viimane versioon :
17/12/2025
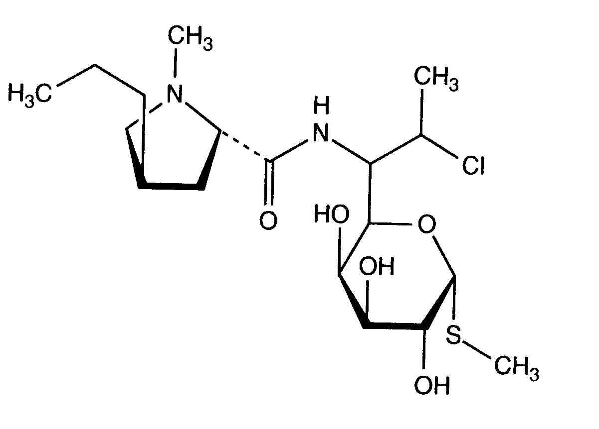
antibiootikum   Clindamycin phosphate  
Süsteravim
Stabiilsus lahustes Stabiilsust mõjutavad tegurid stabiilsust mõjutavad faktorid Sobimatus Manustamis viis Viited pdf
   keemiline struktuur  

Kaubanduslikud nimed erinevates maades   Kaubanduslikud nimed erinevates maades     

Preparaatide nimed on näitlikud ja abianete sisaldus võib erineda sõltuvalt riigist ja laborist

Biodaclin Mehhiko
Camyda India
Cinbiot Mehhiko
Cleocin Ameerika ühendriigid, Austria, Türgi
Clinamsa Mehhiko
Clinbac Kolumbia, Maroko
Clincina Portugal
Clinda-Saar Saksamaa
Clindacid Venetsueela
Clindacin Malaisia
Clindalaf Argentiina
Clindamicina Argentiina, Brasiilia, Ecuador, Hispaania, Itaalia, Kolumbia, Maroko, Mehhiko, Portugal, Tšiili, Venetsueela
Clindamycin Ameerika ühendriigid, Austria, Iraan, Kanada, Norra, Rootsi, Rumeenia, Saksamaa, Saudi Araabia
Clindamycin-Hameln Saksamaa
Clindamycine Belgia, Holland, Prantsusmaa, Tuneesia
Clindanovag Argentiina
Clindarix Brasiilia
Clindasol Saksamaa
Clindaval Venetsueela
Clindazyn Mehhiko
Clindo Poola
Clysvic Mehhiko
Daclin Tšiili
Dalacin Araabia Ühendemiraadid, Austraalia, Belgia, Ecuador, Egiptus, Holland, Iirimaa, India, Iraan, Island, Itaalia, Kanada, Kolumbia, Kreeka, Luksemburg, Malaisia, Mehhiko, Norra, Poola, Rootsi, Saudi Araabia, Soome, Suurbritannia, Sveits, Taani, Tšiili, Tuneesia, Ungari, uus-Meremaa, Venetsueela
Dalacine Prantsusmaa, Tuneesia
Daladic Iraan
Dalcinex India
Damclid India
Damicin Kolumbia, Mehhiko
Damicine Kolumbia
Dolarclin Kolumbia
Euroclin Ecuador, Kolumbia
Gynasafe India
Indamid Mehhiko
Klimicin Poola
Klindan Türgi
Klindaver Türgi
Lanacine Austria
Lincocin Malaisia
Lincosa Malaisia
Meneklin Türgi
Sobelin Saksamaa
Tidact Malaisia
Sobimatus   Süsteravim   Sobimatus : Clindamycin phosphate              
Sellel lehel kuvatakse sobimatusi ja sobimatuse tüüpi (sadenemine, värvuse muutus, emulsiooni modifitseerumine jne). Enamasti on siin lehel kuvatud füüsikalised sobimatused, kuna molekulide keemilist stabiilsust hinnatakse harva. Hinnatud on segude sobivust Y-liinis. Antud infot ei saa kasutada ravimite sobivuse hindamiseks juhul, kui ravimid on segatud süstaldes või infusioonikottides. See info on lehel « stabiilsus segudes ».
ingredient lahusti Viited
Ühilduv
Süsteravim Clindamycin phosphate 12 mg/ml
Süsteravim Aciclovir sodium 5 mg/ml
glükoos 5% 336
Kohene sade Sobimatu
Süsteravim Clindamycin phosphate 10 mg/ml
Süsteravim Allopurinol sodium 3 mg/ml
naatriumkloriid 0.9% 307
Ühilduv
Süsteravim Clindamycin phosphate 10 mg/ml
Süsteravim Amifostine 10 mg/ml
glükoos 5% 3
Ühilduv
Süsteravim Clindamycin phosphate
Süsteravim Amikacin sulfate
naatriumkloriid 0.9% 3526
Ühilduv
Süsteravim Clindamycin phosphate 9 mg/ml
Süsteravim Amikacin sulfate 4 mg/ml
naatriumkloriid 0.9% 565
Ühilduv
Süsteravim Clindamycin phosphate 9 mg/ml
Süsteravim Amikacin sulfate 4 mg/ml
glükoos 5% 565
Ühilduv
Süsteravim Clindamycin phosphate
Süsteravim Amikacin sulfate
glükoos 5% 3526
Ühilduv
Süsteravim Clindamycin phosphate 90 mg/ml
Süsteravim Amikacin sulfate 75 mg/ml
naatriumkloriid 0.9% 639
Täpsustamata sobimatus Sobimatu
Süsteravim Clindamycin phosphate
Süsteravim Aminophylline
3526
Ühilduv
Süsteravim Clindamycin phosphate 6 mg/ml
Süsteravim Amiodarone hydrochloride 4 mg/ml
naatriumkloriid 0.9% 385
Ühilduv
Süsteravim Clindamycin phosphate 6 mg/ml
Süsteravim Amiodarone hydrochloride 4 mg/ml
glükoos 5% 385
Hägusus ühe tunni jooksul Sobimatu
Süsteravim Clindamycin phosphate 150 mg/ml
Süsteravim Amoxicillin sodium / clavulanic acid 100/10 mg/ml
3824
Ühilduv
Süsteravim Clindamycin phosphate 10 mg/ml
Süsteravim Amphotericin B cholesteryl sulfate complex 0.83 mg/ml
glükoos 5% 921
Täpsustamata sobimatus Sobimatu
Süsteravim Clindamycin phosphate
Süsteravim Ampicillin sodium
3526
Ühilduv
Süsteravim Clindamycin phosphate
glükoos 5% 3526
Täpsustamata sobimatus Sobimatu
Süsteravim Clindamycin phosphate
Süsteravim Amobarbital sodium
3526
Ühilduv
Süsteravim Clindamycin phosphate 10 mg/ml
Süsteravim Amsacrine 1 mg/ml
glükoos 5% 253
Ühilduv
Süsteravim Clindamycin phosphate 10 mg/ml
Süsteravim Anidulafungin 0.5 mg/ml
glükoos 5% 1982
pH muutmine> 1 pH ühikuna Sobimatu
Süsteravim Clindamycin phosphate 9 mg/ml
Süsteravim Atosiban 0,75 mg/ml
4642
Ühilduv
Süsteravim Clindamycin phosphate 6 mg/ml
Süsteravim Aztreonam 10 mg/ml
glükoos 5% 419
Ühilduv
Süsteravim Clindamycin phosphate 9 mg/ml
Süsteravim Aztreonam 20 mg/ml
glükoos 5% 432
Ühilduv
Süsteravim Clindamycin phosphate 60 mg/ml
Süsteravim Aztreonam 200 mg/ml
naatriumkloriid 0.9% 644
Ühilduv
Süsteravim Clindamycin phosphate
Süsteravim Aztreonam
naatriumkloriid 0.9% 3526
Ühilduv
Süsteravim Clindamycin phosphate 3 mg/ml
Süsteravim Aztreonam 10 mg/ml
glükoos 5% 419
Ühilduv
Süsteravim Clindamycin phosphate
Süsteravim Aztreonam
glükoos 5% 3526
Ühilduv
Süsteravim Clindamycin phosphate 24 mg/ml
Parenteraalse toitmise (lipiide tasuta) 3379
Kohene sade Sobimatu
Süsteravim Clindamycin phosphate 30 mg/ml
Süsteravim Azithromycine 2 mg/ml
naatriumkloriid 0.9% 1800
Ühilduv
Süsteravim Clindamycin phosphate 3 mg/ml
Parenteraalse toitmise (lipiide tasuta) 1055
Ühilduv
Süsteravim Clindamycin phosphate 6 mg/ml
Süsteravim Aztreonam 20 mg/ml
naatriumkloriid 0.9% 419
Ühilduv
Süsteravim Clindamycin phosphate 3 mg/ml
Süsteravim Aztreonam 20 mg/ml
naatriumkloriid 0.9% 419
Ühilduv
Süsteravim Clindamycin phosphate 3 mg/ml
Süsteravim Aztreonam 20 mg/ml
glükoos 5% 419
Ühilduv
Süsteravim Clindamycin phosphate 6 mg/ml
Süsteravim Aztreonam 20 mg/ml
glükoos 5% 419
Ühilduv
Süsteravim Clindamycin phosphate 10 mg/ml
Süsteravim Aztreonam 40 mg/ml
glükoos 5% 99
Ühilduv
Süsteravim Clindamycin phosphate 3 mg/ml
Süsteravim Aztreonam 10 mg/ml
naatriumkloriid 0.9% 419
Ühilduv
Süsteravim Clindamycin phosphate 6 mg/ml
Süsteravim Aztreonam 10 mg/ml
naatriumkloriid 0.9% 419
Ühilduv
Süsteravim Clindamycin phosphate 9 mg/ml
Süsteravim Aztreonam 20 mg/ml
naatriumkloriid 0.9% 432
Ühilduv
Süsteravim Clindamycin phosphate 10 mg/ml
Süsteravim Bivalirudin 5 mg/ml
glükoos 5% 1713
Ühilduv
Süsteravim Clindamycin phosphate 150 mg/ml
Süsteravim Caffeine 10 mg/ml
mitte ükski 3964
Täpsustamata sobimatus Sobimatu
Süsteravim Clindamycin phosphate
Süsteravim Calcium gluconate
3644
Täpsustamata sobimatus Sobimatu
Süsteravim Clindamycin phosphate
Süsteravim Calcium gluconate
3526
Sobimatu
Süsteravim Clindamycin phosphate
Süsteravim Calcium gluconate
4964
Kohene sade Sobimatu
Süsteravim Clindamycin phosphate 10 mg/ml
Süsteravim Caspofungin acetate 0,7 mg/ml
naatriumkloriid 0.9% 2247
Kohene sade Sobimatu
Süsteravim Clindamycin phosphate 60 mg/ml
Süsteravim Caspofungin acetate 0.5 mg/ml
naatriumkloriid 0.9% 2233
Ühilduv
Süsteravim Clindamycin phosphate 9 mg/ml
Süsteravim Cefamandole nafate 10 mg/ml
glükoos 5% 418
Ühilduv
Süsteravim Clindamycin phosphate
Süsteravim Cefamandole nafate
naatriumkloriid 0.9% 3526
Ühilduv
Süsteravim Clindamycin phosphate 9 mg/ml
Süsteravim Cefamandole nafate 10 mg/ml
naatriumkloriid 0.9% 418
Ühilduv
Süsteravim Clindamycin phosphate
Süsteravim Cefamandole nafate
glükoos 5% 3526
Ühilduv
Süsteravim Clindamycin phosphate 9 mg/ml
Süsteravim Cefazolin sodium 10 mg/ml
naatriumkloriid 0.9% 418
Ühilduv
Süsteravim Clindamycin phosphate
Süsteravim Cefazolin sodium
naatriumkloriid 0.9% 3526
Ühilduv
Süsteravim Clindamycin phosphate 9 mg/ml
Süsteravim Cefazolin sodium 10 mg/ml
glükoos 5% 418
Ühilduv
Süsteravim Clindamycin phosphate 0,25 & 6 mg/ml
Süsteravim Cefepime dihydrochloride 4 & 40 mg/ml
glükoos 5% 3548
Ühilduv
Süsteravim Clindamycin phosphate 10 mg/ml
Süsteravim Cefiderocol sulfate tosylate 20 mg/mL
glükoos 5% 4528
Ühilduv
Süsteravim Clindamycin phosphate 12 mg/ml
Süsteravim Cefoperazone sodium 20 mg/ml
glükoos 5% 644
Täpsustamata sobimatus Sobimatu
Süsteravim Clindamycin phosphate
NaHCO3 3526
Ühilduv
Süsteravim Clindamycin phosphate 12 mg/ml
Süsteravim Cefonicid sodium 10 mg/ml
naatriumkloriid 0.9% 644
Ühilduv
Süsteravim Clindamycin phosphate 10 mg/ml
Parenteraalse toitmise (lipiide tasuta) 301
Ühilduv
Süsteravim Clindamycin phosphate
Süsteravim Cefazolin sodium
glükoos 5% 3526
Ühilduv
Süsteravim Clindamycin phosphate 0,25 & 6 mg/ml
Süsteravim Cefepime dihydrochloride 4 & 40 mg/ml
naatriumkloriid 0.9% 3548
Ühilduv
Süsteravim Clindamycin phosphate 10 mg/ml
Süsteravim Cefiderocol sulfate tosylate 20 mg/mL
naatriumkloriid 0.9% 4528
Ühilduv
Süsteravim Clindamycin phosphate 12 mg/ml
Süsteravim Cefonicid sodium 10 mg/ml
glükoos 5% 644
Ühilduv
Süsteravim Clindamycin phosphate 12 mg/ml
Süsteravim Cefoperazone sodium 20 mg/ml
naatriumkloriid 0.9% 644
Ühilduv
Süsteravim Clindamycin phosphate 150 mg/ml
Parenteraalse toitmise (lipiide tasuta) 999
Ühilduv
Süsteravim Clindamycin phosphate
Süsteravim Cefotaxime sodium
glükoos 5% 3526
Ühilduv
Süsteravim Clindamycin phosphate 9 mg/ml
Süsteravim Cefotaxime sodium 20 mg/ml
glükoos 5% 421
Ühilduv
Süsteravim Clindamycin phosphate 9 mg/ml
Süsteravim Cefotaxime sodium 20 mg/ml
naatriumkloriid 0.9% 421
Ühilduv
Süsteravim Clindamycin phosphate
Süsteravim Cefotaxime sodium
naatriumkloriid 0.9% 3526
Ühilduv
Süsteravim Clindamycin phosphate
Süsteravim Cefoxitin sodium
naatriumkloriid 0.9% 3526
Ühilduv
Süsteravim Clindamycin phosphate 9 mg/ml
Süsteravim Cefoxitin sodium 20 mg/ml
glükoos 5% 418
Ühilduv
Süsteravim Clindamycin phosphate 9 mg/ml
Süsteravim Cefoxitin sodium 20 mg/ml
naatriumkloriid 0.9% 418
Ühilduv
Süsteravim Clindamycin phosphate
Süsteravim Cefoxitin sodium
glükoos 5% 3526
Ühilduv
Süsteravim Clindamycin phosphate 12 mg/ml
Süsteravim Cefpirome sulfate 50 mg/ml
naatriumkloriid 0.9% 280
Ühilduv
Süsteravim Clindamycin phosphate 12 mg/ml
Süsteravim Cefpirome sulfate 50 mg/ml
naatriumkloriid 0.45% 280
Ühilduv
Süsteravim Clindamycin phosphate 12 mg/ml
Süsteravim Cefpirome sulfate 50 mg/ml
glükoos 5% 280
Ühilduv
Süsteravim Clindamycin phosphate 12 mg/ml
Süsteravim Cefpirome sulfate 50 mg/ml
Ringer laktaat 280
Ühilduv
Süsteravim Clindamycin phosphate 10 mg/ml
Süsteravim Ceftaroline fosamil 2,22 mg/ml
Ringer laktaat 3249
Ühilduv
Süsteravim Clindamycin phosphate
Süsteravim Ceftazidime
glükoos 5% 3526
Ühilduv
Süsteravim Clindamycin phosphate 9 mg/ml
Süsteravim Ceftizoxime sodium 20 mg/ml
naatriumkloriid 0.9% 418
Ühilduv
Süsteravim Clindamycin phosphate
Süsteravim Ceftizoxime sodium
glükoos 5% 3526
Ühilduv
Süsteravim Clindamycin phosphate 10 mg/ml
Süsteravim Ceftobiprole medocaril sodium 2 mg/ml
naatriumkloriid 0.9% 2269
Ühilduv
Süsteravim Clindamycin phosphate 10 mg/ml
Süsteravim Ceftobiprole medocaril sodium 2 mg/ml
glükoos 5% 2269
Ühilduv
Süsteravim Clindamycin phosphate 10 mg/ml
Süsteravim Ceftobiprole medocaril sodium 2 mg/ml
Ringer laktaat 2269
Ühilduv
Süsteravim Clindamycin phosphate 5,77 mg/ml
Parenteraalse toitmise (lipiidide) 4440
Ühilduv
Süsteravim Clindamycin phosphate 1.2 mg/ml
Süsteravim Cimetidine hydrochloride 1.2 & 5 mg/ml
glükoos 5% 1201
Ühilduv
Süsteravim Clindamycin phosphate 1.2 mg/ml
Süsteravim Cimetidine hydrochloride 1.2 & 5 mg/ml
naatriumkloriid 0.9% 1201
Kohene sade Sobimatu
Süsteravim Clindamycin phosphate 7 mg/ml
Süsteravim Ciprofloxacin lactate 1.5 mg/ml
glükoos 5% 434
Ühilduv
Süsteravim Clindamycin phosphate 10 mg/ml
Süsteravim Cisatracurium besylate 0.1 >> 5 mg/ml
glükoos 5% 299
Ühilduv
Süsteravim Clindamycin phosphate 150 mg/ml
Süsteravim Cloxacillin sodium 100 mg/ml
süstevesi 3012
Ühilduv
Süsteravim Clindamycin phosphate 10 mg/ml
Süsteravim Docetaxel 0.9 mg/ml
glükoos 5% 1754
Gaasimullide tootmine Sobimatu
Süsteravim Clindamycin phosphate 10 mg/ml
Süsteravim Doxapram hydrochloride 2 mg/ml
glükoos 5% 1802
Ühilduv
Süsteravim Clindamycin phosphate 10 mg/ml
Süsteravim Doxorubicin hydrochloride liposome peg 0.4 mg/ml
glükoos 5% 251
Ühilduv
Süsteravim Clindamycin phosphate 9 mg/ml
Süsteravim Esmolol hydrochloride 10 mg/ml
glükoos 5% 384
Ühilduv
Süsteravim Clindamycin phosphate 9 mg/ml
Süsteravim Fentanyl citrate 50 µg/ml
glükoos 5% 63
Ühilduv
Süsteravim Clindamycin phosphate 10 mg/ml
Parenteraalse toitmise (lipiidide) 3967
Ühilduv
Süsteravim Clindamycin phosphate 10 mg/ml
Süsteravim Ceftaroline fosamil 2,22 mg/ml
glükoos 5% 3249
Ühilduv
Süsteravim Clindamycin phosphate 10 mg/ml
Süsteravim Ceftaroline fosamil 2,22 mg/ml
naatriumkloriid 0.9% 3249
Ühilduv
Süsteravim Clindamycin phosphate 9 mg/ml
Süsteravim Ceftazidime 20 mg/ml
glükoos 5% 432
Ühilduv
Süsteravim Clindamycin phosphate
Süsteravim Ceftazidime
naatriumkloriid 0.9% 3526
Ühilduv
Süsteravim Clindamycin phosphate 9 mg/ml
Süsteravim Ceftazidime 20 mg/ml
naatriumkloriid 0.9% 432
Ühilduv
Süsteravim Clindamycin phosphate 10 mg/ml
Parenteraalse toitmise (lipiidide) 1415
Ühilduv
Süsteravim Clindamycin phosphate 9 mg/ml
Süsteravim Ceftizoxime sodium 20 mg/ml
glükoos 5% 418
Ühilduv
Süsteravim Clindamycin phosphate
Süsteravim Ceftizoxime sodium
naatriumkloriid 0.9% 3526
Keemiline ebastabiilsus Sobimatu
Süsteravim Clindamycin phosphate 12 mg/ml
Süsteravim Ceftriaxone disodium 20 mg/ml
glükoos 5% 432
Täpsustamata sobimatus Sobimatu
Süsteravim Clindamycin phosphate
Süsteravim Ceftriaxone disodium
3526
Keemiline ebastabiilsus Sobimatu
Süsteravim Clindamycin phosphate 12 mg/ml
Süsteravim Ceftriaxone disodium 20 mg/ml
naatriumkloriid 0.9% 432
Ühilduv
Süsteravim Clindamycin phosphate 9 mg/ml
Süsteravim Cefuroxime sodium 15 mg/ml
naatriumkloriid 0.9% 644
Ühilduv
Süsteravim Clindamycin phosphate 9 mg/ml
Süsteravim Cefuroxime sodium 15 mg/ml
glükoos 5% 644
Kohene sade Sobimatu
Süsteravim Clindamycin phosphate 7 mg/ml
Süsteravim Ciprofloxacin lactate 1.5 mg/ml
naatriumkloriid 0.9% 434
Täpsustamata sobimatus Sobimatu
Süsteravim Clindamycin phosphate
Süsteravim Ciprofloxacin lactate
3526
Ühilduv
Süsteravim Clindamycin phosphate 10 mg/ml
Süsteravim Dexmedetomidine 4 µg/ml
naatriumkloriid 0.9% 1712
Ühilduv
Süsteravim Clindamycin phosphate 12 & 150 mg/ml
Süsteravim Diltiazem hydrochloride 5 mg/ml
naatriumkloriid 0.9% 198
Ühilduv
Süsteravim Clindamycin phosphate
Süsteravim Dimenhydrinate
2087
Ühilduv
Süsteravim Clindamycin phosphate 9 mg/ml
Süsteravim Enalaprilate 0.05 mg/ml
naatriumkloriid 0.9% 1315
Ühilduv
Süsteravim Clindamycin phosphate 10 mg/ml
Süsteravim Etoposide phosphate 5 mg/ml
glükoos 5% 1410
Ühilduv
Süsteravim Clindamycin phosphate 10 mg/ml
Süsteravim Fenoldopam mesylate 80 µg/ml
naatriumkloriid 0.9% 1803
Kohene sade Sobimatu
Süsteravim Clindamycin phosphate 10 mg/ml
Süsteravim Filgrastim 30 µg/ml
glükoos 5% 244
Ühilduv
Süsteravim Clindamycin phosphate 12 mg/ml
Süsteravim Fluconazole 2 mg/ml
mitte ükski 256
Kohene sade Sobimatu
Süsteravim Clindamycin phosphate 24 mg/ml
Süsteravim Fluconazole 2 mg/ml
naatriumkloriid 0.9% 496
Ühilduv
Süsteravim Clindamycin phosphate 10 mg/ml
Süsteravim Fludarabine phosphate 1 mg/ml
glükoos 5% 492
Ühilduv
Süsteravim Clindamycin phosphate 12 mg/ml
Süsteravim Foscarnet sodium 24 mg/ml
glükoos 5% 1135
Ühilduv
Süsteravim Clindamycin phosphate 24 mg/ml
Süsteravim Foscarnet sodium 24 mg/ml
mitte ükski 73
Ühilduv
Süsteravim Clindamycin phosphate 12 mg/ml
Süsteravim Foscarnet sodium 24 mg/ml
naatriumkloriid 0.9% 1135
Ühilduv
Süsteravim Clindamycin phosphate 10 mg/ml
Süsteravim Gemcitabine hydrochloride 10 mg/ml
naatriumkloriid 0.9% 1423
Ühilduv
Süsteravim Clindamycin phosphate
Süsteravim Gentamicin sulfate
glükoos 5% 3526
Ühilduv
Süsteravim Clindamycin phosphate 90 mg/ml
Süsteravim Gentamicin sulfate 12 mg/ml
naatriumkloriid 0.9% 639
Ühilduv
Süsteravim Clindamycin phosphate 6 mg/ml
Süsteravim Gentamicin sulfate 0.67 mg/ml
glükoos 5% 423
Ühilduv
Süsteravim Clindamycin phosphate
Süsteravim Gentamicin sulfate
naatriumkloriid 0.9% 3526
Ühilduv
Süsteravim Clindamycin phosphate 10 mg/ml
Süsteravim Granisetron hydrochloride 0.05 mg/ml
glükoos 5% 182
Ühilduv
Süsteravim Clindamycin phosphate 12 mg/ml
Süsteravim Heparin sodium 50 UI/ml
mitte ükski 317
Ühilduv
Süsteravim Clindamycin phosphate 10 mg/ml
Süsteravim Hetastarch 60 mg/ml
konkreetsed lahusti 1721
Ühilduv
Süsteravim Clindamycin phosphate 12 mg/ml
Süsteravim Hydromorphone hydrochloride 0.2 mg/ml
glükoos 5% 405
Täpsustamata sobimatus Sobimatu
Süsteravim Clindamycin phosphate
Süsteravim Idarubicin hydrochloride
3526
Kohene sade Sobimatu
Süsteravim Clindamycin phosphate 12 mg/ml
Süsteravim Idarubicin hydrochloride 1 mg/ml
naatriumkloriid 0.9% 491
Ühilduv
Süsteravim Clindamycin phosphate 150 mg/ml
Süsteravim Ketamine hydrochloride 50 mg/ml
2109
Ühilduv
Süsteravim Clindamycin phosphate 9 mg/ml
Süsteravim Labetalol hydrochloride 1 mg/ml
glükoos 5% 386
Kohene sade Sobimatu
Süsteravim Clindamycin phosphate 10 mg/ml
Süsteravim Lansoprazole 0.55 mg/ml
naatriumkloriid 0.9% 1625
Ühilduv
Süsteravim Clindamycin phosphate 150 mg/ml
Süsteravim Levofloxacine 5 mg/ml
glükoos 5% 1072
Ühilduv
Süsteravim Clindamycin phosphate 10 mg/ml
Süsteravim Linezolid 2 mg/ml
mitte ükski 1925
Täpsustamata sobimatus Sobimatu
Süsteravim Clindamycin phosphate
Süsteravim Magnesium chloride
5012
Täpsustamata sobimatus Sobimatu
Süsteravim Clindamycin phosphate
Süsteravim Magnesium sulfate
3838
Ühilduv
Süsteravim Clindamycin phosphate 12 mg/ml
Süsteravim Magnesium sulfate 16.67 >> 100 mg/ml
glükoos 5% 1047
Täpsustamata sobimatus Sobimatu
Süsteravim Clindamycin phosphate
Süsteravim Magnesium sulfate
3526
Ühilduv
Süsteravim Clindamycin phosphate 10 mg/ml
Süsteravim Melphalan 0.1 mg/ml
naatriumkloriid 0.9% 169
Ühilduv
Süsteravim Clindamycin phosphate 150 mg/ml
Süsteravim Meropenem 50 mg/ml
süstevesi 4319
Täpsustamata sobimatus Sobimatu
Süsteravim Clindamycin phosphate
Süsteravim Methohexital sodium
3526
Ühilduv
Süsteravim Clindamycin phosphate 10 mg/ml
Süsteravim Metronidazole 5 mg/ml
mitte ükski 1035
Ühilduv
Süsteravim Clindamycin phosphate
Süsteravim Metronidazole
3594
Ühilduv
Süsteravim Clindamycin phosphate 9 mg/ml
Süsteravim Midazolam hydrochloride 1 mg/ml
glükoos 5% 176
Ühilduv
Süsteravim Clindamycin phosphate 12 mg/ml
Süsteravim Morphine sulfate 1 mg/ml
glükoos 5% 405
Ühilduv
Süsteravim Clindamycin phosphate 150 mg/ml
Süsteravim N-acetylcysteine 200 mg/ml
mitte ükski 3766
Ühilduv
Süsteravim Clindamycin phosphate 150 mg/ml
Süsteravim Naloxone hydrochloride 0.4 mg/ml
mitte ükski 3408
Ühilduv
Süsteravim Clindamycin phosphate
Süsteravim Netilmicin sulfate
naatriumkloriid 0.9% 3526
Ühilduv
Süsteravim Clindamycin phosphate 9 mg/ml
Süsteravim Netilmicin sulfate 3 mg/ml
glükoos 5% 421
Ühilduv
Süsteravim Clindamycin phosphate 9 mg/ml
Süsteravim Netilmicin sulfate 3 mg/ml
naatriumkloriid 0.9% 421
Ühilduv
Süsteravim Clindamycin phosphate
Süsteravim Netilmicin sulfate
glükoos 5% 3526
Ühilduv
Süsteravim Clindamycin phosphate 9 mg/ml
Süsteravim Nicardipine hydrochloride 0.1 mg/ml
naatriumkloriid 0.9% 1490
Ühilduv
Süsteravim Clindamycin phosphate 9 mg/ml
Süsteravim Nicardipine hydrochloride 0.1 mg/ml
glükoos 5% 1490
Ühilduv
Süsteravim Clindamycin phosphate 6 mg/ml
Süsteravim Ofloxacin 2 mg/ml
mitte ükski 889
Ühilduv
Süsteravim Clindamycin phosphate 10 mg/ml
Süsteravim Ondansetron hydrochloride 1 mg/ml
naatriumkloriid 0.9% 334
Sade 1 tunni pärast Sobimatu
Süsteravim Clindamycin phosphate 12 mg/ml
Süsteravim Oritavancin 0.8 >>2 mg/ml
glükoos 5% 3152
Sade 1 tunni pärast Sobimatu
Süsteravim Clindamycin phosphate
Süsteravim Pantoprazole sodium
2090
Ühilduv
Süsteravim Clindamycin phosphate 150 mg/ml
Süsteravim Paracetamol 10 mg/ml
4742
Ühilduv
Süsteravim Clindamycin phosphate 10 mg/ml
Süsteravim Paracetamol 10 mg/ml
mitte ükski 3571
Ühilduv
Süsteravim Clindamycin phosphate 10 mg/ml
Süsteravim Pemetrexed disodium 20 mg/ml
naatriumkloriid 0.9% 1953
Täpsustamata sobimatus Sobimatu
Süsteravim Clindamycin phosphate
Süsteravim Pentobarbital sodium
3526
Ühilduv
Süsteravim Clindamycin phosphate 12 mg/ml
Süsteravim Pethidine hydrochloride 10 mg/ml
glükoos 5% 405
Täpsustamata sobimatus Sobimatu
Süsteravim Clindamycin phosphate
Süsteravim Phenobarbital sodium
3526
Täpsustamata sobimatus Sobimatu
Süsteravim Clindamycin phosphate
Süsteravim Phenytoin sodium
3526
Ühilduv
Süsteravim Clindamycin phosphate 18 mg/ml
Süsteravim Phloroglucinol 2,5 mg/ml
3791
Ühilduv
Süsteravim Clindamycin phosphate
Süsteravim Piperacillin sodium
glükoos 5% 3526
Ühilduv
Süsteravim Clindamycin phosphate
Süsteravim Piperacillin sodium
naatriumkloriid 0.9% 3526
Ühilduv
Süsteravim Clindamycin phosphate 9 mg/ml
Süsteravim Piperacillin sodium 40 mg/ml
glükoos 5% 432
Ühilduv
Süsteravim Clindamycin phosphate 9 mg/ml
Süsteravim Piperacillin sodium 40 mg/ml
naatriumkloriid 0.9% 432
Ühilduv
Süsteravim Clindamycin phosphate 10 mg/ml
Süsteravim Piperacillin sodium / tazobactam 40/5 mg/ml
glükoos 5% 81
Kohene hägusus Sobimatu
Süsteravim Clindamycin phosphate 150 mg/ml
Süsteravim Salbutamol sulfate 1 mg/ml
mitte ükski 3216
Täpsustamata sobimatus Sobimatu
Süsteravim Clindamycin phosphate
Süsteravim Sodium bicarbonate
3526
Kohene sade Sobimatu
Süsteravim Clindamycin phosphate 12 mg/ml
Süsteravim Temocilline 83.33 mg/ml
süstevesi 2231
Ühilduv
Süsteravim Clindamycin phosphate 10 mg/ml
Süsteravim Teniposide 0.1 mg/ml
glükoos 5% 905
Täpsustamata sobimatus Sobimatu
Süsteravim Clindamycin phosphate
Süsteravim Thiopental sodium
3526
Ühilduv
Süsteravim Clindamycin phosphate
naatriumkloriid 0.9% 3526
Ühilduv
Süsteravim Clindamycin phosphate 10 mg/ml
Süsteravim Propofol 10 mg/ml
mitte ükski 300
Täpsustamata sobimatus Sobimatu
Süsteravim Clindamycin phosphate
Süsteravim Ranitidine hydrochloride
3526
Ühilduv
Süsteravim Clindamycin phosphate 10 mg/ml
Süsteravim Remifentanil hydrochloride 25 & 250 µg/ml
naatriumkloriid 0.9% 59
Ühilduv
Süsteravim Clindamycin phosphate 10 mg/ml
Süsteravim Sargramostim 10 µg/ml
naatriumkloriid 0.9% 335
Ühilduv
Süsteravim Clindamycin phosphate 12 mg/ml
Süsteravim Tacrolimus 1000 µg/ml
naatriumkloriid 0.9% 479
Ühilduv
Süsteravim Clindamycin phosphate 12 mg/ml
Süsteravim Theophylline 4 mg/ml
mitte ükski 317
Kohene sade Sobimatu
Süsteravim Clindamycin phosphate 150 mg/ml
Süsteravim Thiopental sodium 25 mg/ml
naatriumkloriid 0.9% 3767
Ühilduv
Süsteravim Clindamycin phosphate 10 mg/ml
Süsteravim Thiotepa 1 mg/ml
glükoos 5% 249
Ühilduv
Süsteravim Clindamycin phosphate
Süsteravim Tobramycin sulfate
naatriumkloriid 0.9% 3526
Kohene sade Sobimatu
Süsteravim Clindamycin phosphate 90 mg/ml
Süsteravim Tobramycin sulfate 12 mg/ml
naatriumkloriid 0.9% 639
Ühilduv
Süsteravim Clindamycin phosphate
Süsteravim Tobramycin sulfate
glükoos 5% 3526
Sade 2 tunni pärast Sobimatu
Süsteravim Clindamycin phosphate 6 mg/ml
Süsteravim Tramadol hydrochloride 0,4 mg/ml
naatriumkloriid 0.9% 2002
Ühilduv
Süsteravim Clindamycin phosphate 1.2 mg/ml
Süsteravim Verapamil hydrochloride 0.08 mg/ml
naatriumkloriid 0.9% 1057
Ühilduv
Süsteravim Clindamycin phosphate 1.2 mg/ml
Süsteravim Verapamil hydrochloride 0.08 mg/ml
glükoos 5% 1057
Ühilduv
Süsteravim Clindamycin phosphate 10 mg/ml
Süsteravim Vinorelbine tartrate 1 mg/ml
naatriumkloriid 0.9% 84
Ühilduv
Süsteravim Clindamycin phosphate 12 mg/ml
Süsteravim Zidovudine 4 mg/ml
glükoos 5% 337

  Mentions Légales