gentamicin sulfate 5 mg/ml
Injektioneste Thiotepa 1 mg/ml
Glukoosi 5% 249
Kemiallinen epävakaus yhteensopimaton
Injektioneste Gentamicin sulfate
Injektioneste Ticarcillin / clavulanic acid
3587
Määrittelemätön yhteensopimattomuus yhteensopimaton
Injektioneste Gentamicin sulfate
Injektioneste Ticarcillin / clavulanic acid
3643
Määrittelemätön yhteensopimattomuus yhteensopimaton
Injektioneste Gentamicin sulfate
Injektioneste Ticarcillin / clavulanic acid
3520
Yhteensopiva
Injektioneste Gentamicin sulfate
Injektioneste Tigecycline
Natriumkloridi 0,9% 3332
Yhteensopiva
Injektioneste Gentamicin sulfate 6 mg/ml
Injektioneste Vancomycin hydrochloride 10 mg/ml
Glukoosi 5% 3385
Yhteensopiva
Injektioneste Gentamicin sulfate 1.2 mg/ml
Injektioneste Vasopressin 0.2 UI/ml
Natriumkloridi 0,9% 2017
Yhteensopiva
Injektioneste Gentamicin sulfate 2 mg/ml
Injektioneste Vecuronium bromide 0.1 mg/ml
Glukoosi 5% 402
Yhteensopiva
Injektioneste Gentamicin sulfate 0.16 mg/ml
Injektioneste Verapamil hydrochloride 0.08 mg/ml
Glukoosi 5% 1057
Yhteensopiva
Injektioneste Gentamicin sulfate 0.16 mg/ml
Injektioneste Verapamil hydrochloride 0.08 mg/ml
Natriumkloridi 0,9% 1057
Yhteensopiva
Injektioneste Gentamicin sulfate 5 mg/ml
Injektioneste Vinorelbine tartrate 1 mg/ml
Natriumkloridi 0,9% 84
Välitön sameus yhteensopimaton
Injektioneste Gentamicin sulfate 1.6 mg/ml
Injektioneste Warfarin sodium 2 mg/ml
Glukoosi 5% 315
Yhteensopiva
Injektioneste Gentamicin sulfate 2 mg/ml
Injektioneste Zidovudine 4 mg/ml
Glukoosi 5% 337

  Mentions Légales