Останнє оновлення :
17/12/2025
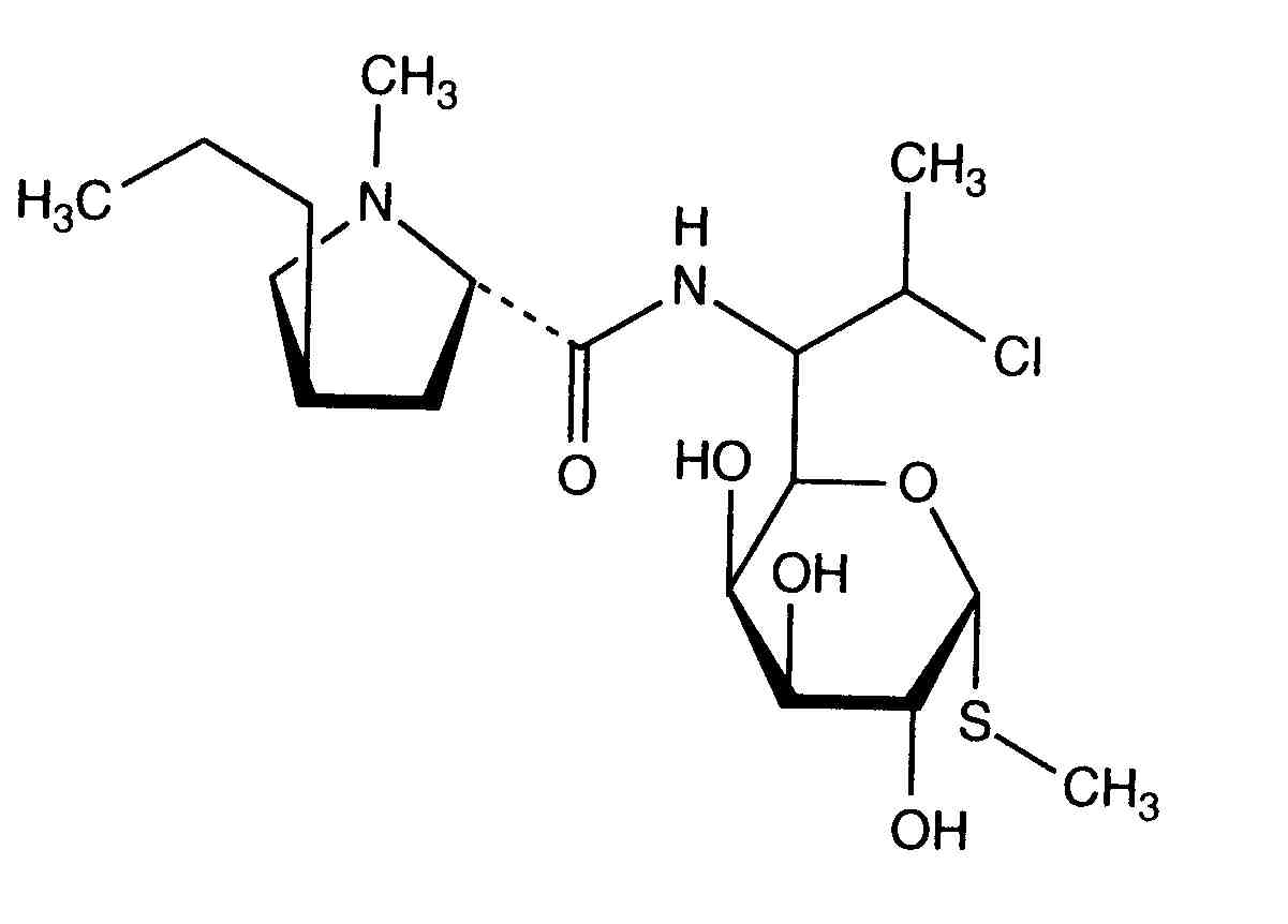
Антибіотик   Clindamycin phosphate  
ін'єкція
Стійкість в розчинах Стійкість сумішей Фактори, що впливають на стабільність Сумісність Шлях введення Список літератури pdf
   Хімічна структура  

Торгова назва   Торгова назва     

Торгові назви є орієнтовними, а склад допоміжних речовин може бути різним залежно від країни та виробника

Biodaclin Мексика
Camyda Індія
Cinbiot Мексика
Cleocin Австрія, Сполучені Штати Америки, Туреччина
Clinamsa Мексика
Clinbac Колумбія, Перу
Clincina Португалія
Clinda-Saar Німеччина
Clindacid Венесуела
Clindacin Малайзія
Clindalaf Аргентина
Clindamicina Іспанія, Італія, Аргентина, Бразилія, Венесуела, Еквадор, Колумбія, Мексика, Перу, Португалія, Чилі
Clindamycin Іран, Австрія, Канада, Німеччина, Норвегія, Румунія, Саудівська Аравія, Сполучені Штати Америки, Швеція
Clindamycin-Hameln Німеччина
Clindamycine Бельгія, Нідерланди, Туніс, Франція
Clindanovag Аргентина
Clindarix Бразилія
Clindasol Німеччина
Clindaval Венесуела
Clindazyn Мексика
Clindo Польща
Clysvic Мексика
Daclin Чилі
Dalacin Єгипет, Індія, Іран, Ірландія, Ісландія, Італія, Австралія, Бельгія, Великобританія, Венесуела, Греція, Данія, Еквадор, Канада, Колумбія, Люксембург, Малайзія, Мексика, Нідерланди, Нова Зеландія, Норвегія, Об'єднані Арабські Емірати, Польща, Саудівська Аравія, Туніс, Угорщина, Фінляндія, Чилі, Швейцарія, Швеція
Dalacine Туніс, Франція
Daladic Іран
Dalcinex Індія
Damclid Індія
Damicin Колумбія, Мексика
Damicine Колумбія
Dolarclin Колумбія
Euroclin Еквадор, Колумбія
Gynasafe Індія
Indamid Мексика
Klimicin Польща
Klindan Туреччина
Klindaver Туреччина
Lanacine Австрія
Lincocin Малайзія
Lincosa Малайзія
Meneklin Туреччина
Sobelin Німеччина
Tidact Малайзія
Сумісність   ін'єкція   Сумісність : Clindamycin phosphate              
explication_incompatibilite_molecules
З'єднання Розчинник Список літератури
сумісний
ін'єкція Clindamycin phosphate 12 mg/ml
ін'єкція Aciclovir sodium 5 mg/ml
Глюкоза 5% 336
Миттєві опади Несумісні
ін'єкція Clindamycin phosphate 10 mg/ml
ін'єкція Allopurinol sodium 3 mg/ml
Натрію хлорид 0,9% 307
сумісний
ін'єкція Clindamycin phosphate 10 mg/ml
ін'єкція Amifostine 10 mg/ml
Глюкоза 5% 3
сумісний
ін'єкція Clindamycin phosphate
ін'єкція Amikacin sulfate
Натрію хлорид 0,9% 3526
сумісний
ін'єкція Clindamycin phosphate 9 mg/ml
ін'єкція Amikacin sulfate 4 mg/ml
Натрію хлорид 0,9% 565
сумісний
ін'єкція Clindamycin phosphate 9 mg/ml
ін'єкція Amikacin sulfate 4 mg/ml
Глюкоза 5% 565
сумісний
ін'єкція Clindamycin phosphate
ін'єкція Amikacin sulfate
Глюкоза 5% 3526
сумісний
ін'єкція Clindamycin phosphate 90 mg/ml
ін'єкція Amikacin sulfate 75 mg/ml
Натрію хлорид 0,9% 639
Неуточнена несумісність Несумісні
ін'єкція Clindamycin phosphate
ін'єкція Aminophylline
3526
сумісний
ін'єкція Clindamycin phosphate 6 mg/ml
ін'єкція Amiodarone hydrochloride 4 mg/ml
Натрію хлорид 0,9% 385
сумісний
ін'єкція Clindamycin phosphate 6 mg/ml
ін'єкція Amiodarone hydrochloride 4 mg/ml
Глюкоза 5% 385
Помутніння через годину Несумісні
ін'єкція Clindamycin phosphate 150 mg/ml
ін'єкція Amoxicillin sodium / clavulanic acid 100/10 mg/ml
3824
сумісний
ін'єкція Clindamycin phosphate 10 mg/ml
ін'єкція Amphotericin B cholesteryl sulfate complex 0.83 mg/ml
Глюкоза 5% 921
Неуточнена несумісність Несумісні
ін'єкція Clindamycin phosphate
ін'єкція Ampicillin sodium
3526
сумісний
ін'єкція Clindamycin phosphate
Глюкоза 5% 3526
Неуточнена несумісність Несумісні
ін'єкція Clindamycin phosphate
ін'єкція Amobarbital sodium
3526
сумісний
ін'єкція Clindamycin phosphate 10 mg/ml
ін'єкція Amsacrine 1 mg/ml
Глюкоза 5% 253
сумісний
ін'єкція Clindamycin phosphate 10 mg/ml
ін'єкція Anidulafungin 0.5 mg/ml
Глюкоза 5% 1982
Модифікація pH > 1 одиниці pH Несумісні
ін'єкція Clindamycin phosphate 9 mg/ml
ін'єкція Atosiban 0,75 mg/ml
4642
сумісний
ін'єкція Clindamycin phosphate 6 mg/ml
ін'єкція Aztreonam 10 mg/ml
Глюкоза 5% 419
сумісний
ін'єкція Clindamycin phosphate 9 mg/ml
ін'єкція Aztreonam 20 mg/ml
Глюкоза 5% 432
сумісний
ін'єкція Clindamycin phosphate 60 mg/ml
ін'єкція Aztreonam 200 mg/ml
Натрію хлорид 0,9% 644
сумісний
ін'єкція Clindamycin phosphate
ін'єкція Aztreonam
Натрію хлорид 0,9% 3526
сумісний
ін'єкція Clindamycin phosphate 3 mg/ml
ін'єкція Aztreonam 10 mg/ml
Глюкоза 5% 419
сумісний
ін'єкція Clindamycin phosphate
ін'єкція Aztreonam
Глюкоза 5% 3526
сумісний
ін'єкція Clindamycin phosphate 24 mg/ml
Парентеральне харчування (бінарна суміш) 3379
Миттєві опади Несумісні
ін'єкція Clindamycin phosphate 30 mg/ml
ін'єкція Azithromycine 2 mg/ml
Натрію хлорид 0,9% 1800
сумісний
ін'єкція Clindamycin phosphate 3 mg/ml
Парентеральне харчування (бінарна суміш) 1055
сумісний
ін'єкція Clindamycin phosphate 6 mg/ml
ін'єкція Aztreonam 20 mg/ml
Натрію хлорид 0,9% 419
сумісний
ін'єкція Clindamycin phosphate 3 mg/ml
ін'єкція Aztreonam 20 mg/ml
Натрію хлорид 0,9% 419
сумісний
ін'єкція Clindamycin phosphate 3 mg/ml
ін'єкція Aztreonam 20 mg/ml
Глюкоза 5% 419
сумісний
ін'єкція Clindamycin phosphate 6 mg/ml
ін'єкція Aztreonam 20 mg/ml
Глюкоза 5% 419
сумісний
ін'єкція Clindamycin phosphate 10 mg/ml
ін'єкція Aztreonam 40 mg/ml
Глюкоза 5% 99
сумісний
ін'єкція Clindamycin phosphate 3 mg/ml
ін'єкція Aztreonam 10 mg/ml
Натрію хлорид 0,9% 419
сумісний
ін'єкція Clindamycin phosphate 6 mg/ml
ін'єкція Aztreonam 10 mg/ml
Натрію хлорид 0,9% 419
сумісний
ін'єкція Clindamycin phosphate 9 mg/ml
ін'єкція Aztreonam 20 mg/ml
Натрію хлорид 0,9% 432
сумісний
ін'єкція Clindamycin phosphate 10 mg/ml
ін'єкція Bivalirudin 5 mg/ml
Глюкоза 5% 1713
сумісний
ін'єкція Clindamycin phosphate 150 mg/ml
ін'єкція Caffeine 10 mg/ml
Жодного 3964
Неуточнена несумісність Несумісні
ін'єкція Clindamycin phosphate
ін'єкція Calcium gluconate
3644
Неуточнена несумісність Несумісні
ін'єкція Clindamycin phosphate
ін'єкція Calcium gluconate
3526
Несумісні
ін'єкція Clindamycin phosphate
ін'єкція Calcium gluconate
4964
Миттєві опади Несумісні
ін'єкція Clindamycin phosphate 10 mg/ml
ін'єкція Caspofungin acetate 0,7 mg/ml
Натрію хлорид 0,9% 2247
Миттєві опади Несумісні
ін'єкція Clindamycin phosphate 60 mg/ml
ін'єкція Caspofungin acetate 0.5 mg/ml
Натрію хлорид 0,9% 2233
сумісний
ін'єкція Clindamycin phosphate 9 mg/ml
ін'єкція Cefamandole nafate 10 mg/ml
Глюкоза 5% 418
сумісний
ін'єкція Clindamycin phosphate
ін'єкція Cefamandole nafate
Натрію хлорид 0,9% 3526
сумісний
ін'єкція Clindamycin phosphate 9 mg/ml
ін'єкція Cefamandole nafate 10 mg/ml
Натрію хлорид 0,9% 418
сумісний
ін'єкція Clindamycin phosphate
ін'єкція Cefamandole nafate
Глюкоза 5% 3526
сумісний
ін'єкція Clindamycin phosphate 9 mg/ml
ін'єкція Cefazolin sodium 10 mg/ml
Натрію хлорид 0,9% 418
сумісний
ін'єкція Clindamycin phosphate
ін'єкція Cefazolin sodium
Натрію хлорид 0,9% 3526
сумісний
ін'єкція Clindamycin phosphate 9 mg/ml
ін'єкція Cefazolin sodium 10 mg/ml
Глюкоза 5% 418
сумісний
ін'єкція Clindamycin phosphate 0,25 & 6 mg/ml
ін'єкція Cefepime dihydrochloride 4 & 40 mg/ml
Глюкоза 5% 3548
сумісний
ін'єкція Clindamycin phosphate 10 mg/ml
ін'єкція Cefiderocol sulfate tosylate 20 mg/mL
Глюкоза 5% 4528
сумісний
ін'єкція Clindamycin phosphate 12 mg/ml
ін'єкція Cefoperazone sodium 20 mg/ml
Глюкоза 5% 644
Неуточнена несумісність Несумісні
ін'єкція Clindamycin phosphate
NaHCO3 3526
сумісний
ін'єкція Clindamycin phosphate 12 mg/ml
ін'єкція Cefonicid sodium 10 mg/ml
Натрію хлорид 0,9% 644
сумісний
ін'єкція Clindamycin phosphate 10 mg/ml
Парентеральне харчування (бінарна суміш) 301
сумісний
ін'єкція Clindamycin phosphate
ін'єкція Cefazolin sodium
Глюкоза 5% 3526
сумісний
ін'єкція Clindamycin phosphate 0,25 & 6 mg/ml
ін'єкція Cefepime dihydrochloride 4 & 40 mg/ml
Натрію хлорид 0,9% 3548
сумісний
ін'єкція Clindamycin phosphate 10 mg/ml
ін'єкція Cefiderocol sulfate tosylate 20 mg/mL
Натрію хлорид 0,9% 4528
сумісний
ін'єкція Clindamycin phosphate 12 mg/ml
ін'єкція Cefonicid sodium 10 mg/ml
Глюкоза 5% 644
сумісний
ін'єкція Clindamycin phosphate 12 mg/ml
ін'єкція Cefoperazone sodium 20 mg/ml
Натрію хлорид 0,9% 644
сумісний
ін'єкція Clindamycin phosphate 150 mg/ml
Парентеральне харчування (бінарна суміш) 999
сумісний
ін'єкція Clindamycin phosphate
ін'єкція Cefotaxime sodium
Глюкоза 5% 3526
сумісний
ін'єкція Clindamycin phosphate 9 mg/ml
ін'єкція Cefotaxime sodium 20 mg/ml
Глюкоза 5% 421
сумісний
ін'єкція Clindamycin phosphate 9 mg/ml
ін'єкція Cefotaxime sodium 20 mg/ml
Натрію хлорид 0,9% 421
сумісний
ін'єкція Clindamycin phosphate
ін'єкція Cefotaxime sodium
Натрію хлорид 0,9% 3526
сумісний
ін'єкція Clindamycin phosphate
ін'єкція Cefoxitin sodium
Натрію хлорид 0,9% 3526
сумісний
ін'єкція Clindamycin phosphate 9 mg/ml
ін'єкція Cefoxitin sodium 20 mg/ml
Глюкоза 5% 418
сумісний
ін'єкція Clindamycin phosphate 9 mg/ml
ін'єкція Cefoxitin sodium 20 mg/ml
Натрію хлорид 0,9% 418
сумісний
ін'єкція Clindamycin phosphate
ін'єкція Cefoxitin sodium
Глюкоза 5% 3526
сумісний
ін'єкція Clindamycin phosphate 12 mg/ml
ін'єкція Cefpirome sulfate 50 mg/ml
Натрію хлорид 0,9% 280
сумісний
ін'єкція Clindamycin phosphate 12 mg/ml
ін'єкція Cefpirome sulfate 50 mg/ml
Натрію хлорид 0,45% 280
сумісний
ін'єкція Clindamycin phosphate 12 mg/ml
ін'єкція Cefpirome sulfate 50 mg/ml
Глюкоза 5% 280
сумісний
ін'єкція Clindamycin phosphate 12 mg/ml
ін'єкція Cefpirome sulfate 50 mg/ml
Розчин лактату Рінгера 280
сумісний
ін'єкція Clindamycin phosphate 10 mg/ml
ін'єкція Ceftaroline fosamil 2,22 mg/ml
Розчин лактату Рінгера 3249
сумісний
ін'єкція Clindamycin phosphate
ін'єкція Ceftazidime
Глюкоза 5% 3526
сумісний
ін'єкція Clindamycin phosphate 9 mg/ml
ін'єкція Ceftizoxime sodium 20 mg/ml
Натрію хлорид 0,9% 418
сумісний
ін'єкція Clindamycin phosphate
ін'єкція Ceftizoxime sodium
Глюкоза 5% 3526
сумісний
ін'єкція Clindamycin phosphate 10 mg/ml
ін'єкція Ceftobiprole medocaril sodium 2 mg/ml
Натрію хлорид 0,9% 2269
сумісний
ін'єкція Clindamycin phosphate 10 mg/ml
ін'єкція Ceftobiprole medocaril sodium 2 mg/ml
Глюкоза 5% 2269
сумісний
ін'єкція Clindamycin phosphate 10 mg/ml
ін'єкція Ceftobiprole medocaril sodium 2 mg/ml
Розчин лактату Рінгера 2269
сумісний
ін'єкція Clindamycin phosphate 5,77 mg/ml
Парентеральне харчування (ліпідами) 4440
сумісний
ін'єкція Clindamycin phosphate 1.2 mg/ml
ін'єкція Cimetidine hydrochloride 1.2 & 5 mg/ml
Глюкоза 5% 1201
сумісний
ін'єкція Clindamycin phosphate 1.2 mg/ml
ін'єкція Cimetidine hydrochloride 1.2 & 5 mg/ml
Натрію хлорид 0,9% 1201
Миттєві опади Несумісні
ін'єкція Clindamycin phosphate 7 mg/ml
ін'єкція Ciprofloxacin lactate 1.5 mg/ml
Глюкоза 5% 434
сумісний
ін'єкція Clindamycin phosphate 10 mg/ml
ін'єкція Cisatracurium besylate 0.1 >> 5 mg/ml
Глюкоза 5% 299
сумісний
ін'єкція Clindamycin phosphate 150 mg/ml
ін'єкція Cloxacillin sodium 100 mg/ml
Вода для ін'єкцій 3012
сумісний
ін'єкція Clindamycin phosphate 10 mg/ml
ін'єкція Docetaxel 0.9 mg/ml
Глюкоза 5% 1754
Виробництво бульбашок газу Несумісні
ін'єкція Clindamycin phosphate 10 mg/ml
ін'єкція Doxapram hydrochloride 2 mg/ml
Глюкоза 5% 1802
сумісний
ін'єкція Clindamycin phosphate 10 mg/ml
ін'єкція Doxorubicin hydrochloride liposome peg 0.4 mg/ml
Глюкоза 5% 251
сумісний
ін'єкція Clindamycin phosphate 9 mg/ml
ін'єкція Esmolol hydrochloride 10 mg/ml
Глюкоза 5% 384
сумісний
ін'єкція Clindamycin phosphate 9 mg/ml
ін'єкція Fentanyl citrate 50 µg/ml
Глюкоза 5% 63
сумісний
ін'єкція Clindamycin phosphate 10 mg/ml
Парентеральне харчування (ліпідами) 3967
сумісний
ін'єкція Clindamycin phosphate 10 mg/ml
ін'єкція Ceftaroline fosamil 2,22 mg/ml
Глюкоза 5% 3249
сумісний
ін'єкція Clindamycin phosphate 10 mg/ml
ін'єкція Ceftaroline fosamil 2,22 mg/ml
Натрію хлорид 0,9% 3249
сумісний
ін'єкція Clindamycin phosphate 9 mg/ml
ін'єкція Ceftazidime 20 mg/ml
Глюкоза 5% 432
сумісний
ін'єкція Clindamycin phosphate
ін'єкція Ceftazidime
Натрію хлорид 0,9% 3526
сумісний
ін'єкція Clindamycin phosphate 9 mg/ml
ін'єкція Ceftazidime 20 mg/ml
Натрію хлорид 0,9% 432
сумісний
ін'єкція Clindamycin phosphate 10 mg/ml
Парентеральне харчування (ліпідами) 1415
сумісний
ін'єкція Clindamycin phosphate 9 mg/ml
ін'єкція Ceftizoxime sodium 20 mg/ml
Глюкоза 5% 418
сумісний
ін'єкція Clindamycin phosphate
ін'єкція Ceftizoxime sodium
Натрію хлорид 0,9% 3526
Хімічна нестійкість Несумісні
ін'єкція Clindamycin phosphate 12 mg/ml
ін'єкція Ceftriaxone disodium 20 mg/ml
Глюкоза 5% 432
Неуточнена несумісність Несумісні
ін'єкція Clindamycin phosphate
ін'єкція Ceftriaxone disodium
3526
Хімічна нестійкість Несумісні
ін'єкція Clindamycin phosphate 12 mg/ml
ін'єкція Ceftriaxone disodium 20 mg/ml
Натрію хлорид 0,9% 432
сумісний
ін'єкція Clindamycin phosphate 9 mg/ml
ін'єкція Cefuroxime sodium 15 mg/ml
Натрію хлорид 0,9% 644
сумісний
ін'єкція Clindamycin phosphate 9 mg/ml
ін'єкція Cefuroxime sodium 15 mg/ml
Глюкоза 5% 644
Миттєві опади Несумісні
ін'єкція Clindamycin phosphate 7 mg/ml
ін'єкція Ciprofloxacin lactate 1.5 mg/ml
Натрію хлорид 0,9% 434
Неуточнена несумісність Несумісні
ін'єкція Clindamycin phosphate
ін'єкція Ciprofloxacin lactate
3526
сумісний
ін'єкція Clindamycin phosphate 10 mg/ml
ін'єкція Dexmedetomidine 4 µg/ml
Натрію хлорид 0,9% 1712
сумісний
ін'єкція Clindamycin phosphate 12 & 150 mg/ml
ін'єкція Diltiazem hydrochloride 5 mg/ml
Натрію хлорид 0,9% 198
сумісний
ін'єкція Clindamycin phosphate
ін'єкція Dimenhydrinate
2087
сумісний
ін'єкція Clindamycin phosphate 9 mg/ml
ін'єкція Enalaprilate 0.05 mg/ml
Натрію хлорид 0,9% 1315
сумісний
ін'єкція Clindamycin phosphate 10 mg/ml
ін'єкція Etoposide phosphate 5 mg/ml
Глюкоза 5% 1410
сумісний
ін'єкція Clindamycin phosphate 10 mg/ml
ін'єкція Fenoldopam mesylate 80 µg/ml
Натрію хлорид 0,9% 1803
Миттєві опади Несумісні
ін'єкція Clindamycin phosphate 10 mg/ml
ін'єкція Filgrastim 30 µg/ml
Глюкоза 5% 244
сумісний
ін'єкція Clindamycin phosphate 12 mg/ml
ін'єкція Fluconazole 2 mg/ml
Жодного 256
Миттєві опади Несумісні
ін'єкція Clindamycin phosphate 24 mg/ml
ін'єкція Fluconazole 2 mg/ml
Натрію хлорид 0,9% 496
сумісний
ін'єкція Clindamycin phosphate 10 mg/ml
ін'єкція Fludarabine phosphate 1 mg/ml
Глюкоза 5% 492
сумісний
ін'єкція Clindamycin phosphate 12 mg/ml
ін'єкція Foscarnet sodium 24 mg/ml
Глюкоза 5% 1135
сумісний
ін'єкція Clindamycin phosphate 24 mg/ml
ін'єкція Foscarnet sodium 24 mg/ml
Жодного 73
сумісний
ін'єкція Clindamycin phosphate 12 mg/ml
ін'єкція Foscarnet sodium 24 mg/ml
Натрію хлорид 0,9% 1135
сумісний
ін'єкція Clindamycin phosphate 10 mg/ml
ін'єкція Gemcitabine hydrochloride 10 mg/ml
Натрію хлорид 0,9% 1423
сумісний
ін'єкція Clindamycin phosphate
ін'єкція Gentamicin sulfate
Глюкоза 5% 3526
сумісний
ін'єкція Clindamycin phosphate 90 mg/ml
ін'єкція Gentamicin sulfate 12 mg/ml
Натрію хлорид 0,9% 639
сумісний
ін'єкція Clindamycin phosphate 6 mg/ml
ін'єкція Gentamicin sulfate 0.67 mg/ml
Глюкоза 5% 423
сумісний
ін'єкція Clindamycin phosphate
ін'єкція Gentamicin sulfate
Натрію хлорид 0,9% 3526
сумісний
ін'єкція Clindamycin phosphate 10 mg/ml
ін'єкція Granisetron hydrochloride 0.05 mg/ml
Глюкоза 5% 182
сумісний
ін'єкція Clindamycin phosphate 12 mg/ml
ін'єкція Heparin sodium 50 UI/ml
Жодного 317
сумісний
ін'єкція Clindamycin phosphate 10 mg/ml
ін'єкція Hetastarch 60 mg/ml
специфічний розчинник 1721
сумісний
ін'єкція Clindamycin phosphate 12 mg/ml
ін'єкція Hydromorphone hydrochloride 0.2 mg/ml
Глюкоза 5% 405
Неуточнена несумісність Несумісні
ін'єкція Clindamycin phosphate
ін'єкція Idarubicin hydrochloride
3526
Миттєві опади Несумісні
ін'єкція Clindamycin phosphate 12 mg/ml
ін'єкція Idarubicin hydrochloride 1 mg/ml
Натрію хлорид 0,9% 491
сумісний
ін'єкція Clindamycin phosphate 150 mg/ml
ін'єкція Ketamine hydrochloride 50 mg/ml
2109
сумісний
ін'єкція Clindamycin phosphate 9 mg/ml
ін'єкція Labetalol hydrochloride 1 mg/ml
Глюкоза 5% 386
Миттєві опади Несумісні
ін'єкція Clindamycin phosphate 10 mg/ml
ін'єкція Lansoprazole 0.55 mg/ml
Натрію хлорид 0,9% 1625
сумісний
ін'єкція Clindamycin phosphate 150 mg/ml
ін'єкція Levofloxacine 5 mg/ml
Глюкоза 5% 1072
сумісний
ін'єкція Clindamycin phosphate 10 mg/ml
ін'єкція Linezolid 2 mg/ml
Жодного 1925
Неуточнена несумісність Несумісні
ін'єкція Clindamycin phosphate
ін'єкція Magnesium chloride
5012
Неуточнена несумісність Несумісні
ін'єкція Clindamycin phosphate
ін'єкція Magnesium sulfate
3838
сумісний
ін'єкція Clindamycin phosphate 12 mg/ml
ін'єкція Magnesium sulfate 16.67 >> 100 mg/ml
Глюкоза 5% 1047
Неуточнена несумісність Несумісні
ін'єкція Clindamycin phosphate
ін'єкція Magnesium sulfate
3526
сумісний
ін'єкція Clindamycin phosphate 10 mg/ml
ін'єкція Melphalan 0.1 mg/ml
Натрію хлорид 0,9% 169
сумісний
ін'єкція Clindamycin phosphate 150 mg/ml
ін'єкція Meropenem 50 mg/ml
Вода для ін'єкцій 4319
Неуточнена несумісність Несумісні
ін'єкція Clindamycin phosphate
ін'єкція Methohexital sodium
3526
сумісний
ін'єкція Clindamycin phosphate 10 mg/ml
ін'єкція Metronidazole 5 mg/ml
Жодного 1035
сумісний
ін'єкція Clindamycin phosphate
ін'єкція Metronidazole
3594
сумісний
ін'єкція Clindamycin phosphate 9 mg/ml
ін'єкція Midazolam hydrochloride 1 mg/ml
Глюкоза 5% 176
сумісний
ін'єкція Clindamycin phosphate 12 mg/ml
ін'єкція Morphine sulfate 1 mg/ml
Глюкоза 5% 405
сумісний
ін'єкція Clindamycin phosphate 150 mg/ml
ін'єкція N-acetylcysteine 200 mg/ml
Жодного 3766
сумісний
ін'єкція Clindamycin phosphate 150 mg/ml
ін'єкція Naloxone hydrochloride 0.4 mg/ml
Жодного 3408
сумісний
ін'єкція Clindamycin phosphate
ін'єкція Netilmicin sulfate
Натрію хлорид 0,9% 3526
сумісний
ін'єкція Clindamycin phosphate 9 mg/ml
ін'єкція Netilmicin sulfate 3 mg/ml
Глюкоза 5% 421
сумісний
ін'єкція Clindamycin phosphate 9 mg/ml
ін'єкція Netilmicin sulfate 3 mg/ml
Натрію хлорид 0,9% 421
сумісний
ін'єкція Clindamycin phosphate
ін'єкція Netilmicin sulfate
Глюкоза 5% 3526
сумісний
ін'єкція Clindamycin phosphate 9 mg/ml
ін'єкція Nicardipine hydrochloride 0.1 mg/ml
Натрію хлорид 0,9% 1490
сумісний
ін'єкція Clindamycin phosphate 9 mg/ml
ін'єкція Nicardipine hydrochloride 0.1 mg/ml
Глюкоза 5% 1490
сумісний
ін'єкція Clindamycin phosphate 6 mg/ml
ін'єкція Ofloxacin 2 mg/ml
Жодного 889
сумісний
ін'єкція Clindamycin phosphate 10 mg/ml
ін'єкція Ondansetron hydrochloride 1 mg/ml
Натрію хлорид 0,9% 334
Опади через 1 год Несумісні
ін'єкція Clindamycin phosphate 12 mg/ml
ін'єкція Oritavancin 0.8 >>2 mg/ml
Глюкоза 5% 3152
Опади через 1 год Несумісні
ін'єкція Clindamycin phosphate
ін'єкція Pantoprazole sodium
2090
сумісний
ін'єкція Clindamycin phosphate 150 mg/ml
ін'єкція Paracetamol 10 mg/ml
4742
сумісний
ін'єкція Clindamycin phosphate 10 mg/ml
ін'єкція Paracetamol 10 mg/ml
Жодного 3571
сумісний
ін'єкція Clindamycin phosphate 10 mg/ml
ін'єкція Pemetrexed disodium 20 mg/ml
Натрію хлорид 0,9% 1953
Неуточнена несумісність Несумісні
ін'єкція Clindamycin phosphate
ін'єкція Pentobarbital sodium
3526
сумісний
ін'єкція Clindamycin phosphate 12 mg/ml
ін'єкція Pethidine hydrochloride 10 mg/ml
Глюкоза 5% 405
Неуточнена несумісність Несумісні
ін'єкція Clindamycin phosphate
ін'єкція Phenobarbital sodium
3526
Неуточнена несумісність Несумісні
ін'єкція Clindamycin phosphate
ін'єкція Phenytoin sodium
3526
сумісний
ін'єкція Clindamycin phosphate 18 mg/ml
ін'єкція Phloroglucinol 2,5 mg/ml
3791
сумісний
ін'єкція Clindamycin phosphate
ін'єкція Piperacillin sodium
Глюкоза 5% 3526
сумісний
ін'єкція Clindamycin phosphate
ін'єкція Piperacillin sodium
Натрію хлорид 0,9% 3526
сумісний
ін'єкція Clindamycin phosphate 9 mg/ml
ін'єкція Piperacillin sodium 40 mg/ml
Глюкоза 5% 432
сумісний
ін'єкція Clindamycin phosphate 9 mg/ml
ін'єкція Piperacillin sodium 40 mg/ml
Натрію хлорид 0,9% 432
сумісний
ін'єкція Clindamycin phosphate 10 mg/ml
ін'єкція Piperacillin sodium / tazobactam 40/5 mg/ml
Глюкоза 5% 81
Негайне помутніння Несумісні
ін'єкція Clindamycin phosphate 150 mg/ml
ін'єкція Salbutamol sulfate 1 mg/ml
Жодного 3216
Неуточнена несумісність Несумісні
ін'єкція Clindamycin phosphate
ін'єкція Sodium bicarbonate
3526
Миттєві опади Несумісні
ін'єкція Clindamycin phosphate 12 mg/ml
ін'єкція Temocilline 83.33 mg/ml
Вода для ін'єкцій 2231
сумісний
ін'єкція Clindamycin phosphate 10 mg/ml
ін'єкція Teniposide 0.1 mg/ml
Глюкоза 5% 905
Неуточнена несумісність Несумісні
ін'єкція Clindamycin phosphate
ін'єкція Thiopental sodium
3526
сумісний
ін'єкція Clindamycin phosphate
Натрію хлорид 0,9% 3526
сумісний
ін'єкція Clindamycin phosphate 10 mg/ml
ін'єкція Propofol 10 mg/ml
Жодного 300
Неуточнена несумісність Несумісні
ін'єкція Clindamycin phosphate
ін'єкція Ranitidine hydrochloride
3526
сумісний
ін'єкція Clindamycin phosphate 10 mg/ml
ін'єкція Remifentanil hydrochloride 25 & 250 µg/ml
Натрію хлорид 0,9% 59
сумісний
ін'єкція Clindamycin phosphate 10 mg/ml
ін'єкція Sargramostim 10 µg/ml
Натрію хлорид 0,9% 335
сумісний
ін'єкція Clindamycin phosphate 12 mg/ml
ін'єкція Tacrolimus 1000 µg/ml
Натрію хлорид 0,9% 479
сумісний
ін'єкція Clindamycin phosphate 12 mg/ml
ін'єкція Theophylline 4 mg/ml
Жодного 317
Миттєві опади Несумісні
ін'єкція Clindamycin phosphate 150 mg/ml
ін'єкція Thiopental sodium 25 mg/ml
Натрію хлорид 0,9% 3767
сумісний
ін'єкція Clindamycin phosphate 10 mg/ml
ін'єкція Thiotepa 1 mg/ml
Глюкоза 5% 249
сумісний
ін'єкція Clindamycin phosphate
ін'єкція Tobramycin sulfate
Натрію хлорид 0,9% 3526
Миттєві опади Несумісні
ін'єкція Clindamycin phosphate 90 mg/ml
ін'єкція Tobramycin sulfate 12 mg/ml
Натрію хлорид 0,9% 639
сумісний
ін'єкція Clindamycin phosphate
ін'єкція Tobramycin sulfate
Глюкоза 5% 3526
Опади через 2 год Несумісні
ін'єкція Clindamycin phosphate 6 mg/ml
ін'єкція Tramadol hydrochloride 0,4 mg/ml
Натрію хлорид 0,9% 2002
сумісний
ін'єкція Clindamycin phosphate 1.2 mg/ml
ін'єкція Verapamil hydrochloride 0.08 mg/ml
Натрію хлорид 0,9% 1057
сумісний
ін'єкція Clindamycin phosphate 1.2 mg/ml
ін'єкція Verapamil hydrochloride 0.08 mg/ml
Глюкоза 5% 1057
сумісний
ін'єкція Clindamycin phosphate 10 mg/ml
ін'єкція Vinorelbine tartrate 1 mg/ml
Натрію хлорид 0,9% 84
сумісний
ін'єкція Clindamycin phosphate 12 mg/ml
ін'єкція Zidovudine 4 mg/ml
Глюкоза 5% 337

  Mentions Légales