Ultimele actualizari :
18/03/2026
Antibiotic   Gentamicin sulfate  
Injectabil
colir
Stabilitatea in solutie Stabilitatea in amestec Factorii care influenteaza stabilitatea Compatibilitate Microunde Bibliografie pdf
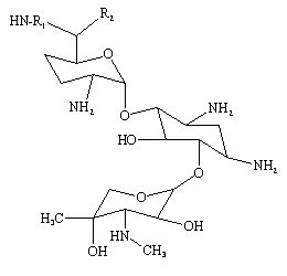
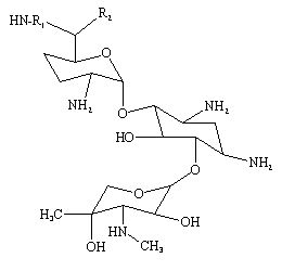
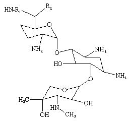
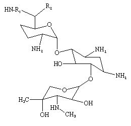
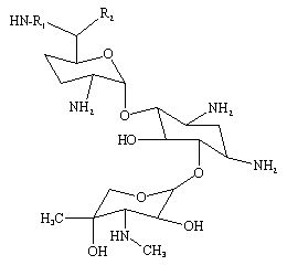
   Formula chimica  

Denumirea comerciala   Denumirea comerciala     

Trade names are indicative and excipients composition can be different depending on the country and manufacturers

Azupel Peru
Cidomycin Egipt, Marea Britanie, Tunisia
Dabroson Grecia
Epigent Egipt
Garalone Portugalia
Garamicina Brazilia, Columbia, Ecuador, Mexic
Garamycin Croatia, Danemarca, Egipt, Elvetia, Emiratele Arabe Unite, Grecia, India, Norvegia, Olanda, Polonia
Genmisin Turcia
Gensif Turcia
Gensumycin Finlanda, Norvegia, Suedia
Genta-Gobens Spania
Gentalline Maroc
Gentamen Maroc
Genticin Emiratele Arabe Unite, Irlanda, Marea Britanie
Gentreks Turcia
Hexamycin Danemarca
Plurisemina Argentina
Refobacin Austria, Columbia, Egipt, Germania
Rupegen Argentina
Compatibilitate   Injectabil   Compatibilitate : Gentamicin sulfate              
Acest ecran indică compatibilitățile sau incompatibilitățile cu, în acest caz, tipul de incompatibilitate (precipitații, schimbarea culorii, modificarea unei emulsii etc.). Compatibilitățile prezentate aici sunt în mare parte numai fizice, stabilitatea chimică a fiecărei molecule fiind rareori evaluată. Evaluarea acestor amestecuri a fost studiată pentru a lua în considerare posibilitatea administrării site-ului Y la pacient. Aceste date nu pot fi utilizate pentru prepararea în prealabil a amestecurilor în pungi sau seringi. Acest tip de informații este disponibil în ecranul „Stabilitate în amestec».
Molecula (substanta activa) Solvent Bibiografie
Compatibil
Injectabil Gentamicin sulfate 1.6 mg/ml
Injectabil Aciclovir sodium 5 mg/ml
Glucoza 5% 336
Precipitații imediate Incompatibil
Injectabil Gentamicin sulfate 30 mg/ml
Injectabil Aciclovir sodium 5 mg/ml
clorura de sodiu 0,9% 2335
Precipitații după 1 oră Incompatibil
Injectabil Gentamicin sulfate 5 mg/ml
Injectabil Allopurinol sodium 3 mg/ml
clorura de sodiu 0,9% 307
Compatibil
Injectabil Gentamicin sulfate 1 mg/ml
Injectabil Alprostadil 15 µg/ml
3201
Compatibil
Injectabil Gentamicin sulfate 5 mg/ml
Injectabil Amifostine 10 mg/ml
Glucoza 5% 3
Compatibil
Injectabil Gentamicin sulfate 0.8 mg/ml
Injectabil Amiodarone hydrochloride 4 mg/ml
clorura de sodiu 0,9% 385
Compatibil
Injectabil Gentamicin sulfate 0.8 mg/ml
Injectabil Amiodarone hydrochloride 4 mg/ml
Glucoza 5% 385
Incompatibilitate nespecificată Incompatibil
Injectabil Gentamicin sulfate
Injectabil Amoxicillin sodium
3643
Incompatibilitate nespecificată Incompatibil
Injectabil Gentamicin sulfate
Injectabil Amoxicillin sodium
3520
Instabilitate chimică Incompatibil
Injectabil Gentamicin sulfate
Injectabil Amoxicillin sodium
3527
Incompatibilitate nespecificată Incompatibil
Injectabil Gentamicin sulfate
Injectabil Amoxicillin sodium / clavulanic acid
3643
Incompatibilitate nespecificată Incompatibil
Injectabil Gentamicin sulfate
Injectabil Amoxicillin sodium / clavulanic acid
3545
Incompatibilitate nespecificată Incompatibil
Injectabil Gentamicin sulfate
Injectabil Amoxicillin sodium / clavulanic acid
3520
Compatibil
Injectabil Gentamicin sulfate 40 mg/ml
Injectabil Amoxicillin sodium / clavulanic acid 100/10 mg/ml
3824
Precipitații imediate Incompatibil
Injectabil Gentamicin sulfate 5 mg/ml
Injectabil Amphotericin B cholesteryl sulfate complex 0,83 mg/ml
Glucoza 5% 921
Incompatibilitate nespecificată Incompatibil
Injectabil Gentamicin sulfate
Injectabil Ampicillin sodium
3643
Incompatibilitate nespecificată Incompatibil
Injectabil Gentamicin sulfate
Injectabil Ampicillin sodium
3520
Incompatibilitate nespecificată Incompatibil
Injectabil Gentamicin sulfate
Injectabil Ampicillin sodium - sulbactam sodium
3643
Incompatibilitate nespecificată Incompatibil
Injectabil Gentamicin sulfate
Injectabil Ampicillin sodium - sulbactam sodium
3520
Compatibil
Injectabil Gentamicin sulfate 5 mg/ml
Injectabil Amsacrine 1 mg/ml
Glucoza 5% 253
Compatibil
Injectabil Gentamicin sulfate 5 mg/ml
Injectabil Anidulafungin 0.5 mg/ml
Glucoza 5% 1982
Compatibil
Injectabil Gentamicin sulfate 0,8 mg/ml
Injectabil Atosiban 0,75 mg/ml
4642
Compatibil
Injectabil Gentamicin sulfate 2 mg/ml
Injectabil Atracurium besylate 0.5 mg/ml
Glucoza 5% 402
Precipitații imediate Incompatibil
Injectabil Gentamicin sulfate 21 mg/ml
Injectabil Azithromycine 2 mg/ml
clorura de sodiu 0,9% 1800
Compatibil
Injectabil Gentamicin sulfate 5 mg/ml
Injectabil Aztreonam 40 mg/ml
Glucoza 5% 99
Compatibil
Injectabil Gentamicin sulfate 0.2 & 0.8 mg/ml
Injectabil Aztreonam 10 & 20 mg/ml
clorura de sodiu 0,9% 19
Compatibil
Injectabil Gentamicin sulfate 0.2 & 0.8 mg/ml
Injectabil Aztreonam 10 & 20 mg/ml
Glucoza 5% 19
Compatibil
Injectabil Gentamicin sulfate 5 mg/ml
Injectabil Bivalirudin 5 mg/ml
Glucoza 5% 1713
Compatibil
Injectabil Gentamicin sulfate 10 mg/ml
Injectabil Caffeine 10 mg/ml
fara 3964
Compatibil
Injectabil Gentamicin sulfate 10 mg/ml
Injectabil Caffeine 10 mg/ml
clorura de sodiu 0,9% 4837
Compatibil
Injectabil Gentamicin sulfate 10 mg/ml
Injectabil Caffeine citrate 20 mg/ml
clorura de sodiu 0,9% 4837
Incompatibilitate nespecificată Incompatibil
Injectabil Gentamicin sulfate
Injectabil Calcium gluconate
3644
Incompatibil
Injectabil Gentamicin sulfate
Injectabil Calcium gluconate
4964
Compatibil
Injectabil Gentamicin sulfate 5 mg/ml
Injectabil Caspofungin acetate 0,7 mg/ml
clorura de sodiu 0,9% 2247
Incompatibilitate nespecificată Incompatibil
Injectabil Gentamicin sulfate
Injectabil Cefalotin sodium
3520
Incompatibilitate nespecificată Incompatibil
Injectabil Gentamicin sulfate
Injectabil Cefalotin sodium
3643
Precipitații imediate Incompatibil
Injectabil Gentamicin sulfate
Injectabil Cefamandole nafate 2 >> 100 mg/ml
Glucoza 5% 612
Incompatibilitate nespecificată Incompatibil
Injectabil Gentamicin sulfate
Injectabil Cefamandole nafate
3643
Incompatibilitate nespecificată Incompatibil
Injectabil Gentamicin sulfate
Injectabil Cefamandole nafate
3520
Incompatibilitate nespecificată Incompatibil
Injectabil Gentamicin sulfate
Injectabil Cefamandole nafate
3546
Precipitații imediate Incompatibil
Injectabil Gentamicin sulfate
Injectabil Cefamandole nafate 2 >> 100 mg/ml
clorura de sodiu 0,9% 612
Incompatibilitate nespecificată Incompatibil
Injectabil Gentamicin sulfate
Injectabil Cefazolin sodium
3520
Incompatibilitate nespecificată Incompatibil
Injectabil Gentamicin sulfate
Injectabil Cefazolin sodium
3643
Incompatibilitate nespecificată Incompatibil
Injectabil Gentamicin sulfate
Injectabil Cefepime dihydrochloride
3520
Compatibil
Injectabil Gentamicin sulfate 6 mg/ml
Injectabil Cefepime dihydrochloride 125 mg/ml
apa pentru preparate injectabile 2141
Incompatibilitate nespecificată Incompatibil
Injectabil Gentamicin sulfate
Injectabil Cefepime dihydrochloride
3548
Incompatibilitate nespecificată Incompatibil
Injectabil Gentamicin sulfate
Injectabil Cefepime dihydrochloride
3643
Compatibil
Injectabil Gentamicin sulfate 5 mg/ml
Injectabil Cefiderocol sulfate tosylate 20 mg/mL
Glucoza 5% 4528
Compatibil
Injectabil Gentamicin sulfate 5 mg/ml
Injectabil Cefiderocol sulfate tosylate 20 mg/mL
clorura de sodiu 0,9% 4528
Incompatibilitate nespecificată Incompatibil
Injectabil Gentamicin sulfate
Injectabil Cefmenoxime
3520
Incompatibilitate nespecificată Incompatibil
Injectabil Gentamicin sulfate
Injectabil Cefmenoxime
3643
Incompatibilitate nespecificată Incompatibil
Injectabil Gentamicin sulfate
Injectabil Cefmetazole sodium
3520
Incompatibilitate nespecificată Incompatibil
Injectabil Gentamicin sulfate
Injectabil Cefmetazole sodium
3643
Incompatibilitate nespecificată Incompatibil
Injectabil Gentamicin sulfate
Injectabil Cefonicid sodium
3643
Incompatibilitate nespecificată Incompatibil
Injectabil Gentamicin sulfate
Injectabil Cefonicid sodium
3520
Incompatibilitate nespecificată Incompatibil
Injectabil Gentamicin sulfate
Injectabil Cefoperazone sodium
3544
Incompatibilitate nespecificată Incompatibil
Injectabil Gentamicin sulfate
Injectabil Cefoperazone sodium
3643
Precipitații imediate Incompatibil
Injectabil Gentamicin sulfate 0.8 mg/ml
Injectabil Cefoperazone sodium 10 mg/ml
Glucoza 5% 1206
Incompatibilitate nespecificată Incompatibil
Injectabil Gentamicin sulfate
Injectabil Cefoperazone sodium
3520
Incompatibilitate nespecificată Incompatibil
Injectabil Gentamicin sulfate
Injectabil Ceforanide
3643
Incompatibilitate nespecificată Incompatibil
Injectabil Gentamicin sulfate
Injectabil Ceforanide
3520
Incompatibilitate nespecificată Incompatibil
Injectabil Gentamicin sulfate
Injectabil Cefotaxime sodium
3520
Incompatibilitate nespecificată Incompatibil
Injectabil Gentamicin sulfate
Injectabil Cefotaxime sodium
3643
Incompatibilitate nespecificată Incompatibil
Injectabil Gentamicin sulfate
Injectabil Cefoxitin sodium
3643
Incompatibilitate nespecificată Incompatibil
Injectabil Gentamicin sulfate
Injectabil Cefoxitin sodium
3520
Compatibil
Injectabil Gentamicin sulfate 1 mg/ml
Injectabil Cefpirome sulfate 50 mg/ml
clorura de sodiu 0,9% 280
Compatibil
Injectabil Gentamicin sulfate 1 mg/ml
Injectabil Cefpirome sulfate 50 mg/ml
Solutie Ringer lactat 280
Compatibil
Injectabil Gentamicin sulfate 1 mg/ml
Injectabil Cefpirome sulfate 50 mg/ml
clorura de sodiu 0,45% 280
Incompatibilitate nespecificată Incompatibil
Injectabil Gentamicin sulfate
Injectabil Cefpirome sulfate
3643
Incompatibilitate nespecificată Incompatibil
Injectabil Gentamicin sulfate
Injectabil Cefpirome sulfate
3677
Compatibil
Injectabil Gentamicin sulfate 1 mg/ml
Injectabil Cefpirome sulfate 50 mg/ml
Glucoza 5% 280
Incompatibilitate nespecificată Incompatibil
Injectabil Gentamicin sulfate
Injectabil Cefpirome sulfate
3520
Compatibil
Injectabil Gentamicin sulfate 5 mg/ml
Injectabil Ceftaroline fosamil 2,22 mg/ml
clorura de sodiu 0,9% 3249
Compatibil
Injectabil Gentamicin sulfate 5 mg/ml
Injectabil Ceftaroline fosamil 2,22 mg/ml
Solutie Ringer lactat 3249
Compatibil
Injectabil Gentamicin sulfate 5 mg/ml
Injectabil Ceftaroline fosamil 2,22 mg/ml
Glucoza 5% 3249
Incompatibilitate nespecificată Incompatibil
Injectabil Gentamicin sulfate
Injectabil Ceftaroline fosamil
3643
Incompatibilitate nespecificată Incompatibil
Injectabil Gentamicin sulfate
Injectabil Ceftaroline fosamil
3520
Incompatibilitate nespecificată Incompatibil
Injectabil Gentamicin sulfate
Injectabil Ceftazidime
3543
Incompatibilitate nespecificată Incompatibil
Injectabil Gentamicin sulfate
Injectabil Ceftazidime
3520
Incompatibilitate nespecificată Incompatibil
Injectabil Gentamicin sulfate
Injectabil Ceftazidime
3643
Compatibil
Injectabil Gentamicin sulfate 6 mg/ml
Injectabil Ceftazidime 125 mg/ml
apa pentru preparate injectabile 2141
Compatibil
Injectabil Gentamicin sulfate 6 mg/ml
Injectabil Ceftazidime 83.3 mg/ml
1759
Incompatibilitate nespecificată Incompatibil
Injectabil Gentamicin sulfate
Injectabil Ceftazidime
3883
Incompatibilitate nespecificată Incompatibil
Injectabil Gentamicin sulfate
Injectabil Ceftazidime Avibactam
3520
Incompatibilitate nespecificată Incompatibil
Injectabil Gentamicin sulfate
Injectabil Ceftazidime Avibactam
3643
Incompatibilitate nespecificată Incompatibil
Injectabil Gentamicin sulfate
Injectabil Ceftizoxime sodium
3643
Incompatibilitate nespecificată Incompatibil
Injectabil Gentamicin sulfate
Injectabil Ceftizoxime sodium
3520
Incompatibilitate nespecificată Incompatibil
Injectabil Gentamicin sulfate
Injectabil Ceftobiprole medocaril sodium
3643
Incompatibilitate nespecificată Incompatibil
Injectabil Gentamicin sulfate
Injectabil Ceftobiprole medocaril sodium
4650
Precipitații imediate Incompatibil
Injectabil Gentamicin sulfate 5 mg/ml
Injectabil Ceftobiprole medocaril sodium 2 mg/ml
Glucoza 5% 2269
Precipitații imediate Incompatibil
Injectabil Gentamicin sulfate 5 mg/ml
Injectabil Ceftobiprole medocaril sodium 2 mg/ml
Solutie Ringer lactat 2269
Precipitații imediate Incompatibil
Injectabil Gentamicin sulfate 5 mg/ml
Injectabil Ceftobiprole medocaril sodium 2 mg/ml
clorura de sodiu 0,9% 2269
Incompatibilitate nespecificată Incompatibil
Injectabil Gentamicin sulfate
Injectabil Ceftobiprole medocaril sodium
3520
Compatibil
Injectabil Gentamicin sulfate 5 mg/ml
Injectabil Ceftolozane / tazobactam 10/5 mg/ml
Glucoza 5% 3828
Incompatibilitate nespecificată Incompatibil
Injectabil Gentamicin sulfate
Injectabil Ceftolozane / tazobactam
3643
Incompatibilitate nespecificată Incompatibil
Injectabil Gentamicin sulfate
Injectabil Ceftolozane / tazobactam
3520
Compatibil
Injectabil Gentamicin sulfate 5 mg/ml
Injectabil Ceftolozane / tazobactam 10/5 mg/ml
clorura de sodiu 0,9% 3828
Incompatibilitate nespecificată Incompatibil
Injectabil Gentamicin sulfate
Injectabil Ceftriaxone disodium
3523
Incompatibilitate nespecificată Incompatibil
Injectabil Gentamicin sulfate
Injectabil Ceftriaxone disodium
3643
Incompatibilitate nespecificată Incompatibil
Injectabil Gentamicin sulfate
Injectabil Ceftriaxone disodium
3520
Incompatibilitate nespecificată Incompatibil
Injectabil Gentamicin sulfate
Injectabil Cefuroxime sodium
3643
Incompatibilitate nespecificată Incompatibil
Injectabil Gentamicin sulfate
Injectabil Cefuroxime sodium
3520
Incompatibilitate nespecificată Incompatibil
Injectabil Gentamicin sulfate
Injectabil Cefuroxime sodium
3687
Incompatibilitate nespecificată Incompatibil
Injectabil Gentamicin sulfate
Injectabil Cefuzonam
3520
Compatibil
Injectabil Gentamicin sulfate 0.8 mg/ml
Injectabil Cimetidine hydrochloride 3 mg/ml
Glucoza 5% 1201
Compatibil
Injectabil Gentamicin sulfate 0.08 mg/ml
Injectabil Cimetidine hydrochloride 1.2 & 5 mg/ml
clorura de sodiu 0,9% 1201
Compatibil
Injectabil Gentamicin sulfate 0.08 mg/ml
Injectabil Cimetidine hydrochloride 1.2 & 5 mg/ml
Glucoza 5% 1201
Compatibil
Injectabil Gentamicin sulfate 10 mg/ml
Injectabil Ciprofloxacin lactate 2 mg/ml
clorura de sodiu 0,9% 289
Compatibil
Injectabil Gentamicin sulfate 1.6 mg/ml
Injectabil Ciprofloxacin lactate 2 mg/ml
Glucoza 5% 285
Compatibil
Injectabil Gentamicin sulfate 5 mg/ml
Injectabil Cisatracurium besylate 0.1 >> 5 mg/ml
Glucoza 5% 299
Instabilitate chimică Incompatibil
Injectabil Gentamicin sulfate
Injectabil Cisplatin
3578
Compatibil
Injectabil Gentamicin sulfate 12 mg/ml
Injectabil Clindamycin phosphate 90 mg/ml
clorura de sodiu 0,9% 639
Compatibil
Injectabil Gentamicin sulfate 0.67 mg/ml
Injectabil Clindamycin phosphate 6 mg/ml
Glucoza 5% 423
Compatibil
Injectabil Gentamicin sulfate
Glucoza 5% 434
Incompatibilitate nespecificată Incompatibil
Injectabil Gentamicin sulfate
Injectabil Cefuzonam
3643
Compatibil
Injectabil Gentamicin sulfate 1 mg/ml
Injectabil Ciprofloxacin lactate 1.5 mg/ml
clorura de sodiu 0,9% 434
Compatibil
Injectabil Gentamicin sulfate 1.6 mg/ml
Injectabil Ciprofloxacin lactate 2 mg/ml
Glucoza 5% 288
Compatibil
Injectabil Gentamicin sulfate 1.6 mg/ml
Injectabil Ciprofloxacin lactate 2 mg/ml
clorura de sodiu 0,9% 288
Compatibil
Injectabil Gentamicin sulfate 1 mg/ml
Injectabil Ciprofloxacin lactate 1.5 mg/ml
Glucoza 5% 434
Compatibil
Injectabil Gentamicin sulfate
Injectabil Clindamycin phosphate
clorura de sodiu 0,9% 3526
Precipitații imediate Incompatibil
Injectabil Gentamicin sulfate 40 mg/ml
Injectabil Cloxacillin sodium 100 mg/ml
apa pentru preparate injectabile 3012
Compatibil
Injectabil Gentamicin sulfate 15 mg/ml
Injectabil Cytarabine 16 mg/ml
clorura de sodiu 0,9% 132
Incompatibil
Injectabil Gentamicin sulfate 2 & 10 mg/ml
Nutriție parenterală (cu lipide) 4924
Compatibil
Injectabil Gentamicin sulfate
Injectabil Clindamycin phosphate
Glucoza 5% 3526
Incompatibilitate nespecificată Incompatibil
Injectabil Gentamicin sulfate
Injectabil Cloxacillin sodium
3520
Incompatibilitate nespecificată Incompatibil
Injectabil Gentamicin sulfate
Injectabil Cytarabine
3580
Compatibil
Injectabil Gentamicin sulfate 1,5 mg/ml
Injectabil Daptomycin 19,2 mg/ml
clorura de sodiu 0,9% 1937
Compatibil
Injectabil Gentamicin sulfate 0,05 mg/ml
Nutritie parenterala (amestec binar) 4445
Incompatibilitate nespecificată Incompatibil
Injectabil Gentamicin sulfate
Injectabil Cloxacillin sodium
3643
Instabilitatea emulsiei după 4 ore Incompatibil
Injectabil Gentamicin sulfate 2 mg/ml
Nutriție parenterală (cu lipide) 4507
Incompatibilitate nespecificată Incompatibil
Injectabil Gentamicin sulfate
Injectabil Dalteparin sodium
3643
Compatibil
Injectabil Gentamicin sulfate
Injectabil Daptomycin
2271
Compatibil
Injectabil Gentamicin sulfate 10 mg/ml
Nutritie parenterala (amestec binar) 316
Compatibil
Injectabil Gentamicin sulfate
Injectabil Dimenhydrinate
2087
Compatibil
Injectabil Gentamicin sulfate 10 & 40 mg/ml
Nutritie parenterala (amestec binar) 999
Incompatibilitate subvisuală Incompatibil
Injectabil Gentamicin sulfate
Injectabil Daunorubicin/cytarabine liposomale
4354
Compatibil
Injectabil Gentamicin sulfate 1 mg/ml
Nutritie parenterala (amestec binar) 939
Turbiditate imediată Incompatibil
Injectabil Gentamicin sulfate
Injectabil Daunorubicin/cytarabine liposomale 0,4 mg/mL
clorura de sodiu 0,9% 4654
Compatibil
Injectabil Gentamicin sulfate 0.8 mg/ml
Injectabil Diatrizoate meglumine 283 mg/ml
fara 1085
Compatibil
Injectabil Gentamicin sulfate 2.4 & 40 mg/ml
Injectabil Diltiazem hydrochloride 5 mg/ml
clorura de sodiu 0,9% 198
Compatibil
Injectabil Gentamicin sulfate 5 mg/ml
Injectabil Docetaxel 0.9 mg/ml
Glucoza 5% 1754
Incompatibilitate nespecificată Incompatibil
Injectabil Gentamicin sulfate
Injectabil Dopamine hydrochloride
3638
Compatibil
Injectabil Gentamicin sulfate 5 mg/ml
Nutritie parenterala (amestec binar) 301
Compatibil
Injectabil Gentamicin sulfate 5 mg/ml
Injectabil Doripenem 5 mg/ml
clorura de sodiu 0,9% 2262
Incompatibilitate nespecificată Incompatibil
Injectabil Gentamicin sulfate
NaHCO3 3520
Compatibil
Injectabil Gentamicin sulfate 2 mg/ml
Injectabil Dopamine hydrochloride 0.8 mg/ml
Glucoza 5% 738
Producția de bule de gaz Incompatibil
Injectabil Gentamicin sulfate
NaHCO3 3643
Compatibil
Injectabil Gentamicin sulfate 5 mg/ml
Injectabil Dexmedetomidine 4 µg/ml
clorura de sodiu 0,9% 1712
Compatibil
Injectabil Gentamicin sulfate 5 mg/ml
Injectabil Doripenem 5 mg/ml
Glucoza 5% 2262
Compatibil
Injectabil Gentamicin sulfate 5 mg/ml
Nutriție parenterală (cu lipide) 1415
Compatibil
Injectabil Gentamicin sulfate 10 mg/ml
Injectabil Doxapram hydrochloride 2 mg/ml
Glucoza 5% 1802
Compatibil
Injectabil Gentamicin sulfate 5 mg/ml
Injectabil Doxorubicin hydrochloride liposome peg 0.4 mg/ml
Glucoza 5% 251
Compatibil
Injectabil Gentamicin sulfate 0.8 mg/ml
Injectabil Enalaprilate 0.05 mg/ml
clorura de sodiu 0,9% 1315
Incompatibilitate nespecificată Incompatibil
Injectabil Gentamicin sulfate
Injectabil Enoxaparin sodium
3643
Compatibil
Injectabil Gentamicin sulfate 5 mg/ml
Injectabil Eravacycline 0,6 mg/ml
clorura de sodiu 0,9% 4434
Incompatibilitate nespecificată Incompatibil
Injectabil Gentamicin sulfate
Injectabil Erythromycin lactobionate
3674
Incompatibilitate nespecificată Incompatibil
Injectabil Gentamicin sulfate
Injectabil Erythromycin lactobionate
3520
Incompatibilitate nespecificată Incompatibil
Injectabil Gentamicin sulfate
Injectabil Erythromycin lactobionate
3643
Compatibil
Injectabil Gentamicin sulfate 0,8 mg/ml
Injectabil Esmolol hydrochloride 10 mg/ml
Glucoza 5% 384
Compatibil
Injectabil Gentamicin sulfate 5 mg/ml
Injectabil Etoposide phosphate 5 mg/ml
Glucoza 5% 1410
Compatibil
Injectabil Gentamicin sulfate 5 mg/ml
Injectabil Famotidine 2 mg/ml
clorura de sodiu 0,9% 215
Compatibil
Injectabil Gentamicin sulfate 0,8 mg/ml
Injectabil Famotidine
Glucoza 5% 397
Compatibil
Injectabil Gentamicin sulfate 5 mg/ml
Injectabil Fenoldopam mesylate 80 µg/ml
clorura de sodiu 0,9% 1803
Compatibil
Injectabil Gentamicin sulfate 10 mg/ml
Injectabil Fentanyl citrate 50 µg/ml
Glucoza 5% 63
Compatibil
Injectabil Gentamicin sulfate 1.6 mg/ml
Injectabil Filgrastim 40 µg/ml
Glucoza 5% 104
Compatibil
Injectabil Gentamicin sulfate 5 mg/ml
Injectabil Filgrastim 30 µg/ml
Glucoza 5% 244
Incompatibilitate nespecificată Incompatibil
Injectabil Gentamicin sulfate
Injectabil Flucloxacillin sodium
3643
Precipitații imediate Incompatibil
Injectabil Gentamicin sulfate
Injectabil Flucloxacillin sodium
3522
Compatibil
Injectabil Gentamicin sulfate 1 mg/ml
Injectabil Fluconazole 2 mg/ml
fara 256
Compatibil
Injectabil Gentamicin sulfate 4 mg/ml
Injectabil Fluconazole 2 mg/ml
clorura de sodiu 0,9% 496
Compatibil
Injectabil Gentamicin sulfate 5 mg/ml
Injectabil Fludarabine phosphate 1 mg/ml
Glucoza 5% 492
Compatibil
Injectabil Gentamicin sulfate 2 mg/ml
Injectabil Foscarnet sodium 24 mg/ml
clorura de sodiu 0,9% 1135
Compatibil
Injectabil Gentamicin sulfate 2 mg/ml
Injectabil Foscarnet sodium 24 mg/ml
Glucoza 5% 1135
Compatibil
Injectabil Gentamicin sulfate 4 mg/ml
Injectabil Foscarnet sodium 24 mg/ml
fara 73
Compatibil
Injectabil Gentamicin sulfate 10 mg/ml
Solutie Ringer lactat 4603
Compatibil
Injectabil Gentamicin sulfate 5 mg/ml
Injectabil Fosfomycin 30 mg/ml
clorura de sodiu 0,9% 4055
Precipitații imediate Incompatibil
Injectabil Gentamicin sulfate 0,4 mg/ml
Nutriție parenterală (cu lipide) 4440
Compatibil
Injectabil Gentamicin sulfate 40 mg/ml
Nutriție parenterală (cu lipide) 673
Compatibil
Injectabil Gentamicin sulfate 5 mg/ml
Injectabil Fosfomycin 30 mg/ml
Glucoza 5% 4055
Precipitații imediate Incompatibil
Injectabil Gentamicin sulfate 10 mg/ml
Injectabil Furosemide 10 mg/ml
789
Precipitații imediate Incompatibil
Injectabil Gentamicin sulfate 1,6 mg/ml
Injectabil Furosemide 0,8 mg/ml
Glucoza 5% 367
Precipitații imediate Incompatibil
Injectabil Gentamicin sulfate 1,6 mg/ml
Injectabil Furosemide 0,8 mg/ml
clorura de sodiu 0,9% 367
Turbiditate imediată Incompatibil
Injectabil Gentamicin sulfate 6.4 mg/ml
Injectabil Furosemide 5 mg/ml
805
Precipitații după 2 ore Incompatibil
Injectabil Gentamicin sulfate 8 mg/ml
Injectabil Furosemide 1 mg/ml
clorura de sodiu 0,9% 1232
Compatibil
Injectabil Gentamicin sulfate 5 mg/ml
Injectabil Gemcitabine hydrochloride 10 mg/ml
clorura de sodiu 0,9% 1423
Compatibil
Injectabil Gentamicin sulfate 1.5 mg/ml
Injectabil Granisetron hydrochloride 1 mg/ml
clorura de sodiu 0,9% 57
Compatibil
Injectabil Gentamicin sulfate 1 & 2 mg/ml
Injectabil Heparin sodium 2500 UI/ml
4612
Precipitații imediate Incompatibil
Injectabil Gentamicin sulfate 4 >> 40 mg/ml
Injectabil Heparin sodium 10 >> 40 UI/ml
1258
Precipitații imediate Incompatibil
Injectabil Gentamicin sulfate
Injectabil Heparin sodium
1022
Incompatibilitate nespecificată Incompatibil
Injectabil Gentamicin sulfate 2 mg/ml
Injectabil Heparin sodium 50 UI/ml
fara 317
Incompatibilitate nespecificată Incompatibil
Injectabil Gentamicin sulfate
Injectabil Heparin sodium
3643
Incompatibilitate nespecificată Incompatibil
Injectabil Gentamicin sulfate
Injectabil Heparin sodium
3520
Incompatibilitate nespecificată Incompatibil
Injectabil Gentamicin sulfate
Injectabil Heparin sodium
3540
Turbiditate imediată Incompatibil
Injectabil Gentamicin sulfate 3 mg/ml
Injectabil Heparin sodium 2500 UI/ml
4612
Precipitații imediate Incompatibil
Injectabil Gentamicin sulfate 4 & 5 mg/ml
Injectabil Heparin sodium 2500 UI/ml
4612
Compatibil
Injectabil Gentamicin sulfate 5 mg/ml
Injectabil Hetastarch 60 mg/ml
specific de solvent 1721
Precipitații imediate Incompatibil
Injectabil Gentamicin sulfate 0.8 mg/ml
Injectabil Hetastarch 60 mg/ml
clorura de sodiu 0,9% 472
Compatibil
Injectabil Gentamicin sulfate 0.8 mg/ml
Injectabil Hydromorphone hydrochloride 0.2 mg/ml
Glucoza 5% 405
Schimbarea culorii Incompatibil
Injectabil Gentamicin sulfate 3 mg/ml
Injectabil Idarubicin hydrochloride 1 mg/ml
clorura de sodiu 0,9% 491
Precipitații imediate Incompatibil
Injectabil Gentamicin sulfate 1 mg/ml
Injectabil Indomethacin sodium trihydrate 0,5 & 1 mg/ml
Glucoza 5% 494
Precipitații după 15 minute Incompatibil
Injectabil Gentamicin sulfate 1 mg/ml
Injectabil Indomethacin sodium trihydrate 0,5 & 1 mg/ml
Glucoza 5% 1745
Compatibil
Injectabil Gentamicin sulfate 1.2 >> 2 mg/ml
Injectabil Insulin 0.2 UI/ml
clorura de sodiu 0,9% 129
Compatibil
Injectabil Gentamicin sulfate 0.8 mg/ml
Injectabil Iohexol 300 mg I/ml
fara 1085
Precipitații imediate Incompatibil
Injectabil Gentamicin sulfate 0.8 mg/ml
Injectabil Ioxaglate 320 mg I/ml
fara 1085
Compatibil
Injectabil Gentamicin sulfate 5 mg/ml
Injectabil Isavuconazonium sulfate 1.5 mg/ml
Glucoza 5% 3829
Compatibil
Injectabil Gentamicin sulfate 5 mg/ml
Injectabil Isavuconazonium sulfate 1.5 mg/ml
clorura de sodiu 0,9% 3829
Compatibil
Injectabil Gentamicin sulfate 40 mg/ml
Injectabil Ketamine hydrochloride 50 mg/ml
2109
Compatibil
Injectabil Gentamicin sulfate 0.8 mg/ml
Injectabil Labetalol hydrochloride 1 mg/ml
Glucoza 5% 386
Compatibil
Injectabil Gentamicin sulfate 5 mg/ml
Injectabil Lansoprazole 0.55 mg/ml
clorura de sodiu 0,9% 1625
Compatibil
Injectabil Gentamicin sulfate 10 mg/ml
Injectabil Levofloxacine 5 mg/ml
Glucoza 5% 1072
Compatibil
Injectabil Gentamicin sulfate 0,75 mg/ml
Injectabil Linezolid 1,80 mg/ml
2353
Compatibil
Injectabil Gentamicin sulfate 5 mg/ml
Injectabil Linezolid 2 mg/ml
fara 1925
Compatibil
Injectabil Gentamicin sulfate 3 mg/ml
Injectabil Lorazepam 0.33 mg/ml
clorura de sodiu 0,9% 186
Compatibil
Injectabil Gentamicin sulfate 0.8 mg/ml
Injectabil Magnesium sulfate 16.67 >> 100 mg/ml
Glucoza 5% 1047
Compatibil
Injectabil Gentamicin sulfate 5 mg/ml
Injectabil Melphalan 0.1 mg/ml
clorura de sodiu 0,9% 169
Compatibil
Injectabil Gentamicin sulfate 40 mg/ml
Injectabil Meropenem 50 mg/ml
apa pentru preparate injectabile 4319
Compatibil
Injectabil Gentamicin sulfate 0.8 mg/ml
Injectabil Meropenem 1 & 20 mg/ml
clorura de sodiu 0,9% 266
Compatibil
Injectabil Gentamicin sulfate 4 mg/ml
Injectabil Meropenem 1 & 50 mg/ml
clorura de sodiu 0,9% 266
Compatibil
Injectabil Gentamicin sulfate 30 mg/ml
Injectabil Meropenem 10 mg/ml
clorura de sodiu 0,9% 2335
Compatibil
Injectabil Gentamicin sulfate 0,8 & 1,2 mg/ml
Injectabil Metronidazole 5 mg/ml
fara 1243
Compatibil
Injectabil Gentamicin sulfate 0.8 mg/ml
Injectabil Metronidazole 5 mg/ml
fara 1035
Compatibil
Injectabil Gentamicin sulfate
Injectabil Metronidazole
3594
Compatibil
Injectabil Gentamicin sulfate 3 mg/ml
Injectabil Midazolam hydrochloride 5 mg/ml
fara 186
Compatibil
Injectabil Gentamicin sulfate 10 mg/ml
Injectabil Midazolam hydrochloride 1 mg/ml
Glucoza 5% 176
Compatibil
Injectabil Gentamicin sulfate 0.8 mg/ml
Injectabil Midazolam hydrochloride 0.05 >> 0.4 mg/ml
clorura de sodiu 0,9% 1888
Incompatibilitate nespecificată Incompatibil
Injectabil Gentamicin sulfate
Injectabil Mitomycin
4471
Instabilitate chimică Incompatibil
Injectabil Gentamicin sulfate
Injectabil Mitomycin
3128
Compatibil
Injectabil Gentamicin sulfate 1.2 & 2 mg/ml
Injectabil Morphine sulfate 1 mg/ml
clorura de sodiu 0,9% 406
Compatibil
Injectabil Gentamicin sulfate 0.8 mg/ml
Injectabil Morphine sulfate 1 mg/ml
Glucoza 5% 405
Incompatibilitate nespecificată Incompatibil
Injectabil Gentamicin sulfate
Injectabil Moxalactam
3643
Incompatibilitate nespecificată Incompatibil
Injectabil Gentamicin sulfate
Injectabil Moxalactam
3520
Compatibil
Injectabil Gentamicin sulfate 40 mg/ml
Injectabil N-acetylcysteine 200 mg/ml
fara 3766
Incompatibilitate nespecificată Incompatibil
Injectabil Gentamicin sulfate
Injectabil Nadroparin
3643
Incompatibilitate nespecificată Incompatibil
Injectabil Gentamicin sulfate
Injectabil Nafcillin sodium
3643
Incompatibilitate nespecificată Incompatibil
Injectabil Gentamicin sulfate
Injectabil Nafcillin sodium
3520
Compatibil
Injectabil Gentamicin sulfate 40 mg/ml
Injectabil Naloxone hydrochloride 0.4 mg/ml
fara 3408
Compatibil
Injectabil Gentamicin sulfate 4.17 mg/ml
Injectabil Nefopam 0.16 mg/ml
clorura de sodiu 0,9% 4254
Compatibil
Injectabil Gentamicin sulfate 4.17 mg/ml
Injectabil Nefopam 0.16 mg/ml
Glucoza 5% 4254
Compatibil
Injectabil Gentamicin sulfate 0.8 mg/ml
Injectabil Nicardipine hydrochloride 0.1 mg/ml
Glucoza 5% 1490
Compatibil
Injectabil Gentamicin sulfate 0.8 mg/ml
Injectabil Nicardipine hydrochloride 0.1 mg/ml
clorura de sodiu 0,9% 1490
Compatibil
Injectabil Gentamicin sulfate 0,8 mg/ml
Injectabil Ofloxacin 2 mg/ml
fara 889
Compatibil
Injectabil Gentamicin sulfate 5 mg/ml
Injectabil Ondansetron hydrochloride 1 mg/ml
clorura de sodiu 0,9% 334
Compatibil
Injectabil Gentamicin sulfate 5 mg/ml
Injectabil Oritavancin 0.8 >>2 mg/ml
Glucoza 5% 3152
Incompatibilitate nespecificată Incompatibil
Injectabil Gentamicin sulfate
Injectabil Oxacillin sodium
3643
Incompatibilitate nespecificată Incompatibil
Injectabil Gentamicin sulfate
Injectabil Oxacillin sodium
3520
Compatibil
Injectabil Gentamicin sulfate 40 mg/ml
Injectabil Oxycodone hydrochloride 1 mg/ml
clorura de sodiu 0,9% 4842
Compatibil
Injectabil Gentamicin sulfate 5 mg/ml
Injectabil Paclitaxel 1.2 mg/ml
Glucoza 5% 248
Compatibil
Injectabil Gentamicin sulfate 5 mg/ml
Injectabil Palonosetron hydrochloride 50 µg/ml
Glucoza 5% 2228
Compatibil
Injectabil Gentamicin sulfate 2 mg/ml
Injectabil Pancuronium bromide 0.05 mg/ml
Glucoza 5% 402
Precipitații imediate Incompatibil
Injectabil Gentamicin sulfate
Injectabil Pantoprazole sodium
2090
Compatibil
Injectabil Gentamicin sulfate 40 mg/ml
Injectabil Paracetamol 10 mg/ml
4742
Precipitații imediate Incompatibil
Injectabil Gentamicin sulfate 5 mg/ml
Injectabil Pemetrexed disodium 20 mg/ml
1953
Incompatibilitate nespecificată Incompatibil
Injectabil Gentamicin sulfate
Injectabil Penicillin G potassium
3643
Incompatibilitate nespecificată Incompatibil
Injectabil Gentamicin sulfate
Injectabil Penicillin G potassium
3520
Incompatibilitate nespecificată Incompatibil
Injectabil Gentamicin sulfate
Injectabil Penicillin G sodium
3643
Incompatibilitate nespecificată Incompatibil
Injectabil Gentamicin sulfate
Injectabil Penicillin G sodium
3520
Compatibil
Injectabil Gentamicin sulfate 10 mg/ml
Injectabil Pentoxifyllin 5 mg/ml
clorura de sodiu 0,9% 4543
Compatibil
Injectabil Gentamicin sulfate 0.8 mg/ml
Injectabil Pethidine hydrochloride 10 mg/ml
Glucoza 5% 405
Precipitații imediate Incompatibil
Injectabil Gentamicin sulfate 10 mg/ml
Injectabil Phenytoin sodium 50 mg/ml
789
Compatibil
Injectabil Gentamicin sulfate 20 mg/ml
Injectabil Phloroglucinol 2,5 mg/ml
3791
Incompatibilitate nespecificată Incompatibil
Injectabil Gentamicin sulfate
Injectabil Piperacillin sodium
3520
Incompatibilitate nespecificată Incompatibil
Injectabil Gentamicin sulfate
Injectabil Piperacillin sodium
3643
Incompatibilitate nespecificată Incompatibil
Injectabil Gentamicin sulfate
Injectabil Piperacillin sodium / tazobactam
3520
Instabilitate chimică Incompatibil
Injectabil Gentamicin sulfate
Injectabil Piperacillin sodium / tazobactam
3586
Incompatibilitate nespecificată Incompatibil
Injectabil Gentamicin sulfate
Injectabil Piperacillin sodium / tazobactam
3643
Compatibil
Injectabil Gentamicin sulfate
Injectabil Posaconazole
4380
Compatibil
Injectabil Gentamicin sulfate 30 mg/ml
Injectabil Potassium chloride 20 mEq/l
NaCl 0,45% Glucoza 5% 2335
Instabilitate imediată a emulsiei Incompatibil
Injectabil Gentamicin sulfate 2 mg/ml
Injectabil Propofol
660
Incompatibilitate nespecificată Incompatibil
Injectabil Gentamicin sulfate 40 mg/ml
Injectabil Propofol
4524
Precipitații imediate Incompatibil
Injectabil Gentamicin sulfate 5 mg/ml
Injectabil Propofol 10 mg/ml
fara 300
Compatibil
Injectabil Gentamicin sulfate 5 mg/ml
Injectabil Remifentanil hydrochloride 25 & 250 µg/ml
clorura de sodiu 0,9% 59
Compatibil
Injectabil Gentamicin sulfate 40 mg/ml
Injectabil Salbutamol sulfate 1 mg/ml
fara 3216
Compatibil
Injectabil Gentamicin sulfate 5 mg/ml
Injectabil Sargramostim 10 µg/ml
clorura de sodiu 0,9% 335
Compatibil
Injectabil Gentamicin sulfate 10 mg/ml
Injectabil Sildenafil citrate 0,6 mg/ml
Glucoza 5% 4845
Compatibil
Injectabil Gentamicin sulfate 2,4 mg/ml
Injectabil Sodium bicarbonate 40 mg/ml
fara 3122
Producția de bule de gaz Incompatibil
Injectabil Gentamicin sulfate
Injectabil Sodium bicarbonate
3643
Compatibil
Injectabil Gentamicin sulfate 2.5 mg/ml
Injectabil Sodium citrate 40 mg/ml
apa pentru preparate injectabile 3952
Compatibil
Injectabil Gentamicin sulfate 40 mg/ml
Injectabil Sugammadex 100 mg/ml
fara 3372
Compatibil
Injectabil Gentamicin sulfate 5 mg/ml
Injectabil Sulbactam/durlobactam 15/15 mg/ml
clorura de sodiu 0,9% 4801
Compatibil
Injectabil Gentamicin sulfate 4 mg/ml
Injectabil Tacrolimus 1000 µg/ml
clorura de sodiu 0,9% 479
Compatibil
Injectabil Gentamicin sulfate
clorura de sodiu 0,9% 1704
Compatibil
Injectabil Gentamicin sulfate
clorura de sodiu 0,9% 434
Incompatibilitate nespecificată Incompatibil
Injectabil Gentamicin sulfate
Injectabil Sodium bicarbonate
3520
Compatibil
Injectabil Gentamicin sulfate 1 >> 5 mg/ml
Injectabil Sodium citrate 40 mg/ml
fara 2019
Turbiditate imediată Incompatibil
Injectabil Gentamicin sulfate 5 mg/ml
Injectabil Tedizolid phosphate 0.8 mg/ml
clorura de sodiu 0,9% 3827
Incompatibilitate nespecificată Incompatibil
Injectabil Gentamicin sulfate
Injectabil Teicoplanine
3656
Compatibil
Injectabil Gentamicin sulfate 5 mg/ml
Injectabil Telavancin hydrochloride 7.5 mg/ml
Solutie Ringer lactat 3254
Compatibil
Injectabil Gentamicin sulfate 5 mg/ml
Injectabil Telavancin hydrochloride 7.5 mg/ml
clorura de sodiu 0,9% 3254
Compatibil
Injectabil Gentamicin sulfate 5 mg/ml
Injectabil Telavancin hydrochloride 7.5 mg/ml
Glucoza 5% 3254
Compatibil
Injectabil Gentamicin sulfate 6 mg/ml
Injectabil Temocilline 83.33 mg/ml
apa pentru preparate injectabile 2231
Incompatibilitate nespecificată Incompatibil
Injectabil Gentamicin sulfate
Injectabil Temocilline
3643
Incompatibilitate nespecificată Incompatibil
Injectabil Gentamicin sulfate
Injectabil Temocilline
3520
Incompatibilitate nespecificată Incompatibil
Injectabil Gentamicin sulfate
Injectabil Temocilline
2296
Compatibil
Injectabil Gentamicin sulfate 5 mg/ml
Injectabil Teniposide 0.1 mg/ml
Glucoza 5% 905
Compatibil
Injectabil Gentamicin sulfate 2 mg/ml
Injectabil Theophylline 4 mg/ml
fara 317
Precipitații imediate Incompatibil
Injectabil Gentamicin sulfate 40 mg/ml
Injectabil Thiopental sodium 25 mg/ml
clorura de sodiu 0,9% 3767
Compatibil
Injectabil Gentamicin sulfate 5 mg/ml
Injectabil Thiotepa 1 mg/ml
Glucoza 5% 249
Instabilitate chimică Incompatibil
Injectabil Gentamicin sulfate
Injectabil Ticarcillin / clavulanic acid
3587
Incompatibilitate nespecificată Incompatibil
Injectabil Gentamicin sulfate
Injectabil Ticarcillin / clavulanic acid
3643
Incompatibilitate nespecificată Incompatibil
Injectabil Gentamicin sulfate
Injectabil Ticarcillin / clavulanic acid
3520
Compatibil
Injectabil Gentamicin sulfate
Injectabil Tigecycline
clorura de sodiu 0,9% 3332
Compatibil
Injectabil Gentamicin sulfate 6 mg/ml
Injectabil Vancomycin hydrochloride 10 mg/ml
Glucoza 5% 3385
Compatibil
Injectabil Gentamicin sulfate 1.2 mg/ml
Injectabil Vasopressin 0.2 UI/ml
clorura de sodiu 0,9% 2017
Compatibil
Injectabil Gentamicin sulfate 2 mg/ml
Injectabil Vecuronium bromide 0.1 mg/ml
Glucoza 5% 402
Compatibil
Injectabil Gentamicin sulfate 0.16 mg/ml
Injectabil Verapamil hydrochloride 0.08 mg/ml
Glucoza 5% 1057
Compatibil
Injectabil Gentamicin sulfate 0.16 mg/ml
Injectabil Verapamil hydrochloride 0.08 mg/ml
clorura de sodiu 0,9% 1057
Compatibil
Injectabil Gentamicin sulfate 5 mg/ml
Injectabil Vinorelbine tartrate 1 mg/ml
clorura de sodiu 0,9% 84
Turbiditate imediată Incompatibil
Injectabil Gentamicin sulfate 1.6 mg/ml
Injectabil Warfarin sodium 2 mg/ml
Glucoza 5% 315
Compatibil
Injectabil Gentamicin sulfate 2 mg/ml
Injectabil Zidovudine 4 mg/ml
Glucoza 5% 337

  Mentions Légales