Siste oppdatering :
18/03/2026
Antibiotika   Clindamycin phosphate  
Injeksjon
Oppløsningsstabilitet Stabilitet i blandinger Faktorer som påvirker stabiliteten Kompatibilitet Administrasjonsmåte Referanser pdf
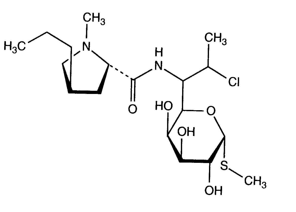
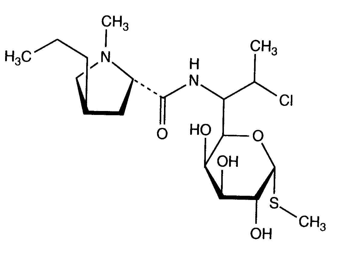
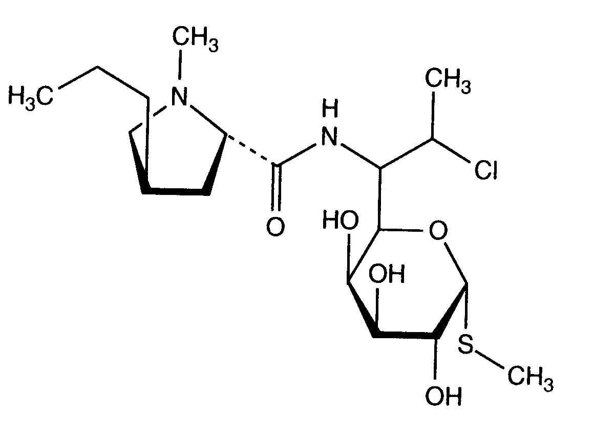
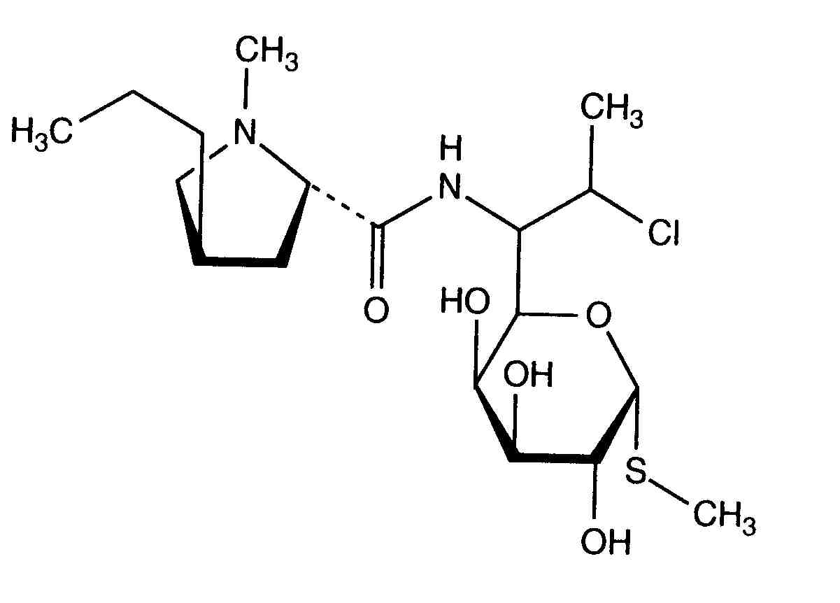
   Kjemisk struktur  

Handelsnavn   Handelsnavn     

Handelsnavn er veiledende og sammensetning av hjelpestoffer kan være forskjellig avhengig av land og produsent

Biodaclin Mexico
Camyda India
Cinbiot Mexico
Cleocin Tyrkia, USA, Østerrike
Clinamsa Mexico
Clinbac Colombia, Peru
Clincina Portugal
Clinda-Saar Tyskland
Clindacid Venezuela
Clindacin Malaysia
Clindalaf Argentina
Clindamicina Argentina, Brasil, Chile, Colombia, Ecuador, Italia, Mexico, Peru, Portugal, Spania, Venezuela
Clindamycin Canada, Iran, Norge, Romania, Saudi-Arabia, Sverige, Tyskland, USA, Østerrike
Clindamycin-Hameln Tyskland
Clindamycine Belgia, Frankrike, Nederland, Tunisia
Clindanovag Argentina
Clindarix Brasil
Clindasol Tyskland
Clindaval Venezuela
Clindazyn Mexico
Clindo Polen
Clysvic Mexico
Daclin Chile
Dalacin Australia, Belgia, Canada, Chile, Colombia, Danmark, De forente arabiske emirater, Ecuador, Egypt, Finland, Hellas, India, Iran, Irland, Island, Italia, Luxembourg, Malaysia, Mexico, Nederland, New Zealand, Norge, Polen, Saudi-Arabia, Storbritannia, Sveits, Sverige, Tunisia, Ungarn, Venezuela
Dalacine Frankrike, Tunisia
Daladic Iran
Dalcinex India
Damclid India
Damicin Colombia, Mexico
Damicine Colombia
Dolarclin Colombia
Euroclin Colombia, Ecuador
Gynasafe India
Indamid Mexico
Klimicin Polen
Klindan Tyrkia
Klindaver Tyrkia
Lanacine Østerrike
Lincocin Malaysia
Lincosa Malaysia
Meneklin Tyrkia
Sobelin Tyskland
Tidact Malaysia
Kompatibilitet   Injeksjon   Kompatibilitet : Clindamycin phosphate              
Dette skjermbildet viser kompatibilitet eller inkompatibilitet med, i dette tilfellet, typen inkompatibilitet (nedbør, fargeendring, modifisering av en emulsjon, etc.). Kompatibilitetene som er vist her, er for det meste bare fysiske, og den kjemiske stabiliteten til hvert molekyl blir sjelden vurdert. Evalueringen av disse blandingene ble studert for å vurdere muligheten for Y-stedadministrasjon til pasienten. Disse dataene kan ikke brukes til å lage blandinger på forhånd i poser eller sprøyter. Denne typen informasjon er tilgjengelig på skjermen "Stabilitet i blanding".
Legemiddel Oppløsningsmiddel Referanser
Kompatibel
Injeksjon Clindamycin phosphate 12 mg/ml
Injeksjon Aciclovir sodium 5 mg/ml
Glukose 5 % 336
Umiddelbar nedbør Uforenlig
Injeksjon Clindamycin phosphate 10 mg/ml
Injeksjon Allopurinol sodium 3 mg/ml
Natriumklorid 0,9 % 307
Kompatibel
Injeksjon Clindamycin phosphate 10 mg/ml
Injeksjon Amifostine 10 mg/ml
Glukose 5 % 3
Kompatibel
Injeksjon Clindamycin phosphate
Injeksjon Amikacin sulfate
Natriumklorid 0,9 % 3526
Kompatibel
Injeksjon Clindamycin phosphate 9 mg/ml
Injeksjon Amikacin sulfate 4 mg/ml
Natriumklorid 0,9 % 565
Kompatibel
Injeksjon Clindamycin phosphate 9 mg/ml
Injeksjon Amikacin sulfate 4 mg/ml
Glukose 5 % 565
Kompatibel
Injeksjon Clindamycin phosphate
Injeksjon Amikacin sulfate
Glukose 5 % 3526
Kompatibel
Injeksjon Clindamycin phosphate 90 mg/ml
Injeksjon Amikacin sulfate 75 mg/ml
Natriumklorid 0,9 % 639
Uspesifisert inkompatibilitet Uforenlig
Injeksjon Clindamycin phosphate
Injeksjon Aminophylline
3526
Kompatibel
Injeksjon Clindamycin phosphate 6 mg/ml
Injeksjon Amiodarone hydrochloride 4 mg/ml
Natriumklorid 0,9 % 385
Kompatibel
Injeksjon Clindamycin phosphate 6 mg/ml
Injeksjon Amiodarone hydrochloride 4 mg/ml
Glukose 5 % 385
Turbiditet på en time Uforenlig
Injeksjon Clindamycin phosphate 150 mg/ml
Injeksjon Amoxicillin sodium / clavulanic acid 100/10 mg/ml
3824
Kompatibel
Injeksjon Clindamycin phosphate 10 mg/ml
Injeksjon Amphotericin B cholesteryl sulfate complex 0.83 mg/ml
Glukose 5 % 921
Uspesifisert inkompatibilitet Uforenlig
Injeksjon Clindamycin phosphate
Injeksjon Ampicillin sodium
3526
Kompatibel
Injeksjon Clindamycin phosphate
Glukose 5 % 3526
Uspesifisert inkompatibilitet Uforenlig
Injeksjon Clindamycin phosphate
Injeksjon Amobarbital sodium
3526
Kompatibel
Injeksjon Clindamycin phosphate 10 mg/ml
Injeksjon Amsacrine 1 mg/ml
Glukose 5 % 253
Kompatibel
Injeksjon Clindamycin phosphate 10 mg/ml
Injeksjon Anidulafungin 0.5 mg/ml
Glukose 5 % 1982
Modifisering av pH> 1 pH-enhet Uforenlig
Injeksjon Clindamycin phosphate 9 mg/ml
Injeksjon Atosiban 0,75 mg/ml
4642
Kompatibel
Injeksjon Clindamycin phosphate 6 mg/ml
Injeksjon Aztreonam 10 mg/ml
Glukose 5 % 419
Kompatibel
Injeksjon Clindamycin phosphate 9 mg/ml
Injeksjon Aztreonam 20 mg/ml
Glukose 5 % 432
Kompatibel
Injeksjon Clindamycin phosphate 60 mg/ml
Injeksjon Aztreonam 200 mg/ml
Natriumklorid 0,9 % 644
Kompatibel
Injeksjon Clindamycin phosphate
Injeksjon Aztreonam
Natriumklorid 0,9 % 3526
Kompatibel
Injeksjon Clindamycin phosphate 3 mg/ml
Injeksjon Aztreonam 10 mg/ml
Glukose 5 % 419
Kompatibel
Injeksjon Clindamycin phosphate
Injeksjon Aztreonam
Glukose 5 % 3526
Kompatibel
Injeksjon Clindamycin phosphate 24 mg/ml
Parenteral ernæring(lipid-free) 3379
Umiddelbar nedbør Uforenlig
Injeksjon Clindamycin phosphate 30 mg/ml
Injeksjon Azithromycine 2 mg/ml
Natriumklorid 0,9 % 1800
Kompatibel
Injeksjon Clindamycin phosphate 3 mg/ml
Parenteral ernæring(lipid-free) 1055
Kompatibel
Injeksjon Clindamycin phosphate 6 mg/ml
Injeksjon Aztreonam 20 mg/ml
Natriumklorid 0,9 % 419
Kompatibel
Injeksjon Clindamycin phosphate 3 mg/ml
Injeksjon Aztreonam 20 mg/ml
Natriumklorid 0,9 % 419
Kompatibel
Injeksjon Clindamycin phosphate 3 mg/ml
Injeksjon Aztreonam 20 mg/ml
Glukose 5 % 419
Kompatibel
Injeksjon Clindamycin phosphate 6 mg/ml
Injeksjon Aztreonam 20 mg/ml
Glukose 5 % 419
Kompatibel
Injeksjon Clindamycin phosphate 10 mg/ml
Injeksjon Aztreonam 40 mg/ml
Glukose 5 % 99
Kompatibel
Injeksjon Clindamycin phosphate 3 mg/ml
Injeksjon Aztreonam 10 mg/ml
Natriumklorid 0,9 % 419
Kompatibel
Injeksjon Clindamycin phosphate 6 mg/ml
Injeksjon Aztreonam 10 mg/ml
Natriumklorid 0,9 % 419
Kompatibel
Injeksjon Clindamycin phosphate 9 mg/ml
Injeksjon Aztreonam 20 mg/ml
Natriumklorid 0,9 % 432
Kompatibel
Injeksjon Clindamycin phosphate 10 mg/ml
Injeksjon Bivalirudin 5 mg/ml
Glukose 5 % 1713
Kompatibel
Injeksjon Clindamycin phosphate 150 mg/ml
Injeksjon Caffeine 10 mg/ml
Ingen 3964
Uspesifisert inkompatibilitet Uforenlig
Injeksjon Clindamycin phosphate
Injeksjon Calcium gluconate
3644
Uspesifisert inkompatibilitet Uforenlig
Injeksjon Clindamycin phosphate
Injeksjon Calcium gluconate
3526
Uforenlig
Injeksjon Clindamycin phosphate
Injeksjon Calcium gluconate
4964
Umiddelbar nedbør Uforenlig
Injeksjon Clindamycin phosphate 10 mg/ml
Injeksjon Caspofungin acetate 0,7 mg/ml
Natriumklorid 0,9 % 2247
Umiddelbar nedbør Uforenlig
Injeksjon Clindamycin phosphate 60 mg/ml
Injeksjon Caspofungin acetate 0.5 mg/ml
Natriumklorid 0,9 % 2233
Kompatibel
Injeksjon Clindamycin phosphate 9 mg/ml
Injeksjon Cefamandole nafate 10 mg/ml
Glukose 5 % 418
Kompatibel
Injeksjon Clindamycin phosphate
Injeksjon Cefamandole nafate
Natriumklorid 0,9 % 3526
Kompatibel
Injeksjon Clindamycin phosphate 9 mg/ml
Injeksjon Cefamandole nafate 10 mg/ml
Natriumklorid 0,9 % 418
Kompatibel
Injeksjon Clindamycin phosphate
Injeksjon Cefamandole nafate
Glukose 5 % 3526
Kompatibel
Injeksjon Clindamycin phosphate 9 mg/ml
Injeksjon Cefazolin sodium 10 mg/ml
Natriumklorid 0,9 % 418
Kompatibel
Injeksjon Clindamycin phosphate
Injeksjon Cefazolin sodium
Natriumklorid 0,9 % 3526
Kompatibel
Injeksjon Clindamycin phosphate 9 mg/ml
Injeksjon Cefazolin sodium 10 mg/ml
Glukose 5 % 418
Kompatibel
Injeksjon Clindamycin phosphate 0,25 & 6 mg/ml
Injeksjon Cefepime dihydrochloride 4 & 40 mg/ml
Glukose 5 % 3548
Kompatibel
Injeksjon Clindamycin phosphate 10 mg/ml
Injeksjon Cefiderocol sulfate tosylate 20 mg/mL
Glukose 5 % 4528
Kompatibel
Injeksjon Clindamycin phosphate 12 mg/ml
Injeksjon Cefoperazone sodium 20 mg/ml
Glukose 5 % 644
Uspesifisert inkompatibilitet Uforenlig
Injeksjon Clindamycin phosphate
NaHCO3 3526
Kompatibel
Injeksjon Clindamycin phosphate 12 mg/ml
Injeksjon Cefonicid sodium 10 mg/ml
Natriumklorid 0,9 % 644
Kompatibel
Injeksjon Clindamycin phosphate 10 mg/ml
Parenteral ernæring(lipid-free) 301
Kompatibel
Injeksjon Clindamycin phosphate
Injeksjon Cefazolin sodium
Glukose 5 % 3526
Kompatibel
Injeksjon Clindamycin phosphate 0,25 & 6 mg/ml
Injeksjon Cefepime dihydrochloride 4 & 40 mg/ml
Natriumklorid 0,9 % 3548
Kompatibel
Injeksjon Clindamycin phosphate 10 mg/ml
Injeksjon Cefiderocol sulfate tosylate 20 mg/mL
Natriumklorid 0,9 % 4528
Kompatibel
Injeksjon Clindamycin phosphate 12 mg/ml
Injeksjon Cefonicid sodium 10 mg/ml
Glukose 5 % 644
Kompatibel
Injeksjon Clindamycin phosphate 12 mg/ml
Injeksjon Cefoperazone sodium 20 mg/ml
Natriumklorid 0,9 % 644
Kompatibel
Injeksjon Clindamycin phosphate 150 mg/ml
Parenteral ernæring(lipid-free) 999
Kompatibel
Injeksjon Clindamycin phosphate
Injeksjon Cefotaxime sodium
Glukose 5 % 3526
Kompatibel
Injeksjon Clindamycin phosphate 9 mg/ml
Injeksjon Cefotaxime sodium 20 mg/ml
Glukose 5 % 421
Kompatibel
Injeksjon Clindamycin phosphate 9 mg/ml
Injeksjon Cefotaxime sodium 20 mg/ml
Natriumklorid 0,9 % 421
Kompatibel
Injeksjon Clindamycin phosphate
Injeksjon Cefotaxime sodium
Natriumklorid 0,9 % 3526
Kompatibel
Injeksjon Clindamycin phosphate
Injeksjon Cefoxitin sodium
Natriumklorid 0,9 % 3526
Kompatibel
Injeksjon Clindamycin phosphate 9 mg/ml
Injeksjon Cefoxitin sodium 20 mg/ml
Glukose 5 % 418
Kompatibel
Injeksjon Clindamycin phosphate 9 mg/ml
Injeksjon Cefoxitin sodium 20 mg/ml
Natriumklorid 0,9 % 418
Kompatibel
Injeksjon Clindamycin phosphate
Injeksjon Cefoxitin sodium
Glukose 5 % 3526
Kompatibel
Injeksjon Clindamycin phosphate 12 mg/ml
Injeksjon Cefpirome sulfate 50 mg/ml
Natriumklorid 0,9 % 280
Kompatibel
Injeksjon Clindamycin phosphate 12 mg/ml
Injeksjon Cefpirome sulfate 50 mg/ml
Natriumklorid 0,45 % 280
Kompatibel
Injeksjon Clindamycin phosphate 12 mg/ml
Injeksjon Cefpirome sulfate 50 mg/ml
Glukose 5 % 280
Kompatibel
Injeksjon Clindamycin phosphate 12 mg/ml
Injeksjon Cefpirome sulfate 50 mg/ml
Ringers laktatoppløsning 280
Kompatibel
Injeksjon Clindamycin phosphate 10 mg/ml
Injeksjon Ceftaroline fosamil 2,22 mg/ml
Ringers laktatoppløsning 3249
Kompatibel
Injeksjon Clindamycin phosphate
Injeksjon Ceftazidime
Glukose 5 % 3526
Kompatibel
Injeksjon Clindamycin phosphate 9 mg/ml
Injeksjon Ceftizoxime sodium 20 mg/ml
Natriumklorid 0,9 % 418
Kompatibel
Injeksjon Clindamycin phosphate
Injeksjon Ceftizoxime sodium
Glukose 5 % 3526
Kompatibel
Injeksjon Clindamycin phosphate 10 mg/ml
Injeksjon Ceftobiprole medocaril sodium 2 mg/ml
Natriumklorid 0,9 % 2269
Kompatibel
Injeksjon Clindamycin phosphate 10 mg/ml
Injeksjon Ceftobiprole medocaril sodium 2 mg/ml
Glukose 5 % 2269
Kompatibel
Injeksjon Clindamycin phosphate 10 mg/ml
Injeksjon Ceftobiprole medocaril sodium 2 mg/ml
Ringers laktatoppløsning 2269
Kompatibel
Injeksjon Clindamycin phosphate 5,77 mg/ml
Parenteral ernæring (med lipider) 4440
Kompatibel
Injeksjon Clindamycin phosphate 1.2 mg/ml
Injeksjon Cimetidine hydrochloride 1.2 & 5 mg/ml
Glukose 5 % 1201
Kompatibel
Injeksjon Clindamycin phosphate 1.2 mg/ml
Injeksjon Cimetidine hydrochloride 1.2 & 5 mg/ml
Natriumklorid 0,9 % 1201
Umiddelbar nedbør Uforenlig
Injeksjon Clindamycin phosphate 7 mg/ml
Injeksjon Ciprofloxacin lactate 1.5 mg/ml
Glukose 5 % 434
Kompatibel
Injeksjon Clindamycin phosphate 10 mg/ml
Injeksjon Cisatracurium besylate 0.1 >> 5 mg/ml
Glukose 5 % 299
Kompatibel
Injeksjon Clindamycin phosphate 150 mg/ml
Injeksjon Cloxacillin sodium 100 mg/ml
Vann til injeksjon 3012
Kompatibel
Injeksjon Clindamycin phosphate 10 mg/ml
Injeksjon Docetaxel 0.9 mg/ml
Glukose 5 % 1754
Produksjon av gassbobler Uforenlig
Injeksjon Clindamycin phosphate 10 mg/ml
Injeksjon Doxapram hydrochloride 2 mg/ml
Glukose 5 % 1802
Kompatibel
Injeksjon Clindamycin phosphate 10 mg/ml
Injeksjon Doxorubicin hydrochloride liposome peg 0.4 mg/ml
Glukose 5 % 251
Kompatibel
Injeksjon Clindamycin phosphate 9 mg/ml
Injeksjon Esmolol hydrochloride 10 mg/ml
Glukose 5 % 384
Kompatibel
Injeksjon Clindamycin phosphate 9 mg/ml
Injeksjon Fentanyl citrate 50 µg/ml
Glukose 5 % 63
Kompatibel
Injeksjon Clindamycin phosphate 10 mg/ml
Parenteral ernæring (med lipider) 3967
Kompatibel
Injeksjon Clindamycin phosphate 10 mg/ml
Injeksjon Ceftaroline fosamil 2,22 mg/ml
Glukose 5 % 3249
Kompatibel
Injeksjon Clindamycin phosphate 10 mg/ml
Injeksjon Ceftaroline fosamil 2,22 mg/ml
Natriumklorid 0,9 % 3249
Kompatibel
Injeksjon Clindamycin phosphate 9 mg/ml
Injeksjon Ceftazidime 20 mg/ml
Glukose 5 % 432
Kompatibel
Injeksjon Clindamycin phosphate
Injeksjon Ceftazidime
Natriumklorid 0,9 % 3526
Kompatibel
Injeksjon Clindamycin phosphate 9 mg/ml
Injeksjon Ceftazidime 20 mg/ml
Natriumklorid 0,9 % 432
Kompatibel
Injeksjon Clindamycin phosphate 10 mg/ml
Parenteral ernæring (med lipider) 1415
Kompatibel
Injeksjon Clindamycin phosphate 9 mg/ml
Injeksjon Ceftizoxime sodium 20 mg/ml
Glukose 5 % 418
Kompatibel
Injeksjon Clindamycin phosphate
Injeksjon Ceftizoxime sodium
Natriumklorid 0,9 % 3526
Kjemisk ustabilitet Uforenlig
Injeksjon Clindamycin phosphate 12 mg/ml
Injeksjon Ceftriaxone disodium 20 mg/ml
Glukose 5 % 432
Uspesifisert inkompatibilitet Uforenlig
Injeksjon Clindamycin phosphate
Injeksjon Ceftriaxone disodium
3526
Kjemisk ustabilitet Uforenlig
Injeksjon Clindamycin phosphate 12 mg/ml
Injeksjon Ceftriaxone disodium 20 mg/ml
Natriumklorid 0,9 % 432
Kompatibel
Injeksjon Clindamycin phosphate 9 mg/ml
Injeksjon Cefuroxime sodium 15 mg/ml
Natriumklorid 0,9 % 644
Kompatibel
Injeksjon Clindamycin phosphate 9 mg/ml
Injeksjon Cefuroxime sodium 15 mg/ml
Glukose 5 % 644
Umiddelbar nedbør Uforenlig
Injeksjon Clindamycin phosphate 7 mg/ml
Injeksjon Ciprofloxacin lactate 1.5 mg/ml
Natriumklorid 0,9 % 434
Uspesifisert inkompatibilitet Uforenlig
Injeksjon Clindamycin phosphate
Injeksjon Ciprofloxacin lactate
3526
Kompatibel
Injeksjon Clindamycin phosphate 10 mg/ml
Injeksjon Dexmedetomidine 4 µg/ml
Natriumklorid 0,9 % 1712
Kompatibel
Injeksjon Clindamycin phosphate 12 & 150 mg/ml
Injeksjon Diltiazem hydrochloride 5 mg/ml
Natriumklorid 0,9 % 198
Kompatibel
Injeksjon Clindamycin phosphate
Injeksjon Dimenhydrinate
2087
Kompatibel
Injeksjon Clindamycin phosphate 9 mg/ml
Injeksjon Enalaprilate 0.05 mg/ml
Natriumklorid 0,9 % 1315
Kompatibel
Injeksjon Clindamycin phosphate 10 mg/ml
Injeksjon Etoposide phosphate 5 mg/ml
Glukose 5 % 1410
Kompatibel
Injeksjon Clindamycin phosphate 10 mg/ml
Injeksjon Fenoldopam mesylate 80 µg/ml
Natriumklorid 0,9 % 1803
Umiddelbar nedbør Uforenlig
Injeksjon Clindamycin phosphate 10 mg/ml
Injeksjon Filgrastim 30 µg/ml
Glukose 5 % 244
Kompatibel
Injeksjon Clindamycin phosphate 12 mg/ml
Injeksjon Fluconazole 2 mg/ml
Ingen 256
Umiddelbar nedbør Uforenlig
Injeksjon Clindamycin phosphate 24 mg/ml
Injeksjon Fluconazole 2 mg/ml
Natriumklorid 0,9 % 496
Kompatibel
Injeksjon Clindamycin phosphate 10 mg/ml
Injeksjon Fludarabine phosphate 1 mg/ml
Glukose 5 % 492
Kompatibel
Injeksjon Clindamycin phosphate 12 mg/ml
Injeksjon Foscarnet sodium 24 mg/ml
Glukose 5 % 1135
Kompatibel
Injeksjon Clindamycin phosphate 24 mg/ml
Injeksjon Foscarnet sodium 24 mg/ml
Ingen 73
Kompatibel
Injeksjon Clindamycin phosphate 12 mg/ml
Injeksjon Foscarnet sodium 24 mg/ml
Natriumklorid 0,9 % 1135
Kompatibel
Injeksjon Clindamycin phosphate 10 mg/ml
Injeksjon Gemcitabine hydrochloride 10 mg/ml
Natriumklorid 0,9 % 1423
Kompatibel
Injeksjon Clindamycin phosphate
Injeksjon Gentamicin sulfate
Glukose 5 % 3526
Kompatibel
Injeksjon Clindamycin phosphate 90 mg/ml
Injeksjon Gentamicin sulfate 12 mg/ml
Natriumklorid 0,9 % 639
Kompatibel
Injeksjon Clindamycin phosphate 6 mg/ml
Injeksjon Gentamicin sulfate 0.67 mg/ml
Glukose 5 % 423
Kompatibel
Injeksjon Clindamycin phosphate
Injeksjon Gentamicin sulfate
Natriumklorid 0,9 % 3526
Kompatibel
Injeksjon Clindamycin phosphate 10 mg/ml
Injeksjon Granisetron hydrochloride 0.05 mg/ml
Glukose 5 % 182
Kompatibel
Injeksjon Clindamycin phosphate 12 mg/ml
Injeksjon Heparin sodium 50 UI/ml
Ingen 317
Kompatibel
Injeksjon Clindamycin phosphate 10 mg/ml
Injeksjon Hetastarch 60 mg/ml
spesifikk løsemiddel 1721
Kompatibel
Injeksjon Clindamycin phosphate 12 mg/ml
Injeksjon Hydromorphone hydrochloride 0.2 mg/ml
Glukose 5 % 405
Uspesifisert inkompatibilitet Uforenlig
Injeksjon Clindamycin phosphate
Injeksjon Idarubicin hydrochloride
3526
Umiddelbar nedbør Uforenlig
Injeksjon Clindamycin phosphate 12 mg/ml
Injeksjon Idarubicin hydrochloride 1 mg/ml
Natriumklorid 0,9 % 491
Kompatibel
Injeksjon Clindamycin phosphate 150 mg/ml
Injeksjon Ketamine hydrochloride 50 mg/ml
2109
Kompatibel
Injeksjon Clindamycin phosphate 9 mg/ml
Injeksjon Labetalol hydrochloride 1 mg/ml
Glukose 5 % 386
Umiddelbar nedbør Uforenlig
Injeksjon Clindamycin phosphate 10 mg/ml
Injeksjon Lansoprazole 0.55 mg/ml
Natriumklorid 0,9 % 1625
Kompatibel
Injeksjon Clindamycin phosphate 150 mg/ml
Injeksjon Levofloxacine 5 mg/ml
Glukose 5 % 1072
Kompatibel
Injeksjon Clindamycin phosphate 10 mg/ml
Injeksjon Linezolid 2 mg/ml
Ingen 1925
Uspesifisert inkompatibilitet Uforenlig
Injeksjon Clindamycin phosphate
Injeksjon Magnesium chloride
5012
Uspesifisert inkompatibilitet Uforenlig
Injeksjon Clindamycin phosphate
Injeksjon Magnesium sulfate
3838
Kompatibel
Injeksjon Clindamycin phosphate 12 mg/ml
Injeksjon Magnesium sulfate 16.67 >> 100 mg/ml
Glukose 5 % 1047
Uspesifisert inkompatibilitet Uforenlig
Injeksjon Clindamycin phosphate
Injeksjon Magnesium sulfate
3526
Kompatibel
Injeksjon Clindamycin phosphate 10 mg/ml
Injeksjon Melphalan 0.1 mg/ml
Natriumklorid 0,9 % 169
Kompatibel
Injeksjon Clindamycin phosphate 150 mg/ml
Injeksjon Meropenem 50 mg/ml
Vann til injeksjon 4319
Uspesifisert inkompatibilitet Uforenlig
Injeksjon Clindamycin phosphate
Injeksjon Methohexital sodium
3526
Kompatibel
Injeksjon Clindamycin phosphate 10 mg/ml
Injeksjon Metronidazole 5 mg/ml
Ingen 1035
Kompatibel
Injeksjon Clindamycin phosphate
Injeksjon Metronidazole
3594
Kompatibel
Injeksjon Clindamycin phosphate 9 mg/ml
Injeksjon Midazolam hydrochloride 1 mg/ml
Glukose 5 % 176
Kompatibel
Injeksjon Clindamycin phosphate 12 mg/ml
Injeksjon Morphine sulfate 1 mg/ml
Glukose 5 % 405
Kompatibel
Injeksjon Clindamycin phosphate 150 mg/ml
Injeksjon N-acetylcysteine 200 mg/ml
Ingen 3766
Kompatibel
Injeksjon Clindamycin phosphate 150 mg/ml
Injeksjon Naloxone hydrochloride 0.4 mg/ml
Ingen 3408
Kompatibel
Injeksjon Clindamycin phosphate
Injeksjon Netilmicin sulfate
Natriumklorid 0,9 % 3526
Kompatibel
Injeksjon Clindamycin phosphate 9 mg/ml
Injeksjon Netilmicin sulfate 3 mg/ml
Glukose 5 % 421
Kompatibel
Injeksjon Clindamycin phosphate 9 mg/ml
Injeksjon Netilmicin sulfate 3 mg/ml
Natriumklorid 0,9 % 421
Kompatibel
Injeksjon Clindamycin phosphate
Injeksjon Netilmicin sulfate
Glukose 5 % 3526
Kompatibel
Injeksjon Clindamycin phosphate 9 mg/ml
Injeksjon Nicardipine hydrochloride 0.1 mg/ml
Natriumklorid 0,9 % 1490
Kompatibel
Injeksjon Clindamycin phosphate 9 mg/ml
Injeksjon Nicardipine hydrochloride 0.1 mg/ml
Glukose 5 % 1490
Kompatibel
Injeksjon Clindamycin phosphate 6 mg/ml
Injeksjon Ofloxacin 2 mg/ml
Ingen 889
Kompatibel
Injeksjon Clindamycin phosphate 10 mg/ml
Injeksjon Ondansetron hydrochloride 1 mg/ml
Natriumklorid 0,9 % 334
Nedbør etter 1 time Uforenlig
Injeksjon Clindamycin phosphate 12 mg/ml
Injeksjon Oritavancin 0.8 >>2 mg/ml
Glukose 5 % 3152
Nedbør etter 1 time Uforenlig
Injeksjon Clindamycin phosphate
Injeksjon Pantoprazole sodium
2090
Kompatibel
Injeksjon Clindamycin phosphate 150 mg/ml
Injeksjon Paracetamol 10 mg/ml
4742
Kompatibel
Injeksjon Clindamycin phosphate 10 mg/ml
Injeksjon Paracetamol 10 mg/ml
Ingen 3571
Kompatibel
Injeksjon Clindamycin phosphate 10 mg/ml
Injeksjon Pemetrexed disodium 20 mg/ml
Natriumklorid 0,9 % 1953
Uspesifisert inkompatibilitet Uforenlig
Injeksjon Clindamycin phosphate
Injeksjon Pentobarbital sodium
3526
Kompatibel
Injeksjon Clindamycin phosphate 12 mg/ml
Injeksjon Pethidine hydrochloride 10 mg/ml
Glukose 5 % 405
Uspesifisert inkompatibilitet Uforenlig
Injeksjon Clindamycin phosphate
Injeksjon Phenobarbital sodium
3526
Uspesifisert inkompatibilitet Uforenlig
Injeksjon Clindamycin phosphate
Injeksjon Phenytoin sodium
3526
Kompatibel
Injeksjon Clindamycin phosphate 18 mg/ml
Injeksjon Phloroglucinol 2,5 mg/ml
3791
Kompatibel
Injeksjon Clindamycin phosphate
Injeksjon Piperacillin sodium
Glukose 5 % 3526
Kompatibel
Injeksjon Clindamycin phosphate
Injeksjon Piperacillin sodium
Natriumklorid 0,9 % 3526
Kompatibel
Injeksjon Clindamycin phosphate 9 mg/ml
Injeksjon Piperacillin sodium 40 mg/ml
Glukose 5 % 432
Kompatibel
Injeksjon Clindamycin phosphate 9 mg/ml
Injeksjon Piperacillin sodium 40 mg/ml
Natriumklorid 0,9 % 432
Kompatibel
Injeksjon Clindamycin phosphate 10 mg/ml
Injeksjon Piperacillin sodium / tazobactam 40/5 mg/ml
Glukose 5 % 81
Umiddelbar turbiditet Uforenlig
Injeksjon Clindamycin phosphate 150 mg/ml
Injeksjon Salbutamol sulfate 1 mg/ml
Ingen 3216
Uspesifisert inkompatibilitet Uforenlig
Injeksjon Clindamycin phosphate
Injeksjon Sodium bicarbonate
3526
Umiddelbar nedbør Uforenlig
Injeksjon Clindamycin phosphate 12 mg/ml
Injeksjon Temocilline 83.33 mg/ml
Vann til injeksjon 2231
Kompatibel
Injeksjon Clindamycin phosphate 10 mg/ml
Injeksjon Teniposide 0.1 mg/ml
Glukose 5 % 905
Uspesifisert inkompatibilitet Uforenlig
Injeksjon Clindamycin phosphate
Injeksjon Thiopental sodium
3526
Kompatibel
Injeksjon Clindamycin phosphate
Natriumklorid 0,9 % 3526
Kompatibel
Injeksjon Clindamycin phosphate 10 mg/ml
Injeksjon Propofol 10 mg/ml
Ingen 300
Uspesifisert inkompatibilitet Uforenlig
Injeksjon Clindamycin phosphate
Injeksjon Ranitidine hydrochloride
3526
Kompatibel
Injeksjon Clindamycin phosphate 10 mg/ml
Injeksjon Remifentanil hydrochloride 25 & 250 µg/ml
Natriumklorid 0,9 % 59
Kompatibel
Injeksjon Clindamycin phosphate 10 mg/ml
Injeksjon Sargramostim 10 µg/ml
Natriumklorid 0,9 % 335
Kompatibel
Injeksjon Clindamycin phosphate 12 mg/ml
Injeksjon Tacrolimus 1000 µg/ml
Natriumklorid 0,9 % 479
Kompatibel
Injeksjon Clindamycin phosphate 12 mg/ml
Injeksjon Theophylline 4 mg/ml
Ingen 317
Umiddelbar nedbør Uforenlig
Injeksjon Clindamycin phosphate 150 mg/ml
Injeksjon Thiopental sodium 25 mg/ml
Natriumklorid 0,9 % 3767
Kompatibel
Injeksjon Clindamycin phosphate 10 mg/ml
Injeksjon Thiotepa 1 mg/ml
Glukose 5 % 249
Kompatibel
Injeksjon Clindamycin phosphate
Injeksjon Tobramycin sulfate
Natriumklorid 0,9 % 3526
Umiddelbar nedbør Uforenlig
Injeksjon Clindamycin phosphate 90 mg/ml
Injeksjon Tobramycin sulfate 12 mg/ml
Natriumklorid 0,9 % 639
Kompatibel
Injeksjon Clindamycin phosphate
Injeksjon Tobramycin sulfate
Glukose 5 % 3526
Nedbør etter 2 timer Uforenlig
Injeksjon Clindamycin phosphate 6 mg/ml
Injeksjon Tramadol hydrochloride 0,4 mg/ml
Natriumklorid 0,9 % 2002
Kompatibel
Injeksjon Clindamycin phosphate 1.2 mg/ml
Injeksjon Verapamil hydrochloride 0.08 mg/ml
Natriumklorid 0,9 % 1057
Kompatibel
Injeksjon Clindamycin phosphate 1.2 mg/ml
Injeksjon Verapamil hydrochloride 0.08 mg/ml
Glukose 5 % 1057
Kompatibel
Injeksjon Clindamycin phosphate 10 mg/ml
Injeksjon Vinorelbine tartrate 1 mg/ml
Natriumklorid 0,9 % 84
Kompatibel
Injeksjon Clindamycin phosphate 12 mg/ml
Injeksjon Zidovudine 4 mg/ml
Glukose 5 % 337

  Mentions Légales