Ostatnia aktualizacja :
18/03/2026
Antybiotyk   Gentamicin sulfate  
Injekcje
Krople oczne
Trwałość roztworów Trwałość w mieszaninie Czynnik wpływający na trwałość Zgodność Sposób podania Bibliografia pdf
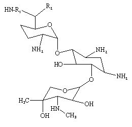
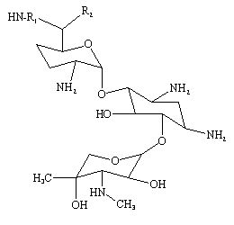
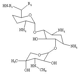
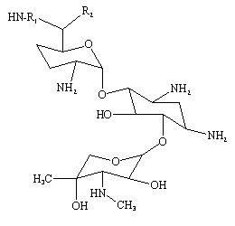
   Struktura chemiczna  

Nazwa handlowa   Nazwa handlowa     

Trade names are indicative and excipients composition can be different depending on the country and manufacturers

Azupel Peru
Cidomycin Egipt, Tunisie, Wielka Brytania
Dabroson Grecja
Epigent Egipt
Garalone Portugalia
Garamicina Brazylia, Ekwador, KolumbiaKolumbia, Meksyk
Garamycin Chorwacja, Dania, Egipt, Grecja, Holandia, Indie, Norwegia, Polska, Szwajcaria, Zjednoczone Emiraty Arabskie
Genmisin Turcja
Gensif Turcja
Gensumycin Finlandia, Norwegia, Szwecja
Genta-Gobens Hiszpania
Gentalline Maroko
Gentamen Maroko
Genticin Irlandia, Wielka Brytania, Zjednoczone Emiraty Arabskie
Gentreks Turcja
Hexamycin Dania
Plurisemina Argentyna
Refobacin Austria, Egipt, KolumbiaKolumbia, Niemcy
Rupegen Argentyna
Zgodność   Injekcje   Zgodność : Gentamicin sulfate              
Ekran ten wskazuje na kompatybilności lub niezgodności z, w tym przypadku, rodzajem niezgodności (strącanie, zmiana koloru, modyfikacja emulsji, itp.). Przedstawione tutaj kompatybilności są głównie fizyczne, a stabilność chemiczna każdej cząsteczki jest rzadko oceniana. Ocenę tych mieszanin badano w celu rozważenia możliwości podania pacjentowi w miejscu Y. Dane te nie mogą być wykorzystywane do sporządzania mieszanin z wyprzedzeniem w workach lub strzykawkach. Tego typu informacje są dostępne na ekranie „Stabilność w mieszaninie”.
Związek Rozpuszczalnik Bibliografia
Zgodny
Injekcje Gentamicin sulfate 1.6 mg/ml
Injekcje Aciclovir sodium 5 mg/ml
Glukoza 5% 336
Natychmiastowe opady Niekompatybilny
Injekcje Gentamicin sulfate 30 mg/ml
Injekcje Aciclovir sodium 5 mg/ml
Chlorek sodu 0,9% 2335
Opady po 1 godzinie Niekompatybilny
Injekcje Gentamicin sulfate 5 mg/ml
Injekcje Allopurinol sodium 3 mg/ml
Chlorek sodu 0,9% 307
Zgodny
Injekcje Gentamicin sulfate 1 mg/ml
Injekcje Alprostadil 15 µg/ml
3201
Zgodny
Injekcje Gentamicin sulfate 5 mg/ml
Injekcje Amifostine 10 mg/ml
Glukoza 5% 3
Zgodny
Injekcje Gentamicin sulfate 0.8 mg/ml
Injekcje Amiodarone hydrochloride 4 mg/ml
Chlorek sodu 0,9% 385
Zgodny
Injekcje Gentamicin sulfate 0.8 mg/ml
Injekcje Amiodarone hydrochloride 4 mg/ml
Glukoza 5% 385
Nieokreślona niezgodność Niekompatybilny
Injekcje Gentamicin sulfate
Injekcje Amoxicillin sodium
3643
Nieokreślona niezgodność Niekompatybilny
Injekcje Gentamicin sulfate
Injekcje Amoxicillin sodium
3520
Niestabilność chemiczna Niekompatybilny
Injekcje Gentamicin sulfate
Injekcje Amoxicillin sodium
3527
Nieokreślona niezgodność Niekompatybilny
Injekcje Gentamicin sulfate
Injekcje Amoxicillin sodium / clavulanic acid
3643
Nieokreślona niezgodność Niekompatybilny
Injekcje Gentamicin sulfate
Injekcje Amoxicillin sodium / clavulanic acid
3545
Nieokreślona niezgodność Niekompatybilny
Injekcje Gentamicin sulfate
Injekcje Amoxicillin sodium / clavulanic acid
3520
Zgodny
Injekcje Gentamicin sulfate 40 mg/ml
Injekcje Amoxicillin sodium / clavulanic acid 100/10 mg/ml
3824
Natychmiastowe opady Niekompatybilny
Injekcje Gentamicin sulfate 5 mg/ml
Injekcje Amphotericin B cholesteryl sulfate complex 0,83 mg/ml
Glukoza 5% 921
Nieokreślona niezgodność Niekompatybilny
Injekcje Gentamicin sulfate
Injekcje Ampicillin sodium
3643
Nieokreślona niezgodność Niekompatybilny
Injekcje Gentamicin sulfate
Injekcje Ampicillin sodium
3520
Nieokreślona niezgodność Niekompatybilny
Injekcje Gentamicin sulfate
Injekcje Ampicillin sodium - sulbactam sodium
3643
Nieokreślona niezgodność Niekompatybilny
Injekcje Gentamicin sulfate
Injekcje Ampicillin sodium - sulbactam sodium
3520
Zgodny
Injekcje Gentamicin sulfate 5 mg/ml
Injekcje Amsacrine 1 mg/ml
Glukoza 5% 253
Zgodny
Injekcje Gentamicin sulfate 5 mg/ml
Injekcje Anidulafungin 0.5 mg/ml
Glukoza 5% 1982
Zgodny
Injekcje Gentamicin sulfate 0,8 mg/ml
Injekcje Atosiban 0,75 mg/ml
4642
Zgodny
Injekcje Gentamicin sulfate 2 mg/ml
Injekcje Atracurium besylate 0.5 mg/ml
Glukoza 5% 402
Natychmiastowe opady Niekompatybilny
Injekcje Gentamicin sulfate 21 mg/ml
Injekcje Azithromycine 2 mg/ml
Chlorek sodu 0,9% 1800
Zgodny
Injekcje Gentamicin sulfate 5 mg/ml
Injekcje Aztreonam 40 mg/ml
Glukoza 5% 99
Zgodny
Injekcje Gentamicin sulfate 0.2 & 0.8 mg/ml
Injekcje Aztreonam 10 & 20 mg/ml
Chlorek sodu 0,9% 19
Zgodny
Injekcje Gentamicin sulfate 0.2 & 0.8 mg/ml
Injekcje Aztreonam 10 & 20 mg/ml
Glukoza 5% 19
Zgodny
Injekcje Gentamicin sulfate 5 mg/ml
Injekcje Bivalirudin 5 mg/ml
Glukoza 5% 1713
Zgodny
Injekcje Gentamicin sulfate 10 mg/ml
Injekcje Caffeine 10 mg/ml
Żaden 3964
Zgodny
Injekcje Gentamicin sulfate 10 mg/ml
Injekcje Caffeine 10 mg/ml
Chlorek sodu 0,9% 4837
Zgodny
Injekcje Gentamicin sulfate 10 mg/ml
Injekcje Caffeine citrate 20 mg/ml
Chlorek sodu 0,9% 4837
Nieokreślona niezgodność Niekompatybilny
Injekcje Gentamicin sulfate
Injekcje Calcium gluconate
3644
Niekompatybilny
Injekcje Gentamicin sulfate
Injekcje Calcium gluconate
4964
Zgodny
Injekcje Gentamicin sulfate 5 mg/ml
Injekcje Caspofungin acetate 0,7 mg/ml
Chlorek sodu 0,9% 2247
Nieokreślona niezgodność Niekompatybilny
Injekcje Gentamicin sulfate
Injekcje Cefalotin sodium
3520
Nieokreślona niezgodność Niekompatybilny
Injekcje Gentamicin sulfate
Injekcje Cefalotin sodium
3643
Natychmiastowe opady Niekompatybilny
Injekcje Gentamicin sulfate
Injekcje Cefamandole nafate 2 >> 100 mg/ml
Glukoza 5% 612
Nieokreślona niezgodność Niekompatybilny
Injekcje Gentamicin sulfate
Injekcje Cefamandole nafate
3643
Nieokreślona niezgodność Niekompatybilny
Injekcje Gentamicin sulfate
Injekcje Cefamandole nafate
3520
Nieokreślona niezgodność Niekompatybilny
Injekcje Gentamicin sulfate
Injekcje Cefamandole nafate
3546
Natychmiastowe opady Niekompatybilny
Injekcje Gentamicin sulfate
Injekcje Cefamandole nafate 2 >> 100 mg/ml
Chlorek sodu 0,9% 612
Nieokreślona niezgodność Niekompatybilny
Injekcje Gentamicin sulfate
Injekcje Cefazolin sodium
3520
Nieokreślona niezgodność Niekompatybilny
Injekcje Gentamicin sulfate
Injekcje Cefazolin sodium
3643
Nieokreślona niezgodność Niekompatybilny
Injekcje Gentamicin sulfate
Injekcje Cefepime dihydrochloride
3520
Zgodny
Injekcje Gentamicin sulfate 6 mg/ml
Injekcje Cefepime dihydrochloride 125 mg/ml
Woda do wstrzyknięć 2141
Nieokreślona niezgodność Niekompatybilny
Injekcje Gentamicin sulfate
Injekcje Cefepime dihydrochloride
3548
Nieokreślona niezgodność Niekompatybilny
Injekcje Gentamicin sulfate
Injekcje Cefepime dihydrochloride
3643
Zgodny
Injekcje Gentamicin sulfate 5 mg/ml
Injekcje Cefiderocol sulfate tosylate 20 mg/mL
Glukoza 5% 4528
Zgodny
Injekcje Gentamicin sulfate 5 mg/ml
Injekcje Cefiderocol sulfate tosylate 20 mg/mL
Chlorek sodu 0,9% 4528
Nieokreślona niezgodność Niekompatybilny
Injekcje Gentamicin sulfate
Injekcje Cefmenoxime
3520
Nieokreślona niezgodność Niekompatybilny
Injekcje Gentamicin sulfate
Injekcje Cefmenoxime
3643
Nieokreślona niezgodność Niekompatybilny
Injekcje Gentamicin sulfate
Injekcje Cefmetazole sodium
3520
Nieokreślona niezgodność Niekompatybilny
Injekcje Gentamicin sulfate
Injekcje Cefmetazole sodium
3643
Nieokreślona niezgodność Niekompatybilny
Injekcje Gentamicin sulfate
Injekcje Cefonicid sodium
3643
Nieokreślona niezgodność Niekompatybilny
Injekcje Gentamicin sulfate
Injekcje Cefonicid sodium
3520
Nieokreślona niezgodność Niekompatybilny
Injekcje Gentamicin sulfate
Injekcje Cefoperazone sodium
3544
Nieokreślona niezgodność Niekompatybilny
Injekcje Gentamicin sulfate
Injekcje Cefoperazone sodium
3643
Natychmiastowe opady Niekompatybilny
Injekcje Gentamicin sulfate 0.8 mg/ml
Injekcje Cefoperazone sodium 10 mg/ml
Glukoza 5% 1206
Nieokreślona niezgodność Niekompatybilny
Injekcje Gentamicin sulfate
Injekcje Cefoperazone sodium
3520
Nieokreślona niezgodność Niekompatybilny
Injekcje Gentamicin sulfate
Injekcje Ceforanide
3643
Nieokreślona niezgodność Niekompatybilny
Injekcje Gentamicin sulfate
Injekcje Ceforanide
3520
Nieokreślona niezgodność Niekompatybilny
Injekcje Gentamicin sulfate
Injekcje Cefotaxime sodium
3520
Nieokreślona niezgodność Niekompatybilny
Injekcje Gentamicin sulfate
Injekcje Cefotaxime sodium
3643
Nieokreślona niezgodność Niekompatybilny
Injekcje Gentamicin sulfate
Injekcje Cefoxitin sodium
3643
Nieokreślona niezgodność Niekompatybilny
Injekcje Gentamicin sulfate
Injekcje Cefoxitin sodium
3520
Zgodny
Injekcje Gentamicin sulfate 1 mg/ml
Injekcje Cefpirome sulfate 50 mg/ml
Chlorek sodu 0,9% 280
Zgodny
Injekcje Gentamicin sulfate 1 mg/ml
Injekcje Cefpirome sulfate 50 mg/ml
Roztwór Ringera z mleczanem sodowym 280
Zgodny
Injekcje Gentamicin sulfate 1 mg/ml
Injekcje Cefpirome sulfate 50 mg/ml
Chlorek sodu 0,45% 280
Nieokreślona niezgodność Niekompatybilny
Injekcje Gentamicin sulfate
Injekcje Cefpirome sulfate
3643
Nieokreślona niezgodność Niekompatybilny
Injekcje Gentamicin sulfate
Injekcje Cefpirome sulfate
3677
Zgodny
Injekcje Gentamicin sulfate 1 mg/ml
Injekcje Cefpirome sulfate 50 mg/ml
Glukoza 5% 280
Nieokreślona niezgodność Niekompatybilny
Injekcje Gentamicin sulfate
Injekcje Cefpirome sulfate
3520
Zgodny
Injekcje Gentamicin sulfate 5 mg/ml
Injekcje Ceftaroline fosamil 2,22 mg/ml
Chlorek sodu 0,9% 3249
Zgodny
Injekcje Gentamicin sulfate 5 mg/ml
Injekcje Ceftaroline fosamil 2,22 mg/ml
Roztwór Ringera z mleczanem sodowym 3249
Zgodny
Injekcje Gentamicin sulfate 5 mg/ml
Injekcje Ceftaroline fosamil 2,22 mg/ml
Glukoza 5% 3249
Nieokreślona niezgodność Niekompatybilny
Injekcje Gentamicin sulfate
Injekcje Ceftaroline fosamil
3643
Nieokreślona niezgodność Niekompatybilny
Injekcje Gentamicin sulfate
Injekcje Ceftaroline fosamil
3520
Nieokreślona niezgodność Niekompatybilny
Injekcje Gentamicin sulfate
Injekcje Ceftazidime
3543
Nieokreślona niezgodność Niekompatybilny
Injekcje Gentamicin sulfate
Injekcje Ceftazidime
3520
Nieokreślona niezgodność Niekompatybilny
Injekcje Gentamicin sulfate
Injekcje Ceftazidime
3643
Zgodny
Injekcje Gentamicin sulfate 6 mg/ml
Injekcje Ceftazidime 125 mg/ml
Woda do wstrzyknięć 2141
Zgodny
Injekcje Gentamicin sulfate 6 mg/ml
Injekcje Ceftazidime 83.3 mg/ml
1759
Nieokreślona niezgodność Niekompatybilny
Injekcje Gentamicin sulfate
Injekcje Ceftazidime
3883
Nieokreślona niezgodność Niekompatybilny
Injekcje Gentamicin sulfate
Injekcje Ceftazidime Avibactam
3520
Nieokreślona niezgodność Niekompatybilny
Injekcje Gentamicin sulfate
Injekcje Ceftazidime Avibactam
3643
Nieokreślona niezgodność Niekompatybilny
Injekcje Gentamicin sulfate
Injekcje Ceftizoxime sodium
3643
Nieokreślona niezgodność Niekompatybilny
Injekcje Gentamicin sulfate
Injekcje Ceftizoxime sodium
3520
Nieokreślona niezgodność Niekompatybilny
Injekcje Gentamicin sulfate
Injekcje Ceftobiprole medocaril sodium
3643
Nieokreślona niezgodność Niekompatybilny
Injekcje Gentamicin sulfate
Injekcje Ceftobiprole medocaril sodium
4650
Natychmiastowe opady Niekompatybilny
Injekcje Gentamicin sulfate 5 mg/ml
Injekcje Ceftobiprole medocaril sodium 2 mg/ml
Glukoza 5% 2269
Natychmiastowe opady Niekompatybilny
Injekcje Gentamicin sulfate 5 mg/ml
Injekcje Ceftobiprole medocaril sodium 2 mg/ml
Roztwór Ringera z mleczanem sodowym 2269
Natychmiastowe opady Niekompatybilny
Injekcje Gentamicin sulfate 5 mg/ml
Injekcje Ceftobiprole medocaril sodium 2 mg/ml
Chlorek sodu 0,9% 2269
Nieokreślona niezgodność Niekompatybilny
Injekcje Gentamicin sulfate
Injekcje Ceftobiprole medocaril sodium
3520
Zgodny
Injekcje Gentamicin sulfate 5 mg/ml
Injekcje Ceftolozane / tazobactam 10/5 mg/ml
Glukoza 5% 3828
Nieokreślona niezgodność Niekompatybilny
Injekcje Gentamicin sulfate
Injekcje Ceftolozane / tazobactam
3643
Nieokreślona niezgodność Niekompatybilny
Injekcje Gentamicin sulfate
Injekcje Ceftolozane / tazobactam
3520
Zgodny
Injekcje Gentamicin sulfate 5 mg/ml
Injekcje Ceftolozane / tazobactam 10/5 mg/ml
Chlorek sodu 0,9% 3828
Nieokreślona niezgodność Niekompatybilny
Injekcje Gentamicin sulfate
Injekcje Ceftriaxone disodium
3523
Nieokreślona niezgodność Niekompatybilny
Injekcje Gentamicin sulfate
Injekcje Ceftriaxone disodium
3643
Nieokreślona niezgodność Niekompatybilny
Injekcje Gentamicin sulfate
Injekcje Ceftriaxone disodium
3520
Nieokreślona niezgodność Niekompatybilny
Injekcje Gentamicin sulfate
Injekcje Cefuroxime sodium
3643
Nieokreślona niezgodność Niekompatybilny
Injekcje Gentamicin sulfate
Injekcje Cefuroxime sodium
3520
Nieokreślona niezgodność Niekompatybilny
Injekcje Gentamicin sulfate
Injekcje Cefuroxime sodium
3687
Nieokreślona niezgodność Niekompatybilny
Injekcje Gentamicin sulfate
Injekcje Cefuzonam
3520
Zgodny
Injekcje Gentamicin sulfate 0.8 mg/ml
Injekcje Cimetidine hydrochloride 3 mg/ml
Glukoza 5% 1201
Zgodny
Injekcje Gentamicin sulfate 0.08 mg/ml
Injekcje Cimetidine hydrochloride 1.2 & 5 mg/ml
Chlorek sodu 0,9% 1201
Zgodny
Injekcje Gentamicin sulfate 0.08 mg/ml
Injekcje Cimetidine hydrochloride 1.2 & 5 mg/ml
Glukoza 5% 1201
Zgodny
Injekcje Gentamicin sulfate 10 mg/ml
Injekcje Ciprofloxacin lactate 2 mg/ml
Chlorek sodu 0,9% 289
Zgodny
Injekcje Gentamicin sulfate 1.6 mg/ml
Injekcje Ciprofloxacin lactate 2 mg/ml
Glukoza 5% 285
Zgodny
Injekcje Gentamicin sulfate 5 mg/ml
Injekcje Cisatracurium besylate 0.1 >> 5 mg/ml
Glukoza 5% 299
Niestabilność chemiczna Niekompatybilny
Injekcje Gentamicin sulfate
Injekcje Cisplatin
3578
Zgodny
Injekcje Gentamicin sulfate 12 mg/ml
Injekcje Clindamycin phosphate 90 mg/ml
Chlorek sodu 0,9% 639
Zgodny
Injekcje Gentamicin sulfate 0.67 mg/ml
Injekcje Clindamycin phosphate 6 mg/ml
Glukoza 5% 423
Zgodny
Injekcje Gentamicin sulfate
Glukoza 5% 434
Nieokreślona niezgodność Niekompatybilny
Injekcje Gentamicin sulfate
Injekcje Cefuzonam
3643
Zgodny
Injekcje Gentamicin sulfate 1 mg/ml
Injekcje Ciprofloxacin lactate 1.5 mg/ml
Chlorek sodu 0,9% 434
Zgodny
Injekcje Gentamicin sulfate 1.6 mg/ml
Injekcje Ciprofloxacin lactate 2 mg/ml
Glukoza 5% 288
Zgodny
Injekcje Gentamicin sulfate 1.6 mg/ml
Injekcje Ciprofloxacin lactate 2 mg/ml
Chlorek sodu 0,9% 288
Zgodny
Injekcje Gentamicin sulfate 1 mg/ml
Injekcje Ciprofloxacin lactate 1.5 mg/ml
Glukoza 5% 434
Zgodny
Injekcje Gentamicin sulfate
Injekcje Clindamycin phosphate
Chlorek sodu 0,9% 3526
Natychmiastowe opady Niekompatybilny
Injekcje Gentamicin sulfate 40 mg/ml
Injekcje Cloxacillin sodium 100 mg/ml
Woda do wstrzyknięć 3012
Zgodny
Injekcje Gentamicin sulfate 15 mg/ml
Injekcje Cytarabine 16 mg/ml
Chlorek sodu 0,9% 132
Niekompatybilny
Injekcje Gentamicin sulfate 2 & 10 mg/ml
Żywienie pozajelitowe (lipidami) 4924
Zgodny
Injekcje Gentamicin sulfate
Injekcje Clindamycin phosphate
Glukoza 5% 3526
Nieokreślona niezgodność Niekompatybilny
Injekcje Gentamicin sulfate
Injekcje Cloxacillin sodium
3520
Nieokreślona niezgodność Niekompatybilny
Injekcje Gentamicin sulfate
Injekcje Cytarabine
3580
Zgodny
Injekcje Gentamicin sulfate 1,5 mg/ml
Injekcje Daptomycin 19,2 mg/ml
Chlorek sodu 0,9% 1937
Zgodny
Injekcje Gentamicin sulfate 0,05 mg/ml
Odżywianie pozajelitowe (mieszanina binarny) 4445
Nieokreślona niezgodność Niekompatybilny
Injekcje Gentamicin sulfate
Injekcje Cloxacillin sodium
3643
Niestabilność emulsji po 4 godzinach Niekompatybilny
Injekcje Gentamicin sulfate 2 mg/ml
Żywienie pozajelitowe (lipidami) 4507
Nieokreślona niezgodność Niekompatybilny
Injekcje Gentamicin sulfate
Injekcje Dalteparin sodium
3643
Zgodny
Injekcje Gentamicin sulfate
Injekcje Daptomycin
2271
Zgodny
Injekcje Gentamicin sulfate 10 mg/ml
Odżywianie pozajelitowe (mieszanina binarny) 316
Zgodny
Injekcje Gentamicin sulfate
Injekcje Dimenhydrinate
2087
Zgodny
Injekcje Gentamicin sulfate 10 & 40 mg/ml
Odżywianie pozajelitowe (mieszanina binarny) 999
Niezgodność wizualna Niekompatybilny
Injekcje Gentamicin sulfate
Injekcje Daunorubicin/cytarabine liposomale
4354
Zgodny
Injekcje Gentamicin sulfate 1 mg/ml
Odżywianie pozajelitowe (mieszanina binarny) 939
Natychmiastowe zmętnienie Niekompatybilny
Injekcje Gentamicin sulfate
Injekcje Daunorubicin/cytarabine liposomale 0,4 mg/mL
Chlorek sodu 0,9% 4654
Zgodny
Injekcje Gentamicin sulfate 0.8 mg/ml
Injekcje Diatrizoate meglumine 283 mg/ml
Żaden 1085
Zgodny
Injekcje Gentamicin sulfate 2.4 & 40 mg/ml
Injekcje Diltiazem hydrochloride 5 mg/ml
Chlorek sodu 0,9% 198
Zgodny
Injekcje Gentamicin sulfate 5 mg/ml
Injekcje Docetaxel 0.9 mg/ml
Glukoza 5% 1754
Nieokreślona niezgodność Niekompatybilny
Injekcje Gentamicin sulfate
Injekcje Dopamine hydrochloride
3638
Zgodny
Injekcje Gentamicin sulfate 5 mg/ml
Odżywianie pozajelitowe (mieszanina binarny) 301
Zgodny
Injekcje Gentamicin sulfate 5 mg/ml
Injekcje Doripenem 5 mg/ml
Chlorek sodu 0,9% 2262
Nieokreślona niezgodność Niekompatybilny
Injekcje Gentamicin sulfate
NaHCO3 3520
Zgodny
Injekcje Gentamicin sulfate 2 mg/ml
Injekcje Dopamine hydrochloride 0.8 mg/ml
Glukoza 5% 738
Produkcja pęcherzyków gazu Niekompatybilny
Injekcje Gentamicin sulfate
NaHCO3 3643
Zgodny
Injekcje Gentamicin sulfate 5 mg/ml
Injekcje Dexmedetomidine 4 µg/ml
Chlorek sodu 0,9% 1712
Zgodny
Injekcje Gentamicin sulfate 5 mg/ml
Injekcje Doripenem 5 mg/ml
Glukoza 5% 2262
Zgodny
Injekcje Gentamicin sulfate 5 mg/ml
Żywienie pozajelitowe (lipidami) 1415
Zgodny
Injekcje Gentamicin sulfate 10 mg/ml
Injekcje Doxapram hydrochloride 2 mg/ml
Glukoza 5% 1802
Zgodny
Injekcje Gentamicin sulfate 5 mg/ml
Injekcje Doxorubicin hydrochloride liposome peg 0.4 mg/ml
Glukoza 5% 251
Zgodny
Injekcje Gentamicin sulfate 0.8 mg/ml
Injekcje Enalaprilate 0.05 mg/ml
Chlorek sodu 0,9% 1315
Nieokreślona niezgodność Niekompatybilny
Injekcje Gentamicin sulfate
Injekcje Enoxaparin sodium
3643
Zgodny
Injekcje Gentamicin sulfate 5 mg/ml
Injekcje Eravacycline 0,6 mg/ml
Chlorek sodu 0,9% 4434
Nieokreślona niezgodność Niekompatybilny
Injekcje Gentamicin sulfate
Injekcje Erythromycin lactobionate
3674
Nieokreślona niezgodność Niekompatybilny
Injekcje Gentamicin sulfate
Injekcje Erythromycin lactobionate
3520
Nieokreślona niezgodność Niekompatybilny
Injekcje Gentamicin sulfate
Injekcje Erythromycin lactobionate
3643
Zgodny
Injekcje Gentamicin sulfate 0,8 mg/ml
Injekcje Esmolol hydrochloride 10 mg/ml
Glukoza 5% 384
Zgodny
Injekcje Gentamicin sulfate 5 mg/ml
Injekcje Etoposide phosphate 5 mg/ml
Glukoza 5% 1410
Zgodny
Injekcje Gentamicin sulfate 5 mg/ml
Injekcje Famotidine 2 mg/ml
Chlorek sodu 0,9% 215
Zgodny
Injekcje Gentamicin sulfate 0,8 mg/ml
Injekcje Famotidine
Glukoza 5% 397
Zgodny
Injekcje Gentamicin sulfate 5 mg/ml
Injekcje Fenoldopam mesylate 80 µg/ml
Chlorek sodu 0,9% 1803
Zgodny
Injekcje Gentamicin sulfate 10 mg/ml
Injekcje Fentanyl citrate 50 µg/ml
Glukoza 5% 63
Zgodny
Injekcje Gentamicin sulfate 1.6 mg/ml
Injekcje Filgrastim 40 µg/ml
Glukoza 5% 104
Zgodny
Injekcje Gentamicin sulfate 5 mg/ml
Injekcje Filgrastim 30 µg/ml
Glukoza 5% 244
Nieokreślona niezgodność Niekompatybilny
Injekcje Gentamicin sulfate
Injekcje Flucloxacillin sodium
3643
Natychmiastowe opady Niekompatybilny
Injekcje Gentamicin sulfate
Injekcje Flucloxacillin sodium
3522
Zgodny
Injekcje Gentamicin sulfate 1 mg/ml
Injekcje Fluconazole 2 mg/ml
Żaden 256
Zgodny
Injekcje Gentamicin sulfate 4 mg/ml
Injekcje Fluconazole 2 mg/ml
Chlorek sodu 0,9% 496
Zgodny
Injekcje Gentamicin sulfate 5 mg/ml
Injekcje Fludarabine phosphate 1 mg/ml
Glukoza 5% 492
Zgodny
Injekcje Gentamicin sulfate 2 mg/ml
Injekcje Foscarnet sodium 24 mg/ml
Chlorek sodu 0,9% 1135
Zgodny
Injekcje Gentamicin sulfate 2 mg/ml
Injekcje Foscarnet sodium 24 mg/ml
Glukoza 5% 1135
Zgodny
Injekcje Gentamicin sulfate 4 mg/ml
Injekcje Foscarnet sodium 24 mg/ml
Żaden 73
Zgodny
Injekcje Gentamicin sulfate 10 mg/ml
Roztwór Ringera z mleczanem sodowym 4603
Zgodny
Injekcje Gentamicin sulfate 5 mg/ml
Injekcje Fosfomycin 30 mg/ml
Chlorek sodu 0,9% 4055
Natychmiastowe opady Niekompatybilny
Injekcje Gentamicin sulfate 0,4 mg/ml
Żywienie pozajelitowe (lipidami) 4440
Zgodny
Injekcje Gentamicin sulfate 40 mg/ml
Żywienie pozajelitowe (lipidami) 673
Zgodny
Injekcje Gentamicin sulfate 5 mg/ml
Injekcje Fosfomycin 30 mg/ml
Glukoza 5% 4055
Natychmiastowe opady Niekompatybilny
Injekcje Gentamicin sulfate 10 mg/ml
Injekcje Furosemide 10 mg/ml
789
Natychmiastowe opady Niekompatybilny
Injekcje Gentamicin sulfate 1,6 mg/ml
Injekcje Furosemide 0,8 mg/ml
Glukoza 5% 367
Natychmiastowe opady Niekompatybilny
Injekcje Gentamicin sulfate 1,6 mg/ml
Injekcje Furosemide 0,8 mg/ml
Chlorek sodu 0,9% 367
Natychmiastowe zmętnienie Niekompatybilny
Injekcje Gentamicin sulfate 6.4 mg/ml
Injekcje Furosemide 5 mg/ml
805
Opady po 2 godzinach Niekompatybilny
Injekcje Gentamicin sulfate 8 mg/ml
Injekcje Furosemide 1 mg/ml
Chlorek sodu 0,9% 1232
Zgodny
Injekcje Gentamicin sulfate 5 mg/ml
Injekcje Gemcitabine hydrochloride 10 mg/ml
Chlorek sodu 0,9% 1423
Zgodny
Injekcje Gentamicin sulfate 1.5 mg/ml
Injekcje Granisetron hydrochloride 1 mg/ml
Chlorek sodu 0,9% 57
Zgodny
Injekcje Gentamicin sulfate 1 & 2 mg/ml
Injekcje Heparin sodium 2500 UI/ml
4612
Natychmiastowe opady Niekompatybilny
Injekcje Gentamicin sulfate 4 >> 40 mg/ml
Injekcje Heparin sodium 10 >> 40 UI/ml
1258
Natychmiastowe opady Niekompatybilny
Injekcje Gentamicin sulfate
Injekcje Heparin sodium
1022
Nieokreślona niezgodność Niekompatybilny
Injekcje Gentamicin sulfate 2 mg/ml
Injekcje Heparin sodium 50 UI/ml
Żaden 317
Nieokreślona niezgodność Niekompatybilny
Injekcje Gentamicin sulfate
Injekcje Heparin sodium
3643
Nieokreślona niezgodność Niekompatybilny
Injekcje Gentamicin sulfate
Injekcje Heparin sodium
3520
Nieokreślona niezgodność Niekompatybilny
Injekcje Gentamicin sulfate
Injekcje Heparin sodium
3540
Natychmiastowe zmętnienie Niekompatybilny
Injekcje Gentamicin sulfate 3 mg/ml
Injekcje Heparin sodium 2500 UI/ml
4612
Natychmiastowe opady Niekompatybilny
Injekcje Gentamicin sulfate 4 & 5 mg/ml
Injekcje Heparin sodium 2500 UI/ml
4612
Zgodny
Injekcje Gentamicin sulfate 5 mg/ml
Injekcje Hetastarch 60 mg/ml
danego rozpuszczalnika 1721
Natychmiastowe opady Niekompatybilny
Injekcje Gentamicin sulfate 0.8 mg/ml
Injekcje Hetastarch 60 mg/ml
Chlorek sodu 0,9% 472
Zgodny
Injekcje Gentamicin sulfate 0.8 mg/ml
Injekcje Hydromorphone hydrochloride 0.2 mg/ml
Glukoza 5% 405
Zmiana koloru Niekompatybilny
Injekcje Gentamicin sulfate 3 mg/ml
Injekcje Idarubicin hydrochloride 1 mg/ml
Chlorek sodu 0,9% 491
Natychmiastowe opady Niekompatybilny
Injekcje Gentamicin sulfate 1 mg/ml
Injekcje Indomethacin sodium trihydrate 0,5 & 1 mg/ml
Glukoza 5% 494
Opad po 15 minutach Niekompatybilny
Injekcje Gentamicin sulfate 1 mg/ml
Injekcje Indomethacin sodium trihydrate 0,5 & 1 mg/ml
Glukoza 5% 1745
Zgodny
Injekcje Gentamicin sulfate 1.2 >> 2 mg/ml
Injekcje Insulin 0.2 UI/ml
Chlorek sodu 0,9% 129
Zgodny
Injekcje Gentamicin sulfate 0.8 mg/ml
Injekcje Iohexol 300 mg I/ml
Żaden 1085
Natychmiastowe opady Niekompatybilny
Injekcje Gentamicin sulfate 0.8 mg/ml
Injekcje Ioxaglate 320 mg I/ml
Żaden 1085
Zgodny
Injekcje Gentamicin sulfate 5 mg/ml
Injekcje Isavuconazonium sulfate 1.5 mg/ml
Glukoza 5% 3829
Zgodny
Injekcje Gentamicin sulfate 5 mg/ml
Injekcje Isavuconazonium sulfate 1.5 mg/ml
Chlorek sodu 0,9% 3829
Zgodny
Injekcje Gentamicin sulfate 40 mg/ml
Injekcje Ketamine hydrochloride 50 mg/ml
2109
Zgodny
Injekcje Gentamicin sulfate 0.8 mg/ml
Injekcje Labetalol hydrochloride 1 mg/ml
Glukoza 5% 386
Zgodny
Injekcje Gentamicin sulfate 5 mg/ml
Injekcje Lansoprazole 0.55 mg/ml
Chlorek sodu 0,9% 1625
Zgodny
Injekcje Gentamicin sulfate 10 mg/ml
Injekcje Levofloxacine 5 mg/ml
Glukoza 5% 1072
Zgodny
Injekcje Gentamicin sulfate 0,75 mg/ml
Injekcje Linezolid 1,80 mg/ml
2353
Zgodny
Injekcje Gentamicin sulfate 5 mg/ml
Injekcje Linezolid 2 mg/ml
Żaden 1925
Zgodny
Injekcje Gentamicin sulfate 3 mg/ml
Injekcje Lorazepam 0.33 mg/ml
Chlorek sodu 0,9% 186
Zgodny
Injekcje Gentamicin sulfate 0.8 mg/ml
Injekcje Magnesium sulfate 16.67 >> 100 mg/ml
Glukoza 5% 1047
Zgodny
Injekcje Gentamicin sulfate 5 mg/ml
Injekcje Melphalan 0.1 mg/ml
Chlorek sodu 0,9% 169
Zgodny
Injekcje Gentamicin sulfate 40 mg/ml
Injekcje Meropenem 50 mg/ml
Woda do wstrzyknięć 4319
Zgodny
Injekcje Gentamicin sulfate 0.8 mg/ml
Injekcje Meropenem 1 & 20 mg/ml
Chlorek sodu 0,9% 266
Zgodny
Injekcje Gentamicin sulfate 4 mg/ml
Injekcje Meropenem 1 & 50 mg/ml
Chlorek sodu 0,9% 266
Zgodny
Injekcje Gentamicin sulfate 30 mg/ml
Injekcje Meropenem 10 mg/ml
Chlorek sodu 0,9% 2335
Zgodny
Injekcje Gentamicin sulfate 0,8 & 1,2 mg/ml
Injekcje Metronidazole 5 mg/ml
Żaden 1243
Zgodny
Injekcje Gentamicin sulfate 0.8 mg/ml
Injekcje Metronidazole 5 mg/ml
Żaden 1035
Zgodny
Injekcje Gentamicin sulfate
Injekcje Metronidazole
3594
Zgodny
Injekcje Gentamicin sulfate 3 mg/ml
Injekcje Midazolam hydrochloride 5 mg/ml
Żaden 186
Zgodny
Injekcje Gentamicin sulfate 10 mg/ml
Injekcje Midazolam hydrochloride 1 mg/ml
Glukoza 5% 176
Zgodny
Injekcje Gentamicin sulfate 0.8 mg/ml
Injekcje Midazolam hydrochloride 0.05 >> 0.4 mg/ml
Chlorek sodu 0,9% 1888
Nieokreślona niezgodność Niekompatybilny
Injekcje Gentamicin sulfate
Injekcje Mitomycin
4471
Niestabilność chemiczna Niekompatybilny
Injekcje Gentamicin sulfate
Injekcje Mitomycin
3128
Zgodny
Injekcje Gentamicin sulfate 1.2 & 2 mg/ml
Injekcje Morphine sulfate 1 mg/ml
Chlorek sodu 0,9% 406
Zgodny
Injekcje Gentamicin sulfate 0.8 mg/ml
Injekcje Morphine sulfate 1 mg/ml
Glukoza 5% 405
Nieokreślona niezgodność Niekompatybilny
Injekcje Gentamicin sulfate
Injekcje Moxalactam
3643
Nieokreślona niezgodność Niekompatybilny
Injekcje Gentamicin sulfate
Injekcje Moxalactam
3520
Zgodny
Injekcje Gentamicin sulfate 40 mg/ml
Injekcje N-acetylcysteine 200 mg/ml
Żaden 3766
Nieokreślona niezgodność Niekompatybilny
Injekcje Gentamicin sulfate
Injekcje Nadroparin
3643
Nieokreślona niezgodność Niekompatybilny
Injekcje Gentamicin sulfate
Injekcje Nafcillin sodium
3643
Nieokreślona niezgodność Niekompatybilny
Injekcje Gentamicin sulfate
Injekcje Nafcillin sodium
3520
Zgodny
Injekcje Gentamicin sulfate 40 mg/ml
Injekcje Naloxone hydrochloride 0.4 mg/ml
Żaden 3408
Zgodny
Injekcje Gentamicin sulfate 4.17 mg/ml
Injekcje Nefopam 0.16 mg/ml
Chlorek sodu 0,9% 4254
Zgodny
Injekcje Gentamicin sulfate 4.17 mg/ml
Injekcje Nefopam 0.16 mg/ml
Glukoza 5% 4254
Zgodny
Injekcje Gentamicin sulfate 0.8 mg/ml
Injekcje Nicardipine hydrochloride 0.1 mg/ml
Glukoza 5% 1490
Zgodny
Injekcje Gentamicin sulfate 0.8 mg/ml
Injekcje Nicardipine hydrochloride 0.1 mg/ml
Chlorek sodu 0,9% 1490
Zgodny
Injekcje Gentamicin sulfate 0,8 mg/ml
Injekcje Ofloxacin 2 mg/ml
Żaden 889
Zgodny
Injekcje Gentamicin sulfate 5 mg/ml
Injekcje Ondansetron hydrochloride 1 mg/ml
Chlorek sodu 0,9% 334
Zgodny
Injekcje Gentamicin sulfate 5 mg/ml
Injekcje Oritavancin 0.8 >>2 mg/ml
Glukoza 5% 3152
Nieokreślona niezgodność Niekompatybilny
Injekcje Gentamicin sulfate
Injekcje Oxacillin sodium
3643
Nieokreślona niezgodność Niekompatybilny
Injekcje Gentamicin sulfate
Injekcje Oxacillin sodium
3520
Zgodny
Injekcje Gentamicin sulfate 40 mg/ml
Injekcje Oxycodone hydrochloride 1 mg/ml
Chlorek sodu 0,9% 4842
Zgodny
Injekcje Gentamicin sulfate 5 mg/ml
Injekcje Paclitaxel 1.2 mg/ml
Glukoza 5% 248
Zgodny
Injekcje Gentamicin sulfate 5 mg/ml
Injekcje Palonosetron hydrochloride 50 µg/ml
Glukoza 5% 2228
Zgodny
Injekcje Gentamicin sulfate 2 mg/ml
Injekcje Pancuronium bromide 0.05 mg/ml
Glukoza 5% 402
Natychmiastowe opady Niekompatybilny
Injekcje Gentamicin sulfate
Injekcje Pantoprazole sodium
2090
Zgodny
Injekcje Gentamicin sulfate 40 mg/ml
Injekcje Paracetamol 10 mg/ml
4742
Natychmiastowe opady Niekompatybilny
Injekcje Gentamicin sulfate 5 mg/ml
Injekcje Pemetrexed disodium 20 mg/ml
1953
Nieokreślona niezgodność Niekompatybilny
Injekcje Gentamicin sulfate
Injekcje Penicillin G potassium
3643
Nieokreślona niezgodność Niekompatybilny
Injekcje Gentamicin sulfate
Injekcje Penicillin G potassium
3520
Nieokreślona niezgodność Niekompatybilny
Injekcje Gentamicin sulfate
Injekcje Penicillin G sodium
3643
Nieokreślona niezgodność Niekompatybilny
Injekcje Gentamicin sulfate
Injekcje Penicillin G sodium
3520
Zgodny
Injekcje Gentamicin sulfate 10 mg/ml
Injekcje Pentoxifyllin 5 mg/ml
Chlorek sodu 0,9% 4543
Zgodny
Injekcje Gentamicin sulfate 0.8 mg/ml
Injekcje Pethidine hydrochloride 10 mg/ml
Glukoza 5% 405
Natychmiastowe opady Niekompatybilny
Injekcje Gentamicin sulfate 10 mg/ml
Injekcje Phenytoin sodium 50 mg/ml
789
Zgodny
Injekcje Gentamicin sulfate 20 mg/ml
Injekcje Phloroglucinol 2,5 mg/ml
3791
Nieokreślona niezgodność Niekompatybilny
Injekcje Gentamicin sulfate
Injekcje Piperacillin sodium
3520
Nieokreślona niezgodność Niekompatybilny
Injekcje Gentamicin sulfate
Injekcje Piperacillin sodium
3643
Nieokreślona niezgodność Niekompatybilny
Injekcje Gentamicin sulfate
Injekcje Piperacillin sodium / tazobactam
3520
Niestabilność chemiczna Niekompatybilny
Injekcje Gentamicin sulfate
Injekcje Piperacillin sodium / tazobactam
3586
Nieokreślona niezgodność Niekompatybilny
Injekcje Gentamicin sulfate
Injekcje Piperacillin sodium / tazobactam
3643
Zgodny
Injekcje Gentamicin sulfate
Injekcje Posaconazole
4380
Zgodny
Injekcje Gentamicin sulfate 30 mg/ml
Injekcje Potassium chloride 20 mEq/l
NaCl 0,45%  glukoza 5% 2335
Natychmiastowa niestabilność emulsji Niekompatybilny
Injekcje Gentamicin sulfate 2 mg/ml
Injekcje Propofol
660
Nieokreślona niezgodność Niekompatybilny
Injekcje Gentamicin sulfate 40 mg/ml
Injekcje Propofol
4524
Natychmiastowe opady Niekompatybilny
Injekcje Gentamicin sulfate 5 mg/ml
Injekcje Propofol 10 mg/ml
Żaden 300
Zgodny
Injekcje Gentamicin sulfate 5 mg/ml
Injekcje Remifentanil hydrochloride 25 & 250 µg/ml
Chlorek sodu 0,9% 59
Zgodny
Injekcje Gentamicin sulfate 40 mg/ml
Injekcje Salbutamol sulfate 1 mg/ml
Żaden 3216
Zgodny
Injekcje Gentamicin sulfate 5 mg/ml
Injekcje Sargramostim 10 µg/ml
Chlorek sodu 0,9% 335
Zgodny
Injekcje Gentamicin sulfate 10 mg/ml
Injekcje Sildenafil citrate 0,6 mg/ml
Glukoza 5% 4845
Zgodny
Injekcje Gentamicin sulfate 2,4 mg/ml
Injekcje Sodium bicarbonate 40 mg/ml
Żaden 3122
Produkcja pęcherzyków gazu Niekompatybilny
Injekcje Gentamicin sulfate
Injekcje Sodium bicarbonate
3643
Zgodny
Injekcje Gentamicin sulfate 2.5 mg/ml
Injekcje Sodium citrate 40 mg/ml
Woda do wstrzyknięć 3952
Zgodny
Injekcje Gentamicin sulfate 40 mg/ml
Injekcje Sugammadex 100 mg/ml
Żaden 3372
Zgodny
Injekcje Gentamicin sulfate 5 mg/ml
Injekcje Sulbactam/durlobactam 15/15 mg/ml
Chlorek sodu 0,9% 4801
Zgodny
Injekcje Gentamicin sulfate 4 mg/ml
Injekcje Tacrolimus 1000 µg/ml
Chlorek sodu 0,9% 479
Zgodny
Injekcje Gentamicin sulfate
Chlorek sodu 0,9% 1704
Zgodny
Injekcje Gentamicin sulfate
Chlorek sodu 0,9% 434
Nieokreślona niezgodność Niekompatybilny
Injekcje Gentamicin sulfate
Injekcje Sodium bicarbonate
3520
Zgodny
Injekcje Gentamicin sulfate 1 >> 5 mg/ml
Injekcje Sodium citrate 40 mg/ml
Żaden 2019
Natychmiastowe zmętnienie Niekompatybilny
Injekcje Gentamicin sulfate 5 mg/ml
Injekcje Tedizolid phosphate 0.8 mg/ml
Chlorek sodu 0,9% 3827
Nieokreślona niezgodność Niekompatybilny
Injekcje Gentamicin sulfate
Injekcje Teicoplanine
3656
Zgodny
Injekcje Gentamicin sulfate 5 mg/ml
Injekcje Telavancin hydrochloride 7.5 mg/ml
Roztwór Ringera z mleczanem sodowym 3254
Zgodny
Injekcje Gentamicin sulfate 5 mg/ml
Injekcje Telavancin hydrochloride 7.5 mg/ml
Chlorek sodu 0,9% 3254
Zgodny
Injekcje Gentamicin sulfate 5 mg/ml
Injekcje Telavancin hydrochloride 7.5 mg/ml
Glukoza 5% 3254
Zgodny
Injekcje Gentamicin sulfate 6 mg/ml
Injekcje Temocilline 83.33 mg/ml
Woda do wstrzyknięć 2231
Nieokreślona niezgodność Niekompatybilny
Injekcje Gentamicin sulfate
Injekcje Temocilline
3643
Nieokreślona niezgodność Niekompatybilny
Injekcje Gentamicin sulfate
Injekcje Temocilline
3520
Nieokreślona niezgodność Niekompatybilny
Injekcje Gentamicin sulfate
Injekcje Temocilline
2296
Zgodny
Injekcje Gentamicin sulfate 5 mg/ml
Injekcje Teniposide 0.1 mg/ml
Glukoza 5% 905
Zgodny
Injekcje Gentamicin sulfate 2 mg/ml
Injekcje Theophylline 4 mg/ml
Żaden 317
Natychmiastowe opady Niekompatybilny
Injekcje Gentamicin sulfate 40 mg/ml
Injekcje Thiopental sodium 25 mg/ml
Chlorek sodu 0,9% 3767
Zgodny
Injekcje Gentamicin sulfate 5 mg/ml
Injekcje Thiotepa 1 mg/ml
Glukoza 5% 249
Niestabilność chemiczna Niekompatybilny
Injekcje Gentamicin sulfate
Injekcje Ticarcillin / clavulanic acid
3587
Nieokreślona niezgodność Niekompatybilny
Injekcje Gentamicin sulfate
Injekcje Ticarcillin / clavulanic acid
3643
Nieokreślona niezgodność Niekompatybilny
Injekcje Gentamicin sulfate
Injekcje Ticarcillin / clavulanic acid
3520
Zgodny
Injekcje Gentamicin sulfate
Injekcje Tigecycline
Chlorek sodu 0,9% 3332
Zgodny
Injekcje Gentamicin sulfate 6 mg/ml
Injekcje Vancomycin hydrochloride 10 mg/ml
Glukoza 5% 3385
Zgodny
Injekcje Gentamicin sulfate 1.2 mg/ml
Injekcje Vasopressin 0.2 UI/ml
Chlorek sodu 0,9% 2017
Zgodny
Injekcje Gentamicin sulfate 2 mg/ml
Injekcje Vecuronium bromide 0.1 mg/ml
Glukoza 5% 402
Zgodny
Injekcje Gentamicin sulfate 0.16 mg/ml
Injekcje Verapamil hydrochloride 0.08 mg/ml
Glukoza 5% 1057
Zgodny
Injekcje Gentamicin sulfate 0.16 mg/ml
Injekcje Verapamil hydrochloride 0.08 mg/ml
Chlorek sodu 0,9% 1057
Zgodny
Injekcje Gentamicin sulfate 5 mg/ml
Injekcje Vinorelbine tartrate 1 mg/ml
Chlorek sodu 0,9% 84
Natychmiastowe zmętnienie Niekompatybilny
Injekcje Gentamicin sulfate 1.6 mg/ml
Injekcje Warfarin sodium 2 mg/ml
Glukoza 5% 315
Zgodny
Injekcje Gentamicin sulfate 2 mg/ml
Injekcje Zidovudine 4 mg/ml
Glukoza 5% 337

  Mentions Légales