zadnja posodobitev :
18/03/2026
Antibiotik   Gentamicin sulfate  
Brizgalka
Kapljice za oči
Stabilnost raztopine Stabilnost mešanice Faktorji, ki vplivajo na stabilnost Kompatibilnost način aplikacije Viri pdf
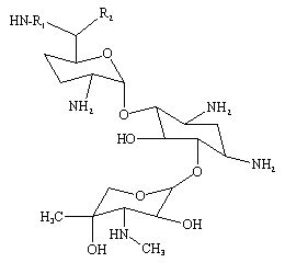
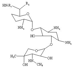
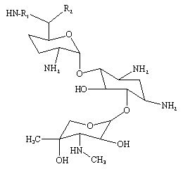
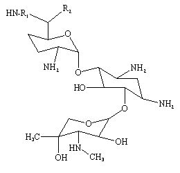
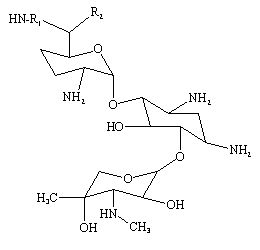
   Kemična formula  

Lastniško ime   Lastniško ime     

Sestava pomožnih snovi je med paralelami lahko različna

Azupel Peru
Cidomycin Egipt, Tunizija, Velika Britanija
Dabroson Grčija
Epigent Egipt
Garalone Portugalska
Garamicina Brazilija, Ekvador, Kolumbija, Mehika
Garamycin Danska, Egipt, Grčija, Hrvaška, Indija, Nizozemska, Norveška, Poljska, Švica, Združeni arabski emirati
Genmisin Turčija
Gensif Turčija
Gensumycin Finska, Norveška, Švedska
Genta-Gobens Španija
Gentalline Maroko
Gentamen Maroko
Genticin Irska, Velika Britanija, Združeni arabski emirati
Gentreks Turčija
Hexamycin Danska
Plurisemina Argentina
Refobacin Avstrija, Egipt, Kolumbija, Nemčija
Rupegen Argentina
Kompatibilnost   Brizgalka   Kompatibilnost : Gentamicin sulfate              
Ta zaslon prikazuje združljivost ali nezdružljivost s, v tem primeru, vrsto nezdružljivosti (padavine, sprememba barve, sprememba emulzije itd.). Tu prikazane združljivosti so večinoma samo fizične, pri čemer se kemijska stabilnost vsake molekule redko ocenjuje. Vrednotenje teh zmesi so preučevali, da bi preučili možnost pacientovega dajanja na mestu Y. Teh podatkov ni mogoče uporabiti za pripravo mešanic v vrečkah ali brizgah. Ta vrsta informacij je na voljo na zaslonu "Obstojnost v mešanici".
Sestava Topilo Viri
Združljivo
Brizgalka Gentamicin sulfate 1.6 mg/ml
Brizgalka Aciclovir sodium 5 mg/ml
Glukoza 5% 336
Takoj padavine Nezdružljivo
Brizgalka Gentamicin sulfate 30 mg/ml
Brizgalka Aciclovir sodium 5 mg/ml
Natrijev klorid 0,9% 2335
Padavine po 1 uri Nezdružljivo
Brizgalka Gentamicin sulfate 5 mg/ml
Brizgalka Allopurinol sodium 3 mg/ml
Natrijev klorid 0,9% 307
Združljivo
Brizgalka Gentamicin sulfate 1 mg/ml
Brizgalka Alprostadil 15 µg/ml
3201
Združljivo
Brizgalka Gentamicin sulfate 5 mg/ml
Brizgalka Amifostine 10 mg/ml
Glukoza 5% 3
Združljivo
Brizgalka Gentamicin sulfate 0.8 mg/ml
Brizgalka Amiodarone hydrochloride 4 mg/ml
Natrijev klorid 0,9% 385
Združljivo
Brizgalka Gentamicin sulfate 0.8 mg/ml
Brizgalka Amiodarone hydrochloride 4 mg/ml
Glukoza 5% 385
Nedoločena nezdružljivost Nezdružljivo
Brizgalka Gentamicin sulfate
Brizgalka Amoxicillin sodium
3643
Nedoločena nezdružljivost Nezdružljivo
Brizgalka Gentamicin sulfate
Brizgalka Amoxicillin sodium
3520
Kemijska nestabilnost Nezdružljivo
Brizgalka Gentamicin sulfate
Brizgalka Amoxicillin sodium
3527
Nedoločena nezdružljivost Nezdružljivo
Brizgalka Gentamicin sulfate
Brizgalka Amoxicillin sodium / clavulanic acid
3643
Nedoločena nezdružljivost Nezdružljivo
Brizgalka Gentamicin sulfate
Brizgalka Amoxicillin sodium / clavulanic acid
3545
Nedoločena nezdružljivost Nezdružljivo
Brizgalka Gentamicin sulfate
Brizgalka Amoxicillin sodium / clavulanic acid
3520
Združljivo
Brizgalka Gentamicin sulfate 40 mg/ml
Brizgalka Amoxicillin sodium / clavulanic acid 100/10 mg/ml
3824
Takoj padavine Nezdružljivo
Brizgalka Gentamicin sulfate 5 mg/ml
Brizgalka Amphotericin B cholesteryl sulfate complex 0,83 mg/ml
Glukoza 5% 921
Nedoločena nezdružljivost Nezdružljivo
Brizgalka Gentamicin sulfate
Brizgalka Ampicillin sodium
3643
Nedoločena nezdružljivost Nezdružljivo
Brizgalka Gentamicin sulfate
Brizgalka Ampicillin sodium
3520
Nedoločena nezdružljivost Nezdružljivo
Brizgalka Gentamicin sulfate
Brizgalka Ampicillin sodium - sulbactam sodium
3643
Nedoločena nezdružljivost Nezdružljivo
Brizgalka Gentamicin sulfate
Brizgalka Ampicillin sodium - sulbactam sodium
3520
Združljivo
Brizgalka Gentamicin sulfate 5 mg/ml
Brizgalka Amsacrine 1 mg/ml
Glukoza 5% 253
Združljivo
Brizgalka Gentamicin sulfate 5 mg/ml
Brizgalka Anidulafungin 0.5 mg/ml
Glukoza 5% 1982
Združljivo
Brizgalka Gentamicin sulfate 0,8 mg/ml
Brizgalka Atosiban 0,75 mg/ml
4642
Združljivo
Brizgalka Gentamicin sulfate 2 mg/ml
Brizgalka Atracurium besylate 0.5 mg/ml
Glukoza 5% 402
Takoj padavine Nezdružljivo
Brizgalka Gentamicin sulfate 21 mg/ml
Brizgalka Azithromycine 2 mg/ml
Natrijev klorid 0,9% 1800
Združljivo
Brizgalka Gentamicin sulfate 5 mg/ml
Brizgalka Aztreonam 40 mg/ml
Glukoza 5% 99
Združljivo
Brizgalka Gentamicin sulfate 0.2 & 0.8 mg/ml
Brizgalka Aztreonam 10 & 20 mg/ml
Natrijev klorid 0,9% 19
Združljivo
Brizgalka Gentamicin sulfate 0.2 & 0.8 mg/ml
Brizgalka Aztreonam 10 & 20 mg/ml
Glukoza 5% 19
Združljivo
Brizgalka Gentamicin sulfate 5 mg/ml
Brizgalka Bivalirudin 5 mg/ml
Glukoza 5% 1713
Združljivo
Brizgalka Gentamicin sulfate 10 mg/ml
Brizgalka Caffeine 10 mg/ml
Nobeden 3964
Združljivo
Brizgalka Gentamicin sulfate 10 mg/ml
Brizgalka Caffeine 10 mg/ml
Natrijev klorid 0,9% 4837
Združljivo
Brizgalka Gentamicin sulfate 10 mg/ml
Brizgalka Caffeine citrate 20 mg/ml
Natrijev klorid 0,9% 4837
Nedoločena nezdružljivost Nezdružljivo
Brizgalka Gentamicin sulfate
Brizgalka Calcium gluconate
3644
Nezdružljivo
Brizgalka Gentamicin sulfate
Brizgalka Calcium gluconate
4964
Združljivo
Brizgalka Gentamicin sulfate 5 mg/ml
Brizgalka Caspofungin acetate 0,7 mg/ml
Natrijev klorid 0,9% 2247
Nedoločena nezdružljivost Nezdružljivo
Brizgalka Gentamicin sulfate
Brizgalka Cefalotin sodium
3520
Nedoločena nezdružljivost Nezdružljivo
Brizgalka Gentamicin sulfate
Brizgalka Cefalotin sodium
3643
Takoj padavine Nezdružljivo
Brizgalka Gentamicin sulfate
Brizgalka Cefamandole nafate 2 >> 100 mg/ml
Glukoza 5% 612
Nedoločena nezdružljivost Nezdružljivo
Brizgalka Gentamicin sulfate
Brizgalka Cefamandole nafate
3643
Nedoločena nezdružljivost Nezdružljivo
Brizgalka Gentamicin sulfate
Brizgalka Cefamandole nafate
3520
Nedoločena nezdružljivost Nezdružljivo
Brizgalka Gentamicin sulfate
Brizgalka Cefamandole nafate
3546
Takoj padavine Nezdružljivo
Brizgalka Gentamicin sulfate
Brizgalka Cefamandole nafate 2 >> 100 mg/ml
Natrijev klorid 0,9% 612
Nedoločena nezdružljivost Nezdružljivo
Brizgalka Gentamicin sulfate
Brizgalka Cefazolin sodium
3520
Nedoločena nezdružljivost Nezdružljivo
Brizgalka Gentamicin sulfate
Brizgalka Cefazolin sodium
3643
Nedoločena nezdružljivost Nezdružljivo
Brizgalka Gentamicin sulfate
Brizgalka Cefepime dihydrochloride
3520
Združljivo
Brizgalka Gentamicin sulfate 6 mg/ml
Brizgalka Cefepime dihydrochloride 125 mg/ml
Voda za injekcije 2141
Nedoločena nezdružljivost Nezdružljivo
Brizgalka Gentamicin sulfate
Brizgalka Cefepime dihydrochloride
3548
Nedoločena nezdružljivost Nezdružljivo
Brizgalka Gentamicin sulfate
Brizgalka Cefepime dihydrochloride
3643
Združljivo
Brizgalka Gentamicin sulfate 5 mg/ml
Brizgalka Cefiderocol sulfate tosylate 20 mg/mL
Glukoza 5% 4528
Združljivo
Brizgalka Gentamicin sulfate 5 mg/ml
Brizgalka Cefiderocol sulfate tosylate 20 mg/mL
Natrijev klorid 0,9% 4528
Nedoločena nezdružljivost Nezdružljivo
Brizgalka Gentamicin sulfate
Brizgalka Cefmenoxime
3520
Nedoločena nezdružljivost Nezdružljivo
Brizgalka Gentamicin sulfate
Brizgalka Cefmenoxime
3643
Nedoločena nezdružljivost Nezdružljivo
Brizgalka Gentamicin sulfate
Brizgalka Cefmetazole sodium
3520
Nedoločena nezdružljivost Nezdružljivo
Brizgalka Gentamicin sulfate
Brizgalka Cefmetazole sodium
3643
Nedoločena nezdružljivost Nezdružljivo
Brizgalka Gentamicin sulfate
Brizgalka Cefonicid sodium
3643
Nedoločena nezdružljivost Nezdružljivo
Brizgalka Gentamicin sulfate
Brizgalka Cefonicid sodium
3520
Nedoločena nezdružljivost Nezdružljivo
Brizgalka Gentamicin sulfate
Brizgalka Cefoperazone sodium
3544
Nedoločena nezdružljivost Nezdružljivo
Brizgalka Gentamicin sulfate
Brizgalka Cefoperazone sodium
3643
Takoj padavine Nezdružljivo
Brizgalka Gentamicin sulfate 0.8 mg/ml
Brizgalka Cefoperazone sodium 10 mg/ml
Glukoza 5% 1206
Nedoločena nezdružljivost Nezdružljivo
Brizgalka Gentamicin sulfate
Brizgalka Cefoperazone sodium
3520
Nedoločena nezdružljivost Nezdružljivo
Brizgalka Gentamicin sulfate
Brizgalka Ceforanide
3643
Nedoločena nezdružljivost Nezdružljivo
Brizgalka Gentamicin sulfate
Brizgalka Ceforanide
3520
Nedoločena nezdružljivost Nezdružljivo
Brizgalka Gentamicin sulfate
Brizgalka Cefotaxime sodium
3520
Nedoločena nezdružljivost Nezdružljivo
Brizgalka Gentamicin sulfate
Brizgalka Cefotaxime sodium
3643
Nedoločena nezdružljivost Nezdružljivo
Brizgalka Gentamicin sulfate
Brizgalka Cefoxitin sodium
3643
Nedoločena nezdružljivost Nezdružljivo
Brizgalka Gentamicin sulfate
Brizgalka Cefoxitin sodium
3520
Združljivo
Brizgalka Gentamicin sulfate 1 mg/ml
Brizgalka Cefpirome sulfate 50 mg/ml
Natrijev klorid 0,9% 280
Združljivo
Brizgalka Gentamicin sulfate 1 mg/ml
Brizgalka Cefpirome sulfate 50 mg/ml
Ringerjev laktat 280
Združljivo
Brizgalka Gentamicin sulfate 1 mg/ml
Brizgalka Cefpirome sulfate 50 mg/ml
Natrijev klorid 0,45% 280
Nedoločena nezdružljivost Nezdružljivo
Brizgalka Gentamicin sulfate
Brizgalka Cefpirome sulfate
3643
Nedoločena nezdružljivost Nezdružljivo
Brizgalka Gentamicin sulfate
Brizgalka Cefpirome sulfate
3677
Združljivo
Brizgalka Gentamicin sulfate 1 mg/ml
Brizgalka Cefpirome sulfate 50 mg/ml
Glukoza 5% 280
Nedoločena nezdružljivost Nezdružljivo
Brizgalka Gentamicin sulfate
Brizgalka Cefpirome sulfate
3520
Združljivo
Brizgalka Gentamicin sulfate 5 mg/ml
Brizgalka Ceftaroline fosamil 2,22 mg/ml
Natrijev klorid 0,9% 3249
Združljivo
Brizgalka Gentamicin sulfate 5 mg/ml
Brizgalka Ceftaroline fosamil 2,22 mg/ml
Ringerjev laktat 3249
Združljivo
Brizgalka Gentamicin sulfate 5 mg/ml
Brizgalka Ceftaroline fosamil 2,22 mg/ml
Glukoza 5% 3249
Nedoločena nezdružljivost Nezdružljivo
Brizgalka Gentamicin sulfate
Brizgalka Ceftaroline fosamil
3643
Nedoločena nezdružljivost Nezdružljivo
Brizgalka Gentamicin sulfate
Brizgalka Ceftaroline fosamil
3520
Nedoločena nezdružljivost Nezdružljivo
Brizgalka Gentamicin sulfate
Brizgalka Ceftazidime
3543
Nedoločena nezdružljivost Nezdružljivo
Brizgalka Gentamicin sulfate
Brizgalka Ceftazidime
3520
Nedoločena nezdružljivost Nezdružljivo
Brizgalka Gentamicin sulfate
Brizgalka Ceftazidime
3643
Združljivo
Brizgalka Gentamicin sulfate 6 mg/ml
Brizgalka Ceftazidime 125 mg/ml
Voda za injekcije 2141
Združljivo
Brizgalka Gentamicin sulfate 6 mg/ml
Brizgalka Ceftazidime 83.3 mg/ml
1759
Nedoločena nezdružljivost Nezdružljivo
Brizgalka Gentamicin sulfate
Brizgalka Ceftazidime
3883
Nedoločena nezdružljivost Nezdružljivo
Brizgalka Gentamicin sulfate
Brizgalka Ceftazidime Avibactam
3520
Nedoločena nezdružljivost Nezdružljivo
Brizgalka Gentamicin sulfate
Brizgalka Ceftazidime Avibactam
3643
Nedoločena nezdružljivost Nezdružljivo
Brizgalka Gentamicin sulfate
Brizgalka Ceftizoxime sodium
3643
Nedoločena nezdružljivost Nezdružljivo
Brizgalka Gentamicin sulfate
Brizgalka Ceftizoxime sodium
3520
Nedoločena nezdružljivost Nezdružljivo
Brizgalka Gentamicin sulfate
Brizgalka Ceftobiprole medocaril sodium
3643
Nedoločena nezdružljivost Nezdružljivo
Brizgalka Gentamicin sulfate
Brizgalka Ceftobiprole medocaril sodium
4650
Takoj padavine Nezdružljivo
Brizgalka Gentamicin sulfate 5 mg/ml
Brizgalka Ceftobiprole medocaril sodium 2 mg/ml
Glukoza 5% 2269
Takoj padavine Nezdružljivo
Brizgalka Gentamicin sulfate 5 mg/ml
Brizgalka Ceftobiprole medocaril sodium 2 mg/ml
Ringerjev laktat 2269
Takoj padavine Nezdružljivo
Brizgalka Gentamicin sulfate 5 mg/ml
Brizgalka Ceftobiprole medocaril sodium 2 mg/ml
Natrijev klorid 0,9% 2269
Nedoločena nezdružljivost Nezdružljivo
Brizgalka Gentamicin sulfate
Brizgalka Ceftobiprole medocaril sodium
3520
Združljivo
Brizgalka Gentamicin sulfate 5 mg/ml
Brizgalka Ceftolozane / tazobactam 10/5 mg/ml
Glukoza 5% 3828
Nedoločena nezdružljivost Nezdružljivo
Brizgalka Gentamicin sulfate
Brizgalka Ceftolozane / tazobactam
3643
Nedoločena nezdružljivost Nezdružljivo
Brizgalka Gentamicin sulfate
Brizgalka Ceftolozane / tazobactam
3520
Združljivo
Brizgalka Gentamicin sulfate 5 mg/ml
Brizgalka Ceftolozane / tazobactam 10/5 mg/ml
Natrijev klorid 0,9% 3828
Nedoločena nezdružljivost Nezdružljivo
Brizgalka Gentamicin sulfate
Brizgalka Ceftriaxone disodium
3523
Nedoločena nezdružljivost Nezdružljivo
Brizgalka Gentamicin sulfate
Brizgalka Ceftriaxone disodium
3643
Nedoločena nezdružljivost Nezdružljivo
Brizgalka Gentamicin sulfate
Brizgalka Ceftriaxone disodium
3520
Nedoločena nezdružljivost Nezdružljivo
Brizgalka Gentamicin sulfate
Brizgalka Cefuroxime sodium
3643
Nedoločena nezdružljivost Nezdružljivo
Brizgalka Gentamicin sulfate
Brizgalka Cefuroxime sodium
3520
Nedoločena nezdružljivost Nezdružljivo
Brizgalka Gentamicin sulfate
Brizgalka Cefuroxime sodium
3687
Nedoločena nezdružljivost Nezdružljivo
Brizgalka Gentamicin sulfate
Brizgalka Cefuzonam
3520
Združljivo
Brizgalka Gentamicin sulfate 0.8 mg/ml
Brizgalka Cimetidine hydrochloride 3 mg/ml
Glukoza 5% 1201
Združljivo
Brizgalka Gentamicin sulfate 0.08 mg/ml
Brizgalka Cimetidine hydrochloride 1.2 & 5 mg/ml
Natrijev klorid 0,9% 1201
Združljivo
Brizgalka Gentamicin sulfate 0.08 mg/ml
Brizgalka Cimetidine hydrochloride 1.2 & 5 mg/ml
Glukoza 5% 1201
Združljivo
Brizgalka Gentamicin sulfate 10 mg/ml
Brizgalka Ciprofloxacin lactate 2 mg/ml
Natrijev klorid 0,9% 289
Združljivo
Brizgalka Gentamicin sulfate 1.6 mg/ml
Brizgalka Ciprofloxacin lactate 2 mg/ml
Glukoza 5% 285
Združljivo
Brizgalka Gentamicin sulfate 5 mg/ml
Brizgalka Cisatracurium besylate 0.1 >> 5 mg/ml
Glukoza 5% 299
Kemijska nestabilnost Nezdružljivo
Brizgalka Gentamicin sulfate
Brizgalka Cisplatin
3578
Združljivo
Brizgalka Gentamicin sulfate 12 mg/ml
Brizgalka Clindamycin phosphate 90 mg/ml
Natrijev klorid 0,9% 639
Združljivo
Brizgalka Gentamicin sulfate 0.67 mg/ml
Brizgalka Clindamycin phosphate 6 mg/ml
Glukoza 5% 423
Združljivo
Brizgalka Gentamicin sulfate
Glukoza 5% 434
Nedoločena nezdružljivost Nezdružljivo
Brizgalka Gentamicin sulfate
Brizgalka Cefuzonam
3643
Združljivo
Brizgalka Gentamicin sulfate 1 mg/ml
Brizgalka Ciprofloxacin lactate 1.5 mg/ml
Natrijev klorid 0,9% 434
Združljivo
Brizgalka Gentamicin sulfate 1.6 mg/ml
Brizgalka Ciprofloxacin lactate 2 mg/ml
Glukoza 5% 288
Združljivo
Brizgalka Gentamicin sulfate 1.6 mg/ml
Brizgalka Ciprofloxacin lactate 2 mg/ml
Natrijev klorid 0,9% 288
Združljivo
Brizgalka Gentamicin sulfate 1 mg/ml
Brizgalka Ciprofloxacin lactate 1.5 mg/ml
Glukoza 5% 434
Združljivo
Brizgalka Gentamicin sulfate
Brizgalka Clindamycin phosphate
Natrijev klorid 0,9% 3526
Takoj padavine Nezdružljivo
Brizgalka Gentamicin sulfate 40 mg/ml
Brizgalka Cloxacillin sodium 100 mg/ml
Voda za injekcije 3012
Združljivo
Brizgalka Gentamicin sulfate 15 mg/ml
Brizgalka Cytarabine 16 mg/ml
Natrijev klorid 0,9% 132
Nezdružljivo
Brizgalka Gentamicin sulfate 2 & 10 mg/ml
Parenteralna prehrana (z lipidi) 4924
Združljivo
Brizgalka Gentamicin sulfate
Brizgalka Clindamycin phosphate
Glukoza 5% 3526
Nedoločena nezdružljivost Nezdružljivo
Brizgalka Gentamicin sulfate
Brizgalka Cloxacillin sodium
3520
Nedoločena nezdružljivost Nezdružljivo
Brizgalka Gentamicin sulfate
Brizgalka Cytarabine
3580
Združljivo
Brizgalka Gentamicin sulfate 1,5 mg/ml
Brizgalka Daptomycin 19,2 mg/ml
Natrijev klorid 0,9% 1937
Združljivo
Brizgalka Gentamicin sulfate 0,05 mg/ml
Parenteralna prehrana (binarno zmes) 4445
Nedoločena nezdružljivost Nezdružljivo
Brizgalka Gentamicin sulfate
Brizgalka Cloxacillin sodium
3643
Nestabilnost emulzije po 4 urah Nezdružljivo
Brizgalka Gentamicin sulfate 2 mg/ml
Parenteralna prehrana (z lipidi) 4507
Nedoločena nezdružljivost Nezdružljivo
Brizgalka Gentamicin sulfate
Brizgalka Dalteparin sodium
3643
Združljivo
Brizgalka Gentamicin sulfate
Brizgalka Daptomycin
2271
Združljivo
Brizgalka Gentamicin sulfate 10 mg/ml
Parenteralna prehrana (binarno zmes) 316
Združljivo
Brizgalka Gentamicin sulfate
Brizgalka Dimenhydrinate
2087
Združljivo
Brizgalka Gentamicin sulfate 10 & 40 mg/ml
Parenteralna prehrana (binarno zmes) 999
Subvisualna nezdružljivost Nezdružljivo
Brizgalka Gentamicin sulfate
Brizgalka Daunorubicin/cytarabine liposomale
4354
Združljivo
Brizgalka Gentamicin sulfate 1 mg/ml
Parenteralna prehrana (binarno zmes) 939
Takojšnja motnost Nezdružljivo
Brizgalka Gentamicin sulfate
Brizgalka Daunorubicin/cytarabine liposomale 0,4 mg/mL
Natrijev klorid 0,9% 4654
Združljivo
Brizgalka Gentamicin sulfate 0.8 mg/ml
Brizgalka Diatrizoate meglumine 283 mg/ml
Nobeden 1085
Združljivo
Brizgalka Gentamicin sulfate 2.4 & 40 mg/ml
Brizgalka Diltiazem hydrochloride 5 mg/ml
Natrijev klorid 0,9% 198
Združljivo
Brizgalka Gentamicin sulfate 5 mg/ml
Brizgalka Docetaxel 0.9 mg/ml
Glukoza 5% 1754
Nedoločena nezdružljivost Nezdružljivo
Brizgalka Gentamicin sulfate
Brizgalka Dopamine hydrochloride
3638
Združljivo
Brizgalka Gentamicin sulfate 5 mg/ml
Parenteralna prehrana (binarno zmes) 301
Združljivo
Brizgalka Gentamicin sulfate 5 mg/ml
Brizgalka Doripenem 5 mg/ml
Natrijev klorid 0,9% 2262
Nedoločena nezdružljivost Nezdružljivo
Brizgalka Gentamicin sulfate
NaHCO3 3520
Združljivo
Brizgalka Gentamicin sulfate 2 mg/ml
Brizgalka Dopamine hydrochloride 0.8 mg/ml
Glukoza 5% 738
Proizvodnja plinskih mehurčkov Nezdružljivo
Brizgalka Gentamicin sulfate
NaHCO3 3643
Združljivo
Brizgalka Gentamicin sulfate 5 mg/ml
Brizgalka Dexmedetomidine 4 µg/ml
Natrijev klorid 0,9% 1712
Združljivo
Brizgalka Gentamicin sulfate 5 mg/ml
Brizgalka Doripenem 5 mg/ml
Glukoza 5% 2262
Združljivo
Brizgalka Gentamicin sulfate 5 mg/ml
Parenteralna prehrana (z lipidi) 1415
Združljivo
Brizgalka Gentamicin sulfate 10 mg/ml
Brizgalka Doxapram hydrochloride 2 mg/ml
Glukoza 5% 1802
Združljivo
Brizgalka Gentamicin sulfate 5 mg/ml
Brizgalka Doxorubicin hydrochloride liposome peg 0.4 mg/ml
Glukoza 5% 251
Združljivo
Brizgalka Gentamicin sulfate 0.8 mg/ml
Brizgalka Enalaprilate 0.05 mg/ml
Natrijev klorid 0,9% 1315
Nedoločena nezdružljivost Nezdružljivo
Brizgalka Gentamicin sulfate
Brizgalka Enoxaparin sodium
3643
Združljivo
Brizgalka Gentamicin sulfate 5 mg/ml
Brizgalka Eravacycline 0,6 mg/ml
Natrijev klorid 0,9% 4434
Nedoločena nezdružljivost Nezdružljivo
Brizgalka Gentamicin sulfate
Brizgalka Erythromycin lactobionate
3674
Nedoločena nezdružljivost Nezdružljivo
Brizgalka Gentamicin sulfate
Brizgalka Erythromycin lactobionate
3520
Nedoločena nezdružljivost Nezdružljivo
Brizgalka Gentamicin sulfate
Brizgalka Erythromycin lactobionate
3643
Združljivo
Brizgalka Gentamicin sulfate 0,8 mg/ml
Brizgalka Esmolol hydrochloride 10 mg/ml
Glukoza 5% 384
Združljivo
Brizgalka Gentamicin sulfate 5 mg/ml
Brizgalka Etoposide phosphate 5 mg/ml
Glukoza 5% 1410
Združljivo
Brizgalka Gentamicin sulfate 5 mg/ml
Brizgalka Famotidine 2 mg/ml
Natrijev klorid 0,9% 215
Združljivo
Brizgalka Gentamicin sulfate 0,8 mg/ml
Brizgalka Famotidine
Glukoza 5% 397
Združljivo
Brizgalka Gentamicin sulfate 5 mg/ml
Brizgalka Fenoldopam mesylate 80 µg/ml
Natrijev klorid 0,9% 1803
Združljivo
Brizgalka Gentamicin sulfate 10 mg/ml
Brizgalka Fentanyl citrate 50 µg/ml
Glukoza 5% 63
Združljivo
Brizgalka Gentamicin sulfate 1.6 mg/ml
Brizgalka Filgrastim 40 µg/ml
Glukoza 5% 104
Združljivo
Brizgalka Gentamicin sulfate 5 mg/ml
Brizgalka Filgrastim 30 µg/ml
Glukoza 5% 244
Nedoločena nezdružljivost Nezdružljivo
Brizgalka Gentamicin sulfate
Brizgalka Flucloxacillin sodium
3643
Takoj padavine Nezdružljivo
Brizgalka Gentamicin sulfate
Brizgalka Flucloxacillin sodium
3522
Združljivo
Brizgalka Gentamicin sulfate 1 mg/ml
Brizgalka Fluconazole 2 mg/ml
Nobeden 256
Združljivo
Brizgalka Gentamicin sulfate 4 mg/ml
Brizgalka Fluconazole 2 mg/ml
Natrijev klorid 0,9% 496
Združljivo
Brizgalka Gentamicin sulfate 5 mg/ml
Brizgalka Fludarabine phosphate 1 mg/ml
Glukoza 5% 492
Združljivo
Brizgalka Gentamicin sulfate 2 mg/ml
Brizgalka Foscarnet sodium 24 mg/ml
Natrijev klorid 0,9% 1135
Združljivo
Brizgalka Gentamicin sulfate 2 mg/ml
Brizgalka Foscarnet sodium 24 mg/ml
Glukoza 5% 1135
Združljivo
Brizgalka Gentamicin sulfate 4 mg/ml
Brizgalka Foscarnet sodium 24 mg/ml
Nobeden 73
Združljivo
Brizgalka Gentamicin sulfate 10 mg/ml
Ringerjev laktat 4603
Združljivo
Brizgalka Gentamicin sulfate 5 mg/ml
Brizgalka Fosfomycin 30 mg/ml
Natrijev klorid 0,9% 4055
Takoj padavine Nezdružljivo
Brizgalka Gentamicin sulfate 0,4 mg/ml
Parenteralna prehrana (z lipidi) 4440
Združljivo
Brizgalka Gentamicin sulfate 40 mg/ml
Parenteralna prehrana (z lipidi) 673
Združljivo
Brizgalka Gentamicin sulfate 5 mg/ml
Brizgalka Fosfomycin 30 mg/ml
Glukoza 5% 4055
Takoj padavine Nezdružljivo
Brizgalka Gentamicin sulfate 10 mg/ml
Brizgalka Furosemide 10 mg/ml
789
Takoj padavine Nezdružljivo
Brizgalka Gentamicin sulfate 1,6 mg/ml
Brizgalka Furosemide 0,8 mg/ml
Glukoza 5% 367
Takoj padavine Nezdružljivo
Brizgalka Gentamicin sulfate 1,6 mg/ml
Brizgalka Furosemide 0,8 mg/ml
Natrijev klorid 0,9% 367
Takojšnja motnost Nezdružljivo
Brizgalka Gentamicin sulfate 6.4 mg/ml
Brizgalka Furosemide 5 mg/ml
805
Padavine po 2 urah Nezdružljivo
Brizgalka Gentamicin sulfate 8 mg/ml
Brizgalka Furosemide 1 mg/ml
Natrijev klorid 0,9% 1232
Združljivo
Brizgalka Gentamicin sulfate 5 mg/ml
Brizgalka Gemcitabine hydrochloride 10 mg/ml
Natrijev klorid 0,9% 1423
Združljivo
Brizgalka Gentamicin sulfate 1.5 mg/ml
Brizgalka Granisetron hydrochloride 1 mg/ml
Natrijev klorid 0,9% 57
Združljivo
Brizgalka Gentamicin sulfate 1 & 2 mg/ml
Brizgalka Heparin sodium 2500 UI/ml
4612
Takoj padavine Nezdružljivo
Brizgalka Gentamicin sulfate 4 >> 40 mg/ml
Brizgalka Heparin sodium 10 >> 40 UI/ml
1258
Takoj padavine Nezdružljivo
Brizgalka Gentamicin sulfate
Brizgalka Heparin sodium
1022
Nedoločena nezdružljivost Nezdružljivo
Brizgalka Gentamicin sulfate 2 mg/ml
Brizgalka Heparin sodium 50 UI/ml
Nobeden 317
Nedoločena nezdružljivost Nezdružljivo
Brizgalka Gentamicin sulfate
Brizgalka Heparin sodium
3643
Nedoločena nezdružljivost Nezdružljivo
Brizgalka Gentamicin sulfate
Brizgalka Heparin sodium
3520
Nedoločena nezdružljivost Nezdružljivo
Brizgalka Gentamicin sulfate
Brizgalka Heparin sodium
3540
Takojšnja motnost Nezdružljivo
Brizgalka Gentamicin sulfate 3 mg/ml
Brizgalka Heparin sodium 2500 UI/ml
4612
Takoj padavine Nezdružljivo
Brizgalka Gentamicin sulfate 4 & 5 mg/ml
Brizgalka Heparin sodium 2500 UI/ml
4612
Združljivo
Brizgalka Gentamicin sulfate 5 mg/ml
Brizgalka Hetastarch 60 mg/ml
Posebni topila 1721
Takoj padavine Nezdružljivo
Brizgalka Gentamicin sulfate 0.8 mg/ml
Brizgalka Hetastarch 60 mg/ml
Natrijev klorid 0,9% 472
Združljivo
Brizgalka Gentamicin sulfate 0.8 mg/ml
Brizgalka Hydromorphone hydrochloride 0.2 mg/ml
Glukoza 5% 405
Sprememba barve Nezdružljivo
Brizgalka Gentamicin sulfate 3 mg/ml
Brizgalka Idarubicin hydrochloride 1 mg/ml
Natrijev klorid 0,9% 491
Takoj padavine Nezdružljivo
Brizgalka Gentamicin sulfate 1 mg/ml
Brizgalka Indomethacin sodium trihydrate 0,5 & 1 mg/ml
Glukoza 5% 494
Padavine po 15 urah Nezdružljivo
Brizgalka Gentamicin sulfate 1 mg/ml
Brizgalka Indomethacin sodium trihydrate 0,5 & 1 mg/ml
Glukoza 5% 1745
Združljivo
Brizgalka Gentamicin sulfate 1.2 >> 2 mg/ml
Brizgalka Insulin 0.2 UI/ml
Natrijev klorid 0,9% 129
Združljivo
Brizgalka Gentamicin sulfate 0.8 mg/ml
Brizgalka Iohexol 300 mg I/ml
Nobeden 1085
Takoj padavine Nezdružljivo
Brizgalka Gentamicin sulfate 0.8 mg/ml
Brizgalka Ioxaglate 320 mg I/ml
Nobeden 1085
Združljivo
Brizgalka Gentamicin sulfate 5 mg/ml
Brizgalka Isavuconazonium sulfate 1.5 mg/ml
Glukoza 5% 3829
Združljivo
Brizgalka Gentamicin sulfate 5 mg/ml
Brizgalka Isavuconazonium sulfate 1.5 mg/ml
Natrijev klorid 0,9% 3829
Združljivo
Brizgalka Gentamicin sulfate 40 mg/ml
Brizgalka Ketamine hydrochloride 50 mg/ml
2109
Združljivo
Brizgalka Gentamicin sulfate 0.8 mg/ml
Brizgalka Labetalol hydrochloride 1 mg/ml
Glukoza 5% 386
Združljivo
Brizgalka Gentamicin sulfate 5 mg/ml
Brizgalka Lansoprazole 0.55 mg/ml
Natrijev klorid 0,9% 1625
Združljivo
Brizgalka Gentamicin sulfate 10 mg/ml
Brizgalka Levofloxacine 5 mg/ml
Glukoza 5% 1072
Združljivo
Brizgalka Gentamicin sulfate 0,75 mg/ml
Brizgalka Linezolid 1,80 mg/ml
2353
Združljivo
Brizgalka Gentamicin sulfate 5 mg/ml
Brizgalka Linezolid 2 mg/ml
Nobeden 1925
Združljivo
Brizgalka Gentamicin sulfate 3 mg/ml
Brizgalka Lorazepam 0.33 mg/ml
Natrijev klorid 0,9% 186
Združljivo
Brizgalka Gentamicin sulfate 0.8 mg/ml
Brizgalka Magnesium sulfate 16.67 >> 100 mg/ml
Glukoza 5% 1047
Združljivo
Brizgalka Gentamicin sulfate 5 mg/ml
Brizgalka Melphalan 0.1 mg/ml
Natrijev klorid 0,9% 169
Združljivo
Brizgalka Gentamicin sulfate 40 mg/ml
Brizgalka Meropenem 50 mg/ml
Voda za injekcije 4319
Združljivo
Brizgalka Gentamicin sulfate 0.8 mg/ml
Brizgalka Meropenem 1 & 20 mg/ml
Natrijev klorid 0,9% 266
Združljivo
Brizgalka Gentamicin sulfate 4 mg/ml
Brizgalka Meropenem 1 & 50 mg/ml
Natrijev klorid 0,9% 266
Združljivo
Brizgalka Gentamicin sulfate 30 mg/ml
Brizgalka Meropenem 10 mg/ml
Natrijev klorid 0,9% 2335
Združljivo
Brizgalka Gentamicin sulfate 0,8 & 1,2 mg/ml
Brizgalka Metronidazole 5 mg/ml
Nobeden 1243
Združljivo
Brizgalka Gentamicin sulfate 0.8 mg/ml
Brizgalka Metronidazole 5 mg/ml
Nobeden 1035
Združljivo
Brizgalka Gentamicin sulfate
Brizgalka Metronidazole
3594
Združljivo
Brizgalka Gentamicin sulfate 3 mg/ml
Brizgalka Midazolam hydrochloride 5 mg/ml
Nobeden 186
Združljivo
Brizgalka Gentamicin sulfate 10 mg/ml
Brizgalka Midazolam hydrochloride 1 mg/ml
Glukoza 5% 176
Združljivo
Brizgalka Gentamicin sulfate 0.8 mg/ml
Brizgalka Midazolam hydrochloride 0.05 >> 0.4 mg/ml
Natrijev klorid 0,9% 1888
Nedoločena nezdružljivost Nezdružljivo
Brizgalka Gentamicin sulfate
Brizgalka Mitomycin
4471
Kemijska nestabilnost Nezdružljivo
Brizgalka Gentamicin sulfate
Brizgalka Mitomycin
3128
Združljivo
Brizgalka Gentamicin sulfate 1.2 & 2 mg/ml
Brizgalka Morphine sulfate 1 mg/ml
Natrijev klorid 0,9% 406
Združljivo
Brizgalka Gentamicin sulfate 0.8 mg/ml
Brizgalka Morphine sulfate 1 mg/ml
Glukoza 5% 405
Nedoločena nezdružljivost Nezdružljivo
Brizgalka Gentamicin sulfate
Brizgalka Moxalactam
3643
Nedoločena nezdružljivost Nezdružljivo
Brizgalka Gentamicin sulfate
Brizgalka Moxalactam
3520
Združljivo
Brizgalka Gentamicin sulfate 40 mg/ml
Brizgalka N-acetylcysteine 200 mg/ml
Nobeden 3766
Nedoločena nezdružljivost Nezdružljivo
Brizgalka Gentamicin sulfate
Brizgalka Nadroparin
3643
Nedoločena nezdružljivost Nezdružljivo
Brizgalka Gentamicin sulfate
Brizgalka Nafcillin sodium
3643
Nedoločena nezdružljivost Nezdružljivo
Brizgalka Gentamicin sulfate
Brizgalka Nafcillin sodium
3520
Združljivo
Brizgalka Gentamicin sulfate 40 mg/ml
Brizgalka Naloxone hydrochloride 0.4 mg/ml
Nobeden 3408
Združljivo
Brizgalka Gentamicin sulfate 4.17 mg/ml
Brizgalka Nefopam 0.16 mg/ml
Natrijev klorid 0,9% 4254
Združljivo
Brizgalka Gentamicin sulfate 4.17 mg/ml
Brizgalka Nefopam 0.16 mg/ml
Glukoza 5% 4254
Združljivo
Brizgalka Gentamicin sulfate 0.8 mg/ml
Brizgalka Nicardipine hydrochloride 0.1 mg/ml
Glukoza 5% 1490
Združljivo
Brizgalka Gentamicin sulfate 0.8 mg/ml
Brizgalka Nicardipine hydrochloride 0.1 mg/ml
Natrijev klorid 0,9% 1490
Združljivo
Brizgalka Gentamicin sulfate 0,8 mg/ml
Brizgalka Ofloxacin 2 mg/ml
Nobeden 889
Združljivo
Brizgalka Gentamicin sulfate 5 mg/ml
Brizgalka Ondansetron hydrochloride 1 mg/ml
Natrijev klorid 0,9% 334
Združljivo
Brizgalka Gentamicin sulfate 5 mg/ml
Brizgalka Oritavancin 0.8 >>2 mg/ml
Glukoza 5% 3152
Nedoločena nezdružljivost Nezdružljivo
Brizgalka Gentamicin sulfate
Brizgalka Oxacillin sodium
3643
Nedoločena nezdružljivost Nezdružljivo
Brizgalka Gentamicin sulfate
Brizgalka Oxacillin sodium
3520
Združljivo
Brizgalka Gentamicin sulfate 40 mg/ml
Brizgalka Oxycodone hydrochloride 1 mg/ml
Natrijev klorid 0,9% 4842
Združljivo
Brizgalka Gentamicin sulfate 5 mg/ml
Brizgalka Paclitaxel 1.2 mg/ml
Glukoza 5% 248
Združljivo
Brizgalka Gentamicin sulfate 5 mg/ml
Brizgalka Palonosetron hydrochloride 50 µg/ml
Glukoza 5% 2228
Združljivo
Brizgalka Gentamicin sulfate 2 mg/ml
Brizgalka Pancuronium bromide 0.05 mg/ml
Glukoza 5% 402
Takoj padavine Nezdružljivo
Brizgalka Gentamicin sulfate
Brizgalka Pantoprazole sodium
2090
Združljivo
Brizgalka Gentamicin sulfate 40 mg/ml
Brizgalka Paracetamol 10 mg/ml
4742
Takoj padavine Nezdružljivo
Brizgalka Gentamicin sulfate 5 mg/ml
Brizgalka Pemetrexed disodium 20 mg/ml
1953
Nedoločena nezdružljivost Nezdružljivo
Brizgalka Gentamicin sulfate
Brizgalka Penicillin G potassium
3643
Nedoločena nezdružljivost Nezdružljivo
Brizgalka Gentamicin sulfate
Brizgalka Penicillin G potassium
3520
Nedoločena nezdružljivost Nezdružljivo
Brizgalka Gentamicin sulfate
Brizgalka Penicillin G sodium
3643
Nedoločena nezdružljivost Nezdružljivo
Brizgalka Gentamicin sulfate
Brizgalka Penicillin G sodium
3520
Združljivo
Brizgalka Gentamicin sulfate 10 mg/ml
Brizgalka Pentoxifyllin 5 mg/ml
Natrijev klorid 0,9% 4543
Združljivo
Brizgalka Gentamicin sulfate 0.8 mg/ml
Brizgalka Pethidine hydrochloride 10 mg/ml
Glukoza 5% 405
Takoj padavine Nezdružljivo
Brizgalka Gentamicin sulfate 10 mg/ml
Brizgalka Phenytoin sodium 50 mg/ml
789
Združljivo
Brizgalka Gentamicin sulfate 20 mg/ml
Brizgalka Phloroglucinol 2,5 mg/ml
3791
Nedoločena nezdružljivost Nezdružljivo
Brizgalka Gentamicin sulfate
Brizgalka Piperacillin sodium
3520
Nedoločena nezdružljivost Nezdružljivo
Brizgalka Gentamicin sulfate
Brizgalka Piperacillin sodium
3643
Nedoločena nezdružljivost Nezdružljivo
Brizgalka Gentamicin sulfate
Brizgalka Piperacillin sodium / tazobactam
3520
Kemijska nestabilnost Nezdružljivo
Brizgalka Gentamicin sulfate
Brizgalka Piperacillin sodium / tazobactam
3586
Nedoločena nezdružljivost Nezdružljivo
Brizgalka Gentamicin sulfate
Brizgalka Piperacillin sodium / tazobactam
3643
Združljivo
Brizgalka Gentamicin sulfate
Brizgalka Posaconazole
4380
Združljivo
Brizgalka Gentamicin sulfate 30 mg/ml
Brizgalka Potassium chloride 20 mEq/l
NaCl 0,45% Glukoza 5% 2335
Takojšnja nestabilnost emulzije Nezdružljivo
Brizgalka Gentamicin sulfate 2 mg/ml
Brizgalka Propofol
660
Nedoločena nezdružljivost Nezdružljivo
Brizgalka Gentamicin sulfate 40 mg/ml
Brizgalka Propofol
4524
Takoj padavine Nezdružljivo
Brizgalka Gentamicin sulfate 5 mg/ml
Brizgalka Propofol 10 mg/ml
Nobeden 300
Združljivo
Brizgalka Gentamicin sulfate 5 mg/ml
Brizgalka Remifentanil hydrochloride 25 & 250 µg/ml
Natrijev klorid 0,9% 59
Združljivo
Brizgalka Gentamicin sulfate 40 mg/ml
Brizgalka Salbutamol sulfate 1 mg/ml
Nobeden 3216
Združljivo
Brizgalka Gentamicin sulfate 5 mg/ml
Brizgalka Sargramostim 10 µg/ml
Natrijev klorid 0,9% 335
Združljivo
Brizgalka Gentamicin sulfate 10 mg/ml
Brizgalka Sildenafil citrate 0,6 mg/ml
Glukoza 5% 4845
Združljivo
Brizgalka Gentamicin sulfate 2,4 mg/ml
Brizgalka Sodium bicarbonate 40 mg/ml
Nobeden 3122
Proizvodnja plinskih mehurčkov Nezdružljivo
Brizgalka Gentamicin sulfate
Brizgalka Sodium bicarbonate
3643
Združljivo
Brizgalka Gentamicin sulfate 2.5 mg/ml
Brizgalka Sodium citrate 40 mg/ml
Voda za injekcije 3952
Združljivo
Brizgalka Gentamicin sulfate 40 mg/ml
Brizgalka Sugammadex 100 mg/ml
Nobeden 3372
Združljivo
Brizgalka Gentamicin sulfate 5 mg/ml
Brizgalka Sulbactam/durlobactam 15/15 mg/ml
Natrijev klorid 0,9% 4801
Združljivo
Brizgalka Gentamicin sulfate 4 mg/ml
Brizgalka Tacrolimus 1000 µg/ml
Natrijev klorid 0,9% 479
Združljivo
Brizgalka Gentamicin sulfate
Natrijev klorid 0,9% 1704
Združljivo
Brizgalka Gentamicin sulfate
Natrijev klorid 0,9% 434
Nedoločena nezdružljivost Nezdružljivo
Brizgalka Gentamicin sulfate
Brizgalka Sodium bicarbonate
3520
Združljivo
Brizgalka Gentamicin sulfate 1 >> 5 mg/ml
Brizgalka Sodium citrate 40 mg/ml
Nobeden 2019
Takojšnja motnost Nezdružljivo
Brizgalka Gentamicin sulfate 5 mg/ml
Brizgalka Tedizolid phosphate 0.8 mg/ml
Natrijev klorid 0,9% 3827
Nedoločena nezdružljivost Nezdružljivo
Brizgalka Gentamicin sulfate
Brizgalka Teicoplanine
3656
Združljivo
Brizgalka Gentamicin sulfate 5 mg/ml
Brizgalka Telavancin hydrochloride 7.5 mg/ml
Ringerjev laktat 3254
Združljivo
Brizgalka Gentamicin sulfate 5 mg/ml
Brizgalka Telavancin hydrochloride 7.5 mg/ml
Natrijev klorid 0,9% 3254
Združljivo
Brizgalka Gentamicin sulfate 5 mg/ml
Brizgalka Telavancin hydrochloride 7.5 mg/ml
Glukoza 5% 3254
Združljivo
Brizgalka Gentamicin sulfate 6 mg/ml
Brizgalka Temocilline 83.33 mg/ml
Voda za injekcije 2231
Nedoločena nezdružljivost Nezdružljivo
Brizgalka Gentamicin sulfate
Brizgalka Temocilline
3643
Nedoločena nezdružljivost Nezdružljivo
Brizgalka Gentamicin sulfate
Brizgalka Temocilline
3520
Nedoločena nezdružljivost Nezdružljivo
Brizgalka Gentamicin sulfate
Brizgalka Temocilline
2296
Združljivo
Brizgalka Gentamicin sulfate 5 mg/ml
Brizgalka Teniposide 0.1 mg/ml
Glukoza 5% 905
Združljivo
Brizgalka Gentamicin sulfate 2 mg/ml
Brizgalka Theophylline 4 mg/ml
Nobeden 317
Takoj padavine Nezdružljivo
Brizgalka Gentamicin sulfate 40 mg/ml
Brizgalka Thiopental sodium 25 mg/ml
Natrijev klorid 0,9% 3767
Združljivo
Brizgalka Gentamicin sulfate 5 mg/ml
Brizgalka Thiotepa 1 mg/ml
Glukoza 5% 249
Kemijska nestabilnost Nezdružljivo
Brizgalka Gentamicin sulfate
Brizgalka Ticarcillin / clavulanic acid
3587
Nedoločena nezdružljivost Nezdružljivo
Brizgalka Gentamicin sulfate
Brizgalka Ticarcillin / clavulanic acid
3643
Nedoločena nezdružljivost Nezdružljivo
Brizgalka Gentamicin sulfate
Brizgalka Ticarcillin / clavulanic acid
3520
Združljivo
Brizgalka Gentamicin sulfate
Brizgalka Tigecycline
Natrijev klorid 0,9% 3332
Združljivo
Brizgalka Gentamicin sulfate 6 mg/ml
Brizgalka Vancomycin hydrochloride 10 mg/ml
Glukoza 5% 3385
Združljivo
Brizgalka Gentamicin sulfate 1.2 mg/ml
Brizgalka Vasopressin 0.2 UI/ml
Natrijev klorid 0,9% 2017
Združljivo
Brizgalka Gentamicin sulfate 2 mg/ml
Brizgalka Vecuronium bromide 0.1 mg/ml
Glukoza 5% 402
Združljivo
Brizgalka Gentamicin sulfate 0.16 mg/ml
Brizgalka Verapamil hydrochloride 0.08 mg/ml
Glukoza 5% 1057
Združljivo
Brizgalka Gentamicin sulfate 0.16 mg/ml
Brizgalka Verapamil hydrochloride 0.08 mg/ml
Natrijev klorid 0,9% 1057
Združljivo
Brizgalka Gentamicin sulfate 5 mg/ml
Brizgalka Vinorelbine tartrate 1 mg/ml
Natrijev klorid 0,9% 84
Takojšnja motnost Nezdružljivo
Brizgalka Gentamicin sulfate 1.6 mg/ml
Brizgalka Warfarin sodium 2 mg/ml
Glukoza 5% 315
Združljivo
Brizgalka Gentamicin sulfate 2 mg/ml
Brizgalka Zidovudine 4 mg/ml
Glukoza 5% 337

  Mentions Légales