最新更新 :
18/03/2026
抗生素   Clindamycin phosphate  
注射液
溶液稳定性 混合物稳定性 影响稳定性的因素 兼容性 用药途径 引用文献 PDF
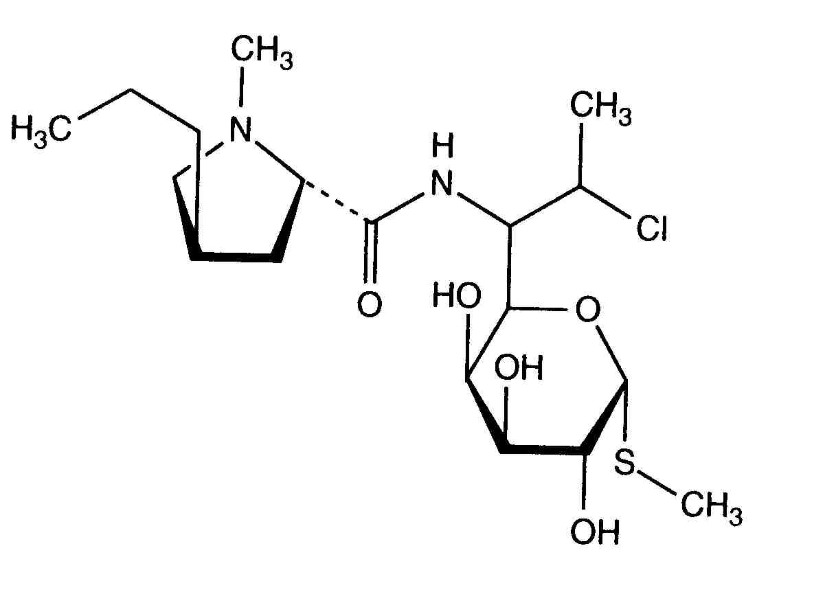
   化学式  

商品名   商品名     

商品名仅供参考, 药品所用的辅料可能依国家或厂商不同有所不同。

Biodaclin 墨西哥
Camyda 印度
Cinbiot 墨西哥
Cleocin 土耳其, 奥地利, 美国
Clinamsa 墨西哥
Clinbac 哥伦比亚, 秘鲁
Clincina 葡萄牙
Clinda-Saar 德国
Clindacid 委内瑞拉
Clindacin 马来西亚
Clindalaf 阿根廷
Clindamicina 厄瓜多尔, 哥伦比亚, 墨西哥, 委内瑞拉, 巴西, 意大利, 智利, 秘鲁, 葡萄牙, 西班牙, 阿根廷
Clindamycin 伊朗, 加拿大, 奥地利, 德国, 挪威, 沙特阿拉伯, 瑞典, 罗马尼亚, 美国
Clindamycin-Hameln 德国
Clindamycine 比利时, 法国, 突尼斯, 荷兰
Clindanovag 阿根廷
Clindarix 巴西
Clindasol 德国
Clindaval 委内瑞拉
Clindazyn 墨西哥
Clindo 波兰
Clysvic 墨西哥
Daclin 智利
Dalacin 丹麦, 伊朗, 冰岛, 加拿大, 匈牙利, 卢森堡, 印度, 厄瓜多尔, 哥伦比亚, 埃及, 墨西哥, 委内瑞拉, 希腊, 意大利, 挪威, 新西蘭, 智利, 比利时, 沙特阿拉伯, 波兰, 澳大利亚, 爱尔兰, 瑞典, 瑞士, 突尼斯, 芬兰, 英国, 荷兰, 阿联酋, 马来西亚
Dalacine 法国, 突尼斯
Daladic 伊朗
Dalcinex 印度
Damclid 印度
Damicin 哥伦比亚, 墨西哥
Damicine 哥伦比亚
Dolarclin 哥伦比亚
Euroclin 厄瓜多尔, 哥伦比亚
Gynasafe 印度
Indamid 墨西哥
Klimicin 波兰
Klindan 土耳其
Klindaver 土耳其
Lanacine 奥地利
Lincocin 马来西亚
Lincosa 马来西亚
Meneklin 土耳其
Sobelin 德国
Tidact 马来西亚
兼容性   注射液   兼容性 : Clindamycin phosphate              
This screen indicates the compatibilities or incompatibilities with, in this case, the type of incompatibility (precipitation, color change, modification of an emulsion, etc.). The compatibilities shown here are mostly physical only, with the chemical stability of each molecule rarely being assessed. The evaluation of these mixtures was studied to consider the possibility of Y-site administration to the patient. These data cannot be used for making mixtures in advance in bags or syringes. This type of information is available in the screen "Stability in mixture ».
分子 溶剂 引用文献
兼容
注射液 Clindamycin phosphate 12 mg/ml
注射液 Aciclovir sodium 5 mg/ml
葡萄糖5% 336
立即沉澱 不相容
注射液 Clindamycin phosphate 10 mg/ml
注射液 Allopurinol sodium 3 mg/ml
NaCl 0,9% 307
兼容
注射液 Clindamycin phosphate 10 mg/ml
注射液 Amifostine 10 mg/ml
葡萄糖5% 3
兼容
注射液 Clindamycin phosphate
注射液 Amikacin sulfate
NaCl 0,9% 3526
兼容
注射液 Clindamycin phosphate 9 mg/ml
注射液 Amikacin sulfate 4 mg/ml
NaCl 0,9% 565
兼容
注射液 Clindamycin phosphate 9 mg/ml
注射液 Amikacin sulfate 4 mg/ml
葡萄糖5% 565
兼容
注射液 Clindamycin phosphate
注射液 Amikacin sulfate
葡萄糖5% 3526
兼容
注射液 Clindamycin phosphate 90 mg/ml
注射液 Amikacin sulfate 75 mg/ml
NaCl 0,9% 639
未指定的不兼容性 不相容
注射液 Clindamycin phosphate
注射液 Aminophylline
3526
兼容
注射液 Clindamycin phosphate 6 mg/ml
注射液 Amiodarone hydrochloride 4 mg/ml
NaCl 0,9% 385
兼容
注射液 Clindamycin phosphate 6 mg/ml
注射液 Amiodarone hydrochloride 4 mg/ml
葡萄糖5% 385
一小時渾濁 不相容
注射液 Clindamycin phosphate 150 mg/ml
注射液 Amoxicillin sodium / clavulanic acid 100/10 mg/ml
3824
兼容
注射液 Clindamycin phosphate 10 mg/ml
注射液 Amphotericin B cholesteryl sulfate complex 0.83 mg/ml
葡萄糖5% 921
未指定的不兼容性 不相容
注射液 Clindamycin phosphate
注射液 Ampicillin sodium
3526
兼容
注射液 Clindamycin phosphate
葡萄糖5% 3526
未指定的不兼容性 不相容
注射液 Clindamycin phosphate
注射液 Amobarbital sodium
3526
兼容
注射液 Clindamycin phosphate 10 mg/ml
注射液 Amsacrine 1 mg/ml
葡萄糖5% 253
兼容
注射液 Clindamycin phosphate 10 mg/ml
注射液 Anidulafungin 0.5 mg/ml
葡萄糖5% 1982
修改pH> 1 pH單位 不相容
注射液 Clindamycin phosphate 9 mg/ml
注射液 Atosiban 0,75 mg/ml
4642
兼容
注射液 Clindamycin phosphate 6 mg/ml
注射液 Aztreonam 10 mg/ml
葡萄糖5% 419
兼容
注射液 Clindamycin phosphate 9 mg/ml
注射液 Aztreonam 20 mg/ml
葡萄糖5% 432
兼容
注射液 Clindamycin phosphate 60 mg/ml
注射液 Aztreonam 200 mg/ml
NaCl 0,9% 644
兼容
注射液 Clindamycin phosphate
注射液 Aztreonam
NaCl 0,9% 3526
兼容
注射液 Clindamycin phosphate 3 mg/ml
注射液 Aztreonam 10 mg/ml
葡萄糖5% 419
兼容
注射液 Clindamycin phosphate
注射液 Aztreonam
葡萄糖5% 3526
兼容
注射液 Clindamycin phosphate 24 mg/ml
肠外营养(二种混合物) 3379
立即沉澱 不相容
注射液 Clindamycin phosphate 30 mg/ml
注射液 Azithromycine 2 mg/ml
NaCl 0,9% 1800
兼容
注射液 Clindamycin phosphate 3 mg/ml
肠外营养(二种混合物) 1055
兼容
注射液 Clindamycin phosphate 6 mg/ml
注射液 Aztreonam 20 mg/ml
NaCl 0,9% 419
兼容
注射液 Clindamycin phosphate 3 mg/ml
注射液 Aztreonam 20 mg/ml
NaCl 0,9% 419
兼容
注射液 Clindamycin phosphate 3 mg/ml
注射液 Aztreonam 20 mg/ml
葡萄糖5% 419
兼容
注射液 Clindamycin phosphate 6 mg/ml
注射液 Aztreonam 20 mg/ml
葡萄糖5% 419
兼容
注射液 Clindamycin phosphate 10 mg/ml
注射液 Aztreonam 40 mg/ml
葡萄糖5% 99
兼容
注射液 Clindamycin phosphate 3 mg/ml
注射液 Aztreonam 10 mg/ml
NaCl 0,9% 419
兼容
注射液 Clindamycin phosphate 6 mg/ml
注射液 Aztreonam 10 mg/ml
NaCl 0,9% 419
兼容
注射液 Clindamycin phosphate 9 mg/ml
注射液 Aztreonam 20 mg/ml
NaCl 0,9% 432
兼容
注射液 Clindamycin phosphate 10 mg/ml
注射液 Bivalirudin 5 mg/ml
葡萄糖5% 1713
兼容
注射液 Clindamycin phosphate 150 mg/ml
注射液 Caffeine 10 mg/ml
无 3964
未指定的不兼容性 不相容
注射液 Clindamycin phosphate
注射液 Calcium gluconate
3644
未指定的不兼容性 不相容
注射液 Clindamycin phosphate
注射液 Calcium gluconate
3526
不相容
注射液 Clindamycin phosphate
注射液 Calcium gluconate
4964
立即沉澱 不相容
注射液 Clindamycin phosphate 10 mg/ml
注射液 Caspofungin acetate 0,7 mg/ml
NaCl 0,9% 2247
立即沉澱 不相容
注射液 Clindamycin phosphate 60 mg/ml
注射液 Caspofungin acetate 0.5 mg/ml
NaCl 0,9% 2233
兼容
注射液 Clindamycin phosphate 9 mg/ml
注射液 Cefamandole nafate 10 mg/ml
葡萄糖5% 418
兼容
注射液 Clindamycin phosphate
注射液 Cefamandole nafate
NaCl 0,9% 3526
兼容
注射液 Clindamycin phosphate 9 mg/ml
注射液 Cefamandole nafate 10 mg/ml
NaCl 0,9% 418
兼容
注射液 Clindamycin phosphate
注射液 Cefamandole nafate
葡萄糖5% 3526
兼容
注射液 Clindamycin phosphate 9 mg/ml
注射液 Cefazolin sodium 10 mg/ml
NaCl 0,9% 418
兼容
注射液 Clindamycin phosphate
注射液 Cefazolin sodium
NaCl 0,9% 3526
兼容
注射液 Clindamycin phosphate 9 mg/ml
注射液 Cefazolin sodium 10 mg/ml
葡萄糖5% 418
兼容
注射液 Clindamycin phosphate 0,25 & 6 mg/ml
注射液 Cefepime dihydrochloride 4 & 40 mg/ml
葡萄糖5% 3548
兼容
注射液 Clindamycin phosphate 10 mg/ml
注射液 Cefiderocol sulfate tosylate 20 mg/mL
葡萄糖5% 4528
兼容
注射液 Clindamycin phosphate 12 mg/ml
注射液 Cefoperazone sodium 20 mg/ml
葡萄糖5% 644
未指定的不兼容性 不相容
注射液 Clindamycin phosphate
NaHCO3 3526
兼容
注射液 Clindamycin phosphate 12 mg/ml
注射液 Cefonicid sodium 10 mg/ml
NaCl 0,9% 644
兼容
注射液 Clindamycin phosphate 10 mg/ml
肠外营养(二种混合物) 301
兼容
注射液 Clindamycin phosphate
注射液 Cefazolin sodium
葡萄糖5% 3526
兼容
注射液 Clindamycin phosphate 0,25 & 6 mg/ml
注射液 Cefepime dihydrochloride 4 & 40 mg/ml
NaCl 0,9% 3548
兼容
注射液 Clindamycin phosphate 10 mg/ml
注射液 Cefiderocol sulfate tosylate 20 mg/mL
NaCl 0,9% 4528
兼容
注射液 Clindamycin phosphate 12 mg/ml
注射液 Cefonicid sodium 10 mg/ml
葡萄糖5% 644
兼容
注射液 Clindamycin phosphate 12 mg/ml
注射液 Cefoperazone sodium 20 mg/ml
NaCl 0,9% 644
兼容
注射液 Clindamycin phosphate 150 mg/ml
肠外营养(二种混合物) 999
兼容
注射液 Clindamycin phosphate
注射液 Cefotaxime sodium
葡萄糖5% 3526
兼容
注射液 Clindamycin phosphate 9 mg/ml
注射液 Cefotaxime sodium 20 mg/ml
葡萄糖5% 421
兼容
注射液 Clindamycin phosphate 9 mg/ml
注射液 Cefotaxime sodium 20 mg/ml
NaCl 0,9% 421
兼容
注射液 Clindamycin phosphate
注射液 Cefotaxime sodium
NaCl 0,9% 3526
兼容
注射液 Clindamycin phosphate
注射液 Cefoxitin sodium
NaCl 0,9% 3526
兼容
注射液 Clindamycin phosphate 9 mg/ml
注射液 Cefoxitin sodium 20 mg/ml
葡萄糖5% 418
兼容
注射液 Clindamycin phosphate 9 mg/ml
注射液 Cefoxitin sodium 20 mg/ml
NaCl 0,9% 418
兼容
注射液 Clindamycin phosphate
注射液 Cefoxitin sodium
葡萄糖5% 3526
兼容
注射液 Clindamycin phosphate 12 mg/ml
注射液 Cefpirome sulfate 50 mg/ml
NaCl 0,9% 280
兼容
注射液 Clindamycin phosphate 12 mg/ml
注射液 Cefpirome sulfate 50 mg/ml
NaCl 0.45% 280
兼容
注射液 Clindamycin phosphate 12 mg/ml
注射液 Cefpirome sulfate 50 mg/ml
葡萄糖5% 280
兼容
注射液 Clindamycin phosphate 12 mg/ml
注射液 Cefpirome sulfate 50 mg/ml
Ringer乳酸溶液 280
兼容
注射液 Clindamycin phosphate 10 mg/ml
注射液 Ceftaroline fosamil 2,22 mg/ml
Ringer乳酸溶液 3249
兼容
注射液 Clindamycin phosphate
注射液 Ceftazidime
葡萄糖5% 3526
兼容
注射液 Clindamycin phosphate 9 mg/ml
注射液 Ceftizoxime sodium 20 mg/ml
NaCl 0,9% 418
兼容
注射液 Clindamycin phosphate
注射液 Ceftizoxime sodium
葡萄糖5% 3526
兼容
注射液 Clindamycin phosphate 10 mg/ml
注射液 Ceftobiprole medocaril sodium 2 mg/ml
NaCl 0,9% 2269
兼容
注射液 Clindamycin phosphate 10 mg/ml
注射液 Ceftobiprole medocaril sodium 2 mg/ml
葡萄糖5% 2269
兼容
注射液 Clindamycin phosphate 10 mg/ml
注射液 Ceftobiprole medocaril sodium 2 mg/ml
Ringer乳酸溶液 2269
兼容
注射液 Clindamycin phosphate 5,77 mg/ml
肠外营养(含脂肪) 4440
兼容
注射液 Clindamycin phosphate 1.2 mg/ml
注射液 Cimetidine hydrochloride 1.2 & 5 mg/ml
葡萄糖5% 1201
兼容
注射液 Clindamycin phosphate 1.2 mg/ml
注射液 Cimetidine hydrochloride 1.2 & 5 mg/ml
NaCl 0,9% 1201
立即沉澱 不相容
注射液 Clindamycin phosphate 7 mg/ml
注射液 Ciprofloxacin lactate 1.5 mg/ml
葡萄糖5% 434
兼容
注射液 Clindamycin phosphate 10 mg/ml
注射液 Cisatracurium besylate 0.1 >> 5 mg/ml
葡萄糖5% 299
兼容
注射液 Clindamycin phosphate 150 mg/ml
注射液 Cloxacillin sodium 100 mg/ml
注射用水 3012
兼容
注射液 Clindamycin phosphate 10 mg/ml
注射液 Docetaxel 0.9 mg/ml
葡萄糖5% 1754
產生氣泡 不相容
注射液 Clindamycin phosphate 10 mg/ml
注射液 Doxapram hydrochloride 2 mg/ml
葡萄糖5% 1802
兼容
注射液 Clindamycin phosphate 10 mg/ml
注射液 Doxorubicin hydrochloride liposome peg 0.4 mg/ml
葡萄糖5% 251
兼容
注射液 Clindamycin phosphate 9 mg/ml
注射液 Esmolol hydrochloride 10 mg/ml
葡萄糖5% 384
兼容
注射液 Clindamycin phosphate 9 mg/ml
注射液 Fentanyl citrate 50 µg/ml
葡萄糖5% 63
兼容
注射液 Clindamycin phosphate 10 mg/ml
肠外营养(含脂肪) 3967
兼容
注射液 Clindamycin phosphate 10 mg/ml
注射液 Ceftaroline fosamil 2,22 mg/ml
葡萄糖5% 3249
兼容
注射液 Clindamycin phosphate 10 mg/ml
注射液 Ceftaroline fosamil 2,22 mg/ml
NaCl 0,9% 3249
兼容
注射液 Clindamycin phosphate 9 mg/ml
注射液 Ceftazidime 20 mg/ml
葡萄糖5% 432
兼容
注射液 Clindamycin phosphate
注射液 Ceftazidime
NaCl 0,9% 3526
兼容
注射液 Clindamycin phosphate 9 mg/ml
注射液 Ceftazidime 20 mg/ml
NaCl 0,9% 432
兼容
注射液 Clindamycin phosphate 10 mg/ml
肠外营养(含脂肪) 1415
兼容
注射液 Clindamycin phosphate 9 mg/ml
注射液 Ceftizoxime sodium 20 mg/ml
葡萄糖5% 418
兼容
注射液 Clindamycin phosphate
注射液 Ceftizoxime sodium
NaCl 0,9% 3526
化學不穩定性 不相容
注射液 Clindamycin phosphate 12 mg/ml
注射液 Ceftriaxone disodium 20 mg/ml
葡萄糖5% 432
未指定的不兼容性 不相容
注射液 Clindamycin phosphate
注射液 Ceftriaxone disodium
3526
化學不穩定性 不相容
注射液 Clindamycin phosphate 12 mg/ml
注射液 Ceftriaxone disodium 20 mg/ml
NaCl 0,9% 432
兼容
注射液 Clindamycin phosphate 9 mg/ml
注射液 Cefuroxime sodium 15 mg/ml
NaCl 0,9% 644
兼容
注射液 Clindamycin phosphate 9 mg/ml
注射液 Cefuroxime sodium 15 mg/ml
葡萄糖5% 644
立即沉澱 不相容
注射液 Clindamycin phosphate 7 mg/ml
注射液 Ciprofloxacin lactate 1.5 mg/ml
NaCl 0,9% 434
未指定的不兼容性 不相容
注射液 Clindamycin phosphate
注射液 Ciprofloxacin lactate
3526
兼容
注射液 Clindamycin phosphate 10 mg/ml
注射液 Dexmedetomidine 4 µg/ml
NaCl 0,9% 1712
兼容
注射液 Clindamycin phosphate 12 & 150 mg/ml
注射液 Diltiazem hydrochloride 5 mg/ml
NaCl 0,9% 198
兼容
注射液 Clindamycin phosphate
注射液 Dimenhydrinate
2087
兼容
注射液 Clindamycin phosphate 9 mg/ml
注射液 Enalaprilate 0.05 mg/ml
NaCl 0,9% 1315
兼容
注射液 Clindamycin phosphate 10 mg/ml
注射液 Etoposide phosphate 5 mg/ml
葡萄糖5% 1410
兼容
注射液 Clindamycin phosphate 10 mg/ml
注射液 Fenoldopam mesylate 80 µg/ml
NaCl 0,9% 1803
立即沉澱 不相容
注射液 Clindamycin phosphate 10 mg/ml
注射液 Filgrastim 30 µg/ml
葡萄糖5% 244
兼容
注射液 Clindamycin phosphate 12 mg/ml
注射液 Fluconazole 2 mg/ml
无 256
立即沉澱 不相容
注射液 Clindamycin phosphate 24 mg/ml
注射液 Fluconazole 2 mg/ml
NaCl 0,9% 496
兼容
注射液 Clindamycin phosphate 10 mg/ml
注射液 Fludarabine phosphate 1 mg/ml
葡萄糖5% 492
兼容
注射液 Clindamycin phosphate 12 mg/ml
注射液 Foscarnet sodium 24 mg/ml
葡萄糖5% 1135
兼容
注射液 Clindamycin phosphate 24 mg/ml
注射液 Foscarnet sodium 24 mg/ml
无 73
兼容
注射液 Clindamycin phosphate 12 mg/ml
注射液 Foscarnet sodium 24 mg/ml
NaCl 0,9% 1135
兼容
注射液 Clindamycin phosphate 10 mg/ml
注射液 Gemcitabine hydrochloride 10 mg/ml
NaCl 0,9% 1423
兼容
注射液 Clindamycin phosphate
注射液 Gentamicin sulfate
葡萄糖5% 3526
兼容
注射液 Clindamycin phosphate 90 mg/ml
注射液 Gentamicin sulfate 12 mg/ml
NaCl 0,9% 639
兼容
注射液 Clindamycin phosphate 6 mg/ml
注射液 Gentamicin sulfate 0.67 mg/ml
葡萄糖5% 423
兼容
注射液 Clindamycin phosphate
注射液 Gentamicin sulfate
NaCl 0,9% 3526
兼容
注射液 Clindamycin phosphate 10 mg/ml
注射液 Granisetron hydrochloride 0.05 mg/ml
葡萄糖5% 182
兼容
注射液 Clindamycin phosphate 12 mg/ml
注射液 Heparin sodium 50 UI/ml
无 317
兼容
注射液 Clindamycin phosphate 10 mg/ml
注射液 Hetastarch 60 mg/ml
特定溶液 1721
兼容
注射液 Clindamycin phosphate 12 mg/ml
注射液 Hydromorphone hydrochloride 0.2 mg/ml
葡萄糖5% 405
未指定的不兼容性 不相容
注射液 Clindamycin phosphate
注射液 Idarubicin hydrochloride
3526
立即沉澱 不相容
注射液 Clindamycin phosphate 12 mg/ml
注射液 Idarubicin hydrochloride 1 mg/ml
NaCl 0,9% 491
兼容
注射液 Clindamycin phosphate 150 mg/ml
注射液 Ketamine hydrochloride 50 mg/ml
2109
兼容
注射液 Clindamycin phosphate 9 mg/ml
注射液 Labetalol hydrochloride 1 mg/ml
葡萄糖5% 386
立即沉澱 不相容
注射液 Clindamycin phosphate 10 mg/ml
注射液 Lansoprazole 0.55 mg/ml
NaCl 0,9% 1625
兼容
注射液 Clindamycin phosphate 150 mg/ml
注射液 Levofloxacine 5 mg/ml
葡萄糖5% 1072
兼容
注射液 Clindamycin phosphate 10 mg/ml
注射液 Linezolid 2 mg/ml
无 1925
未指定的不兼容性 不相容
注射液 Clindamycin phosphate
注射液 Magnesium chloride
5012
未指定的不兼容性 不相容
注射液 Clindamycin phosphate
注射液 Magnesium sulfate
3838
兼容
注射液 Clindamycin phosphate 12 mg/ml
注射液 Magnesium sulfate 16.67 >> 100 mg/ml
葡萄糖5% 1047
未指定的不兼容性 不相容
注射液 Clindamycin phosphate
注射液 Magnesium sulfate
3526
兼容
注射液 Clindamycin phosphate 10 mg/ml
注射液 Melphalan 0.1 mg/ml
NaCl 0,9% 169
兼容
注射液 Clindamycin phosphate 150 mg/ml
注射液 Meropenem 50 mg/ml
注射用水 4319
未指定的不兼容性 不相容
注射液 Clindamycin phosphate
注射液 Methohexital sodium
3526
兼容
注射液 Clindamycin phosphate 10 mg/ml
注射液 Metronidazole 5 mg/ml
无 1035
兼容
注射液 Clindamycin phosphate
注射液 Metronidazole
3594
兼容
注射液 Clindamycin phosphate 9 mg/ml
注射液 Midazolam hydrochloride 1 mg/ml
葡萄糖5% 176
兼容
注射液 Clindamycin phosphate 12 mg/ml
注射液 Morphine sulfate 1 mg/ml
葡萄糖5% 405
兼容
注射液 Clindamycin phosphate 150 mg/ml
注射液 N-acetylcysteine 200 mg/ml
无 3766
兼容
注射液 Clindamycin phosphate 150 mg/ml
注射液 Naloxone hydrochloride 0.4 mg/ml
无 3408
兼容
注射液 Clindamycin phosphate
注射液 Netilmicin sulfate
NaCl 0,9% 3526
兼容
注射液 Clindamycin phosphate 9 mg/ml
注射液 Netilmicin sulfate 3 mg/ml
葡萄糖5% 421
兼容
注射液 Clindamycin phosphate 9 mg/ml
注射液 Netilmicin sulfate 3 mg/ml
NaCl 0,9% 421
兼容
注射液 Clindamycin phosphate
注射液 Netilmicin sulfate
葡萄糖5% 3526
兼容
注射液 Clindamycin phosphate 9 mg/ml
注射液 Nicardipine hydrochloride 0.1 mg/ml
NaCl 0,9% 1490
兼容
注射液 Clindamycin phosphate 9 mg/ml
注射液 Nicardipine hydrochloride 0.1 mg/ml
葡萄糖5% 1490
兼容
注射液 Clindamycin phosphate 6 mg/ml
注射液 Ofloxacin 2 mg/ml
无 889
兼容
注射液 Clindamycin phosphate 10 mg/ml
注射液 Ondansetron hydrochloride 1 mg/ml
NaCl 0,9% 334
1小時後析出 不相容
注射液 Clindamycin phosphate 12 mg/ml
注射液 Oritavancin 0.8 >>2 mg/ml
葡萄糖5% 3152
1小時後析出 不相容
注射液 Clindamycin phosphate
注射液 Pantoprazole sodium
2090
兼容
注射液 Clindamycin phosphate 150 mg/ml
注射液 Paracetamol 10 mg/ml
4742
兼容
注射液 Clindamycin phosphate 10 mg/ml
注射液 Paracetamol 10 mg/ml
无 3571
兼容
注射液 Clindamycin phosphate 10 mg/ml
注射液 Pemetrexed disodium 20 mg/ml
NaCl 0,9% 1953
未指定的不兼容性 不相容
注射液 Clindamycin phosphate
注射液 Pentobarbital sodium
3526
兼容
注射液 Clindamycin phosphate 12 mg/ml
注射液 Pethidine hydrochloride 10 mg/ml
葡萄糖5% 405
未指定的不兼容性 不相容
注射液 Clindamycin phosphate
注射液 Phenobarbital sodium
3526
未指定的不兼容性 不相容
注射液 Clindamycin phosphate
注射液 Phenytoin sodium
3526
兼容
注射液 Clindamycin phosphate 18 mg/ml
注射液 Phloroglucinol 2,5 mg/ml
3791
兼容
注射液 Clindamycin phosphate
注射液 Piperacillin sodium
葡萄糖5% 3526
兼容
注射液 Clindamycin phosphate
注射液 Piperacillin sodium
NaCl 0,9% 3526
兼容
注射液 Clindamycin phosphate 9 mg/ml
注射液 Piperacillin sodium 40 mg/ml
葡萄糖5% 432
兼容
注射液 Clindamycin phosphate 9 mg/ml
注射液 Piperacillin sodium 40 mg/ml
NaCl 0,9% 432
兼容
注射液 Clindamycin phosphate 10 mg/ml
注射液 Piperacillin sodium / tazobactam 40/5 mg/ml
葡萄糖5% 81
立即渾濁 不相容
注射液 Clindamycin phosphate 150 mg/ml
注射液 Salbutamol sulfate 1 mg/ml
无 3216
未指定的不兼容性 不相容
注射液 Clindamycin phosphate
注射液 Sodium bicarbonate
3526
立即沉澱 不相容
注射液 Clindamycin phosphate 12 mg/ml
注射液 Temocilline 83.33 mg/ml
注射用水 2231
兼容
注射液 Clindamycin phosphate 10 mg/ml
注射液 Teniposide 0.1 mg/ml
葡萄糖5% 905
未指定的不兼容性 不相容
注射液 Clindamycin phosphate
注射液 Thiopental sodium
3526
兼容
注射液 Clindamycin phosphate
NaCl 0,9% 3526
兼容
注射液 Clindamycin phosphate 10 mg/ml
注射液 Propofol 10 mg/ml
无 300
未指定的不兼容性 不相容
注射液 Clindamycin phosphate
注射液 Ranitidine hydrochloride
3526
兼容
注射液 Clindamycin phosphate 10 mg/ml
注射液 Remifentanil hydrochloride 25 & 250 µg/ml
NaCl 0,9% 59
兼容
注射液 Clindamycin phosphate 10 mg/ml
注射液 Sargramostim 10 µg/ml
NaCl 0,9% 335
兼容
注射液 Clindamycin phosphate 12 mg/ml
注射液 Tacrolimus 1000 µg/ml
NaCl 0,9% 479
兼容
注射液 Clindamycin phosphate 12 mg/ml
注射液 Theophylline 4 mg/ml
无 317
立即沉澱 不相容
注射液 Clindamycin phosphate 150 mg/ml
注射液 Thiopental sodium 25 mg/ml
NaCl 0,9% 3767
兼容
注射液 Clindamycin phosphate 10 mg/ml
注射液 Thiotepa 1 mg/ml
葡萄糖5% 249
兼容
注射液 Clindamycin phosphate
注射液 Tobramycin sulfate
NaCl 0,9% 3526
立即沉澱 不相容
注射液 Clindamycin phosphate 90 mg/ml
注射液 Tobramycin sulfate 12 mg/ml
NaCl 0,9% 639
兼容
注射液 Clindamycin phosphate
注射液 Tobramycin sulfate
葡萄糖5% 3526
2小時後出現沉澱 不相容
注射液 Clindamycin phosphate 6 mg/ml
注射液 Tramadol hydrochloride 0,4 mg/ml
NaCl 0,9% 2002
兼容
注射液 Clindamycin phosphate 1.2 mg/ml
注射液 Verapamil hydrochloride 0.08 mg/ml
NaCl 0,9% 1057
兼容
注射液 Clindamycin phosphate 1.2 mg/ml
注射液 Verapamil hydrochloride 0.08 mg/ml
葡萄糖5% 1057
兼容
注射液 Clindamycin phosphate 10 mg/ml
注射液 Vinorelbine tartrate 1 mg/ml
NaCl 0,9% 84
兼容
注射液 Clindamycin phosphate 12 mg/ml
注射液 Zidovudine 4 mg/ml
葡萄糖5% 337

  Mentions Légales