Utolsó frissítés :
18/03/2026
Antibiotikum   Gentamicin sulfate  
Injekció
Szemcsepp
Az oldatok stabilitása A keverékek stabilitása Stabilitást befolyásoló tényezők Kompatibilitás Az alkalmazás módja Irodalom pdf
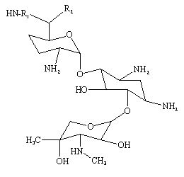
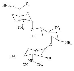
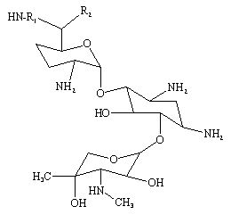
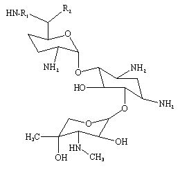
   Kémiai szerkezet   

Kereskedelmi név   Kereskedelmi név     

A kereskedelmi név meghatározó jelentőségű: a készítmények összetétele országonként, előállítóként eltérő lehet

Azupel Peru
Cidomycin Egyiptom, Nagy-Britannia, Tunézia
Dabroson Görögország
Epigent Egyiptom
Garalone Portugália
Garamicina Brazília, Colombia, Ecuador, Mexikó
Garamycin Dánia, Egyesült Arab Emírségek, Egyiptom, Görögország, Hollandia, Horvátország, India, Lengyelország, Norvégia, Svájc
Genmisin Törökország
Gensif Törökország
Gensumycin Finnország, Norvégia, Svédország
Genta-Gobens Spanyolország
Gentalline Marokkó
Gentamen Marokkó
Genticin Egyesült Arab Emírségek, Írország, Nagy-Britannia
Gentreks Törökország
Hexamycin Dánia
Plurisemina Argentína
Refobacin Ausztria, Colombia, Egyiptom, Németország
Rupegen Argentína
Kompatibilitás   Injekció   Kompatibilitás : Gentamicin sulfate              
Ovdje su prikazane kompatibilnosti ili nekompatibilnosti s tipom nekompatibilnosti (taloženje, promjena boje, modifikacija emulzije itd.) u ovom slučaju. Kompatibilnosti prikazane ovdje najčešće su fizikalne dok se kemijska stabilnost molekule rijetko procjenjuje. Procjena ovih mikstura je proučavana kako bi se razmotrila mogućnost primjene lijeka putem Y-mjesta. Ovi se podaci ne smiju koristiti za pripremu mikstura unaprijed u vrećicama ili štrcaljkama. Ova vrsta informacije se može pronaći u odjeljku « stabilnost u miksturama ».
Vegyület Oldószer Irodalom
Összeegyeztethető
Injekció Gentamicin sulfate 1.6 mg/ml
Injekció Aciclovir sodium 5 mg/ml
5% glükóz 336
Azonnali csapadék Összeegyeztethetetlen
Injekció Gentamicin sulfate 30 mg/ml
Injekció Aciclovir sodium 5 mg/ml
0,9% nátrium-klorid 2335
Csapadék 1 óra után Összeegyeztethetetlen
Injekció Gentamicin sulfate 5 mg/ml
Injekció Allopurinol sodium 3 mg/ml
0,9% nátrium-klorid 307
Összeegyeztethető
Injekció Gentamicin sulfate 1 mg/ml
Injekció Alprostadil 15 µg/ml
3201
Összeegyeztethető
Injekció Gentamicin sulfate 5 mg/ml
Injekció Amifostine 10 mg/ml
5% glükóz 3
Összeegyeztethető
Injekció Gentamicin sulfate 0.8 mg/ml
Injekció Amiodarone hydrochloride 4 mg/ml
0,9% nátrium-klorid 385
Összeegyeztethető
Injekció Gentamicin sulfate 0.8 mg/ml
Injekció Amiodarone hydrochloride 4 mg/ml
5% glükóz 385
Meghatározatlan összeférhetetlenség Összeegyeztethetetlen
Injekció Gentamicin sulfate
Injekció Amoxicillin sodium
3643
Meghatározatlan összeférhetetlenség Összeegyeztethetetlen
Injekció Gentamicin sulfate
Injekció Amoxicillin sodium
3520
Kémiai instabilitás Összeegyeztethetetlen
Injekció Gentamicin sulfate
Injekció Amoxicillin sodium
3527
Meghatározatlan összeférhetetlenség Összeegyeztethetetlen
Injekció Gentamicin sulfate
Injekció Amoxicillin sodium / clavulanic acid
3643
Meghatározatlan összeférhetetlenség Összeegyeztethetetlen
Injekció Gentamicin sulfate
Injekció Amoxicillin sodium / clavulanic acid
3545
Meghatározatlan összeférhetetlenség Összeegyeztethetetlen
Injekció Gentamicin sulfate
Injekció Amoxicillin sodium / clavulanic acid
3520
Összeegyeztethető
Injekció Gentamicin sulfate 40 mg/ml
Injekció Amoxicillin sodium / clavulanic acid 100/10 mg/ml
3824
Azonnali csapadék Összeegyeztethetetlen
Injekció Gentamicin sulfate 5 mg/ml
Injekció Amphotericin B cholesteryl sulfate complex 0,83 mg/ml
5% glükóz 921
Meghatározatlan összeférhetetlenség Összeegyeztethetetlen
Injekció Gentamicin sulfate
Injekció Ampicillin sodium
3643
Meghatározatlan összeférhetetlenség Összeegyeztethetetlen
Injekció Gentamicin sulfate
Injekció Ampicillin sodium
3520
Meghatározatlan összeférhetetlenség Összeegyeztethetetlen
Injekció Gentamicin sulfate
Injekció Ampicillin sodium - sulbactam sodium
3643
Meghatározatlan összeférhetetlenség Összeegyeztethetetlen
Injekció Gentamicin sulfate
Injekció Ampicillin sodium - sulbactam sodium
3520
Összeegyeztethető
Injekció Gentamicin sulfate 5 mg/ml
Injekció Amsacrine 1 mg/ml
5% glükóz 253
Összeegyeztethető
Injekció Gentamicin sulfate 5 mg/ml
Injekció Anidulafungin 0.5 mg/ml
5% glükóz 1982
Összeegyeztethető
Injekció Gentamicin sulfate 0,8 mg/ml
Injekció Atosiban 0,75 mg/ml
4642
Összeegyeztethető
Injekció Gentamicin sulfate 2 mg/ml
Injekció Atracurium besylate 0.5 mg/ml
5% glükóz 402
Azonnali csapadék Összeegyeztethetetlen
Injekció Gentamicin sulfate 21 mg/ml
Injekció Azithromycine 2 mg/ml
0,9% nátrium-klorid 1800
Összeegyeztethető
Injekció Gentamicin sulfate 5 mg/ml
Injekció Aztreonam 40 mg/ml
5% glükóz 99
Összeegyeztethető
Injekció Gentamicin sulfate 0.2 & 0.8 mg/ml
Injekció Aztreonam 10 & 20 mg/ml
0,9% nátrium-klorid 19
Összeegyeztethető
Injekció Gentamicin sulfate 0.2 & 0.8 mg/ml
Injekció Aztreonam 10 & 20 mg/ml
5% glükóz 19
Összeegyeztethető
Injekció Gentamicin sulfate 5 mg/ml
Injekció Bivalirudin 5 mg/ml
5% glükóz 1713
Összeegyeztethető
Injekció Gentamicin sulfate 10 mg/ml
Injekció Caffeine 10 mg/ml
Egy sem 3964
Összeegyeztethető
Injekció Gentamicin sulfate 10 mg/ml
Injekció Caffeine 10 mg/ml
0,9% nátrium-klorid 4837
Összeegyeztethető
Injekció Gentamicin sulfate 10 mg/ml
Injekció Caffeine citrate 20 mg/ml
0,9% nátrium-klorid 4837
Meghatározatlan összeférhetetlenség Összeegyeztethetetlen
Injekció Gentamicin sulfate
Injekció Calcium gluconate
3644
Összeegyeztethetetlen
Injekció Gentamicin sulfate
Injekció Calcium gluconate
4964
Összeegyeztethető
Injekció Gentamicin sulfate 5 mg/ml
Injekció Caspofungin acetate 0,7 mg/ml
0,9% nátrium-klorid 2247
Meghatározatlan összeférhetetlenség Összeegyeztethetetlen
Injekció Gentamicin sulfate
Injekció Cefalotin sodium
3520
Meghatározatlan összeférhetetlenség Összeegyeztethetetlen
Injekció Gentamicin sulfate
Injekció Cefalotin sodium
3643
Azonnali csapadék Összeegyeztethetetlen
Injekció Gentamicin sulfate
Injekció Cefamandole nafate 2 >> 100 mg/ml
5% glükóz 612
Meghatározatlan összeférhetetlenség Összeegyeztethetetlen
Injekció Gentamicin sulfate
Injekció Cefamandole nafate
3643
Meghatározatlan összeférhetetlenség Összeegyeztethetetlen
Injekció Gentamicin sulfate
Injekció Cefamandole nafate
3520
Meghatározatlan összeférhetetlenség Összeegyeztethetetlen
Injekció Gentamicin sulfate
Injekció Cefamandole nafate
3546
Azonnali csapadék Összeegyeztethetetlen
Injekció Gentamicin sulfate
Injekció Cefamandole nafate 2 >> 100 mg/ml
0,9% nátrium-klorid 612
Meghatározatlan összeférhetetlenség Összeegyeztethetetlen
Injekció Gentamicin sulfate
Injekció Cefazolin sodium
3520
Meghatározatlan összeférhetetlenség Összeegyeztethetetlen
Injekció Gentamicin sulfate
Injekció Cefazolin sodium
3643
Meghatározatlan összeférhetetlenség Összeegyeztethetetlen
Injekció Gentamicin sulfate
Injekció Cefepime dihydrochloride
3520
Összeegyeztethető
Injekció Gentamicin sulfate 6 mg/ml
Injekció Cefepime dihydrochloride 125 mg/ml
Injekcióhoz való víz 2141
Meghatározatlan összeférhetetlenség Összeegyeztethetetlen
Injekció Gentamicin sulfate
Injekció Cefepime dihydrochloride
3548
Meghatározatlan összeférhetetlenség Összeegyeztethetetlen
Injekció Gentamicin sulfate
Injekció Cefepime dihydrochloride
3643
Összeegyeztethető
Injekció Gentamicin sulfate 5 mg/ml
Injekció Cefiderocol sulfate tosylate 20 mg/mL
5% glükóz 4528
Összeegyeztethető
Injekció Gentamicin sulfate 5 mg/ml
Injekció Cefiderocol sulfate tosylate 20 mg/mL
0,9% nátrium-klorid 4528
Meghatározatlan összeférhetetlenség Összeegyeztethetetlen
Injekció Gentamicin sulfate
Injekció Cefmenoxime
3520
Meghatározatlan összeférhetetlenség Összeegyeztethetetlen
Injekció Gentamicin sulfate
Injekció Cefmenoxime
3643
Meghatározatlan összeférhetetlenség Összeegyeztethetetlen
Injekció Gentamicin sulfate
Injekció Cefmetazole sodium
3520
Meghatározatlan összeférhetetlenség Összeegyeztethetetlen
Injekció Gentamicin sulfate
Injekció Cefmetazole sodium
3643
Meghatározatlan összeférhetetlenség Összeegyeztethetetlen
Injekció Gentamicin sulfate
Injekció Cefonicid sodium
3643
Meghatározatlan összeférhetetlenség Összeegyeztethetetlen
Injekció Gentamicin sulfate
Injekció Cefonicid sodium
3520
Meghatározatlan összeférhetetlenség Összeegyeztethetetlen
Injekció Gentamicin sulfate
Injekció Cefoperazone sodium
3544
Meghatározatlan összeférhetetlenség Összeegyeztethetetlen
Injekció Gentamicin sulfate
Injekció Cefoperazone sodium
3643
Azonnali csapadék Összeegyeztethetetlen
Injekció Gentamicin sulfate 0.8 mg/ml
Injekció Cefoperazone sodium 10 mg/ml
5% glükóz 1206
Meghatározatlan összeférhetetlenség Összeegyeztethetetlen
Injekció Gentamicin sulfate
Injekció Cefoperazone sodium
3520
Meghatározatlan összeférhetetlenség Összeegyeztethetetlen
Injekció Gentamicin sulfate
Injekció Ceforanide
3643
Meghatározatlan összeférhetetlenség Összeegyeztethetetlen
Injekció Gentamicin sulfate
Injekció Ceforanide
3520
Meghatározatlan összeférhetetlenség Összeegyeztethetetlen
Injekció Gentamicin sulfate
Injekció Cefotaxime sodium
3520
Meghatározatlan összeférhetetlenség Összeegyeztethetetlen
Injekció Gentamicin sulfate
Injekció Cefotaxime sodium
3643
Meghatározatlan összeférhetetlenség Összeegyeztethetetlen
Injekció Gentamicin sulfate
Injekció Cefoxitin sodium
3643
Meghatározatlan összeférhetetlenség Összeegyeztethetetlen
Injekció Gentamicin sulfate
Injekció Cefoxitin sodium
3520
Összeegyeztethető
Injekció Gentamicin sulfate 1 mg/ml
Injekció Cefpirome sulfate 50 mg/ml
0,9% nátrium-klorid 280
Összeegyeztethető
Injekció Gentamicin sulfate 1 mg/ml
Injekció Cefpirome sulfate 50 mg/ml
Ringer-laktát oldat 280
Összeegyeztethető
Injekció Gentamicin sulfate 1 mg/ml
Injekció Cefpirome sulfate 50 mg/ml
0,45% nátrium-klorid 280
Meghatározatlan összeférhetetlenség Összeegyeztethetetlen
Injekció Gentamicin sulfate
Injekció Cefpirome sulfate
3643
Meghatározatlan összeférhetetlenség Összeegyeztethetetlen
Injekció Gentamicin sulfate
Injekció Cefpirome sulfate
3677
Összeegyeztethető
Injekció Gentamicin sulfate 1 mg/ml
Injekció Cefpirome sulfate 50 mg/ml
5% glükóz 280
Meghatározatlan összeférhetetlenség Összeegyeztethetetlen
Injekció Gentamicin sulfate
Injekció Cefpirome sulfate
3520
Összeegyeztethető
Injekció Gentamicin sulfate 5 mg/ml
Injekció Ceftaroline fosamil 2,22 mg/ml
0,9% nátrium-klorid 3249
Összeegyeztethető
Injekció Gentamicin sulfate 5 mg/ml
Injekció Ceftaroline fosamil 2,22 mg/ml
Ringer-laktát oldat 3249
Összeegyeztethető
Injekció Gentamicin sulfate 5 mg/ml
Injekció Ceftaroline fosamil 2,22 mg/ml
5% glükóz 3249
Meghatározatlan összeférhetetlenség Összeegyeztethetetlen
Injekció Gentamicin sulfate
Injekció Ceftaroline fosamil
3643
Meghatározatlan összeférhetetlenség Összeegyeztethetetlen
Injekció Gentamicin sulfate
Injekció Ceftaroline fosamil
3520
Meghatározatlan összeférhetetlenség Összeegyeztethetetlen
Injekció Gentamicin sulfate
Injekció Ceftazidime
3543
Meghatározatlan összeférhetetlenség Összeegyeztethetetlen
Injekció Gentamicin sulfate
Injekció Ceftazidime
3520
Meghatározatlan összeférhetetlenség Összeegyeztethetetlen
Injekció Gentamicin sulfate
Injekció Ceftazidime
3643
Összeegyeztethető
Injekció Gentamicin sulfate 6 mg/ml
Injekció Ceftazidime 125 mg/ml
Injekcióhoz való víz 2141
Összeegyeztethető
Injekció Gentamicin sulfate 6 mg/ml
Injekció Ceftazidime 83.3 mg/ml
1759
Meghatározatlan összeférhetetlenség Összeegyeztethetetlen
Injekció Gentamicin sulfate
Injekció Ceftazidime
3883
Meghatározatlan összeférhetetlenség Összeegyeztethetetlen
Injekció Gentamicin sulfate
Injekció Ceftazidime Avibactam
3520
Meghatározatlan összeférhetetlenség Összeegyeztethetetlen
Injekció Gentamicin sulfate
Injekció Ceftazidime Avibactam
3643
Meghatározatlan összeférhetetlenség Összeegyeztethetetlen
Injekció Gentamicin sulfate
Injekció Ceftizoxime sodium
3643
Meghatározatlan összeférhetetlenség Összeegyeztethetetlen
Injekció Gentamicin sulfate
Injekció Ceftizoxime sodium
3520
Meghatározatlan összeférhetetlenség Összeegyeztethetetlen
Injekció Gentamicin sulfate
Injekció Ceftobiprole medocaril sodium
3643
Meghatározatlan összeférhetetlenség Összeegyeztethetetlen
Injekció Gentamicin sulfate
Injekció Ceftobiprole medocaril sodium
4650
Azonnali csapadék Összeegyeztethetetlen
Injekció Gentamicin sulfate 5 mg/ml
Injekció Ceftobiprole medocaril sodium 2 mg/ml
5% glükóz 2269
Azonnali csapadék Összeegyeztethetetlen
Injekció Gentamicin sulfate 5 mg/ml
Injekció Ceftobiprole medocaril sodium 2 mg/ml
Ringer-laktát oldat 2269
Azonnali csapadék Összeegyeztethetetlen
Injekció Gentamicin sulfate 5 mg/ml
Injekció Ceftobiprole medocaril sodium 2 mg/ml
0,9% nátrium-klorid 2269
Meghatározatlan összeférhetetlenség Összeegyeztethetetlen
Injekció Gentamicin sulfate
Injekció Ceftobiprole medocaril sodium
3520
Összeegyeztethető
Injekció Gentamicin sulfate 5 mg/ml
Injekció Ceftolozane / tazobactam 10/5 mg/ml
5% glükóz 3828
Meghatározatlan összeférhetetlenség Összeegyeztethetetlen
Injekció Gentamicin sulfate
Injekció Ceftolozane / tazobactam
3643
Meghatározatlan összeférhetetlenség Összeegyeztethetetlen
Injekció Gentamicin sulfate
Injekció Ceftolozane / tazobactam
3520
Összeegyeztethető
Injekció Gentamicin sulfate 5 mg/ml
Injekció Ceftolozane / tazobactam 10/5 mg/ml
0,9% nátrium-klorid 3828
Meghatározatlan összeférhetetlenség Összeegyeztethetetlen
Injekció Gentamicin sulfate
Injekció Ceftriaxone disodium
3523
Meghatározatlan összeférhetetlenség Összeegyeztethetetlen
Injekció Gentamicin sulfate
Injekció Ceftriaxone disodium
3643
Meghatározatlan összeférhetetlenség Összeegyeztethetetlen
Injekció Gentamicin sulfate
Injekció Ceftriaxone disodium
3520
Meghatározatlan összeférhetetlenség Összeegyeztethetetlen
Injekció Gentamicin sulfate
Injekció Cefuroxime sodium
3643
Meghatározatlan összeférhetetlenség Összeegyeztethetetlen
Injekció Gentamicin sulfate
Injekció Cefuroxime sodium
3520
Meghatározatlan összeférhetetlenség Összeegyeztethetetlen
Injekció Gentamicin sulfate
Injekció Cefuroxime sodium
3687
Meghatározatlan összeférhetetlenség Összeegyeztethetetlen
Injekció Gentamicin sulfate
Injekció Cefuzonam
3520
Összeegyeztethető
Injekció Gentamicin sulfate 0.8 mg/ml
Injekció Cimetidine hydrochloride 3 mg/ml
5% glükóz 1201
Összeegyeztethető
Injekció Gentamicin sulfate 0.08 mg/ml
Injekció Cimetidine hydrochloride 1.2 & 5 mg/ml
0,9% nátrium-klorid 1201
Összeegyeztethető
Injekció Gentamicin sulfate 0.08 mg/ml
Injekció Cimetidine hydrochloride 1.2 & 5 mg/ml
5% glükóz 1201
Összeegyeztethető
Injekció Gentamicin sulfate 10 mg/ml
Injekció Ciprofloxacin lactate 2 mg/ml
0,9% nátrium-klorid 289
Összeegyeztethető
Injekció Gentamicin sulfate 1.6 mg/ml
Injekció Ciprofloxacin lactate 2 mg/ml
5% glükóz 285
Összeegyeztethető
Injekció Gentamicin sulfate 5 mg/ml
Injekció Cisatracurium besylate 0.1 >> 5 mg/ml
5% glükóz 299
Kémiai instabilitás Összeegyeztethetetlen
Injekció Gentamicin sulfate
Injekció Cisplatin
3578
Összeegyeztethető
Injekció Gentamicin sulfate 12 mg/ml
Injekció Clindamycin phosphate 90 mg/ml
0,9% nátrium-klorid 639
Összeegyeztethető
Injekció Gentamicin sulfate 0.67 mg/ml
Injekció Clindamycin phosphate 6 mg/ml
5% glükóz 423
Összeegyeztethető
Injekció Gentamicin sulfate
5% glükóz 434
Meghatározatlan összeférhetetlenség Összeegyeztethetetlen
Injekció Gentamicin sulfate
Injekció Cefuzonam
3643
Összeegyeztethető
Injekció Gentamicin sulfate 1 mg/ml
Injekció Ciprofloxacin lactate 1.5 mg/ml
0,9% nátrium-klorid 434
Összeegyeztethető
Injekció Gentamicin sulfate 1.6 mg/ml
Injekció Ciprofloxacin lactate 2 mg/ml
5% glükóz 288
Összeegyeztethető
Injekció Gentamicin sulfate 1.6 mg/ml
Injekció Ciprofloxacin lactate 2 mg/ml
0,9% nátrium-klorid 288
Összeegyeztethető
Injekció Gentamicin sulfate 1 mg/ml
Injekció Ciprofloxacin lactate 1.5 mg/ml
5% glükóz 434
Összeegyeztethető
Injekció Gentamicin sulfate
Injekció Clindamycin phosphate
0,9% nátrium-klorid 3526
Azonnali csapadék Összeegyeztethetetlen
Injekció Gentamicin sulfate 40 mg/ml
Injekció Cloxacillin sodium 100 mg/ml
Injekcióhoz való víz 3012
Összeegyeztethető
Injekció Gentamicin sulfate 15 mg/ml
Injekció Cytarabine 16 mg/ml
0,9% nátrium-klorid 132
Összeegyeztethetetlen
Injekció Gentamicin sulfate 2 & 10 mg/ml
Parenterális táplálás (lipid) 4924
Összeegyeztethető
Injekció Gentamicin sulfate
Injekció Clindamycin phosphate
5% glükóz 3526
Meghatározatlan összeférhetetlenség Összeegyeztethetetlen
Injekció Gentamicin sulfate
Injekció Cloxacillin sodium
3520
Meghatározatlan összeférhetetlenség Összeegyeztethetetlen
Injekció Gentamicin sulfate
Injekció Cytarabine
3580
Összeegyeztethető
Injekció Gentamicin sulfate 1,5 mg/ml
Injekció Daptomycin 19,2 mg/ml
0,9% nátrium-klorid 1937
Összeegyeztethető
Injekció Gentamicin sulfate 0,05 mg/ml
Parenterális táplálás (lipid-mentes) 4445
Meghatározatlan összeférhetetlenség Összeegyeztethetetlen
Injekció Gentamicin sulfate
Injekció Cloxacillin sodium
3643
Az emulzió instabilitása 4 óra múlva Összeegyeztethetetlen
Injekció Gentamicin sulfate 2 mg/ml
Parenterális táplálás (lipid) 4507
Meghatározatlan összeférhetetlenség Összeegyeztethetetlen
Injekció Gentamicin sulfate
Injekció Dalteparin sodium
3643
Összeegyeztethető
Injekció Gentamicin sulfate
Injekció Daptomycin
2271
Összeegyeztethető
Injekció Gentamicin sulfate 10 mg/ml
Parenterális táplálás (lipid-mentes) 316
Összeegyeztethető
Injekció Gentamicin sulfate
Injekció Dimenhydrinate
2087
Összeegyeztethető
Injekció Gentamicin sulfate 10 & 40 mg/ml
Parenterális táplálás (lipid-mentes) 999
Szubvizuális összeférhetetlenség Összeegyeztethetetlen
Injekció Gentamicin sulfate
Injekció Daunorubicin/cytarabine liposomale
4354
Összeegyeztethető
Injekció Gentamicin sulfate 1 mg/ml
Parenterális táplálás (lipid-mentes) 939
Azonnali zavarosság Összeegyeztethetetlen
Injekció Gentamicin sulfate
Injekció Daunorubicin/cytarabine liposomale 0,4 mg/mL
0,9% nátrium-klorid 4654
Összeegyeztethető
Injekció Gentamicin sulfate 0.8 mg/ml
Injekció Diatrizoate meglumine 283 mg/ml
Egy sem 1085
Összeegyeztethető
Injekció Gentamicin sulfate 2.4 & 40 mg/ml
Injekció Diltiazem hydrochloride 5 mg/ml
0,9% nátrium-klorid 198
Összeegyeztethető
Injekció Gentamicin sulfate 5 mg/ml
Injekció Docetaxel 0.9 mg/ml
5% glükóz 1754
Meghatározatlan összeférhetetlenség Összeegyeztethetetlen
Injekció Gentamicin sulfate
Injekció Dopamine hydrochloride
3638
Összeegyeztethető
Injekció Gentamicin sulfate 5 mg/ml
Parenterális táplálás (lipid-mentes) 301
Összeegyeztethető
Injekció Gentamicin sulfate 5 mg/ml
Injekció Doripenem 5 mg/ml
0,9% nátrium-klorid 2262
Meghatározatlan összeférhetetlenség Összeegyeztethetetlen
Injekció Gentamicin sulfate
NaHCO3 3520
Összeegyeztethető
Injekció Gentamicin sulfate 2 mg/ml
Injekció Dopamine hydrochloride 0.8 mg/ml
5% glükóz 738
Gázbuborékok előállítása Összeegyeztethetetlen
Injekció Gentamicin sulfate
NaHCO3 3643
Összeegyeztethető
Injekció Gentamicin sulfate 5 mg/ml
Injekció Dexmedetomidine 4 µg/ml
0,9% nátrium-klorid 1712
Összeegyeztethető
Injekció Gentamicin sulfate 5 mg/ml
Injekció Doripenem 5 mg/ml
5% glükóz 2262
Összeegyeztethető
Injekció Gentamicin sulfate 5 mg/ml
Parenterális táplálás (lipid) 1415
Összeegyeztethető
Injekció Gentamicin sulfate 10 mg/ml
Injekció Doxapram hydrochloride 2 mg/ml
5% glükóz 1802
Összeegyeztethető
Injekció Gentamicin sulfate 5 mg/ml
Injekció Doxorubicin hydrochloride liposome peg 0.4 mg/ml
5% glükóz 251
Összeegyeztethető
Injekció Gentamicin sulfate 0.8 mg/ml
Injekció Enalaprilate 0.05 mg/ml
0,9% nátrium-klorid 1315
Meghatározatlan összeférhetetlenség Összeegyeztethetetlen
Injekció Gentamicin sulfate
Injekció Enoxaparin sodium
3643
Összeegyeztethető
Injekció Gentamicin sulfate 5 mg/ml
Injekció Eravacycline 0,6 mg/ml
0,9% nátrium-klorid 4434
Meghatározatlan összeférhetetlenség Összeegyeztethetetlen
Injekció Gentamicin sulfate
Injekció Erythromycin lactobionate
3674
Meghatározatlan összeférhetetlenség Összeegyeztethetetlen
Injekció Gentamicin sulfate
Injekció Erythromycin lactobionate
3520
Meghatározatlan összeférhetetlenség Összeegyeztethetetlen
Injekció Gentamicin sulfate
Injekció Erythromycin lactobionate
3643
Összeegyeztethető
Injekció Gentamicin sulfate 0,8 mg/ml
Injekció Esmolol hydrochloride 10 mg/ml
5% glükóz 384
Összeegyeztethető
Injekció Gentamicin sulfate 5 mg/ml
Injekció Etoposide phosphate 5 mg/ml
5% glükóz 1410
Összeegyeztethető
Injekció Gentamicin sulfate 5 mg/ml
Injekció Famotidine 2 mg/ml
0,9% nátrium-klorid 215
Összeegyeztethető
Injekció Gentamicin sulfate 0,8 mg/ml
Injekció Famotidine
5% glükóz 397
Összeegyeztethető
Injekció Gentamicin sulfate 5 mg/ml
Injekció Fenoldopam mesylate 80 µg/ml
0,9% nátrium-klorid 1803
Összeegyeztethető
Injekció Gentamicin sulfate 10 mg/ml
Injekció Fentanyl citrate 50 µg/ml
5% glükóz 63
Összeegyeztethető
Injekció Gentamicin sulfate 1.6 mg/ml
Injekció Filgrastim 40 µg/ml
5% glükóz 104
Összeegyeztethető
Injekció Gentamicin sulfate 5 mg/ml
Injekció Filgrastim 30 µg/ml
5% glükóz 244
Meghatározatlan összeférhetetlenség Összeegyeztethetetlen
Injekció Gentamicin sulfate
Injekció Flucloxacillin sodium
3643
Azonnali csapadék Összeegyeztethetetlen
Injekció Gentamicin sulfate
Injekció Flucloxacillin sodium
3522
Összeegyeztethető
Injekció Gentamicin sulfate 1 mg/ml
Injekció Fluconazole 2 mg/ml
Egy sem 256
Összeegyeztethető
Injekció Gentamicin sulfate 4 mg/ml
Injekció Fluconazole 2 mg/ml
0,9% nátrium-klorid 496
Összeegyeztethető
Injekció Gentamicin sulfate 5 mg/ml
Injekció Fludarabine phosphate 1 mg/ml
5% glükóz 492
Összeegyeztethető
Injekció Gentamicin sulfate 2 mg/ml
Injekció Foscarnet sodium 24 mg/ml
0,9% nátrium-klorid 1135
Összeegyeztethető
Injekció Gentamicin sulfate 2 mg/ml
Injekció Foscarnet sodium 24 mg/ml
5% glükóz 1135
Összeegyeztethető
Injekció Gentamicin sulfate 4 mg/ml
Injekció Foscarnet sodium 24 mg/ml
Egy sem 73
Összeegyeztethető
Injekció Gentamicin sulfate 10 mg/ml
Ringer-laktát oldat 4603
Összeegyeztethető
Injekció Gentamicin sulfate 5 mg/ml
Injekció Fosfomycin 30 mg/ml
0,9% nátrium-klorid 4055
Azonnali csapadék Összeegyeztethetetlen
Injekció Gentamicin sulfate 0,4 mg/ml
Parenterális táplálás (lipid) 4440
Összeegyeztethető
Injekció Gentamicin sulfate 40 mg/ml
Parenterális táplálás (lipid) 673
Összeegyeztethető
Injekció Gentamicin sulfate 5 mg/ml
Injekció Fosfomycin 30 mg/ml
5% glükóz 4055
Azonnali csapadék Összeegyeztethetetlen
Injekció Gentamicin sulfate 10 mg/ml
Injekció Furosemide 10 mg/ml
789
Azonnali csapadék Összeegyeztethetetlen
Injekció Gentamicin sulfate 1,6 mg/ml
Injekció Furosemide 0,8 mg/ml
5% glükóz 367
Azonnali csapadék Összeegyeztethetetlen
Injekció Gentamicin sulfate 1,6 mg/ml
Injekció Furosemide 0,8 mg/ml
0,9% nátrium-klorid 367
Azonnali zavarosság Összeegyeztethetetlen
Injekció Gentamicin sulfate 6.4 mg/ml
Injekció Furosemide 5 mg/ml
805
Csapadék 2 óra után Összeegyeztethetetlen
Injekció Gentamicin sulfate 8 mg/ml
Injekció Furosemide 1 mg/ml
0,9% nátrium-klorid 1232
Összeegyeztethető
Injekció Gentamicin sulfate 5 mg/ml
Injekció Gemcitabine hydrochloride 10 mg/ml
0,9% nátrium-klorid 1423
Összeegyeztethető
Injekció Gentamicin sulfate 1.5 mg/ml
Injekció Granisetron hydrochloride 1 mg/ml
0,9% nátrium-klorid 57
Összeegyeztethető
Injekció Gentamicin sulfate 1 & 2 mg/ml
Injekció Heparin sodium 2500 UI/ml
4612
Azonnali csapadék Összeegyeztethetetlen
Injekció Gentamicin sulfate 4 >> 40 mg/ml
Injekció Heparin sodium 10 >> 40 UI/ml
1258
Azonnali csapadék Összeegyeztethetetlen
Injekció Gentamicin sulfate
Injekció Heparin sodium
1022
Meghatározatlan összeférhetetlenség Összeegyeztethetetlen
Injekció Gentamicin sulfate 2 mg/ml
Injekció Heparin sodium 50 UI/ml
Egy sem 317
Meghatározatlan összeférhetetlenség Összeegyeztethetetlen
Injekció Gentamicin sulfate
Injekció Heparin sodium
3643
Meghatározatlan összeférhetetlenség Összeegyeztethetetlen
Injekció Gentamicin sulfate
Injekció Heparin sodium
3520
Meghatározatlan összeférhetetlenség Összeegyeztethetetlen
Injekció Gentamicin sulfate
Injekció Heparin sodium
3540
Azonnali zavarosság Összeegyeztethetetlen
Injekció Gentamicin sulfate 3 mg/ml
Injekció Heparin sodium 2500 UI/ml
4612
Azonnali csapadék Összeegyeztethetetlen
Injekció Gentamicin sulfate 4 & 5 mg/ml
Injekció Heparin sodium 2500 UI/ml
4612
Összeegyeztethető
Injekció Gentamicin sulfate 5 mg/ml
Injekció Hetastarch 60 mg/ml
egyedi oldószer 1721
Azonnali csapadék Összeegyeztethetetlen
Injekció Gentamicin sulfate 0.8 mg/ml
Injekció Hetastarch 60 mg/ml
0,9% nátrium-klorid 472
Összeegyeztethető
Injekció Gentamicin sulfate 0.8 mg/ml
Injekció Hydromorphone hydrochloride 0.2 mg/ml
5% glükóz 405
Színváltozás Összeegyeztethetetlen
Injekció Gentamicin sulfate 3 mg/ml
Injekció Idarubicin hydrochloride 1 mg/ml
0,9% nátrium-klorid 491
Azonnali csapadék Összeegyeztethetetlen
Injekció Gentamicin sulfate 1 mg/ml
Injekció Indomethacin sodium trihydrate 0,5 & 1 mg/ml
5% glükóz 494
15 perc múlva csapadék Összeegyeztethetetlen
Injekció Gentamicin sulfate 1 mg/ml
Injekció Indomethacin sodium trihydrate 0,5 & 1 mg/ml
5% glükóz 1745
Összeegyeztethető
Injekció Gentamicin sulfate 1.2 >> 2 mg/ml
Injekció Insulin 0.2 UI/ml
0,9% nátrium-klorid 129
Összeegyeztethető
Injekció Gentamicin sulfate 0.8 mg/ml
Injekció Iohexol 300 mg I/ml
Egy sem 1085
Azonnali csapadék Összeegyeztethetetlen
Injekció Gentamicin sulfate 0.8 mg/ml
Injekció Ioxaglate 320 mg I/ml
Egy sem 1085
Összeegyeztethető
Injekció Gentamicin sulfate 5 mg/ml
Injekció Isavuconazonium sulfate 1.5 mg/ml
5% glükóz 3829
Összeegyeztethető
Injekció Gentamicin sulfate 5 mg/ml
Injekció Isavuconazonium sulfate 1.5 mg/ml
0,9% nátrium-klorid 3829
Összeegyeztethető
Injekció Gentamicin sulfate 40 mg/ml
Injekció Ketamine hydrochloride 50 mg/ml
2109
Összeegyeztethető
Injekció Gentamicin sulfate 0.8 mg/ml
Injekció Labetalol hydrochloride 1 mg/ml
5% glükóz 386
Összeegyeztethető
Injekció Gentamicin sulfate 5 mg/ml
Injekció Lansoprazole 0.55 mg/ml
0,9% nátrium-klorid 1625
Összeegyeztethető
Injekció Gentamicin sulfate 10 mg/ml
Injekció Levofloxacine 5 mg/ml
5% glükóz 1072
Összeegyeztethető
Injekció Gentamicin sulfate 0,75 mg/ml
Injekció Linezolid 1,80 mg/ml
2353
Összeegyeztethető
Injekció Gentamicin sulfate 5 mg/ml
Injekció Linezolid 2 mg/ml
Egy sem 1925
Összeegyeztethető
Injekció Gentamicin sulfate 3 mg/ml
Injekció Lorazepam 0.33 mg/ml
0,9% nátrium-klorid 186
Összeegyeztethető
Injekció Gentamicin sulfate 0.8 mg/ml
Injekció Magnesium sulfate 16.67 >> 100 mg/ml
5% glükóz 1047
Összeegyeztethető
Injekció Gentamicin sulfate 5 mg/ml
Injekció Melphalan 0.1 mg/ml
0,9% nátrium-klorid 169
Összeegyeztethető
Injekció Gentamicin sulfate 40 mg/ml
Injekció Meropenem 50 mg/ml
Injekcióhoz való víz 4319
Összeegyeztethető
Injekció Gentamicin sulfate 0.8 mg/ml
Injekció Meropenem 1 & 20 mg/ml
0,9% nátrium-klorid 266
Összeegyeztethető
Injekció Gentamicin sulfate 4 mg/ml
Injekció Meropenem 1 & 50 mg/ml
0,9% nátrium-klorid 266
Összeegyeztethető
Injekció Gentamicin sulfate 30 mg/ml
Injekció Meropenem 10 mg/ml
0,9% nátrium-klorid 2335
Összeegyeztethető
Injekció Gentamicin sulfate 0,8 & 1,2 mg/ml
Injekció Metronidazole 5 mg/ml
Egy sem 1243
Összeegyeztethető
Injekció Gentamicin sulfate 0.8 mg/ml
Injekció Metronidazole 5 mg/ml
Egy sem 1035
Összeegyeztethető
Injekció Gentamicin sulfate
Injekció Metronidazole
3594
Összeegyeztethető
Injekció Gentamicin sulfate 3 mg/ml
Injekció Midazolam hydrochloride 5 mg/ml
Egy sem 186
Összeegyeztethető
Injekció Gentamicin sulfate 10 mg/ml
Injekció Midazolam hydrochloride 1 mg/ml
5% glükóz 176
Összeegyeztethető
Injekció Gentamicin sulfate 0.8 mg/ml
Injekció Midazolam hydrochloride 0.05 >> 0.4 mg/ml
0,9% nátrium-klorid 1888
Meghatározatlan összeférhetetlenség Összeegyeztethetetlen
Injekció Gentamicin sulfate
Injekció Mitomycin
4471
Kémiai instabilitás Összeegyeztethetetlen
Injekció Gentamicin sulfate
Injekció Mitomycin
3128
Összeegyeztethető
Injekció Gentamicin sulfate 1.2 & 2 mg/ml
Injekció Morphine sulfate 1 mg/ml
0,9% nátrium-klorid 406
Összeegyeztethető
Injekció Gentamicin sulfate 0.8 mg/ml
Injekció Morphine sulfate 1 mg/ml
5% glükóz 405
Meghatározatlan összeférhetetlenség Összeegyeztethetetlen
Injekció Gentamicin sulfate
Injekció Moxalactam
3643
Meghatározatlan összeférhetetlenség Összeegyeztethetetlen
Injekció Gentamicin sulfate
Injekció Moxalactam
3520
Összeegyeztethető
Injekció Gentamicin sulfate 40 mg/ml
Injekció N-acetylcysteine 200 mg/ml
Egy sem 3766
Meghatározatlan összeférhetetlenség Összeegyeztethetetlen
Injekció Gentamicin sulfate
Injekció Nadroparin
3643
Meghatározatlan összeférhetetlenség Összeegyeztethetetlen
Injekció Gentamicin sulfate
Injekció Nafcillin sodium
3643
Meghatározatlan összeférhetetlenség Összeegyeztethetetlen
Injekció Gentamicin sulfate
Injekció Nafcillin sodium
3520
Összeegyeztethető
Injekció Gentamicin sulfate 40 mg/ml
Injekció Naloxone hydrochloride 0.4 mg/ml
Egy sem 3408
Összeegyeztethető
Injekció Gentamicin sulfate 4.17 mg/ml
Injekció Nefopam 0.16 mg/ml
0,9% nátrium-klorid 4254
Összeegyeztethető
Injekció Gentamicin sulfate 4.17 mg/ml
Injekció Nefopam 0.16 mg/ml
5% glükóz 4254
Összeegyeztethető
Injekció Gentamicin sulfate 0.8 mg/ml
Injekció Nicardipine hydrochloride 0.1 mg/ml
5% glükóz 1490
Összeegyeztethető
Injekció Gentamicin sulfate 0.8 mg/ml
Injekció Nicardipine hydrochloride 0.1 mg/ml
0,9% nátrium-klorid 1490
Összeegyeztethető
Injekció Gentamicin sulfate 0,8 mg/ml
Injekció Ofloxacin 2 mg/ml
Egy sem 889
Összeegyeztethető
Injekció Gentamicin sulfate 5 mg/ml
Injekció Ondansetron hydrochloride 1 mg/ml
0,9% nátrium-klorid 334
Összeegyeztethető
Injekció Gentamicin sulfate 5 mg/ml
Injekció Oritavancin 0.8 >>2 mg/ml
5% glükóz 3152
Meghatározatlan összeférhetetlenség Összeegyeztethetetlen
Injekció Gentamicin sulfate
Injekció Oxacillin sodium
3643
Meghatározatlan összeférhetetlenség Összeegyeztethetetlen
Injekció Gentamicin sulfate
Injekció Oxacillin sodium
3520
Összeegyeztethető
Injekció Gentamicin sulfate 40 mg/ml
Injekció Oxycodone hydrochloride 1 mg/ml
0,9% nátrium-klorid 4842
Összeegyeztethető
Injekció Gentamicin sulfate 5 mg/ml
Injekció Paclitaxel 1.2 mg/ml
5% glükóz 248
Összeegyeztethető
Injekció Gentamicin sulfate 5 mg/ml
Injekció Palonosetron hydrochloride 50 µg/ml
5% glükóz 2228
Összeegyeztethető
Injekció Gentamicin sulfate 2 mg/ml
Injekció Pancuronium bromide 0.05 mg/ml
5% glükóz 402
Azonnali csapadék Összeegyeztethetetlen
Injekció Gentamicin sulfate
Injekció Pantoprazole sodium
2090
Összeegyeztethető
Injekció Gentamicin sulfate 40 mg/ml
Injekció Paracetamol 10 mg/ml
4742
Azonnali csapadék Összeegyeztethetetlen
Injekció Gentamicin sulfate 5 mg/ml
Injekció Pemetrexed disodium 20 mg/ml
1953
Meghatározatlan összeférhetetlenség Összeegyeztethetetlen
Injekció Gentamicin sulfate
Injekció Penicillin G potassium
3643
Meghatározatlan összeférhetetlenség Összeegyeztethetetlen
Injekció Gentamicin sulfate
Injekció Penicillin G potassium
3520
Meghatározatlan összeférhetetlenség Összeegyeztethetetlen
Injekció Gentamicin sulfate
Injekció Penicillin G sodium
3643
Meghatározatlan összeférhetetlenség Összeegyeztethetetlen
Injekció Gentamicin sulfate
Injekció Penicillin G sodium
3520
Összeegyeztethető
Injekció Gentamicin sulfate 10 mg/ml
Injekció Pentoxifyllin 5 mg/ml
0,9% nátrium-klorid 4543
Összeegyeztethető
Injekció Gentamicin sulfate 0.8 mg/ml
Injekció Pethidine hydrochloride 10 mg/ml
5% glükóz 405
Azonnali csapadék Összeegyeztethetetlen
Injekció Gentamicin sulfate 10 mg/ml
Injekció Phenytoin sodium 50 mg/ml
789
Összeegyeztethető
Injekció Gentamicin sulfate 20 mg/ml
Injekció Phloroglucinol 2,5 mg/ml
3791
Meghatározatlan összeférhetetlenség Összeegyeztethetetlen
Injekció Gentamicin sulfate
Injekció Piperacillin sodium
3520
Meghatározatlan összeférhetetlenség Összeegyeztethetetlen
Injekció Gentamicin sulfate
Injekció Piperacillin sodium
3643
Meghatározatlan összeférhetetlenség Összeegyeztethetetlen
Injekció Gentamicin sulfate
Injekció Piperacillin sodium / tazobactam
3520
Kémiai instabilitás Összeegyeztethetetlen
Injekció Gentamicin sulfate
Injekció Piperacillin sodium / tazobactam
3586
Meghatározatlan összeférhetetlenség Összeegyeztethetetlen
Injekció Gentamicin sulfate
Injekció Piperacillin sodium / tazobactam
3643
Összeegyeztethető
Injekció Gentamicin sulfate
Injekció Posaconazole
4380
Összeegyeztethető
Injekció Gentamicin sulfate 30 mg/ml
Injekció Potassium chloride 20 mEq/l
0,45% NaCl 5% glükóz 2335
Az emulzió azonnali instabilitása Összeegyeztethetetlen
Injekció Gentamicin sulfate 2 mg/ml
Injekció Propofol
660
Meghatározatlan összeférhetetlenség Összeegyeztethetetlen
Injekció Gentamicin sulfate 40 mg/ml
Injekció Propofol
4524
Azonnali csapadék Összeegyeztethetetlen
Injekció Gentamicin sulfate 5 mg/ml
Injekció Propofol 10 mg/ml
Egy sem 300
Összeegyeztethető
Injekció Gentamicin sulfate 5 mg/ml
Injekció Remifentanil hydrochloride 25 & 250 µg/ml
0,9% nátrium-klorid 59
Összeegyeztethető
Injekció Gentamicin sulfate 40 mg/ml
Injekció Salbutamol sulfate 1 mg/ml
Egy sem 3216
Összeegyeztethető
Injekció Gentamicin sulfate 5 mg/ml
Injekció Sargramostim 10 µg/ml
0,9% nátrium-klorid 335
Összeegyeztethető
Injekció Gentamicin sulfate 10 mg/ml
Injekció Sildenafil citrate 0,6 mg/ml
5% glükóz 4845
Összeegyeztethető
Injekció Gentamicin sulfate 2,4 mg/ml
Injekció Sodium bicarbonate 40 mg/ml
Egy sem 3122
Gázbuborékok előállítása Összeegyeztethetetlen
Injekció Gentamicin sulfate
Injekció Sodium bicarbonate
3643
Összeegyeztethető
Injekció Gentamicin sulfate 2.5 mg/ml
Injekció Sodium citrate 40 mg/ml
Injekcióhoz való víz 3952
Összeegyeztethető
Injekció Gentamicin sulfate 40 mg/ml
Injekció Sugammadex 100 mg/ml
Egy sem 3372
Összeegyeztethető
Injekció Gentamicin sulfate 5 mg/ml
Injekció Sulbactam/durlobactam 15/15 mg/ml
0,9% nátrium-klorid 4801
Összeegyeztethető
Injekció Gentamicin sulfate 4 mg/ml
Injekció Tacrolimus 1000 µg/ml
0,9% nátrium-klorid 479
Összeegyeztethető
Injekció Gentamicin sulfate
0,9% nátrium-klorid 1704
Összeegyeztethető
Injekció Gentamicin sulfate
0,9% nátrium-klorid 434
Meghatározatlan összeférhetetlenség Összeegyeztethetetlen
Injekció Gentamicin sulfate
Injekció Sodium bicarbonate
3520
Összeegyeztethető
Injekció Gentamicin sulfate 1 >> 5 mg/ml
Injekció Sodium citrate 40 mg/ml
Egy sem 2019
Azonnali zavarosság Összeegyeztethetetlen
Injekció Gentamicin sulfate 5 mg/ml
Injekció Tedizolid phosphate 0.8 mg/ml
0,9% nátrium-klorid 3827
Meghatározatlan összeférhetetlenség Összeegyeztethetetlen
Injekció Gentamicin sulfate
Injekció Teicoplanine
3656
Összeegyeztethető
Injekció Gentamicin sulfate 5 mg/ml
Injekció Telavancin hydrochloride 7.5 mg/ml
Ringer-laktát oldat 3254
Összeegyeztethető
Injekció Gentamicin sulfate 5 mg/ml
Injekció Telavancin hydrochloride 7.5 mg/ml
0,9% nátrium-klorid 3254
Összeegyeztethető
Injekció Gentamicin sulfate 5 mg/ml
Injekció Telavancin hydrochloride 7.5 mg/ml
5% glükóz 3254
Összeegyeztethető
Injekció Gentamicin sulfate 6 mg/ml
Injekció Temocilline 83.33 mg/ml
Injekcióhoz való víz 2231
Meghatározatlan összeférhetetlenség Összeegyeztethetetlen
Injekció Gentamicin sulfate
Injekció Temocilline
3643
Meghatározatlan összeférhetetlenség Összeegyeztethetetlen
Injekció Gentamicin sulfate
Injekció Temocilline
3520
Meghatározatlan összeférhetetlenség Összeegyeztethetetlen
Injekció Gentamicin sulfate
Injekció Temocilline
2296
Összeegyeztethető
Injekció Gentamicin sulfate 5 mg/ml
Injekció Teniposide 0.1 mg/ml
5% glükóz 905
Összeegyeztethető
Injekció Gentamicin sulfate 2 mg/ml
Injekció Theophylline 4 mg/ml
Egy sem 317
Azonnali csapadék Összeegyeztethetetlen
Injekció Gentamicin sulfate 40 mg/ml
Injekció Thiopental sodium 25 mg/ml
0,9% nátrium-klorid 3767
Összeegyeztethető
Injekció Gentamicin sulfate 5 mg/ml
Injekció Thiotepa 1 mg/ml
5% glükóz 249
Kémiai instabilitás Összeegyeztethetetlen
Injekció Gentamicin sulfate
Injekció Ticarcillin / clavulanic acid
3587
Meghatározatlan összeférhetetlenség Összeegyeztethetetlen
Injekció Gentamicin sulfate
Injekció Ticarcillin / clavulanic acid
3643
Meghatározatlan összeférhetetlenség Összeegyeztethetetlen
Injekció Gentamicin sulfate
Injekció Ticarcillin / clavulanic acid
3520
Összeegyeztethető
Injekció Gentamicin sulfate
Injekció Tigecycline
0,9% nátrium-klorid 3332
Összeegyeztethető
Injekció Gentamicin sulfate 6 mg/ml
Injekció Vancomycin hydrochloride 10 mg/ml
5% glükóz 3385
Összeegyeztethető
Injekció Gentamicin sulfate 1.2 mg/ml
Injekció Vasopressin 0.2 UI/ml
0,9% nátrium-klorid 2017
Összeegyeztethető
Injekció Gentamicin sulfate 2 mg/ml
Injekció Vecuronium bromide 0.1 mg/ml
5% glükóz 402
Összeegyeztethető
Injekció Gentamicin sulfate 0.16 mg/ml
Injekció Verapamil hydrochloride 0.08 mg/ml
5% glükóz 1057
Összeegyeztethető
Injekció Gentamicin sulfate 0.16 mg/ml
Injekció Verapamil hydrochloride 0.08 mg/ml
0,9% nátrium-klorid 1057
Összeegyeztethető
Injekció Gentamicin sulfate 5 mg/ml
Injekció Vinorelbine tartrate 1 mg/ml
0,9% nátrium-klorid 84
Azonnali zavarosság Összeegyeztethetetlen
Injekció Gentamicin sulfate 1.6 mg/ml
Injekció Warfarin sodium 2 mg/ml
5% glükóz 315
Összeegyeztethető
Injekció Gentamicin sulfate 2 mg/ml
Injekció Zidovudine 4 mg/ml
5% glükóz 337

  Mentions Légales