Τελευταία ενημέρωση :
18/03/2026
Αντιβιοτικό   Gentamicin sulfate  
Ενέσιμο
Οφθαλμικές σταγόνες
Σταθερότητα διαλυμάτων Σταθερότητα σε μίγματα Παράγοντας που επηρεάζει τη σταθερότητα Συμβατότητες Τρόπος χορήγησης Βιβλιογραφία pdf
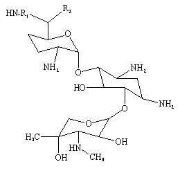
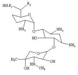
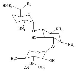
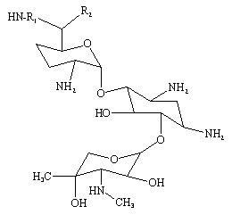
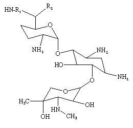
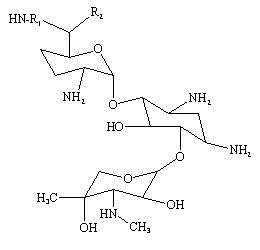
   χημική δομή  

Εμπορική ονομασία   Εμπορική ονομασία     

Οι εμπορικές ονομασίες είναι ενδεικτικές και η σύνθεση των εκδόχων μπορεί να διαφέρει ανάλογα με τη χώρα και τα εργαστήρια

Azupel Περού
Cidomycin Αίγυπτος, Μεγάλη Βρετανία, Τυνησία
Dabroson Ελλάδα
Epigent Αίγυπτος
Garalone Πορτογαλία
Garamicina Βραζιλία, Εκουαδόρ, Κολομβία, Μεξικό
Garamycin Yhdistyneet arabiemiirikunnat, Αίγυπτος, Δανία, Ελβετία, Ελλάδα, Ινδία, Κροατία, Νορβηγία, Ολλανδία, Πολωνία
Genmisin Τουρκία
Gensif Τουρκία
Gensumycin Νορβηγία, Σουηδία, Φινλανδία
Genta-Gobens Ισπανία
Gentalline Μαρόκο
Gentamen Μαρόκο
Genticin Yhdistyneet arabiemiirikunnat, Ιρλανδία, Μεγάλη Βρετανία
Gentreks Τουρκία
Hexamycin Δανία
Plurisemina Αργεντινή
Refobacin Αίγυπτος, Αυστρία, Γερμανία, Κολομβία
Rupegen Αργεντινή
Συμβατότητες    Ενέσιμο   Συμβατότητες : Gentamicin sulfate              
Σε αυτή την οθόνη εμφανίζονται οι συμβατότητες ή ασυμβατότητες. Σε αυτή την περίπτωση εμφανίζονται το είδος της ασυμβατότητας (ίζημα, αλλαγή χρώματος, μεταβολή γαλακτώματος, κλπ). Οι συμβατότητες που παρουσιάζονται εδώ είναι κυρίως φυσικές, ενώ η χημική σταθερότητα κάθε μορίου σπάνια περιλαμβάνεται. Η αξιολόγηση αυτών των μιγμάτων μελετήθηκε προκειμένου να εκτιμηθεί η πιθανότητα χορήγησης στον ασθενή στο Υ κέντρο. Τα δεδομένα αυτά δεν μπορούν να χρησιμοποιηθούν για την εκ των προτέρων δημιουργία μιγμάτων σε ασκούς ή σύριγγες. Αυτό το είδος πληροφορίας υπάρχει και μπορεί να αναζητηθεί στην οθόνη «Σταθερότητα σε μίγμα».
Συστατικό Διαλυτικό Βιβλιογραφία
Σύμφωνος
Ενέσιμο Gentamicin sulfate 1.6 mg/ml
Ενέσιμο Aciclovir sodium 5 mg/ml
Γλυκόζη 5% 336
Άμεση βροχόπτωση Ασύμβατες
Ενέσιμο Gentamicin sulfate 30 mg/ml
Ενέσιμο Aciclovir sodium 5 mg/ml
Χλωριούχο νάτριο 0,9% 2335
Καταβύθιση μετά από 1 ώρα Ασύμβατες
Ενέσιμο Gentamicin sulfate 5 mg/ml
Ενέσιμο Allopurinol sodium 3 mg/ml
Χλωριούχο νάτριο 0,9% 307
Σύμφωνος
Ενέσιμο Gentamicin sulfate 1 mg/ml
Ενέσιμο Alprostadil 15 µg/ml
3201
Σύμφωνος
Ενέσιμο Gentamicin sulfate 5 mg/ml
Ενέσιμο Amifostine 10 mg/ml
Γλυκόζη 5% 3
Σύμφωνος
Ενέσιμο Gentamicin sulfate 0.8 mg/ml
Ενέσιμο Amiodarone hydrochloride 4 mg/ml
Χλωριούχο νάτριο 0,9% 385
Σύμφωνος
Ενέσιμο Gentamicin sulfate 0.8 mg/ml
Ενέσιμο Amiodarone hydrochloride 4 mg/ml
Γλυκόζη 5% 385
Απροσδιόριστη ασυμβατότητα Ασύμβατες
Ενέσιμο Gentamicin sulfate
Ενέσιμο Amoxicillin sodium
3643
Απροσδιόριστη ασυμβατότητα Ασύμβατες
Ενέσιμο Gentamicin sulfate
Ενέσιμο Amoxicillin sodium
3520
Χημική αστάθεια Ασύμβατες
Ενέσιμο Gentamicin sulfate
Ενέσιμο Amoxicillin sodium
3527
Απροσδιόριστη ασυμβατότητα Ασύμβατες
Ενέσιμο Gentamicin sulfate
Ενέσιμο Amoxicillin sodium / clavulanic acid
3643
Απροσδιόριστη ασυμβατότητα Ασύμβατες
Ενέσιμο Gentamicin sulfate
Ενέσιμο Amoxicillin sodium / clavulanic acid
3545
Απροσδιόριστη ασυμβατότητα Ασύμβατες
Ενέσιμο Gentamicin sulfate
Ενέσιμο Amoxicillin sodium / clavulanic acid
3520
Σύμφωνος
Ενέσιμο Gentamicin sulfate 40 mg/ml
Ενέσιμο Amoxicillin sodium / clavulanic acid 100/10 mg/ml
3824
Άμεση βροχόπτωση Ασύμβατες
Ενέσιμο Gentamicin sulfate 5 mg/ml
Ενέσιμο Amphotericin B cholesteryl sulfate complex 0,83 mg/ml
Γλυκόζη 5% 921
Απροσδιόριστη ασυμβατότητα Ασύμβατες
Ενέσιμο Gentamicin sulfate
Ενέσιμο Ampicillin sodium
3643
Απροσδιόριστη ασυμβατότητα Ασύμβατες
Ενέσιμο Gentamicin sulfate
Ενέσιμο Ampicillin sodium
3520
Απροσδιόριστη ασυμβατότητα Ασύμβατες
Ενέσιμο Gentamicin sulfate
Ενέσιμο Ampicillin sodium - sulbactam sodium
3643
Απροσδιόριστη ασυμβατότητα Ασύμβατες
Ενέσιμο Gentamicin sulfate
Ενέσιμο Ampicillin sodium - sulbactam sodium
3520
Σύμφωνος
Ενέσιμο Gentamicin sulfate 5 mg/ml
Ενέσιμο Amsacrine 1 mg/ml
Γλυκόζη 5% 253
Σύμφωνος
Ενέσιμο Gentamicin sulfate 5 mg/ml
Ενέσιμο Anidulafungin 0.5 mg/ml
Γλυκόζη 5% 1982
Σύμφωνος
Ενέσιμο Gentamicin sulfate 0,8 mg/ml
Ενέσιμο Atosiban 0,75 mg/ml
4642
Σύμφωνος
Ενέσιμο Gentamicin sulfate 2 mg/ml
Ενέσιμο Atracurium besylate 0.5 mg/ml
Γλυκόζη 5% 402
Άμεση βροχόπτωση Ασύμβατες
Ενέσιμο Gentamicin sulfate 21 mg/ml
Ενέσιμο Azithromycine 2 mg/ml
Χλωριούχο νάτριο 0,9% 1800
Σύμφωνος
Ενέσιμο Gentamicin sulfate 5 mg/ml
Ενέσιμο Aztreonam 40 mg/ml
Γλυκόζη 5% 99
Σύμφωνος
Ενέσιμο Gentamicin sulfate 0.2 & 0.8 mg/ml
Ενέσιμο Aztreonam 10 & 20 mg/ml
Χλωριούχο νάτριο 0,9% 19
Σύμφωνος
Ενέσιμο Gentamicin sulfate 0.2 & 0.8 mg/ml
Ενέσιμο Aztreonam 10 & 20 mg/ml
Γλυκόζη 5% 19
Σύμφωνος
Ενέσιμο Gentamicin sulfate 5 mg/ml
Ενέσιμο Bivalirudin 5 mg/ml
Γλυκόζη 5% 1713
Σύμφωνος
Ενέσιμο Gentamicin sulfate 10 mg/ml
Ενέσιμο Caffeine 10 mg/ml
Ουδέν 3964
Σύμφωνος
Ενέσιμο Gentamicin sulfate 10 mg/ml
Ενέσιμο Caffeine 10 mg/ml
Χλωριούχο νάτριο 0,9% 4837
Σύμφωνος
Ενέσιμο Gentamicin sulfate 10 mg/ml
Ενέσιμο Caffeine citrate 20 mg/ml
Χλωριούχο νάτριο 0,9% 4837
Απροσδιόριστη ασυμβατότητα Ασύμβατες
Ενέσιμο Gentamicin sulfate
Ενέσιμο Calcium gluconate
3644
Ασύμβατες
Ενέσιμο Gentamicin sulfate
Ενέσιμο Calcium gluconate
4964
Σύμφωνος
Ενέσιμο Gentamicin sulfate 5 mg/ml
Ενέσιμο Caspofungin acetate 0,7 mg/ml
Χλωριούχο νάτριο 0,9% 2247
Απροσδιόριστη ασυμβατότητα Ασύμβατες
Ενέσιμο Gentamicin sulfate
Ενέσιμο Cefalotin sodium
3520
Απροσδιόριστη ασυμβατότητα Ασύμβατες
Ενέσιμο Gentamicin sulfate
Ενέσιμο Cefalotin sodium
3643
Άμεση βροχόπτωση Ασύμβατες
Ενέσιμο Gentamicin sulfate
Ενέσιμο Cefamandole nafate 2 >> 100 mg/ml
Γλυκόζη 5% 612
Απροσδιόριστη ασυμβατότητα Ασύμβατες
Ενέσιμο Gentamicin sulfate
Ενέσιμο Cefamandole nafate
3643
Απροσδιόριστη ασυμβατότητα Ασύμβατες
Ενέσιμο Gentamicin sulfate
Ενέσιμο Cefamandole nafate
3520
Απροσδιόριστη ασυμβατότητα Ασύμβατες
Ενέσιμο Gentamicin sulfate
Ενέσιμο Cefamandole nafate
3546
Άμεση βροχόπτωση Ασύμβατες
Ενέσιμο Gentamicin sulfate
Ενέσιμο Cefamandole nafate 2 >> 100 mg/ml
Χλωριούχο νάτριο 0,9% 612
Απροσδιόριστη ασυμβατότητα Ασύμβατες
Ενέσιμο Gentamicin sulfate
Ενέσιμο Cefazolin sodium
3520
Απροσδιόριστη ασυμβατότητα Ασύμβατες
Ενέσιμο Gentamicin sulfate
Ενέσιμο Cefazolin sodium
3643
Απροσδιόριστη ασυμβατότητα Ασύμβατες
Ενέσιμο Gentamicin sulfate
Ενέσιμο Cefepime dihydrochloride
3520
Σύμφωνος
Ενέσιμο Gentamicin sulfate 6 mg/ml
Ενέσιμο Cefepime dihydrochloride 125 mg/ml
Ενέσιμο ύδωρ 2141
Απροσδιόριστη ασυμβατότητα Ασύμβατες
Ενέσιμο Gentamicin sulfate
Ενέσιμο Cefepime dihydrochloride
3548
Απροσδιόριστη ασυμβατότητα Ασύμβατες
Ενέσιμο Gentamicin sulfate
Ενέσιμο Cefepime dihydrochloride
3643
Σύμφωνος
Ενέσιμο Gentamicin sulfate 5 mg/ml
Ενέσιμο Cefiderocol sulfate tosylate 20 mg/mL
Γλυκόζη 5% 4528
Σύμφωνος
Ενέσιμο Gentamicin sulfate 5 mg/ml
Ενέσιμο Cefiderocol sulfate tosylate 20 mg/mL
Χλωριούχο νάτριο 0,9% 4528
Απροσδιόριστη ασυμβατότητα Ασύμβατες
Ενέσιμο Gentamicin sulfate
Ενέσιμο Cefmenoxime
3520
Απροσδιόριστη ασυμβατότητα Ασύμβατες
Ενέσιμο Gentamicin sulfate
Ενέσιμο Cefmenoxime
3643
Απροσδιόριστη ασυμβατότητα Ασύμβατες
Ενέσιμο Gentamicin sulfate
Ενέσιμο Cefmetazole sodium
3520
Απροσδιόριστη ασυμβατότητα Ασύμβατες
Ενέσιμο Gentamicin sulfate
Ενέσιμο Cefmetazole sodium
3643
Απροσδιόριστη ασυμβατότητα Ασύμβατες
Ενέσιμο Gentamicin sulfate
Ενέσιμο Cefonicid sodium
3643
Απροσδιόριστη ασυμβατότητα Ασύμβατες
Ενέσιμο Gentamicin sulfate
Ενέσιμο Cefonicid sodium
3520
Απροσδιόριστη ασυμβατότητα Ασύμβατες
Ενέσιμο Gentamicin sulfate
Ενέσιμο Cefoperazone sodium
3544
Απροσδιόριστη ασυμβατότητα Ασύμβατες
Ενέσιμο Gentamicin sulfate
Ενέσιμο Cefoperazone sodium
3643
Άμεση βροχόπτωση Ασύμβατες
Ενέσιμο Gentamicin sulfate 0.8 mg/ml
Ενέσιμο Cefoperazone sodium 10 mg/ml
Γλυκόζη 5% 1206
Απροσδιόριστη ασυμβατότητα Ασύμβατες
Ενέσιμο Gentamicin sulfate
Ενέσιμο Cefoperazone sodium
3520
Απροσδιόριστη ασυμβατότητα Ασύμβατες
Ενέσιμο Gentamicin sulfate
Ενέσιμο Ceforanide
3643
Απροσδιόριστη ασυμβατότητα Ασύμβατες
Ενέσιμο Gentamicin sulfate
Ενέσιμο Ceforanide
3520
Απροσδιόριστη ασυμβατότητα Ασύμβατες
Ενέσιμο Gentamicin sulfate
Ενέσιμο Cefotaxime sodium
3520
Απροσδιόριστη ασυμβατότητα Ασύμβατες
Ενέσιμο Gentamicin sulfate
Ενέσιμο Cefotaxime sodium
3643
Απροσδιόριστη ασυμβατότητα Ασύμβατες
Ενέσιμο Gentamicin sulfate
Ενέσιμο Cefoxitin sodium
3643
Απροσδιόριστη ασυμβατότητα Ασύμβατες
Ενέσιμο Gentamicin sulfate
Ενέσιμο Cefoxitin sodium
3520
Σύμφωνος
Ενέσιμο Gentamicin sulfate 1 mg/ml
Ενέσιμο Cefpirome sulfate 50 mg/ml
Χλωριούχο νάτριο 0,9% 280
Σύμφωνος
Ενέσιμο Gentamicin sulfate 1 mg/ml
Ενέσιμο Cefpirome sulfate 50 mg/ml
Γαλακτικό διάλυμα Ringer 280
Σύμφωνος
Ενέσιμο Gentamicin sulfate 1 mg/ml
Ενέσιμο Cefpirome sulfate 50 mg/ml
Χλωριούχο νάτριο 0,45% 280
Απροσδιόριστη ασυμβατότητα Ασύμβατες
Ενέσιμο Gentamicin sulfate
Ενέσιμο Cefpirome sulfate
3643
Απροσδιόριστη ασυμβατότητα Ασύμβατες
Ενέσιμο Gentamicin sulfate
Ενέσιμο Cefpirome sulfate
3677
Σύμφωνος
Ενέσιμο Gentamicin sulfate 1 mg/ml
Ενέσιμο Cefpirome sulfate 50 mg/ml
Γλυκόζη 5% 280
Απροσδιόριστη ασυμβατότητα Ασύμβατες
Ενέσιμο Gentamicin sulfate
Ενέσιμο Cefpirome sulfate
3520
Σύμφωνος
Ενέσιμο Gentamicin sulfate 5 mg/ml
Ενέσιμο Ceftaroline fosamil 2,22 mg/ml
Χλωριούχο νάτριο 0,9% 3249
Σύμφωνος
Ενέσιμο Gentamicin sulfate 5 mg/ml
Ενέσιμο Ceftaroline fosamil 2,22 mg/ml
Γαλακτικό διάλυμα Ringer 3249
Σύμφωνος
Ενέσιμο Gentamicin sulfate 5 mg/ml
Ενέσιμο Ceftaroline fosamil 2,22 mg/ml
Γλυκόζη 5% 3249
Απροσδιόριστη ασυμβατότητα Ασύμβατες
Ενέσιμο Gentamicin sulfate
Ενέσιμο Ceftaroline fosamil
3643
Απροσδιόριστη ασυμβατότητα Ασύμβατες
Ενέσιμο Gentamicin sulfate
Ενέσιμο Ceftaroline fosamil
3520
Απροσδιόριστη ασυμβατότητα Ασύμβατες
Ενέσιμο Gentamicin sulfate
Ενέσιμο Ceftazidime
3543
Απροσδιόριστη ασυμβατότητα Ασύμβατες
Ενέσιμο Gentamicin sulfate
Ενέσιμο Ceftazidime
3520
Απροσδιόριστη ασυμβατότητα Ασύμβατες
Ενέσιμο Gentamicin sulfate
Ενέσιμο Ceftazidime
3643
Σύμφωνος
Ενέσιμο Gentamicin sulfate 6 mg/ml
Ενέσιμο Ceftazidime 125 mg/ml
Ενέσιμο ύδωρ 2141
Σύμφωνος
Ενέσιμο Gentamicin sulfate 6 mg/ml
Ενέσιμο Ceftazidime 83.3 mg/ml
1759
Απροσδιόριστη ασυμβατότητα Ασύμβατες
Ενέσιμο Gentamicin sulfate
Ενέσιμο Ceftazidime
3883
Απροσδιόριστη ασυμβατότητα Ασύμβατες
Ενέσιμο Gentamicin sulfate
Ενέσιμο Ceftazidime Avibactam
3520
Απροσδιόριστη ασυμβατότητα Ασύμβατες
Ενέσιμο Gentamicin sulfate
Ενέσιμο Ceftazidime Avibactam
3643
Απροσδιόριστη ασυμβατότητα Ασύμβατες
Ενέσιμο Gentamicin sulfate
Ενέσιμο Ceftizoxime sodium
3643
Απροσδιόριστη ασυμβατότητα Ασύμβατες
Ενέσιμο Gentamicin sulfate
Ενέσιμο Ceftizoxime sodium
3520
Απροσδιόριστη ασυμβατότητα Ασύμβατες
Ενέσιμο Gentamicin sulfate
Ενέσιμο Ceftobiprole medocaril sodium
3643
Απροσδιόριστη ασυμβατότητα Ασύμβατες
Ενέσιμο Gentamicin sulfate
Ενέσιμο Ceftobiprole medocaril sodium
4650
Άμεση βροχόπτωση Ασύμβατες
Ενέσιμο Gentamicin sulfate 5 mg/ml
Ενέσιμο Ceftobiprole medocaril sodium 2 mg/ml
Γλυκόζη 5% 2269
Άμεση βροχόπτωση Ασύμβατες
Ενέσιμο Gentamicin sulfate 5 mg/ml
Ενέσιμο Ceftobiprole medocaril sodium 2 mg/ml
Γαλακτικό διάλυμα Ringer 2269
Άμεση βροχόπτωση Ασύμβατες
Ενέσιμο Gentamicin sulfate 5 mg/ml
Ενέσιμο Ceftobiprole medocaril sodium 2 mg/ml
Χλωριούχο νάτριο 0,9% 2269
Απροσδιόριστη ασυμβατότητα Ασύμβατες
Ενέσιμο Gentamicin sulfate
Ενέσιμο Ceftobiprole medocaril sodium
3520
Σύμφωνος
Ενέσιμο Gentamicin sulfate 5 mg/ml
Ενέσιμο Ceftolozane / tazobactam 10/5 mg/ml
Γλυκόζη 5% 3828
Απροσδιόριστη ασυμβατότητα Ασύμβατες
Ενέσιμο Gentamicin sulfate
Ενέσιμο Ceftolozane / tazobactam
3643
Απροσδιόριστη ασυμβατότητα Ασύμβατες
Ενέσιμο Gentamicin sulfate
Ενέσιμο Ceftolozane / tazobactam
3520
Σύμφωνος
Ενέσιμο Gentamicin sulfate 5 mg/ml
Ενέσιμο Ceftolozane / tazobactam 10/5 mg/ml
Χλωριούχο νάτριο 0,9% 3828
Απροσδιόριστη ασυμβατότητα Ασύμβατες
Ενέσιμο Gentamicin sulfate
Ενέσιμο Ceftriaxone disodium
3523
Απροσδιόριστη ασυμβατότητα Ασύμβατες
Ενέσιμο Gentamicin sulfate
Ενέσιμο Ceftriaxone disodium
3643
Απροσδιόριστη ασυμβατότητα Ασύμβατες
Ενέσιμο Gentamicin sulfate
Ενέσιμο Ceftriaxone disodium
3520
Απροσδιόριστη ασυμβατότητα Ασύμβατες
Ενέσιμο Gentamicin sulfate
Ενέσιμο Cefuroxime sodium
3643
Απροσδιόριστη ασυμβατότητα Ασύμβατες
Ενέσιμο Gentamicin sulfate
Ενέσιμο Cefuroxime sodium
3520
Απροσδιόριστη ασυμβατότητα Ασύμβατες
Ενέσιμο Gentamicin sulfate
Ενέσιμο Cefuroxime sodium
3687
Απροσδιόριστη ασυμβατότητα Ασύμβατες
Ενέσιμο Gentamicin sulfate
Ενέσιμο Cefuzonam
3520
Σύμφωνος
Ενέσιμο Gentamicin sulfate 0.8 mg/ml
Ενέσιμο Cimetidine hydrochloride 3 mg/ml
Γλυκόζη 5% 1201
Σύμφωνος
Ενέσιμο Gentamicin sulfate 0.08 mg/ml
Ενέσιμο Cimetidine hydrochloride 1.2 & 5 mg/ml
Χλωριούχο νάτριο 0,9% 1201
Σύμφωνος
Ενέσιμο Gentamicin sulfate 0.08 mg/ml
Ενέσιμο Cimetidine hydrochloride 1.2 & 5 mg/ml
Γλυκόζη 5% 1201
Σύμφωνος
Ενέσιμο Gentamicin sulfate 10 mg/ml
Ενέσιμο Ciprofloxacin lactate 2 mg/ml
Χλωριούχο νάτριο 0,9% 289
Σύμφωνος
Ενέσιμο Gentamicin sulfate 1.6 mg/ml
Ενέσιμο Ciprofloxacin lactate 2 mg/ml
Γλυκόζη 5% 285
Σύμφωνος
Ενέσιμο Gentamicin sulfate 5 mg/ml
Ενέσιμο Cisatracurium besylate 0.1 >> 5 mg/ml
Γλυκόζη 5% 299
Χημική αστάθεια Ασύμβατες
Ενέσιμο Gentamicin sulfate
Ενέσιμο Cisplatin
3578
Σύμφωνος
Ενέσιμο Gentamicin sulfate 12 mg/ml
Ενέσιμο Clindamycin phosphate 90 mg/ml
Χλωριούχο νάτριο 0,9% 639
Σύμφωνος
Ενέσιμο Gentamicin sulfate 0.67 mg/ml
Ενέσιμο Clindamycin phosphate 6 mg/ml
Γλυκόζη 5% 423
Σύμφωνος
Ενέσιμο Gentamicin sulfate
Γλυκόζη 5% 434
Απροσδιόριστη ασυμβατότητα Ασύμβατες
Ενέσιμο Gentamicin sulfate
Ενέσιμο Cefuzonam
3643
Σύμφωνος
Ενέσιμο Gentamicin sulfate 1 mg/ml
Ενέσιμο Ciprofloxacin lactate 1.5 mg/ml
Χλωριούχο νάτριο 0,9% 434
Σύμφωνος
Ενέσιμο Gentamicin sulfate 1.6 mg/ml
Ενέσιμο Ciprofloxacin lactate 2 mg/ml
Γλυκόζη 5% 288
Σύμφωνος
Ενέσιμο Gentamicin sulfate 1.6 mg/ml
Ενέσιμο Ciprofloxacin lactate 2 mg/ml
Χλωριούχο νάτριο 0,9% 288
Σύμφωνος
Ενέσιμο Gentamicin sulfate 1 mg/ml
Ενέσιμο Ciprofloxacin lactate 1.5 mg/ml
Γλυκόζη 5% 434
Σύμφωνος
Ενέσιμο Gentamicin sulfate
Ενέσιμο Clindamycin phosphate
Χλωριούχο νάτριο 0,9% 3526
Άμεση βροχόπτωση Ασύμβατες
Ενέσιμο Gentamicin sulfate 40 mg/ml
Ενέσιμο Cloxacillin sodium 100 mg/ml
Ενέσιμο ύδωρ 3012
Σύμφωνος
Ενέσιμο Gentamicin sulfate 15 mg/ml
Ενέσιμο Cytarabine 16 mg/ml
Χλωριούχο νάτριο 0,9% 132
Ασύμβατες
Ενέσιμο Gentamicin sulfate 2 & 10 mg/ml
Παρεντερική διατροφή (με λιπίδια) 4924
Σύμφωνος
Ενέσιμο Gentamicin sulfate
Ενέσιμο Clindamycin phosphate
Γλυκόζη 5% 3526
Απροσδιόριστη ασυμβατότητα Ασύμβατες
Ενέσιμο Gentamicin sulfate
Ενέσιμο Cloxacillin sodium
3520
Απροσδιόριστη ασυμβατότητα Ασύμβατες
Ενέσιμο Gentamicin sulfate
Ενέσιμο Cytarabine
3580
Σύμφωνος
Ενέσιμο Gentamicin sulfate 1,5 mg/ml
Ενέσιμο Daptomycin 19,2 mg/ml
Χλωριούχο νάτριο 0,9% 1937
Σύμφωνος
Ενέσιμο Gentamicin sulfate 0,05 mg/ml
Παρεντερική  θρέψη (ελεύθερο λιπιδίων) 4445
Απροσδιόριστη ασυμβατότητα Ασύμβατες
Ενέσιμο Gentamicin sulfate
Ενέσιμο Cloxacillin sodium
3643
Αστάθεια του γαλακτώματος μετά από 4 ώρες Ασύμβατες
Ενέσιμο Gentamicin sulfate 2 mg/ml
Παρεντερική διατροφή (με λιπίδια) 4507
Απροσδιόριστη ασυμβατότητα Ασύμβατες
Ενέσιμο Gentamicin sulfate
Ενέσιμο Dalteparin sodium
3643
Σύμφωνος
Ενέσιμο Gentamicin sulfate
Ενέσιμο Daptomycin
2271
Σύμφωνος
Ενέσιμο Gentamicin sulfate 10 mg/ml
Παρεντερική  θρέψη (ελεύθερο λιπιδίων) 316
Σύμφωνος
Ενέσιμο Gentamicin sulfate
Ενέσιμο Dimenhydrinate
2087
Σύμφωνος
Ενέσιμο Gentamicin sulfate 10 & 40 mg/ml
Παρεντερική  θρέψη (ελεύθερο λιπιδίων) 999
Υποβιβαστική ασυμβατότητα Ασύμβατες
Ενέσιμο Gentamicin sulfate
Ενέσιμο Daunorubicin/cytarabine liposomale
4354
Σύμφωνος
Ενέσιμο Gentamicin sulfate 1 mg/ml
Παρεντερική  θρέψη (ελεύθερο λιπιδίων) 939
Άμεση θολότητα Ασύμβατες
Ενέσιμο Gentamicin sulfate
Ενέσιμο Daunorubicin/cytarabine liposomale 0,4 mg/mL
Χλωριούχο νάτριο 0,9% 4654
Σύμφωνος
Ενέσιμο Gentamicin sulfate 0.8 mg/ml
Ενέσιμο Diatrizoate meglumine 283 mg/ml
Ουδέν 1085
Σύμφωνος
Ενέσιμο Gentamicin sulfate 2.4 & 40 mg/ml
Ενέσιμο Diltiazem hydrochloride 5 mg/ml
Χλωριούχο νάτριο 0,9% 198
Σύμφωνος
Ενέσιμο Gentamicin sulfate 5 mg/ml
Ενέσιμο Docetaxel 0.9 mg/ml
Γλυκόζη 5% 1754
Απροσδιόριστη ασυμβατότητα Ασύμβατες
Ενέσιμο Gentamicin sulfate
Ενέσιμο Dopamine hydrochloride
3638
Σύμφωνος
Ενέσιμο Gentamicin sulfate 5 mg/ml
Παρεντερική  θρέψη (ελεύθερο λιπιδίων) 301
Σύμφωνος
Ενέσιμο Gentamicin sulfate 5 mg/ml
Ενέσιμο Doripenem 5 mg/ml
Χλωριούχο νάτριο 0,9% 2262
Απροσδιόριστη ασυμβατότητα Ασύμβατες
Ενέσιμο Gentamicin sulfate
NaHCO3 3520
Σύμφωνος
Ενέσιμο Gentamicin sulfate 2 mg/ml
Ενέσιμο Dopamine hydrochloride 0.8 mg/ml
Γλυκόζη 5% 738
Παραγωγή φυσαλίδων αερίου Ασύμβατες
Ενέσιμο Gentamicin sulfate
NaHCO3 3643
Σύμφωνος
Ενέσιμο Gentamicin sulfate 5 mg/ml
Ενέσιμο Dexmedetomidine 4 µg/ml
Χλωριούχο νάτριο 0,9% 1712
Σύμφωνος
Ενέσιμο Gentamicin sulfate 5 mg/ml
Ενέσιμο Doripenem 5 mg/ml
Γλυκόζη 5% 2262
Σύμφωνος
Ενέσιμο Gentamicin sulfate 5 mg/ml
Παρεντερική διατροφή (με λιπίδια) 1415
Σύμφωνος
Ενέσιμο Gentamicin sulfate 10 mg/ml
Ενέσιμο Doxapram hydrochloride 2 mg/ml
Γλυκόζη 5% 1802
Σύμφωνος
Ενέσιμο Gentamicin sulfate 5 mg/ml
Ενέσιμο Doxorubicin hydrochloride liposome peg 0.4 mg/ml
Γλυκόζη 5% 251
Σύμφωνος
Ενέσιμο Gentamicin sulfate 0.8 mg/ml
Ενέσιμο Enalaprilate 0.05 mg/ml
Χλωριούχο νάτριο 0,9% 1315
Απροσδιόριστη ασυμβατότητα Ασύμβατες
Ενέσιμο Gentamicin sulfate
Ενέσιμο Enoxaparin sodium
3643
Σύμφωνος
Ενέσιμο Gentamicin sulfate 5 mg/ml
Ενέσιμο Eravacycline 0,6 mg/ml
Χλωριούχο νάτριο 0,9% 4434
Απροσδιόριστη ασυμβατότητα Ασύμβατες
Ενέσιμο Gentamicin sulfate
Ενέσιμο Erythromycin lactobionate
3674
Απροσδιόριστη ασυμβατότητα Ασύμβατες
Ενέσιμο Gentamicin sulfate
Ενέσιμο Erythromycin lactobionate
3520
Απροσδιόριστη ασυμβατότητα Ασύμβατες
Ενέσιμο Gentamicin sulfate
Ενέσιμο Erythromycin lactobionate
3643
Σύμφωνος
Ενέσιμο Gentamicin sulfate 0,8 mg/ml
Ενέσιμο Esmolol hydrochloride 10 mg/ml
Γλυκόζη 5% 384
Σύμφωνος
Ενέσιμο Gentamicin sulfate 5 mg/ml
Ενέσιμο Etoposide phosphate 5 mg/ml
Γλυκόζη 5% 1410
Σύμφωνος
Ενέσιμο Gentamicin sulfate 5 mg/ml
Ενέσιμο Famotidine 2 mg/ml
Χλωριούχο νάτριο 0,9% 215
Σύμφωνος
Ενέσιμο Gentamicin sulfate 0,8 mg/ml
Ενέσιμο Famotidine
Γλυκόζη 5% 397
Σύμφωνος
Ενέσιμο Gentamicin sulfate 5 mg/ml
Ενέσιμο Fenoldopam mesylate 80 µg/ml
Χλωριούχο νάτριο 0,9% 1803
Σύμφωνος
Ενέσιμο Gentamicin sulfate 10 mg/ml
Ενέσιμο Fentanyl citrate 50 µg/ml
Γλυκόζη 5% 63
Σύμφωνος
Ενέσιμο Gentamicin sulfate 1.6 mg/ml
Ενέσιμο Filgrastim 40 µg/ml
Γλυκόζη 5% 104
Σύμφωνος
Ενέσιμο Gentamicin sulfate 5 mg/ml
Ενέσιμο Filgrastim 30 µg/ml
Γλυκόζη 5% 244
Απροσδιόριστη ασυμβατότητα Ασύμβατες
Ενέσιμο Gentamicin sulfate
Ενέσιμο Flucloxacillin sodium
3643
Άμεση βροχόπτωση Ασύμβατες
Ενέσιμο Gentamicin sulfate
Ενέσιμο Flucloxacillin sodium
3522
Σύμφωνος
Ενέσιμο Gentamicin sulfate 1 mg/ml
Ενέσιμο Fluconazole 2 mg/ml
Ουδέν 256
Σύμφωνος
Ενέσιμο Gentamicin sulfate 4 mg/ml
Ενέσιμο Fluconazole 2 mg/ml
Χλωριούχο νάτριο 0,9% 496
Σύμφωνος
Ενέσιμο Gentamicin sulfate 5 mg/ml
Ενέσιμο Fludarabine phosphate 1 mg/ml
Γλυκόζη 5% 492
Σύμφωνος
Ενέσιμο Gentamicin sulfate 2 mg/ml
Ενέσιμο Foscarnet sodium 24 mg/ml
Χλωριούχο νάτριο 0,9% 1135
Σύμφωνος
Ενέσιμο Gentamicin sulfate 2 mg/ml
Ενέσιμο Foscarnet sodium 24 mg/ml
Γλυκόζη 5% 1135
Σύμφωνος
Ενέσιμο Gentamicin sulfate 4 mg/ml
Ενέσιμο Foscarnet sodium 24 mg/ml
Ουδέν 73
Σύμφωνος
Ενέσιμο Gentamicin sulfate 10 mg/ml
Γαλακτικό διάλυμα Ringer 4603
Σύμφωνος
Ενέσιμο Gentamicin sulfate 5 mg/ml
Ενέσιμο Fosfomycin 30 mg/ml
Χλωριούχο νάτριο 0,9% 4055
Άμεση βροχόπτωση Ασύμβατες
Ενέσιμο Gentamicin sulfate 0,4 mg/ml
Παρεντερική διατροφή (με λιπίδια) 4440
Σύμφωνος
Ενέσιμο Gentamicin sulfate 40 mg/ml
Παρεντερική διατροφή (με λιπίδια) 673
Σύμφωνος
Ενέσιμο Gentamicin sulfate 5 mg/ml
Ενέσιμο Fosfomycin 30 mg/ml
Γλυκόζη 5% 4055
Άμεση βροχόπτωση Ασύμβατες
Ενέσιμο Gentamicin sulfate 10 mg/ml
Ενέσιμο Furosemide 10 mg/ml
789
Άμεση βροχόπτωση Ασύμβατες
Ενέσιμο Gentamicin sulfate 1,6 mg/ml
Ενέσιμο Furosemide 0,8 mg/ml
Γλυκόζη 5% 367
Άμεση βροχόπτωση Ασύμβατες
Ενέσιμο Gentamicin sulfate 1,6 mg/ml
Ενέσιμο Furosemide 0,8 mg/ml
Χλωριούχο νάτριο 0,9% 367
Άμεση θολότητα Ασύμβατες
Ενέσιμο Gentamicin sulfate 6.4 mg/ml
Ενέσιμο Furosemide 5 mg/ml
805
Καταβύθιση μετά από 2 ώρες Ασύμβατες
Ενέσιμο Gentamicin sulfate 8 mg/ml
Ενέσιμο Furosemide 1 mg/ml
Χλωριούχο νάτριο 0,9% 1232
Σύμφωνος
Ενέσιμο Gentamicin sulfate 5 mg/ml
Ενέσιμο Gemcitabine hydrochloride 10 mg/ml
Χλωριούχο νάτριο 0,9% 1423
Σύμφωνος
Ενέσιμο Gentamicin sulfate 1.5 mg/ml
Ενέσιμο Granisetron hydrochloride 1 mg/ml
Χλωριούχο νάτριο 0,9% 57
Σύμφωνος
Ενέσιμο Gentamicin sulfate 1 & 2 mg/ml
Ενέσιμο Heparin sodium 2500 UI/ml
4612
Άμεση βροχόπτωση Ασύμβατες
Ενέσιμο Gentamicin sulfate 4 >> 40 mg/ml
Ενέσιμο Heparin sodium 10 >> 40 UI/ml
1258
Άμεση βροχόπτωση Ασύμβατες
Ενέσιμο Gentamicin sulfate
Ενέσιμο Heparin sodium
1022
Απροσδιόριστη ασυμβατότητα Ασύμβατες
Ενέσιμο Gentamicin sulfate 2 mg/ml
Ενέσιμο Heparin sodium 50 UI/ml
Ουδέν 317
Απροσδιόριστη ασυμβατότητα Ασύμβατες
Ενέσιμο Gentamicin sulfate
Ενέσιμο Heparin sodium
3643
Απροσδιόριστη ασυμβατότητα Ασύμβατες
Ενέσιμο Gentamicin sulfate
Ενέσιμο Heparin sodium
3520
Απροσδιόριστη ασυμβατότητα Ασύμβατες
Ενέσιμο Gentamicin sulfate
Ενέσιμο Heparin sodium
3540
Άμεση θολότητα Ασύμβατες
Ενέσιμο Gentamicin sulfate 3 mg/ml
Ενέσιμο Heparin sodium 2500 UI/ml
4612
Άμεση βροχόπτωση Ασύμβατες
Ενέσιμο Gentamicin sulfate 4 & 5 mg/ml
Ενέσιμο Heparin sodium 2500 UI/ml
4612
Σύμφωνος
Ενέσιμο Gentamicin sulfate 5 mg/ml
Ενέσιμο Hetastarch 60 mg/ml
Ειδικά διαλύτη 1721
Άμεση βροχόπτωση Ασύμβατες
Ενέσιμο Gentamicin sulfate 0.8 mg/ml
Ενέσιμο Hetastarch 60 mg/ml
Χλωριούχο νάτριο 0,9% 472
Σύμφωνος
Ενέσιμο Gentamicin sulfate 0.8 mg/ml
Ενέσιμο Hydromorphone hydrochloride 0.2 mg/ml
Γλυκόζη 5% 405
Αλλαγή χρώματος Ασύμβατες
Ενέσιμο Gentamicin sulfate 3 mg/ml
Ενέσιμο Idarubicin hydrochloride 1 mg/ml
Χλωριούχο νάτριο 0,9% 491
Άμεση βροχόπτωση Ασύμβατες
Ενέσιμο Gentamicin sulfate 1 mg/ml
Ενέσιμο Indomethacin sodium trihydrate 0,5 & 1 mg/ml
Γλυκόζη 5% 494
Βροχόπτωση μετά από 15 λεπτά Ασύμβατες
Ενέσιμο Gentamicin sulfate 1 mg/ml
Ενέσιμο Indomethacin sodium trihydrate 0,5 & 1 mg/ml
Γλυκόζη 5% 1745
Σύμφωνος
Ενέσιμο Gentamicin sulfate 1.2 >> 2 mg/ml
Ενέσιμο Insulin 0.2 UI/ml
Χλωριούχο νάτριο 0,9% 129
Σύμφωνος
Ενέσιμο Gentamicin sulfate 0.8 mg/ml
Ενέσιμο Iohexol 300 mg I/ml
Ουδέν 1085
Άμεση βροχόπτωση Ασύμβατες
Ενέσιμο Gentamicin sulfate 0.8 mg/ml
Ενέσιμο Ioxaglate 320 mg I/ml
Ουδέν 1085
Σύμφωνος
Ενέσιμο Gentamicin sulfate 5 mg/ml
Ενέσιμο Isavuconazonium sulfate 1.5 mg/ml
Γλυκόζη 5% 3829
Σύμφωνος
Ενέσιμο Gentamicin sulfate 5 mg/ml
Ενέσιμο Isavuconazonium sulfate 1.5 mg/ml
Χλωριούχο νάτριο 0,9% 3829
Σύμφωνος
Ενέσιμο Gentamicin sulfate 40 mg/ml
Ενέσιμο Ketamine hydrochloride 50 mg/ml
2109
Σύμφωνος
Ενέσιμο Gentamicin sulfate 0.8 mg/ml
Ενέσιμο Labetalol hydrochloride 1 mg/ml
Γλυκόζη 5% 386
Σύμφωνος
Ενέσιμο Gentamicin sulfate 5 mg/ml
Ενέσιμο Lansoprazole 0.55 mg/ml
Χλωριούχο νάτριο 0,9% 1625
Σύμφωνος
Ενέσιμο Gentamicin sulfate 10 mg/ml
Ενέσιμο Levofloxacine 5 mg/ml
Γλυκόζη 5% 1072
Σύμφωνος
Ενέσιμο Gentamicin sulfate 0,75 mg/ml
Ενέσιμο Linezolid 1,80 mg/ml
2353
Σύμφωνος
Ενέσιμο Gentamicin sulfate 5 mg/ml
Ενέσιμο Linezolid 2 mg/ml
Ουδέν 1925
Σύμφωνος
Ενέσιμο Gentamicin sulfate 3 mg/ml
Ενέσιμο Lorazepam 0.33 mg/ml
Χλωριούχο νάτριο 0,9% 186
Σύμφωνος
Ενέσιμο Gentamicin sulfate 0.8 mg/ml
Ενέσιμο Magnesium sulfate 16.67 >> 100 mg/ml
Γλυκόζη 5% 1047
Σύμφωνος
Ενέσιμο Gentamicin sulfate 5 mg/ml
Ενέσιμο Melphalan 0.1 mg/ml
Χλωριούχο νάτριο 0,9% 169
Σύμφωνος
Ενέσιμο Gentamicin sulfate 40 mg/ml
Ενέσιμο Meropenem 50 mg/ml
Ενέσιμο ύδωρ 4319
Σύμφωνος
Ενέσιμο Gentamicin sulfate 0.8 mg/ml
Ενέσιμο Meropenem 1 & 20 mg/ml
Χλωριούχο νάτριο 0,9% 266
Σύμφωνος
Ενέσιμο Gentamicin sulfate 4 mg/ml
Ενέσιμο Meropenem 1 & 50 mg/ml
Χλωριούχο νάτριο 0,9% 266
Σύμφωνος
Ενέσιμο Gentamicin sulfate 30 mg/ml
Ενέσιμο Meropenem 10 mg/ml
Χλωριούχο νάτριο 0,9% 2335
Σύμφωνος
Ενέσιμο Gentamicin sulfate 0,8 & 1,2 mg/ml
Ενέσιμο Metronidazole 5 mg/ml
Ουδέν 1243
Σύμφωνος
Ενέσιμο Gentamicin sulfate 0.8 mg/ml
Ενέσιμο Metronidazole 5 mg/ml
Ουδέν 1035
Σύμφωνος
Ενέσιμο Gentamicin sulfate
Ενέσιμο Metronidazole
3594
Σύμφωνος
Ενέσιμο Gentamicin sulfate 3 mg/ml
Ενέσιμο Midazolam hydrochloride 5 mg/ml
Ουδέν 186
Σύμφωνος
Ενέσιμο Gentamicin sulfate 10 mg/ml
Ενέσιμο Midazolam hydrochloride 1 mg/ml
Γλυκόζη 5% 176
Σύμφωνος
Ενέσιμο Gentamicin sulfate 0.8 mg/ml
Ενέσιμο Midazolam hydrochloride 0.05 >> 0.4 mg/ml
Χλωριούχο νάτριο 0,9% 1888
Απροσδιόριστη ασυμβατότητα Ασύμβατες
Ενέσιμο Gentamicin sulfate
Ενέσιμο Mitomycin
4471
Χημική αστάθεια Ασύμβατες
Ενέσιμο Gentamicin sulfate
Ενέσιμο Mitomycin
3128
Σύμφωνος
Ενέσιμο Gentamicin sulfate 1.2 & 2 mg/ml
Ενέσιμο Morphine sulfate 1 mg/ml
Χλωριούχο νάτριο 0,9% 406
Σύμφωνος
Ενέσιμο Gentamicin sulfate 0.8 mg/ml
Ενέσιμο Morphine sulfate 1 mg/ml
Γλυκόζη 5% 405
Απροσδιόριστη ασυμβατότητα Ασύμβατες
Ενέσιμο Gentamicin sulfate
Ενέσιμο Moxalactam
3643
Απροσδιόριστη ασυμβατότητα Ασύμβατες
Ενέσιμο Gentamicin sulfate
Ενέσιμο Moxalactam
3520
Σύμφωνος
Ενέσιμο Gentamicin sulfate 40 mg/ml
Ενέσιμο N-acetylcysteine 200 mg/ml
Ουδέν 3766
Απροσδιόριστη ασυμβατότητα Ασύμβατες
Ενέσιμο Gentamicin sulfate
Ενέσιμο Nadroparin
3643
Απροσδιόριστη ασυμβατότητα Ασύμβατες
Ενέσιμο Gentamicin sulfate
Ενέσιμο Nafcillin sodium
3643
Απροσδιόριστη ασυμβατότητα Ασύμβατες
Ενέσιμο Gentamicin sulfate
Ενέσιμο Nafcillin sodium
3520
Σύμφωνος
Ενέσιμο Gentamicin sulfate 40 mg/ml
Ενέσιμο Naloxone hydrochloride 0.4 mg/ml
Ουδέν 3408
Σύμφωνος
Ενέσιμο Gentamicin sulfate 4.17 mg/ml
Ενέσιμο Nefopam 0.16 mg/ml
Χλωριούχο νάτριο 0,9% 4254
Σύμφωνος
Ενέσιμο Gentamicin sulfate 4.17 mg/ml
Ενέσιμο Nefopam 0.16 mg/ml
Γλυκόζη 5% 4254
Σύμφωνος
Ενέσιμο Gentamicin sulfate 0.8 mg/ml
Ενέσιμο Nicardipine hydrochloride 0.1 mg/ml
Γλυκόζη 5% 1490
Σύμφωνος
Ενέσιμο Gentamicin sulfate 0.8 mg/ml
Ενέσιμο Nicardipine hydrochloride 0.1 mg/ml
Χλωριούχο νάτριο 0,9% 1490
Σύμφωνος
Ενέσιμο Gentamicin sulfate 0,8 mg/ml
Ενέσιμο Ofloxacin 2 mg/ml
Ουδέν 889
Σύμφωνος
Ενέσιμο Gentamicin sulfate 5 mg/ml
Ενέσιμο Ondansetron hydrochloride 1 mg/ml
Χλωριούχο νάτριο 0,9% 334
Σύμφωνος
Ενέσιμο Gentamicin sulfate 5 mg/ml
Ενέσιμο Oritavancin 0.8 >>2 mg/ml
Γλυκόζη 5% 3152
Απροσδιόριστη ασυμβατότητα Ασύμβατες
Ενέσιμο Gentamicin sulfate
Ενέσιμο Oxacillin sodium
3643
Απροσδιόριστη ασυμβατότητα Ασύμβατες
Ενέσιμο Gentamicin sulfate
Ενέσιμο Oxacillin sodium
3520
Σύμφωνος
Ενέσιμο Gentamicin sulfate 40 mg/ml
Ενέσιμο Oxycodone hydrochloride 1 mg/ml
Χλωριούχο νάτριο 0,9% 4842
Σύμφωνος
Ενέσιμο Gentamicin sulfate 5 mg/ml
Ενέσιμο Paclitaxel 1.2 mg/ml
Γλυκόζη 5% 248
Σύμφωνος
Ενέσιμο Gentamicin sulfate 5 mg/ml
Ενέσιμο Palonosetron hydrochloride 50 µg/ml
Γλυκόζη 5% 2228
Σύμφωνος
Ενέσιμο Gentamicin sulfate 2 mg/ml
Ενέσιμο Pancuronium bromide 0.05 mg/ml
Γλυκόζη 5% 402
Άμεση βροχόπτωση Ασύμβατες
Ενέσιμο Gentamicin sulfate
Ενέσιμο Pantoprazole sodium
2090
Σύμφωνος
Ενέσιμο Gentamicin sulfate 40 mg/ml
Ενέσιμο Paracetamol 10 mg/ml
4742
Άμεση βροχόπτωση Ασύμβατες
Ενέσιμο Gentamicin sulfate 5 mg/ml
Ενέσιμο Pemetrexed disodium 20 mg/ml
1953
Απροσδιόριστη ασυμβατότητα Ασύμβατες
Ενέσιμο Gentamicin sulfate
Ενέσιμο Penicillin G potassium
3643
Απροσδιόριστη ασυμβατότητα Ασύμβατες
Ενέσιμο Gentamicin sulfate
Ενέσιμο Penicillin G potassium
3520
Απροσδιόριστη ασυμβατότητα Ασύμβατες
Ενέσιμο Gentamicin sulfate
Ενέσιμο Penicillin G sodium
3643
Απροσδιόριστη ασυμβατότητα Ασύμβατες
Ενέσιμο Gentamicin sulfate
Ενέσιμο Penicillin G sodium
3520
Σύμφωνος
Ενέσιμο Gentamicin sulfate 10 mg/ml
Ενέσιμο Pentoxifyllin 5 mg/ml
Χλωριούχο νάτριο 0,9% 4543
Σύμφωνος
Ενέσιμο Gentamicin sulfate 0.8 mg/ml
Ενέσιμο Pethidine hydrochloride 10 mg/ml
Γλυκόζη 5% 405
Άμεση βροχόπτωση Ασύμβατες
Ενέσιμο Gentamicin sulfate 10 mg/ml
Ενέσιμο Phenytoin sodium 50 mg/ml
789
Σύμφωνος
Ενέσιμο Gentamicin sulfate 20 mg/ml
Ενέσιμο Phloroglucinol 2,5 mg/ml
3791
Απροσδιόριστη ασυμβατότητα Ασύμβατες
Ενέσιμο Gentamicin sulfate
Ενέσιμο Piperacillin sodium
3520
Απροσδιόριστη ασυμβατότητα Ασύμβατες
Ενέσιμο Gentamicin sulfate
Ενέσιμο Piperacillin sodium
3643
Απροσδιόριστη ασυμβατότητα Ασύμβατες
Ενέσιμο Gentamicin sulfate
Ενέσιμο Piperacillin sodium / tazobactam
3520
Χημική αστάθεια Ασύμβατες
Ενέσιμο Gentamicin sulfate
Ενέσιμο Piperacillin sodium / tazobactam
3586
Απροσδιόριστη ασυμβατότητα Ασύμβατες
Ενέσιμο Gentamicin sulfate
Ενέσιμο Piperacillin sodium / tazobactam
3643
Σύμφωνος
Ενέσιμο Gentamicin sulfate
Ενέσιμο Posaconazole
4380
Σύμφωνος
Ενέσιμο Gentamicin sulfate 30 mg/ml
Ενέσιμο Potassium chloride 20 mEq/l
NaCl 0,45% Γλυκόζη 5% 2335
Άμεση αστάθεια του γαλακτώματος Ασύμβατες
Ενέσιμο Gentamicin sulfate 2 mg/ml
Ενέσιμο Propofol
660
Απροσδιόριστη ασυμβατότητα Ασύμβατες
Ενέσιμο Gentamicin sulfate 40 mg/ml
Ενέσιμο Propofol
4524
Άμεση βροχόπτωση Ασύμβατες
Ενέσιμο Gentamicin sulfate 5 mg/ml
Ενέσιμο Propofol 10 mg/ml
Ουδέν 300
Σύμφωνος
Ενέσιμο Gentamicin sulfate 5 mg/ml
Ενέσιμο Remifentanil hydrochloride 25 & 250 µg/ml
Χλωριούχο νάτριο 0,9% 59
Σύμφωνος
Ενέσιμο Gentamicin sulfate 40 mg/ml
Ενέσιμο Salbutamol sulfate 1 mg/ml
Ουδέν 3216
Σύμφωνος
Ενέσιμο Gentamicin sulfate 5 mg/ml
Ενέσιμο Sargramostim 10 µg/ml
Χλωριούχο νάτριο 0,9% 335
Σύμφωνος
Ενέσιμο Gentamicin sulfate 10 mg/ml
Ενέσιμο Sildenafil citrate 0,6 mg/ml
Γλυκόζη 5% 4845
Σύμφωνος
Ενέσιμο Gentamicin sulfate 2,4 mg/ml
Ενέσιμο Sodium bicarbonate 40 mg/ml
Ουδέν 3122
Παραγωγή φυσαλίδων αερίου Ασύμβατες
Ενέσιμο Gentamicin sulfate
Ενέσιμο Sodium bicarbonate
3643
Σύμφωνος
Ενέσιμο Gentamicin sulfate 2.5 mg/ml
Ενέσιμο Sodium citrate 40 mg/ml
Ενέσιμο ύδωρ 3952
Σύμφωνος
Ενέσιμο Gentamicin sulfate 40 mg/ml
Ενέσιμο Sugammadex 100 mg/ml
Ουδέν 3372
Σύμφωνος
Ενέσιμο Gentamicin sulfate 5 mg/ml
Ενέσιμο Sulbactam/durlobactam 15/15 mg/ml
Χλωριούχο νάτριο 0,9% 4801
Σύμφωνος
Ενέσιμο Gentamicin sulfate 4 mg/ml
Ενέσιμο Tacrolimus 1000 µg/ml
Χλωριούχο νάτριο 0,9% 479
Σύμφωνος
Ενέσιμο Gentamicin sulfate
Χλωριούχο νάτριο 0,9% 1704
Σύμφωνος
Ενέσιμο Gentamicin sulfate
Χλωριούχο νάτριο 0,9% 434
Απροσδιόριστη ασυμβατότητα Ασύμβατες
Ενέσιμο Gentamicin sulfate
Ενέσιμο Sodium bicarbonate
3520
Σύμφωνος
Ενέσιμο Gentamicin sulfate 1 >> 5 mg/ml
Ενέσιμο Sodium citrate 40 mg/ml
Ουδέν 2019
Άμεση θολότητα Ασύμβατες
Ενέσιμο Gentamicin sulfate 5 mg/ml
Ενέσιμο Tedizolid phosphate 0.8 mg/ml
Χλωριούχο νάτριο 0,9% 3827
Απροσδιόριστη ασυμβατότητα Ασύμβατες
Ενέσιμο Gentamicin sulfate
Ενέσιμο Teicoplanine
3656
Σύμφωνος
Ενέσιμο Gentamicin sulfate 5 mg/ml
Ενέσιμο Telavancin hydrochloride 7.5 mg/ml
Γαλακτικό διάλυμα Ringer 3254
Σύμφωνος
Ενέσιμο Gentamicin sulfate 5 mg/ml
Ενέσιμο Telavancin hydrochloride 7.5 mg/ml
Χλωριούχο νάτριο 0,9% 3254
Σύμφωνος
Ενέσιμο Gentamicin sulfate 5 mg/ml
Ενέσιμο Telavancin hydrochloride 7.5 mg/ml
Γλυκόζη 5% 3254
Σύμφωνος
Ενέσιμο Gentamicin sulfate 6 mg/ml
Ενέσιμο Temocilline 83.33 mg/ml
Ενέσιμο ύδωρ 2231
Απροσδιόριστη ασυμβατότητα Ασύμβατες
Ενέσιμο Gentamicin sulfate
Ενέσιμο Temocilline
3643
Απροσδιόριστη ασυμβατότητα Ασύμβατες
Ενέσιμο Gentamicin sulfate
Ενέσιμο Temocilline
3520
Απροσδιόριστη ασυμβατότητα Ασύμβατες
Ενέσιμο Gentamicin sulfate
Ενέσιμο Temocilline
2296
Σύμφωνος
Ενέσιμο Gentamicin sulfate 5 mg/ml
Ενέσιμο Teniposide 0.1 mg/ml
Γλυκόζη 5% 905
Σύμφωνος
Ενέσιμο Gentamicin sulfate 2 mg/ml
Ενέσιμο Theophylline 4 mg/ml
Ουδέν 317
Άμεση βροχόπτωση Ασύμβατες
Ενέσιμο Gentamicin sulfate 40 mg/ml
Ενέσιμο Thiopental sodium 25 mg/ml
Χλωριούχο νάτριο 0,9% 3767
Σύμφωνος
Ενέσιμο Gentamicin sulfate 5 mg/ml
Ενέσιμο Thiotepa 1 mg/ml
Γλυκόζη 5% 249
Χημική αστάθεια Ασύμβατες
Ενέσιμο Gentamicin sulfate
Ενέσιμο Ticarcillin / clavulanic acid
3587
Απροσδιόριστη ασυμβατότητα Ασύμβατες
Ενέσιμο Gentamicin sulfate
Ενέσιμο Ticarcillin / clavulanic acid
3643
Απροσδιόριστη ασυμβατότητα Ασύμβατες
Ενέσιμο Gentamicin sulfate
Ενέσιμο Ticarcillin / clavulanic acid
3520
Σύμφωνος
Ενέσιμο Gentamicin sulfate
Ενέσιμο Tigecycline
Χλωριούχο νάτριο 0,9% 3332
Σύμφωνος
Ενέσιμο Gentamicin sulfate 6 mg/ml
Ενέσιμο Vancomycin hydrochloride 10 mg/ml
Γλυκόζη 5% 3385
Σύμφωνος
Ενέσιμο Gentamicin sulfate 1.2 mg/ml
Ενέσιμο Vasopressin 0.2 UI/ml
Χλωριούχο νάτριο 0,9% 2017
Σύμφωνος
Ενέσιμο Gentamicin sulfate 2 mg/ml
Ενέσιμο Vecuronium bromide 0.1 mg/ml
Γλυκόζη 5% 402
Σύμφωνος
Ενέσιμο Gentamicin sulfate 0.16 mg/ml
Ενέσιμο Verapamil hydrochloride 0.08 mg/ml
Γλυκόζη 5% 1057
Σύμφωνος
Ενέσιμο Gentamicin sulfate 0.16 mg/ml
Ενέσιμο Verapamil hydrochloride 0.08 mg/ml
Χλωριούχο νάτριο 0,9% 1057
Σύμφωνος
Ενέσιμο Gentamicin sulfate 5 mg/ml
Ενέσιμο Vinorelbine tartrate 1 mg/ml
Χλωριούχο νάτριο 0,9% 84
Άμεση θολότητα Ασύμβατες
Ενέσιμο Gentamicin sulfate 1.6 mg/ml
Ενέσιμο Warfarin sodium 2 mg/ml
Γλυκόζη 5% 315
Σύμφωνος
Ενέσιμο Gentamicin sulfate 2 mg/ml
Ενέσιμο Zidovudine 4 mg/ml
Γλυκόζη 5% 337

  Mentions Légales