Last update :
18/03/2026
Antibiotic   Clindamycin phosphate  
injection
Stability in solutions Stability of mixtures Factors which affect stability Compatibility Route of administration References pdf
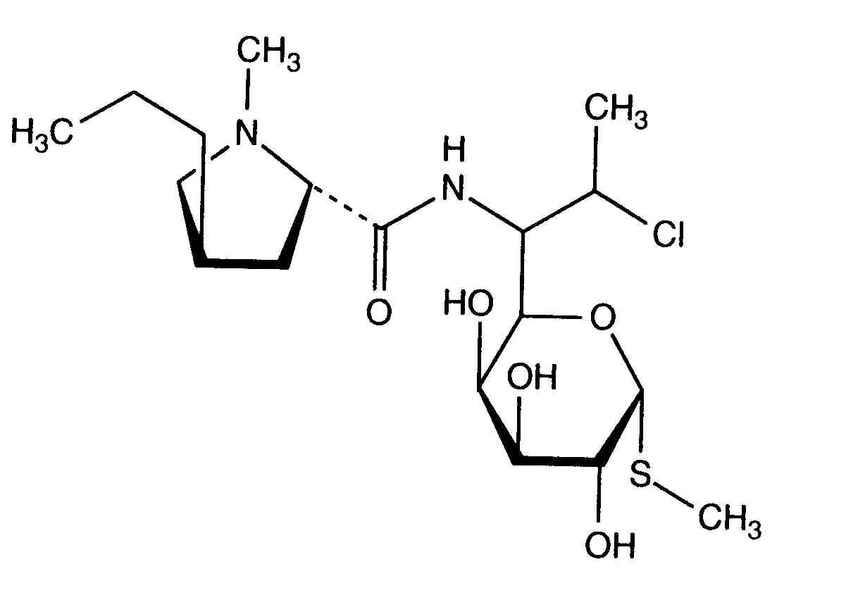
   Chemical structure  

Tradename   Tradename     

Trade names are indicative and excipients composition can be different depending on the country and manufacturers

Biodaclin Mexico
Camyda India
Cinbiot Mexico
Cleocin Austria, Turkey, United States of America
Clinamsa Mexico
Clinbac Colombia, Peru
Clincina Portugal
Clinda-Saar Germany
Clindacid Venezuela
Clindacin Malaysia
Clindalaf Argentina
Clindamicina Argentina, Brazil, Chile, Colombia, Ecuador, Italy, Mexico, Peru, Portugal, Spain, Venezuela
Clindamycin Austria, Canada, Germany, Iran, Norway, Romania, Saudi Arabia, Sweden, United States of America
Clindamycin-Hameln Germany
Clindamycine Belgium, France, Netherlands, Tunisia
Clindanovag Argentina
Clindarix Brazil
Clindasol Germany
Clindaval Venezuela
Clindazyn Mexico
Clindo Poland
Clysvic Mexico
Daclin Chile
Dalacin Australia, Belgium, Canada, Chile, Colombia, Denmark, Ecuador, Egypt, Finland, Great Britain, Greece, Hungary, Iceland, India, Iran, Ireland, Italy, Luxembourg, Malaysia, Mexico, Netherlands, New Zealand, Norway, Poland, Saudi Arabia, Sweden, Switzerland, Tunisia, United Arab Emirates, Venezuela
Dalacine France, Tunisia
Daladic Iran
Dalcinex India
Damclid India
Damicin Colombia, Mexico
Damicine Colombia
Dolarclin Colombia
Euroclin Colombia, Ecuador
Gynasafe India
Indamid Mexico
Klimicin Poland
Klindan Turkey
Klindaver Turkey
Lanacine Austria
Lincocin Malaysia
Lincosa Malaysia
Meneklin Turkey
Sobelin Germany
Tidact Malaysia
Compatibility   injection   Compatibility : Clindamycin phosphate              
This screen indicates the compatibilities or incompatibilities with, in this case, the type of incompatibility (precipitation, color change, modification of an emulsion, etc.). The compatibilities shown here are mostly physical only, with the chemical stability of each molecule rarely being assessed. The evaluation of these mixtures was studied to consider the possibility of Y-site administration to the patient. These data cannot be used for making mixtures in advance in bags or syringes. This type of information is available in the screen "Stability in mixture ».
Compound Solvent References
Compatible
injection Clindamycin phosphate 12 mg/ml
injection Aciclovir sodium 5 mg/ml
Glucose 5% 336
Immediate precipitation Incompatible
injection Clindamycin phosphate 10 mg/ml
injection Allopurinol sodium 3 mg/ml
Sodium chloride 0,9% 307
Compatible
injection Clindamycin phosphate 10 mg/ml
injection Amifostine 10 mg/ml
Glucose 5% 3
Compatible
injection Clindamycin phosphate
injection Amikacin sulfate
Sodium chloride 0,9% 3526
Compatible
injection Clindamycin phosphate 9 mg/ml
injection Amikacin sulfate 4 mg/ml
Sodium chloride 0,9% 565
Compatible
injection Clindamycin phosphate 9 mg/ml
injection Amikacin sulfate 4 mg/ml
Glucose 5% 565
Compatible
injection Clindamycin phosphate
injection Amikacin sulfate
Glucose 5% 3526
Compatible
injection Clindamycin phosphate 90 mg/ml
injection Amikacin sulfate 75 mg/ml
Sodium chloride 0,9% 639
Unspecified incompatibility Incompatible
injection Clindamycin phosphate
injection Aminophylline
3526
Compatible
injection Clindamycin phosphate 6 mg/ml
injection Amiodarone hydrochloride 4 mg/ml
Sodium chloride 0,9% 385
Compatible
injection Clindamycin phosphate 6 mg/ml
injection Amiodarone hydrochloride 4 mg/ml
Glucose 5% 385
Turbidity in one hour Incompatible
injection Clindamycin phosphate 150 mg/ml
injection Amoxicillin sodium / clavulanic acid 100/10 mg/ml
3824
Compatible
injection Clindamycin phosphate 10 mg/ml
injection Amphotericin B cholesteryl sulfate complex 0.83 mg/ml
Glucose 5% 921
Unspecified incompatibility Incompatible
injection Clindamycin phosphate
injection Ampicillin sodium
3526
Compatible
injection Clindamycin phosphate
Glucose 5% 3526
Unspecified incompatibility Incompatible
injection Clindamycin phosphate
injection Amobarbital sodium
3526
Compatible
injection Clindamycin phosphate 10 mg/ml
injection Amsacrine 1 mg/ml
Glucose 5% 253
Compatible
injection Clindamycin phosphate 10 mg/ml
injection Anidulafungin 0.5 mg/ml
Glucose 5% 1982
Modification of pH > 1 pH unit Incompatible
injection Clindamycin phosphate 9 mg/ml
injection Atosiban 0,75 mg/ml
4642
Compatible
injection Clindamycin phosphate 6 mg/ml
injection Aztreonam 10 mg/ml
Glucose 5% 419
Compatible
injection Clindamycin phosphate 9 mg/ml
injection Aztreonam 20 mg/ml
Glucose 5% 432
Compatible
injection Clindamycin phosphate 60 mg/ml
injection Aztreonam 200 mg/ml
Sodium chloride 0,9% 644
Compatible
injection Clindamycin phosphate
injection Aztreonam
Sodium chloride 0,9% 3526
Compatible
injection Clindamycin phosphate 3 mg/ml
injection Aztreonam 10 mg/ml
Glucose 5% 419
Compatible
injection Clindamycin phosphate
injection Aztreonam
Glucose 5% 3526
Compatible
injection Clindamycin phosphate 24 mg/ml
Parenteral nutrition (binary mixture) 3379
Immediate precipitation Incompatible
injection Clindamycin phosphate 30 mg/ml
injection Azithromycine 2 mg/ml
Sodium chloride 0,9% 1800
Compatible
injection Clindamycin phosphate 3 mg/ml
Parenteral nutrition (binary mixture) 1055
Compatible
injection Clindamycin phosphate 6 mg/ml
injection Aztreonam 20 mg/ml
Sodium chloride 0,9% 419
Compatible
injection Clindamycin phosphate 3 mg/ml
injection Aztreonam 20 mg/ml
Sodium chloride 0,9% 419
Compatible
injection Clindamycin phosphate 3 mg/ml
injection Aztreonam 20 mg/ml
Glucose 5% 419
Compatible
injection Clindamycin phosphate 6 mg/ml
injection Aztreonam 20 mg/ml
Glucose 5% 419
Compatible
injection Clindamycin phosphate 10 mg/ml
injection Aztreonam 40 mg/ml
Glucose 5% 99
Compatible
injection Clindamycin phosphate 3 mg/ml
injection Aztreonam 10 mg/ml
Sodium chloride 0,9% 419
Compatible
injection Clindamycin phosphate 6 mg/ml
injection Aztreonam 10 mg/ml
Sodium chloride 0,9% 419
Compatible
injection Clindamycin phosphate 9 mg/ml
injection Aztreonam 20 mg/ml
Sodium chloride 0,9% 432
Compatible
injection Clindamycin phosphate 10 mg/ml
injection Bivalirudin 5 mg/ml
Glucose 5% 1713
Compatible
injection Clindamycin phosphate 150 mg/ml
injection Caffeine 10 mg/ml
None 3964
Unspecified incompatibility Incompatible
injection Clindamycin phosphate
injection Calcium gluconate
3644
Unspecified incompatibility Incompatible
injection Clindamycin phosphate
injection Calcium gluconate
3526
Incompatible
injection Clindamycin phosphate
injection Calcium gluconate
4964
Immediate precipitation Incompatible
injection Clindamycin phosphate 10 mg/ml
injection Caspofungin acetate 0,7 mg/ml
Sodium chloride 0,9% 2247
Immediate precipitation Incompatible
injection Clindamycin phosphate 60 mg/ml
injection Caspofungin acetate 0.5 mg/ml
Sodium chloride 0,9% 2233
Compatible
injection Clindamycin phosphate 9 mg/ml
injection Cefamandole nafate 10 mg/ml
Glucose 5% 418
Compatible
injection Clindamycin phosphate
injection Cefamandole nafate
Sodium chloride 0,9% 3526
Compatible
injection Clindamycin phosphate 9 mg/ml
injection Cefamandole nafate 10 mg/ml
Sodium chloride 0,9% 418
Compatible
injection Clindamycin phosphate
injection Cefamandole nafate
Glucose 5% 3526
Compatible
injection Clindamycin phosphate 9 mg/ml
injection Cefazolin sodium 10 mg/ml
Sodium chloride 0,9% 418
Compatible
injection Clindamycin phosphate
injection Cefazolin sodium
Sodium chloride 0,9% 3526
Compatible
injection Clindamycin phosphate 9 mg/ml
injection Cefazolin sodium 10 mg/ml
Glucose 5% 418
Compatible
injection Clindamycin phosphate 0,25 & 6 mg/ml
injection Cefepime dihydrochloride 4 & 40 mg/ml
Glucose 5% 3548
Compatible
injection Clindamycin phosphate 10 mg/ml
injection Cefiderocol sulfate tosylate 20 mg/mL
Glucose 5% 4528
Compatible
injection Clindamycin phosphate 12 mg/ml
injection Cefoperazone sodium 20 mg/ml
Glucose 5% 644
Unspecified incompatibility Incompatible
injection Clindamycin phosphate
NaHCO3 3526
Compatible
injection Clindamycin phosphate 12 mg/ml
injection Cefonicid sodium 10 mg/ml
Sodium chloride 0,9% 644
Compatible
injection Clindamycin phosphate 10 mg/ml
Parenteral nutrition (binary mixture) 301
Compatible
injection Clindamycin phosphate
injection Cefazolin sodium
Glucose 5% 3526
Compatible
injection Clindamycin phosphate 0,25 & 6 mg/ml
injection Cefepime dihydrochloride 4 & 40 mg/ml
Sodium chloride 0,9% 3548
Compatible
injection Clindamycin phosphate 10 mg/ml
injection Cefiderocol sulfate tosylate 20 mg/mL
Sodium chloride 0,9% 4528
Compatible
injection Clindamycin phosphate 12 mg/ml
injection Cefonicid sodium 10 mg/ml
Glucose 5% 644
Compatible
injection Clindamycin phosphate 12 mg/ml
injection Cefoperazone sodium 20 mg/ml
Sodium chloride 0,9% 644
Compatible
injection Clindamycin phosphate 150 mg/ml
Parenteral nutrition (binary mixture) 999
Compatible
injection Clindamycin phosphate
injection Cefotaxime sodium
Glucose 5% 3526
Compatible
injection Clindamycin phosphate 9 mg/ml
injection Cefotaxime sodium 20 mg/ml
Glucose 5% 421
Compatible
injection Clindamycin phosphate 9 mg/ml
injection Cefotaxime sodium 20 mg/ml
Sodium chloride 0,9% 421
Compatible
injection Clindamycin phosphate
injection Cefotaxime sodium
Sodium chloride 0,9% 3526
Compatible
injection Clindamycin phosphate
injection Cefoxitin sodium
Sodium chloride 0,9% 3526
Compatible
injection Clindamycin phosphate 9 mg/ml
injection Cefoxitin sodium 20 mg/ml
Glucose 5% 418
Compatible
injection Clindamycin phosphate 9 mg/ml
injection Cefoxitin sodium 20 mg/ml
Sodium chloride 0,9% 418
Compatible
injection Clindamycin phosphate
injection Cefoxitin sodium
Glucose 5% 3526
Compatible
injection Clindamycin phosphate 12 mg/ml
injection Cefpirome sulfate 50 mg/ml
Sodium chloride 0,9% 280
Compatible
injection Clindamycin phosphate 12 mg/ml
injection Cefpirome sulfate 50 mg/ml
Sodium chloride 0,45% 280
Compatible
injection Clindamycin phosphate 12 mg/ml
injection Cefpirome sulfate 50 mg/ml
Glucose 5% 280
Compatible
injection Clindamycin phosphate 12 mg/ml
injection Cefpirome sulfate 50 mg/ml
Ringer’s lactate solution 280
Compatible
injection Clindamycin phosphate 10 mg/ml
injection Ceftaroline fosamil 2,22 mg/ml
Ringer’s lactate solution 3249
Compatible
injection Clindamycin phosphate
injection Ceftazidime
Glucose 5% 3526
Compatible
injection Clindamycin phosphate 9 mg/ml
injection Ceftizoxime sodium 20 mg/ml
Sodium chloride 0,9% 418
Compatible
injection Clindamycin phosphate
injection Ceftizoxime sodium
Glucose 5% 3526
Compatible
injection Clindamycin phosphate 10 mg/ml
injection Ceftobiprole medocaril sodium 2 mg/ml
Sodium chloride 0,9% 2269
Compatible
injection Clindamycin phosphate 10 mg/ml
injection Ceftobiprole medocaril sodium 2 mg/ml
Glucose 5% 2269
Compatible
injection Clindamycin phosphate 10 mg/ml
injection Ceftobiprole medocaril sodium 2 mg/ml
Ringer’s lactate solution 2269
Compatible
injection Clindamycin phosphate 5,77 mg/ml
Parenteral nutrition (with lipids) 4440
Compatible
injection Clindamycin phosphate 1.2 mg/ml
injection Cimetidine hydrochloride 1.2 & 5 mg/ml
Glucose 5% 1201
Compatible
injection Clindamycin phosphate 1.2 mg/ml
injection Cimetidine hydrochloride 1.2 & 5 mg/ml
Sodium chloride 0,9% 1201
Immediate precipitation Incompatible
injection Clindamycin phosphate 7 mg/ml
injection Ciprofloxacin lactate 1.5 mg/ml
Glucose 5% 434
Compatible
injection Clindamycin phosphate 10 mg/ml
injection Cisatracurium besylate 0.1 >> 5 mg/ml
Glucose 5% 299
Compatible
injection Clindamycin phosphate 150 mg/ml
injection Cloxacillin sodium 100 mg/ml
Water for Injection 3012
Compatible
injection Clindamycin phosphate 10 mg/ml
injection Docetaxel 0.9 mg/ml
Glucose 5% 1754
Production of gas bubbles Incompatible
injection Clindamycin phosphate 10 mg/ml
injection Doxapram hydrochloride 2 mg/ml
Glucose 5% 1802
Compatible
injection Clindamycin phosphate 10 mg/ml
injection Doxorubicin hydrochloride liposome peg 0.4 mg/ml
Glucose 5% 251
Compatible
injection Clindamycin phosphate 9 mg/ml
injection Esmolol hydrochloride 10 mg/ml
Glucose 5% 384
Compatible
injection Clindamycin phosphate 9 mg/ml
injection Fentanyl citrate 50 µg/ml
Glucose 5% 63
Compatible
injection Clindamycin phosphate 10 mg/ml
Parenteral nutrition (with lipids) 3967
Compatible
injection Clindamycin phosphate 10 mg/ml
injection Ceftaroline fosamil 2,22 mg/ml
Glucose 5% 3249
Compatible
injection Clindamycin phosphate 10 mg/ml
injection Ceftaroline fosamil 2,22 mg/ml
Sodium chloride 0,9% 3249
Compatible
injection Clindamycin phosphate 9 mg/ml
injection Ceftazidime 20 mg/ml
Glucose 5% 432
Compatible
injection Clindamycin phosphate
injection Ceftazidime
Sodium chloride 0,9% 3526
Compatible
injection Clindamycin phosphate 9 mg/ml
injection Ceftazidime 20 mg/ml
Sodium chloride 0,9% 432
Compatible
injection Clindamycin phosphate 10 mg/ml
Parenteral nutrition (with lipids) 1415
Compatible
injection Clindamycin phosphate 9 mg/ml
injection Ceftizoxime sodium 20 mg/ml
Glucose 5% 418
Compatible
injection Clindamycin phosphate
injection Ceftizoxime sodium
Sodium chloride 0,9% 3526
Chemical instability Incompatible
injection Clindamycin phosphate 12 mg/ml
injection Ceftriaxone disodium 20 mg/ml
Glucose 5% 432
Unspecified incompatibility Incompatible
injection Clindamycin phosphate
injection Ceftriaxone disodium
3526
Chemical instability Incompatible
injection Clindamycin phosphate 12 mg/ml
injection Ceftriaxone disodium 20 mg/ml
Sodium chloride 0,9% 432
Compatible
injection Clindamycin phosphate 9 mg/ml
injection Cefuroxime sodium 15 mg/ml
Sodium chloride 0,9% 644
Compatible
injection Clindamycin phosphate 9 mg/ml
injection Cefuroxime sodium 15 mg/ml
Glucose 5% 644
Immediate precipitation Incompatible
injection Clindamycin phosphate 7 mg/ml
injection Ciprofloxacin lactate 1.5 mg/ml
Sodium chloride 0,9% 434
Unspecified incompatibility Incompatible
injection Clindamycin phosphate
injection Ciprofloxacin lactate
3526
Compatible
injection Clindamycin phosphate 10 mg/ml
injection Dexmedetomidine 4 µg/ml
Sodium chloride 0,9% 1712
Compatible
injection Clindamycin phosphate 12 & 150 mg/ml
injection Diltiazem hydrochloride 5 mg/ml
Sodium chloride 0,9% 198
Compatible
injection Clindamycin phosphate
injection Dimenhydrinate
2087
Compatible
injection Clindamycin phosphate 9 mg/ml
injection Enalaprilate 0.05 mg/ml
Sodium chloride 0,9% 1315
Compatible
injection Clindamycin phosphate 10 mg/ml
injection Etoposide phosphate 5 mg/ml
Glucose 5% 1410
Compatible
injection Clindamycin phosphate 10 mg/ml
injection Fenoldopam mesylate 80 µg/ml
Sodium chloride 0,9% 1803
Immediate precipitation Incompatible
injection Clindamycin phosphate 10 mg/ml
injection Filgrastim 30 µg/ml
Glucose 5% 244
Compatible
injection Clindamycin phosphate 12 mg/ml
injection Fluconazole 2 mg/ml
None 256
Immediate precipitation Incompatible
injection Clindamycin phosphate 24 mg/ml
injection Fluconazole 2 mg/ml
Sodium chloride 0,9% 496
Compatible
injection Clindamycin phosphate 10 mg/ml
injection Fludarabine phosphate 1 mg/ml
Glucose 5% 492
Compatible
injection Clindamycin phosphate 12 mg/ml
injection Foscarnet sodium 24 mg/ml
Glucose 5% 1135
Compatible
injection Clindamycin phosphate 24 mg/ml
injection Foscarnet sodium 24 mg/ml
None 73
Compatible
injection Clindamycin phosphate 12 mg/ml
injection Foscarnet sodium 24 mg/ml
Sodium chloride 0,9% 1135
Compatible
injection Clindamycin phosphate 10 mg/ml
injection Gemcitabine hydrochloride 10 mg/ml
Sodium chloride 0,9% 1423
Compatible
injection Clindamycin phosphate
injection Gentamicin sulfate
Glucose 5% 3526
Compatible
injection Clindamycin phosphate 90 mg/ml
injection Gentamicin sulfate 12 mg/ml
Sodium chloride 0,9% 639
Compatible
injection Clindamycin phosphate 6 mg/ml
injection Gentamicin sulfate 0.67 mg/ml
Glucose 5% 423
Compatible
injection Clindamycin phosphate
injection Gentamicin sulfate
Sodium chloride 0,9% 3526
Compatible
injection Clindamycin phosphate 10 mg/ml
injection Granisetron hydrochloride 0.05 mg/ml
Glucose 5% 182
Compatible
injection Clindamycin phosphate 12 mg/ml
injection Heparin sodium 50 UI/ml
None 317
Compatible
injection Clindamycin phosphate 10 mg/ml
injection Hetastarch 60 mg/ml
specific solvent 1721
Compatible
injection Clindamycin phosphate 12 mg/ml
injection Hydromorphone hydrochloride 0.2 mg/ml
Glucose 5% 405
Unspecified incompatibility Incompatible
injection Clindamycin phosphate
injection Idarubicin hydrochloride
3526
Immediate precipitation Incompatible
injection Clindamycin phosphate 12 mg/ml
injection Idarubicin hydrochloride 1 mg/ml
Sodium chloride 0,9% 491
Compatible
injection Clindamycin phosphate 150 mg/ml
injection Ketamine hydrochloride 50 mg/ml
2109
Compatible
injection Clindamycin phosphate 9 mg/ml
injection Labetalol hydrochloride 1 mg/ml
Glucose 5% 386
Immediate precipitation Incompatible
injection Clindamycin phosphate 10 mg/ml
injection Lansoprazole 0.55 mg/ml
Sodium chloride 0,9% 1625
Compatible
injection Clindamycin phosphate 150 mg/ml
injection Levofloxacine 5 mg/ml
Glucose 5% 1072
Compatible
injection Clindamycin phosphate 10 mg/ml
injection Linezolid 2 mg/ml
None 1925
Unspecified incompatibility Incompatible
injection Clindamycin phosphate
injection Magnesium chloride
5012
Unspecified incompatibility Incompatible
injection Clindamycin phosphate
injection Magnesium sulfate
3838
Compatible
injection Clindamycin phosphate 12 mg/ml
injection Magnesium sulfate 16.67 >> 100 mg/ml
Glucose 5% 1047
Unspecified incompatibility Incompatible
injection Clindamycin phosphate
injection Magnesium sulfate
3526
Compatible
injection Clindamycin phosphate 10 mg/ml
injection Melphalan 0.1 mg/ml
Sodium chloride 0,9% 169
Compatible
injection Clindamycin phosphate 150 mg/ml
injection Meropenem 50 mg/ml
Water for Injection 4319
Unspecified incompatibility Incompatible
injection Clindamycin phosphate
injection Methohexital sodium
3526
Compatible
injection Clindamycin phosphate 10 mg/ml
injection Metronidazole 5 mg/ml
None 1035
Compatible
injection Clindamycin phosphate
injection Metronidazole
3594
Compatible
injection Clindamycin phosphate 9 mg/ml
injection Midazolam hydrochloride 1 mg/ml
Glucose 5% 176
Compatible
injection Clindamycin phosphate 12 mg/ml
injection Morphine sulfate 1 mg/ml
Glucose 5% 405
Compatible
injection Clindamycin phosphate 150 mg/ml
injection N-acetylcysteine 200 mg/ml
None 3766
Compatible
injection Clindamycin phosphate 150 mg/ml
injection Naloxone hydrochloride 0.4 mg/ml
None 3408
Compatible
injection Clindamycin phosphate
injection Netilmicin sulfate
Sodium chloride 0,9% 3526
Compatible
injection Clindamycin phosphate 9 mg/ml
injection Netilmicin sulfate 3 mg/ml
Glucose 5% 421
Compatible
injection Clindamycin phosphate 9 mg/ml
injection Netilmicin sulfate 3 mg/ml
Sodium chloride 0,9% 421
Compatible
injection Clindamycin phosphate
injection Netilmicin sulfate
Glucose 5% 3526
Compatible
injection Clindamycin phosphate 9 mg/ml
injection Nicardipine hydrochloride 0.1 mg/ml
Sodium chloride 0,9% 1490
Compatible
injection Clindamycin phosphate 9 mg/ml
injection Nicardipine hydrochloride 0.1 mg/ml
Glucose 5% 1490
Compatible
injection Clindamycin phosphate 6 mg/ml
injection Ofloxacin 2 mg/ml
None 889
Compatible
injection Clindamycin phosphate 10 mg/ml
injection Ondansetron hydrochloride 1 mg/ml
Sodium chloride 0,9% 334
Precipitation after 1 hour Incompatible
injection Clindamycin phosphate 12 mg/ml
injection Oritavancin 0.8 >>2 mg/ml
Glucose 5% 3152
Precipitation after 1 hour Incompatible
injection Clindamycin phosphate
injection Pantoprazole sodium
2090
Compatible
injection Clindamycin phosphate 150 mg/ml
injection Paracetamol 10 mg/ml
4742
Compatible
injection Clindamycin phosphate 10 mg/ml
injection Paracetamol 10 mg/ml
None 3571
Compatible
injection Clindamycin phosphate 10 mg/ml
injection Pemetrexed disodium 20 mg/ml
Sodium chloride 0,9% 1953
Unspecified incompatibility Incompatible
injection Clindamycin phosphate
injection Pentobarbital sodium
3526
Compatible
injection Clindamycin phosphate 12 mg/ml
injection Pethidine hydrochloride 10 mg/ml
Glucose 5% 405
Unspecified incompatibility Incompatible
injection Clindamycin phosphate
injection Phenobarbital sodium
3526
Unspecified incompatibility Incompatible
injection Clindamycin phosphate
injection Phenytoin sodium
3526
Compatible
injection Clindamycin phosphate 18 mg/ml
injection Phloroglucinol 2,5 mg/ml
3791
Compatible
injection Clindamycin phosphate
injection Piperacillin sodium
Glucose 5% 3526
Compatible
injection Clindamycin phosphate
injection Piperacillin sodium
Sodium chloride 0,9% 3526
Compatible
injection Clindamycin phosphate 9 mg/ml
injection Piperacillin sodium 40 mg/ml
Glucose 5% 432
Compatible
injection Clindamycin phosphate 9 mg/ml
injection Piperacillin sodium 40 mg/ml
Sodium chloride 0,9% 432
Compatible
injection Clindamycin phosphate 10 mg/ml
injection Piperacillin sodium / tazobactam 40/5 mg/ml
Glucose 5% 81
Immediate turbidity Incompatible
injection Clindamycin phosphate 150 mg/ml
injection Salbutamol sulfate 1 mg/ml
None 3216
Unspecified incompatibility Incompatible
injection Clindamycin phosphate
injection Sodium bicarbonate
3526
Immediate precipitation Incompatible
injection Clindamycin phosphate 12 mg/ml
injection Temocilline 83.33 mg/ml
Water for Injection 2231
Compatible
injection Clindamycin phosphate 10 mg/ml
injection Teniposide 0.1 mg/ml
Glucose 5% 905
Unspecified incompatibility Incompatible
injection Clindamycin phosphate
injection Thiopental sodium
3526
Compatible
injection Clindamycin phosphate
Sodium chloride 0,9% 3526
Compatible
injection Clindamycin phosphate 10 mg/ml
injection Propofol 10 mg/ml
None 300
Unspecified incompatibility Incompatible
injection Clindamycin phosphate
injection Ranitidine hydrochloride
3526
Compatible
injection Clindamycin phosphate 10 mg/ml
injection Remifentanil hydrochloride 25 & 250 µg/ml
Sodium chloride 0,9% 59
Compatible
injection Clindamycin phosphate 10 mg/ml
injection Sargramostim 10 µg/ml
Sodium chloride 0,9% 335
Compatible
injection Clindamycin phosphate 12 mg/ml
injection Tacrolimus 1000 µg/ml
Sodium chloride 0,9% 479
Compatible
injection Clindamycin phosphate 12 mg/ml
injection Theophylline 4 mg/ml
None 317
Immediate precipitation Incompatible
injection Clindamycin phosphate 150 mg/ml
injection Thiopental sodium 25 mg/ml
Sodium chloride 0,9% 3767
Compatible
injection Clindamycin phosphate 10 mg/ml
injection Thiotepa 1 mg/ml
Glucose 5% 249
Compatible
injection Clindamycin phosphate
injection Tobramycin sulfate
Sodium chloride 0,9% 3526
Immediate precipitation Incompatible
injection Clindamycin phosphate 90 mg/ml
injection Tobramycin sulfate 12 mg/ml
Sodium chloride 0,9% 639
Compatible
injection Clindamycin phosphate
injection Tobramycin sulfate
Glucose 5% 3526
Precipitation after 2 hours Incompatible
injection Clindamycin phosphate 6 mg/ml
injection Tramadol hydrochloride 0,4 mg/ml
Sodium chloride 0,9% 2002
Compatible
injection Clindamycin phosphate 1.2 mg/ml
injection Verapamil hydrochloride 0.08 mg/ml
Sodium chloride 0,9% 1057
Compatible
injection Clindamycin phosphate 1.2 mg/ml
injection Verapamil hydrochloride 0.08 mg/ml
Glucose 5% 1057
Compatible
injection Clindamycin phosphate 10 mg/ml
injection Vinorelbine tartrate 1 mg/ml
Sodium chloride 0,9% 84
Compatible
injection Clindamycin phosphate 12 mg/ml
injection Zidovudine 4 mg/ml
Glucose 5% 337

  Mentions Légales