Cập nhật lần cuối :
18/03/2026
Kháng sinh   Clindamycin phosphate  
Dạng tiêm
Tính ổn định của các dung dịch Độ ổn định khi trộn lẫn Những yếu tố ảnh hưởng đến độ ổn định Khả năng tương thích Đường dùng Tài liệu tham khảo Pdf
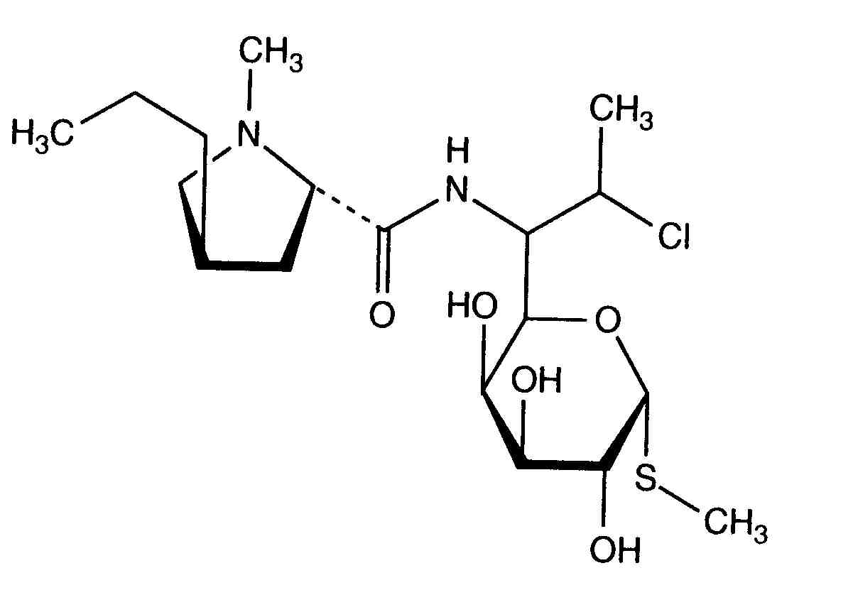
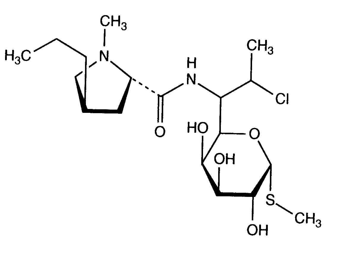
   Cấu trúc hóa học  

Tên thương mại   Tên thương mại     

Các tên thương mại được cung cấp và thành phần tá dược có thể khác nhau giữa các quốc gia và các hãng dược

Biodaclin Mexico
Camyda Ấn Độ
Cinbiot Mexico
Cleocin Áo, Hoa Kỳ, Thổ Nhĩ Kỳ
Clinamsa Mexico
Clinbac Colombia, Peru
Clincina Bồ Đào Nha
Clinda-Saar Đức
Clindacid Venezuela
Clindacin Malaysia
Clindalaf Argentina
Clindamicina Argentina, Bồ Đào Nha, Brazil, Chile, Colombia, Ecuador, Mexico, Peru, Tây Ban Nha, Venezuela, Ý
Clindamycin Ả Rập Saudi, Áo, Canada, Hoa Kỳ, Iran, Na Uy, Romania, Thụy Điển, Đức
Clindamycin-Hameln Đức
Clindamycine Bỉ, Hà Lan, Pháp, Tunisia
Clindanovag Argentina
Clindarix Brazil
Clindasol Đức
Clindaval Venezuela
Clindazyn Mexico
Clindo Ba Lan
Clysvic Mexico
Daclin Chile
Dalacin Ả Rập, Ả Rập Saudi, Ấn Độ, Anh, Ba Lan, Bỉ, Canada, Chile, Colombia, Ecuador, Hà Lan, Hungary, Hy Lạp, Iceland, Iran, Ireland, Luxembourg, Malaysia, Mexico, Na Uy, new zealand, Phần Lan, Thụy Sỹ, Thụy Điển, Tunisia, Úc, United Arab Emirates, Venezuela, Ý, Đan Mạch
Dalacine Pháp, Tunisia
Daladic Iran
Dalcinex Ấn Độ
Damclid Ấn Độ
Damicin Colombia, Mexico
Damicine Colombia
Dolarclin Colombia
Euroclin Colombia, Ecuador
Gynasafe Ấn Độ
Indamid Mexico
Klimicin Ba Lan
Klindan Thổ Nhĩ Kỳ
Klindaver Thổ Nhĩ Kỳ
Lanacine Áo
Lincocin Malaysia
Lincosa Malaysia
Meneklin Thổ Nhĩ Kỳ
Sobelin Đức
Tidact Malaysia
Khả năng tương thích   Dạng tiêm   Khả năng tương thích : Clindamycin phosphate              
Màn hình này cho biết khả năng tương thích hoặc không tương thích, trong trường hợp này là loại không tương thích (kết tủa, thay đổi màu sắc, sửa đổi nhũ tương, v.v.). Sự tương hợp được chỉ ra ở đây chủ yếu chỉ là vật lý, với độ ổn định hóa học của mỗi phân tử hiếm khi được đánh giá. Việc đánh giá các hỗn hợp này được nghiên cứu để xem xét khả năng sử dụng vị trí Y cho bệnh nhân. Những dữ liệu này không thể được sử dụng để tạo hỗn hợp trước trong túi hoặc ống tiêm. Loại thông tin này có sẵn trong màn hình "Độ ổn định trong hỗn hợp».
Phân tử Dung môi Mục lục
Tương thích
Dạng tiêm Clindamycin phosphate 12 mg/ml
Dạng tiêm Aciclovir sodium 5 mg/ml
Glucose 5% 336
Lượng mưa ngay lập tức Không tương thích
Dạng tiêm Clindamycin phosphate 10 mg/ml
Dạng tiêm Allopurinol sodium 3 mg/ml
NaCl 0,9% 307
Tương thích
Dạng tiêm Clindamycin phosphate 10 mg/ml
Dạng tiêm Amifostine 10 mg/ml
Glucose 5% 3
Tương thích
Dạng tiêm Clindamycin phosphate
Dạng tiêm Amikacin sulfate
NaCl 0,9% 3526
Tương thích
Dạng tiêm Clindamycin phosphate 9 mg/ml
Dạng tiêm Amikacin sulfate 4 mg/ml
NaCl 0,9% 565
Tương thích
Dạng tiêm Clindamycin phosphate 9 mg/ml
Dạng tiêm Amikacin sulfate 4 mg/ml
Glucose 5% 565
Tương thích
Dạng tiêm Clindamycin phosphate
Dạng tiêm Amikacin sulfate
Glucose 5% 3526
Tương thích
Dạng tiêm Clindamycin phosphate 90 mg/ml
Dạng tiêm Amikacin sulfate 75 mg/ml
NaCl 0,9% 639
Không tương thích không xác định Không tương thích
Dạng tiêm Clindamycin phosphate
Dạng tiêm Aminophylline
3526
Tương thích
Dạng tiêm Clindamycin phosphate 6 mg/ml
Dạng tiêm Amiodarone hydrochloride 4 mg/ml
NaCl 0,9% 385
Tương thích
Dạng tiêm Clindamycin phosphate 6 mg/ml
Dạng tiêm Amiodarone hydrochloride 4 mg/ml
Glucose 5% 385
Độ đục trong một giờ Không tương thích
Dạng tiêm Clindamycin phosphate 150 mg/ml
Dạng tiêm Amoxicillin sodium / clavulanic acid 100/10 mg/ml
3824
Tương thích
Dạng tiêm Clindamycin phosphate 10 mg/ml
Dạng tiêm Amphotericin B cholesteryl sulfate complex 0.83 mg/ml
Glucose 5% 921
Không tương thích không xác định Không tương thích
Dạng tiêm Clindamycin phosphate
Dạng tiêm Ampicillin sodium
3526
Tương thích
Dạng tiêm Clindamycin phosphate
Glucose 5% 3526
Không tương thích không xác định Không tương thích
Dạng tiêm Clindamycin phosphate
Dạng tiêm Amobarbital sodium
3526
Tương thích
Dạng tiêm Clindamycin phosphate 10 mg/ml
Dạng tiêm Amsacrine 1 mg/ml
Glucose 5% 253
Tương thích
Dạng tiêm Clindamycin phosphate 10 mg/ml
Dạng tiêm Anidulafungin 0.5 mg/ml
Glucose 5% 1982
Thay đổi pH> 1 đơn vị pH Không tương thích
Dạng tiêm Clindamycin phosphate 9 mg/ml
Dạng tiêm Atosiban 0,75 mg/ml
4642
Tương thích
Dạng tiêm Clindamycin phosphate 6 mg/ml
Dạng tiêm Aztreonam 10 mg/ml
Glucose 5% 419
Tương thích
Dạng tiêm Clindamycin phosphate 9 mg/ml
Dạng tiêm Aztreonam 20 mg/ml
Glucose 5% 432
Tương thích
Dạng tiêm Clindamycin phosphate 60 mg/ml
Dạng tiêm Aztreonam 200 mg/ml
NaCl 0,9% 644
Tương thích
Dạng tiêm Clindamycin phosphate
Dạng tiêm Aztreonam
NaCl 0,9% 3526
Tương thích
Dạng tiêm Clindamycin phosphate 3 mg/ml
Dạng tiêm Aztreonam 10 mg/ml
Glucose 5% 419
Tương thích
Dạng tiêm Clindamycin phosphate
Dạng tiêm Aztreonam
Glucose 5% 3526
Tương thích
Dạng tiêm Clindamycin phosphate 24 mg/ml
Dinh dưỡng đường tĩnh mạch (hỗn hợp 2 thành phần) 3379
Lượng mưa ngay lập tức Không tương thích
Dạng tiêm Clindamycin phosphate 30 mg/ml
Dạng tiêm Azithromycine 2 mg/ml
NaCl 0,9% 1800
Tương thích
Dạng tiêm Clindamycin phosphate 3 mg/ml
Dinh dưỡng đường tĩnh mạch (hỗn hợp 2 thành phần) 1055
Tương thích
Dạng tiêm Clindamycin phosphate 6 mg/ml
Dạng tiêm Aztreonam 20 mg/ml
NaCl 0,9% 419
Tương thích
Dạng tiêm Clindamycin phosphate 3 mg/ml
Dạng tiêm Aztreonam 20 mg/ml
NaCl 0,9% 419
Tương thích
Dạng tiêm Clindamycin phosphate 3 mg/ml
Dạng tiêm Aztreonam 20 mg/ml
Glucose 5% 419
Tương thích
Dạng tiêm Clindamycin phosphate 6 mg/ml
Dạng tiêm Aztreonam 20 mg/ml
Glucose 5% 419
Tương thích
Dạng tiêm Clindamycin phosphate 10 mg/ml
Dạng tiêm Aztreonam 40 mg/ml
Glucose 5% 99
Tương thích
Dạng tiêm Clindamycin phosphate 3 mg/ml
Dạng tiêm Aztreonam 10 mg/ml
NaCl 0,9% 419
Tương thích
Dạng tiêm Clindamycin phosphate 6 mg/ml
Dạng tiêm Aztreonam 10 mg/ml
NaCl 0,9% 419
Tương thích
Dạng tiêm Clindamycin phosphate 9 mg/ml
Dạng tiêm Aztreonam 20 mg/ml
NaCl 0,9% 432
Tương thích
Dạng tiêm Clindamycin phosphate 10 mg/ml
Dạng tiêm Bivalirudin 5 mg/ml
Glucose 5% 1713
Tương thích
Dạng tiêm Clindamycin phosphate 150 mg/ml
Dạng tiêm Caffeine 10 mg/ml
Không 3964
Không tương thích không xác định Không tương thích
Dạng tiêm Clindamycin phosphate
Dạng tiêm Calcium gluconate
3644
Không tương thích không xác định Không tương thích
Dạng tiêm Clindamycin phosphate
Dạng tiêm Calcium gluconate
3526
Không tương thích
Dạng tiêm Clindamycin phosphate
Dạng tiêm Calcium gluconate
4964
Lượng mưa ngay lập tức Không tương thích
Dạng tiêm Clindamycin phosphate 10 mg/ml
Dạng tiêm Caspofungin acetate 0,7 mg/ml
NaCl 0,9% 2247
Lượng mưa ngay lập tức Không tương thích
Dạng tiêm Clindamycin phosphate 60 mg/ml
Dạng tiêm Caspofungin acetate 0.5 mg/ml
NaCl 0,9% 2233
Tương thích
Dạng tiêm Clindamycin phosphate 9 mg/ml
Dạng tiêm Cefamandole nafate 10 mg/ml
Glucose 5% 418
Tương thích
Dạng tiêm Clindamycin phosphate
Dạng tiêm Cefamandole nafate
NaCl 0,9% 3526
Tương thích
Dạng tiêm Clindamycin phosphate 9 mg/ml
Dạng tiêm Cefamandole nafate 10 mg/ml
NaCl 0,9% 418
Tương thích
Dạng tiêm Clindamycin phosphate
Dạng tiêm Cefamandole nafate
Glucose 5% 3526
Tương thích
Dạng tiêm Clindamycin phosphate 9 mg/ml
Dạng tiêm Cefazolin sodium 10 mg/ml
NaCl 0,9% 418
Tương thích
Dạng tiêm Clindamycin phosphate
Dạng tiêm Cefazolin sodium
NaCl 0,9% 3526
Tương thích
Dạng tiêm Clindamycin phosphate 9 mg/ml
Dạng tiêm Cefazolin sodium 10 mg/ml
Glucose 5% 418
Tương thích
Dạng tiêm Clindamycin phosphate 0,25 & 6 mg/ml
Dạng tiêm Cefepime dihydrochloride 4 & 40 mg/ml
Glucose 5% 3548
Tương thích
Dạng tiêm Clindamycin phosphate 10 mg/ml
Dạng tiêm Cefiderocol sulfate tosylate 20 mg/mL
Glucose 5% 4528
Tương thích
Dạng tiêm Clindamycin phosphate 12 mg/ml
Dạng tiêm Cefoperazone sodium 20 mg/ml
Glucose 5% 644
Không tương thích không xác định Không tương thích
Dạng tiêm Clindamycin phosphate
NaHCO3 3526
Tương thích
Dạng tiêm Clindamycin phosphate 12 mg/ml
Dạng tiêm Cefonicid sodium 10 mg/ml
NaCl 0,9% 644
Tương thích
Dạng tiêm Clindamycin phosphate 10 mg/ml
Dinh dưỡng đường tĩnh mạch (hỗn hợp 2 thành phần) 301
Tương thích
Dạng tiêm Clindamycin phosphate
Dạng tiêm Cefazolin sodium
Glucose 5% 3526
Tương thích
Dạng tiêm Clindamycin phosphate 0,25 & 6 mg/ml
Dạng tiêm Cefepime dihydrochloride 4 & 40 mg/ml
NaCl 0,9% 3548
Tương thích
Dạng tiêm Clindamycin phosphate 10 mg/ml
Dạng tiêm Cefiderocol sulfate tosylate 20 mg/mL
NaCl 0,9% 4528
Tương thích
Dạng tiêm Clindamycin phosphate 12 mg/ml
Dạng tiêm Cefonicid sodium 10 mg/ml
Glucose 5% 644
Tương thích
Dạng tiêm Clindamycin phosphate 12 mg/ml
Dạng tiêm Cefoperazone sodium 20 mg/ml
NaCl 0,9% 644
Tương thích
Dạng tiêm Clindamycin phosphate 150 mg/ml
Dinh dưỡng đường tĩnh mạch (hỗn hợp 2 thành phần) 999
Tương thích
Dạng tiêm Clindamycin phosphate
Dạng tiêm Cefotaxime sodium
Glucose 5% 3526
Tương thích
Dạng tiêm Clindamycin phosphate 9 mg/ml
Dạng tiêm Cefotaxime sodium 20 mg/ml
Glucose 5% 421
Tương thích
Dạng tiêm Clindamycin phosphate 9 mg/ml
Dạng tiêm Cefotaxime sodium 20 mg/ml
NaCl 0,9% 421
Tương thích
Dạng tiêm Clindamycin phosphate
Dạng tiêm Cefotaxime sodium
NaCl 0,9% 3526
Tương thích
Dạng tiêm Clindamycin phosphate
Dạng tiêm Cefoxitin sodium
NaCl 0,9% 3526
Tương thích
Dạng tiêm Clindamycin phosphate 9 mg/ml
Dạng tiêm Cefoxitin sodium 20 mg/ml
Glucose 5% 418
Tương thích
Dạng tiêm Clindamycin phosphate 9 mg/ml
Dạng tiêm Cefoxitin sodium 20 mg/ml
NaCl 0,9% 418
Tương thích
Dạng tiêm Clindamycin phosphate
Dạng tiêm Cefoxitin sodium
Glucose 5% 3526
Tương thích
Dạng tiêm Clindamycin phosphate 12 mg/ml
Dạng tiêm Cefpirome sulfate 50 mg/ml
NaCl 0,9% 280
Tương thích
Dạng tiêm Clindamycin phosphate 12 mg/ml
Dạng tiêm Cefpirome sulfate 50 mg/ml
NaCl 0,45% 280
Tương thích
Dạng tiêm Clindamycin phosphate 12 mg/ml
Dạng tiêm Cefpirome sulfate 50 mg/ml
Glucose 5% 280
Tương thích
Dạng tiêm Clindamycin phosphate 12 mg/ml
Dạng tiêm Cefpirome sulfate 50 mg/ml
Dung dịch Ringer’s lactate 280
Tương thích
Dạng tiêm Clindamycin phosphate 10 mg/ml
Dạng tiêm Ceftaroline fosamil 2,22 mg/ml
Dung dịch Ringer’s lactate 3249
Tương thích
Dạng tiêm Clindamycin phosphate
Dạng tiêm Ceftazidime
Glucose 5% 3526
Tương thích
Dạng tiêm Clindamycin phosphate 9 mg/ml
Dạng tiêm Ceftizoxime sodium 20 mg/ml
NaCl 0,9% 418
Tương thích
Dạng tiêm Clindamycin phosphate
Dạng tiêm Ceftizoxime sodium
Glucose 5% 3526
Tương thích
Dạng tiêm Clindamycin phosphate 10 mg/ml
Dạng tiêm Ceftobiprole medocaril sodium 2 mg/ml
NaCl 0,9% 2269
Tương thích
Dạng tiêm Clindamycin phosphate 10 mg/ml
Dạng tiêm Ceftobiprole medocaril sodium 2 mg/ml
Glucose 5% 2269
Tương thích
Dạng tiêm Clindamycin phosphate 10 mg/ml
Dạng tiêm Ceftobiprole medocaril sodium 2 mg/ml
Dung dịch Ringer’s lactate 2269
Tương thích
Dạng tiêm Clindamycin phosphate 5,77 mg/ml
Dinh dưỡng đường tĩnh mạch (có lipids) 4440
Tương thích
Dạng tiêm Clindamycin phosphate 1.2 mg/ml
Dạng tiêm Cimetidine hydrochloride 1.2 & 5 mg/ml
Glucose 5% 1201
Tương thích
Dạng tiêm Clindamycin phosphate 1.2 mg/ml
Dạng tiêm Cimetidine hydrochloride 1.2 & 5 mg/ml
NaCl 0,9% 1201
Lượng mưa ngay lập tức Không tương thích
Dạng tiêm Clindamycin phosphate 7 mg/ml
Dạng tiêm Ciprofloxacin lactate 1.5 mg/ml
Glucose 5% 434
Tương thích
Dạng tiêm Clindamycin phosphate 10 mg/ml
Dạng tiêm Cisatracurium besylate 0.1 >> 5 mg/ml
Glucose 5% 299
Tương thích
Dạng tiêm Clindamycin phosphate 150 mg/ml
Dạng tiêm Cloxacillin sodium 100 mg/ml
Nước cất pha tiêm 3012
Tương thích
Dạng tiêm Clindamycin phosphate 10 mg/ml
Dạng tiêm Docetaxel 0.9 mg/ml
Glucose 5% 1754
Sản xuất bong bóng khí Không tương thích
Dạng tiêm Clindamycin phosphate 10 mg/ml
Dạng tiêm Doxapram hydrochloride 2 mg/ml
Glucose 5% 1802
Tương thích
Dạng tiêm Clindamycin phosphate 10 mg/ml
Dạng tiêm Doxorubicin hydrochloride liposome peg 0.4 mg/ml
Glucose 5% 251
Tương thích
Dạng tiêm Clindamycin phosphate 9 mg/ml
Dạng tiêm Esmolol hydrochloride 10 mg/ml
Glucose 5% 384
Tương thích
Dạng tiêm Clindamycin phosphate 9 mg/ml
Dạng tiêm Fentanyl citrate 50 µg/ml
Glucose 5% 63
Tương thích
Dạng tiêm Clindamycin phosphate 10 mg/ml
Dinh dưỡng đường tĩnh mạch (có lipids) 3967
Tương thích
Dạng tiêm Clindamycin phosphate 10 mg/ml
Dạng tiêm Ceftaroline fosamil 2,22 mg/ml
Glucose 5% 3249
Tương thích
Dạng tiêm Clindamycin phosphate 10 mg/ml
Dạng tiêm Ceftaroline fosamil 2,22 mg/ml
NaCl 0,9% 3249
Tương thích
Dạng tiêm Clindamycin phosphate 9 mg/ml
Dạng tiêm Ceftazidime 20 mg/ml
Glucose 5% 432
Tương thích
Dạng tiêm Clindamycin phosphate
Dạng tiêm Ceftazidime
NaCl 0,9% 3526
Tương thích
Dạng tiêm Clindamycin phosphate 9 mg/ml
Dạng tiêm Ceftazidime 20 mg/ml
NaCl 0,9% 432
Tương thích
Dạng tiêm Clindamycin phosphate 10 mg/ml
Dinh dưỡng đường tĩnh mạch (có lipids) 1415
Tương thích
Dạng tiêm Clindamycin phosphate 9 mg/ml
Dạng tiêm Ceftizoxime sodium 20 mg/ml
Glucose 5% 418
Tương thích
Dạng tiêm Clindamycin phosphate
Dạng tiêm Ceftizoxime sodium
NaCl 0,9% 3526
Không ổn định hóa học Không tương thích
Dạng tiêm Clindamycin phosphate 12 mg/ml
Dạng tiêm Ceftriaxone disodium 20 mg/ml
Glucose 5% 432
Không tương thích không xác định Không tương thích
Dạng tiêm Clindamycin phosphate
Dạng tiêm Ceftriaxone disodium
3526
Không ổn định hóa học Không tương thích
Dạng tiêm Clindamycin phosphate 12 mg/ml
Dạng tiêm Ceftriaxone disodium 20 mg/ml
NaCl 0,9% 432
Tương thích
Dạng tiêm Clindamycin phosphate 9 mg/ml
Dạng tiêm Cefuroxime sodium 15 mg/ml
NaCl 0,9% 644
Tương thích
Dạng tiêm Clindamycin phosphate 9 mg/ml
Dạng tiêm Cefuroxime sodium 15 mg/ml
Glucose 5% 644
Lượng mưa ngay lập tức Không tương thích
Dạng tiêm Clindamycin phosphate 7 mg/ml
Dạng tiêm Ciprofloxacin lactate 1.5 mg/ml
NaCl 0,9% 434
Không tương thích không xác định Không tương thích
Dạng tiêm Clindamycin phosphate
Dạng tiêm Ciprofloxacin lactate
3526
Tương thích
Dạng tiêm Clindamycin phosphate 10 mg/ml
Dạng tiêm Dexmedetomidine 4 µg/ml
NaCl 0,9% 1712
Tương thích
Dạng tiêm Clindamycin phosphate 12 & 150 mg/ml
Dạng tiêm Diltiazem hydrochloride 5 mg/ml
NaCl 0,9% 198
Tương thích
Dạng tiêm Clindamycin phosphate
Dạng tiêm Dimenhydrinate
2087
Tương thích
Dạng tiêm Clindamycin phosphate 9 mg/ml
Dạng tiêm Enalaprilate 0.05 mg/ml
NaCl 0,9% 1315
Tương thích
Dạng tiêm Clindamycin phosphate 10 mg/ml
Dạng tiêm Etoposide phosphate 5 mg/ml
Glucose 5% 1410
Tương thích
Dạng tiêm Clindamycin phosphate 10 mg/ml
Dạng tiêm Fenoldopam mesylate 80 µg/ml
NaCl 0,9% 1803
Lượng mưa ngay lập tức Không tương thích
Dạng tiêm Clindamycin phosphate 10 mg/ml
Dạng tiêm Filgrastim 30 µg/ml
Glucose 5% 244
Tương thích
Dạng tiêm Clindamycin phosphate 12 mg/ml
Dạng tiêm Fluconazole 2 mg/ml
Không 256
Lượng mưa ngay lập tức Không tương thích
Dạng tiêm Clindamycin phosphate 24 mg/ml
Dạng tiêm Fluconazole 2 mg/ml
NaCl 0,9% 496
Tương thích
Dạng tiêm Clindamycin phosphate 10 mg/ml
Dạng tiêm Fludarabine phosphate 1 mg/ml
Glucose 5% 492
Tương thích
Dạng tiêm Clindamycin phosphate 12 mg/ml
Dạng tiêm Foscarnet sodium 24 mg/ml
Glucose 5% 1135
Tương thích
Dạng tiêm Clindamycin phosphate 24 mg/ml
Dạng tiêm Foscarnet sodium 24 mg/ml
Không 73
Tương thích
Dạng tiêm Clindamycin phosphate 12 mg/ml
Dạng tiêm Foscarnet sodium 24 mg/ml
NaCl 0,9% 1135
Tương thích
Dạng tiêm Clindamycin phosphate 10 mg/ml
Dạng tiêm Gemcitabine hydrochloride 10 mg/ml
NaCl 0,9% 1423
Tương thích
Dạng tiêm Clindamycin phosphate
Dạng tiêm Gentamicin sulfate
Glucose 5% 3526
Tương thích
Dạng tiêm Clindamycin phosphate 90 mg/ml
Dạng tiêm Gentamicin sulfate 12 mg/ml
NaCl 0,9% 639
Tương thích
Dạng tiêm Clindamycin phosphate 6 mg/ml
Dạng tiêm Gentamicin sulfate 0.67 mg/ml
Glucose 5% 423
Tương thích
Dạng tiêm Clindamycin phosphate
Dạng tiêm Gentamicin sulfate
NaCl 0,9% 3526
Tương thích
Dạng tiêm Clindamycin phosphate 10 mg/ml
Dạng tiêm Granisetron hydrochloride 0.05 mg/ml
Glucose 5% 182
Tương thích
Dạng tiêm Clindamycin phosphate 12 mg/ml
Dạng tiêm Heparin sodium 50 UI/ml
Không 317
Tương thích
Dạng tiêm Clindamycin phosphate 10 mg/ml
Dạng tiêm Hetastarch 60 mg/ml
dung môi cụ thể 1721
Tương thích
Dạng tiêm Clindamycin phosphate 12 mg/ml
Dạng tiêm Hydromorphone hydrochloride 0.2 mg/ml
Glucose 5% 405
Không tương thích không xác định Không tương thích
Dạng tiêm Clindamycin phosphate
Dạng tiêm Idarubicin hydrochloride
3526
Lượng mưa ngay lập tức Không tương thích
Dạng tiêm Clindamycin phosphate 12 mg/ml
Dạng tiêm Idarubicin hydrochloride 1 mg/ml
NaCl 0,9% 491
Tương thích
Dạng tiêm Clindamycin phosphate 150 mg/ml
Dạng tiêm Ketamine hydrochloride 50 mg/ml
2109
Tương thích
Dạng tiêm Clindamycin phosphate 9 mg/ml
Dạng tiêm Labetalol hydrochloride 1 mg/ml
Glucose 5% 386
Lượng mưa ngay lập tức Không tương thích
Dạng tiêm Clindamycin phosphate 10 mg/ml
Dạng tiêm Lansoprazole 0.55 mg/ml
NaCl 0,9% 1625
Tương thích
Dạng tiêm Clindamycin phosphate 150 mg/ml
Dạng tiêm Levofloxacine 5 mg/ml
Glucose 5% 1072
Tương thích
Dạng tiêm Clindamycin phosphate 10 mg/ml
Dạng tiêm Linezolid 2 mg/ml
Không 1925
Không tương thích không xác định Không tương thích
Dạng tiêm Clindamycin phosphate
Dạng tiêm Magnesium chloride
5012
Không tương thích không xác định Không tương thích
Dạng tiêm Clindamycin phosphate
Dạng tiêm Magnesium sulfate
3838
Tương thích
Dạng tiêm Clindamycin phosphate 12 mg/ml
Dạng tiêm Magnesium sulfate 16.67 >> 100 mg/ml
Glucose 5% 1047
Không tương thích không xác định Không tương thích
Dạng tiêm Clindamycin phosphate
Dạng tiêm Magnesium sulfate
3526
Tương thích
Dạng tiêm Clindamycin phosphate 10 mg/ml
Dạng tiêm Melphalan 0.1 mg/ml
NaCl 0,9% 169
Tương thích
Dạng tiêm Clindamycin phosphate 150 mg/ml
Dạng tiêm Meropenem 50 mg/ml
Nước cất pha tiêm 4319
Không tương thích không xác định Không tương thích
Dạng tiêm Clindamycin phosphate
Dạng tiêm Methohexital sodium
3526
Tương thích
Dạng tiêm Clindamycin phosphate 10 mg/ml
Dạng tiêm Metronidazole 5 mg/ml
Không 1035
Tương thích
Dạng tiêm Clindamycin phosphate
Dạng tiêm Metronidazole
3594
Tương thích
Dạng tiêm Clindamycin phosphate 9 mg/ml
Dạng tiêm Midazolam hydrochloride 1 mg/ml
Glucose 5% 176
Tương thích
Dạng tiêm Clindamycin phosphate 12 mg/ml
Dạng tiêm Morphine sulfate 1 mg/ml
Glucose 5% 405
Tương thích
Dạng tiêm Clindamycin phosphate 150 mg/ml
Dạng tiêm N-acetylcysteine 200 mg/ml
Không 3766
Tương thích
Dạng tiêm Clindamycin phosphate 150 mg/ml
Dạng tiêm Naloxone hydrochloride 0.4 mg/ml
Không 3408
Tương thích
Dạng tiêm Clindamycin phosphate
Dạng tiêm Netilmicin sulfate
NaCl 0,9% 3526
Tương thích
Dạng tiêm Clindamycin phosphate 9 mg/ml
Dạng tiêm Netilmicin sulfate 3 mg/ml
Glucose 5% 421
Tương thích
Dạng tiêm Clindamycin phosphate 9 mg/ml
Dạng tiêm Netilmicin sulfate 3 mg/ml
NaCl 0,9% 421
Tương thích
Dạng tiêm Clindamycin phosphate
Dạng tiêm Netilmicin sulfate
Glucose 5% 3526
Tương thích
Dạng tiêm Clindamycin phosphate 9 mg/ml
Dạng tiêm Nicardipine hydrochloride 0.1 mg/ml
NaCl 0,9% 1490
Tương thích
Dạng tiêm Clindamycin phosphate 9 mg/ml
Dạng tiêm Nicardipine hydrochloride 0.1 mg/ml
Glucose 5% 1490
Tương thích
Dạng tiêm Clindamycin phosphate 6 mg/ml
Dạng tiêm Ofloxacin 2 mg/ml
Không 889
Tương thích
Dạng tiêm Clindamycin phosphate 10 mg/ml
Dạng tiêm Ondansetron hydrochloride 1 mg/ml
NaCl 0,9% 334
Lượng mưa sau 1 giờ Không tương thích
Dạng tiêm Clindamycin phosphate 12 mg/ml
Dạng tiêm Oritavancin 0.8 >>2 mg/ml
Glucose 5% 3152
Lượng mưa sau 1 giờ Không tương thích
Dạng tiêm Clindamycin phosphate
Dạng tiêm Pantoprazole sodium
2090
Tương thích
Dạng tiêm Clindamycin phosphate 150 mg/ml
Dạng tiêm Paracetamol 10 mg/ml
4742
Tương thích
Dạng tiêm Clindamycin phosphate 10 mg/ml
Dạng tiêm Paracetamol 10 mg/ml
Không 3571
Tương thích
Dạng tiêm Clindamycin phosphate 10 mg/ml
Dạng tiêm Pemetrexed disodium 20 mg/ml
NaCl 0,9% 1953
Không tương thích không xác định Không tương thích
Dạng tiêm Clindamycin phosphate
Dạng tiêm Pentobarbital sodium
3526
Tương thích
Dạng tiêm Clindamycin phosphate 12 mg/ml
Dạng tiêm Pethidine hydrochloride 10 mg/ml
Glucose 5% 405
Không tương thích không xác định Không tương thích
Dạng tiêm Clindamycin phosphate
Dạng tiêm Phenobarbital sodium
3526
Không tương thích không xác định Không tương thích
Dạng tiêm Clindamycin phosphate
Dạng tiêm Phenytoin sodium
3526
Tương thích
Dạng tiêm Clindamycin phosphate 18 mg/ml
Dạng tiêm Phloroglucinol 2,5 mg/ml
3791
Tương thích
Dạng tiêm Clindamycin phosphate
Dạng tiêm Piperacillin sodium
Glucose 5% 3526
Tương thích
Dạng tiêm Clindamycin phosphate
Dạng tiêm Piperacillin sodium
NaCl 0,9% 3526
Tương thích
Dạng tiêm Clindamycin phosphate 9 mg/ml
Dạng tiêm Piperacillin sodium 40 mg/ml
Glucose 5% 432
Tương thích
Dạng tiêm Clindamycin phosphate 9 mg/ml
Dạng tiêm Piperacillin sodium 40 mg/ml
NaCl 0,9% 432
Tương thích
Dạng tiêm Clindamycin phosphate 10 mg/ml
Dạng tiêm Piperacillin sodium / tazobactam 40/5 mg/ml
Glucose 5% 81
Độ đục ngay lập tức Không tương thích
Dạng tiêm Clindamycin phosphate 150 mg/ml
Dạng tiêm Salbutamol sulfate 1 mg/ml
Không 3216
Không tương thích không xác định Không tương thích
Dạng tiêm Clindamycin phosphate
Dạng tiêm Sodium bicarbonate
3526
Lượng mưa ngay lập tức Không tương thích
Dạng tiêm Clindamycin phosphate 12 mg/ml
Dạng tiêm Temocilline 83.33 mg/ml
Nước cất pha tiêm 2231
Tương thích
Dạng tiêm Clindamycin phosphate 10 mg/ml
Dạng tiêm Teniposide 0.1 mg/ml
Glucose 5% 905
Không tương thích không xác định Không tương thích
Dạng tiêm Clindamycin phosphate
Dạng tiêm Thiopental sodium
3526
Tương thích
Dạng tiêm Clindamycin phosphate
NaCl 0,9% 3526
Tương thích
Dạng tiêm Clindamycin phosphate 10 mg/ml
Dạng tiêm Propofol 10 mg/ml
Không 300
Không tương thích không xác định Không tương thích
Dạng tiêm Clindamycin phosphate
Dạng tiêm Ranitidine hydrochloride
3526
Tương thích
Dạng tiêm Clindamycin phosphate 10 mg/ml
Dạng tiêm Remifentanil hydrochloride 25 & 250 µg/ml
NaCl 0,9% 59
Tương thích
Dạng tiêm Clindamycin phosphate 10 mg/ml
Dạng tiêm Sargramostim 10 µg/ml
NaCl 0,9% 335
Tương thích
Dạng tiêm Clindamycin phosphate 12 mg/ml
Dạng tiêm Tacrolimus 1000 µg/ml
NaCl 0,9% 479
Tương thích
Dạng tiêm Clindamycin phosphate 12 mg/ml
Dạng tiêm Theophylline 4 mg/ml
Không 317
Lượng mưa ngay lập tức Không tương thích
Dạng tiêm Clindamycin phosphate 150 mg/ml
Dạng tiêm Thiopental sodium 25 mg/ml
NaCl 0,9% 3767
Tương thích
Dạng tiêm Clindamycin phosphate 10 mg/ml
Dạng tiêm Thiotepa 1 mg/ml
Glucose 5% 249
Tương thích
Dạng tiêm Clindamycin phosphate
Dạng tiêm Tobramycin sulfate
NaCl 0,9% 3526
Lượng mưa ngay lập tức Không tương thích
Dạng tiêm Clindamycin phosphate 90 mg/ml
Dạng tiêm Tobramycin sulfate 12 mg/ml
NaCl 0,9% 639
Tương thích
Dạng tiêm Clindamycin phosphate
Dạng tiêm Tobramycin sulfate
Glucose 5% 3526
Lượng mưa sau 2 giờ Không tương thích
Dạng tiêm Clindamycin phosphate 6 mg/ml
Dạng tiêm Tramadol hydrochloride 0,4 mg/ml
NaCl 0,9% 2002
Tương thích
Dạng tiêm Clindamycin phosphate 1.2 mg/ml
Dạng tiêm Verapamil hydrochloride 0.08 mg/ml
NaCl 0,9% 1057
Tương thích
Dạng tiêm Clindamycin phosphate 1.2 mg/ml
Dạng tiêm Verapamil hydrochloride 0.08 mg/ml
Glucose 5% 1057
Tương thích
Dạng tiêm Clindamycin phosphate 10 mg/ml
Dạng tiêm Vinorelbine tartrate 1 mg/ml
NaCl 0,9% 84
Tương thích
Dạng tiêm Clindamycin phosphate 12 mg/ml
Dạng tiêm Zidovudine 4 mg/ml
Glucose 5% 337

  Mentions Légales